Sign in to use this feature.

Years

Between: -

Subjects

remove_circle_outline
remove_circle_outline
remove_circle_outline
remove_circle_outline
remove_circle_outline
remove_circle_outline
remove_circle_outline
remove_circle_outline
remove_circle_outline

Journals

remove_circle_outline
remove_circle_outline
remove_circle_outline
remove_circle_outline
remove_circle_outline
remove_circle_outline

Article Types

Countries / Regions

remove_circle_outline
remove_circle_outline
remove_circle_outline
remove_circle_outline
remove_circle_outline

Search Results (976)

Search Parameters:
Keywords = UHPLC–MS/MS analysis

Order results
Result details
Results per page
Select all
Export citation of selected articles as:
22 pages, 6575 KB  
Article
Study on Phase I Metabolic Processes and Metabolite Biomarker Identification of Synthetic Cannabinoids 5F-ADB-PINACA and 5F-ADBICA in Human Liver Microsomes and Zebrafish Model
by Huan Li, Hui Zheng, Shihao Zhong, Yanbiao Zhao, Jiaman Lin, Hongliang Su, Zhenhua Qian and Yuanfeng Wang
Molecules 2026, 31(2), 250; https://doi.org/10.3390/molecules31020250 - 12 Jan 2026
Abstract
Synthetic cannabinoids (SCs) are a rapidly developing kind of novel psychoactive substance, frequently associated with acute intoxication and public health concerns. This study aimed to elucidate and compare the phase I metabolic pathways of two structurally related SCs, 5F-ADB-PINACA and 5F-ADBICA, using in [...] Read more.
Synthetic cannabinoids (SCs) are a rapidly developing kind of novel psychoactive substance, frequently associated with acute intoxication and public health concerns. This study aimed to elucidate and compare the phase I metabolic pathways of two structurally related SCs, 5F-ADB-PINACA and 5F-ADBICA, using in vitro and in vivo models. Temporal metabolic profiling was performed to identify potential signature metabolites. Temporal abundance patterns and correlation cluster analysis of metabolites were analyzed to determine metabolite biomarkers. The two SCs were incubated with pooled human liver microsomes for 24 h and were also evaluated in vivo in zebrafish. Metabolite profiles were characterized using UHPLC-QE Orbitrap-MS. HLM analysis identified 21 5F-ADB-PINACA metabolites and 28 5F-ADBICA metabolites. Metabolites of 5F-ADBICA were detected for the first time in vitro and in a zebrafish model. Zebrafish studies confirmed the presence of all key metabolites observed in HLM. Comparative analysis of their metabolic pathways revealed differences in metabolism driven by structural differences between the indazole and indole cores. This is the first time that correlation analysis has been used in the temporal metabolic profiling of SCs. This study comprehensively characterized the metabolism of 5F-ADB-PINACA and 5F-ADBICA, identifying M13 (hydrolytic defluorination) as a potential metabolite biomarker for 5F-ADB-PINACA and M19 (hydrolytic defluorination) as a potential metabolite biomarker for 5F-ADBICA. The metabolic reactions of the main metabolites of the two synthetic cannabinoids are consistent. However, their metabolic processes (i.e., the overall metabolic pathways and temporal progression of these reactions) are different, which illustrates the metabolic similarity of structurally similar synthetic cannabinoids and the impact of different structures on the metabolic processes. Full article
Show Figures

Graphical abstract

28 pages, 8942 KB  
Article
Exploration and Preliminary Investigation of Wiled Tinospora crispa: A Medicinal Plant with Promising Anti-Inflammatory and Antioxidant Properties
by Salma Saddeek
Curr. Issues Mol. Biol. 2026, 48(1), 70; https://doi.org/10.3390/cimb48010070 - 9 Jan 2026
Viewed by 86
Abstract
Background and Rationale: Tinospora crispa (L.) Hook.f. & Thomson (T. crispa) is a climbing medicinal plant with long-standing ethnopharmacological use, particularly in inflammatory and hepatic disorders and cancer-related conditions. There is a knowledge gap regarding how wild versus cultivated ecotypes differ in [...] Read more.
Background and Rationale: Tinospora crispa (L.) Hook.f. & Thomson (T. crispa) is a climbing medicinal plant with long-standing ethnopharmacological use, particularly in inflammatory and hepatic disorders and cancer-related conditions. There is a knowledge gap regarding how wild versus cultivated ecotypes differ in chemotype, bioactivity, and safety, and how this might support or refine traditional use. Study Objectives: This study aimed to compare wild and cultivated ecotypes of T. crispa from the Nile Delta (Egypt) in terms of quantitative and qualitative phytochemical profiles; selected in vitro biological activities (especially antioxidant and cytotoxic actions); genetic markers potentially associated with metabolic variation; and short-term oral safety in an animal model. Core Methodology: Standardized extraction of plant material from wild and cultivated ecotypes. Determination of total phenolics, total flavonoids, and major phytochemical classes (alkaloids, tannins, terpenoids). Metabolomic characterization using UHPLC-ESI-QTOF-MS, supported by NMR, to confirm key compounds such as berberine, palmatine, chlorogenic acid, rutin, and borapetoside C. In vitro bioassays including: Antioxidant activity (e.g., radical-scavenging assay with EC50 determination). Cytotoxicity against human cancer cell lines, with emphasis on HepG2 hepatoma cells and calculation of IC50 values. Targeted genetic analysis to detect single-nucleotide polymorphisms (SNPs) in the gen1 locus that differentiate ecotypes. A 14-day oral toxicity study in rats, assessing liver and kidney function markers and performing histopathology of liver and kidney tissues. Principal Results: The wild ecotype showed a 43–65% increase in total flavonoid and polyphenol content compared with the cultivated ecotype, as well as substantially higher levels of key alkaloids, particularly berberine (around 12.5 ± 0.8 mg/g), along with elevated chlorogenic acid and borapetoside C. UHPLC-MS and NMR analyses confirmed the identity of the main bioactive constituents and defined a distinct chemical fingerprint for the wild chemotype. Bioassays demonstrated stronger antioxidant activity of the wild extract than the cultivated one and selective cytotoxicity of the wild extract against HepG2 cells (IC50 ≈ 85 µg/mL), being clearly more potent than extracts from cultivated plants. Genetic profiling detected a C → T SNP within the gen1 region that differentiates the wild ecotype and may be linked to altered biosynthetic regulation. The 14-day oral toxicity study (up to 600 mg/kg) revealed no evidence of hepatic or renal toxicity, with biochemical markers remaining within physiological limits and normal liver and kidney histology. Conclusions and Future Perspectives: The wild Nile-Delta ecotype of T. crispa appears to be a stress-adapted chemotype characterized by enriched levels of multiple bioactive metabolites, superior in vitro bioactivity, and an encouraging preliminary safety margin. These findings support further evaluation of wild T. crispa as a candidate source for standardized botanical preparations targeting oxidative stress-related and hepatic pathologies, while emphasizing the need for: More comprehensive in vivo efficacy studies. Cultivation strategies that deliberately maintain or mimic beneficial stress conditions to preserve phytochemical richness. Broader geographical and genetic sampling to assess how generalizable the present chemotypic and bioactivity patterns are across the species. Full article
(This article belongs to the Special Issue Advances in Phytochemicals: Biological Activities and Applications)
27 pages, 6009 KB  
Article
Integrating Molecular Analysis and the Pharmacology Network to Discover the Antioxidative Effects of Zanthoxylum piperitum Fruits
by Ducdat Le, Thinhulinh Dang, Thientam Dinh, Soojung Yu, Vinhquang Truong, Minhee Kim, Su-Yun Lyu, Kwang Seok Ahn and Mina Lee
Plants 2026, 15(1), 148; https://doi.org/10.3390/plants15010148 - 4 Jan 2026
Viewed by 200
Abstract
Zanthoxylum piperitum is a food and culinary plant commonly used in East Asia. In traditional medicine, its fruits, seeds, and bark have been utilized to treat digestive disorders, pain, and stomachache. Prior research has demonstrated its health benefits, particularly its significant antioxidant properties. [...] Read more.
Zanthoxylum piperitum is a food and culinary plant commonly used in East Asia. In traditional medicine, its fruits, seeds, and bark have been utilized to treat digestive disorders, pain, and stomachache. Prior research has demonstrated its health benefits, particularly its significant antioxidant properties. However, limited research has investigated the specific metabolites responsible for these pharmacological effects. In this study, the antioxidant activities (EC50: 9.1–1084.5 μg/mL) and metabolite profiles of different organs (fruits, pericarps, and seeds) of Z. piperitum collected from different regions were comparatively analyzed. Chemical structures of 91 metabolites from different organs were identified using UHPLC-Orbitrap-MS/MS based on untargeted metabolomics. The LC-DPPH method was employed to screen antioxidants from the extracts of the most active organ (the pericarps). The potential effects of the active compounds on oxidation-related diseases were evaluated by integrating compound–target interaction network analysis. Protein–protein interaction (PPI) networks revealed EGFR, STAT3, AKT1, TNF, BCL2, CASP3, ESR1, PPARA, CYP19A1, and CDK2 as central hub genes. The significance of compound and target interactions was further supported by molecular docking studies, which demonstrated favorable binding affinities, with most proteins exhibiting docked scores below −4.27 kcal/mol. The extracts of Z. piperitum fruits and pericarps also exhibited antioxidative activity against ROS production in LPS-stimulated RAW264.7 cells. Our findings demonstrate the application of an optimized extraction process and underscore the medicinal value of this food-plant by characterizing its bioactive constituents. The results indicate that Z. piperitum may serve not only as a health-promoting food but also has the potential for prevention or treatment of oxidative-stress-related diseases. Future research should focus on in vivo studies by exploring the therapeutic mechanisms of actions of the active extracts. Full article
Show Figures

Figure 1

15 pages, 1361 KB  
Article
Detecting and Grouping In-Source Fragments with Low-Energy Stepped HCD, Together with MS3, Increases Identification Confidence in Untargeted LC–Orbitrap Metabolomics of Plantago lanceolata Leaves and P. ovata Husk
by Vilmantas Pedišius, Tim Stratton, Lukas Taujenis, Valdas Jakštas and Vytautas Tamošiūnas
Metabolites 2026, 16(1), 42; https://doi.org/10.3390/metabo16010042 - 2 Jan 2026
Viewed by 323
Abstract
Background: Comprehensive and accurate compound composition characterization in natural sources has high relevance in food and nutrition, health and medicine, environmental and agriculture research areas, though profiling of plant metabolites is a challenging task due to the structural complexity of natural products. This [...] Read more.
Background: Comprehensive and accurate compound composition characterization in natural sources has high relevance in food and nutrition, health and medicine, environmental and agriculture research areas, though profiling of plant metabolites is a challenging task due to the structural complexity of natural products. This study delves into the identification and characterization of compounds within the Plantago genus, leveraging state-of-the-art analytical techniques. Methods: Utilizing an ultra-high-performance liquid chromatography (UHPLC) system in conjunction with Orbitrap™ IQ-X™ Tribrid™ mass spectrometer (MS), we employed a Phenyl-Hexyl HPLC column alongside optimized extraction protocols to analyze both husk and leaf samples. To maximize compound identification, we implemented data-dependent acquisition (DDA) methods including MS2 (ddMS2), MS3 (ddMS3), AcquireX™ deep scan, and real-time library search (RTLS). Results: Our results demonstrate a significant increase in the number of putatively yet confidently assigned compounds, with 472 matches in P. lanceolata leaves and 233 in P. ovata husk identified through combined acquisition methods. The inclusion of an additional fragmentation level (MS3) noticeably enhanced the confidence in compound annotation, facilitating the differentiation of isomeric compounds. Furthermore, the application of low-energy fragmentation (10 normalized collision energy (NCE) for higher-energy collisional dissociation (HCD)) improved the detection and grouping of MS1 fragments by 55% in positive mode and by 16% in negative mode, contributing to a more comprehensive analysis with minimal loss in compound identification. Conclusions: These advancements underscore the potential of our methodologies in expanding the chemical profile of plant materials, offering valuable insights into natural product analysis and dereplication of untargeted data. Full article
(This article belongs to the Section Advances in Metabolomics)
Show Figures

Graphical abstract

16 pages, 751 KB  
Article
Ultrasound-Assisted Extraction (UAE), and UHPLC–MS/MS Methodology for the Pharmaceutical Multiresidue Extraction and Analysis of Agricultural Soil Samples
by Vanessa Mendoza-Grimón, Javier Pacheco-Juárez, Rayco Guedes-Alonso, Juan Ramón Fernández-Vera, Esmeralda Estevez, Sarah Montesdeoca-Esponda, Zoraida Sosa-Ferrera and María del Pino Palacios-Díaz
Agriculture 2026, 16(1), 95; https://doi.org/10.3390/agriculture16010095 - 31 Dec 2025
Viewed by 253
Abstract
Using reclaimed water for irrigation is an effective strategy in semi-arid regions facing water scarcity. However, this water may contain pharmaceutical residues, posing potential environmental and health risks. To ensure sustainable reuse, it is essential to study how these substances accumulate in soil [...] Read more.
Using reclaimed water for irrigation is an effective strategy in semi-arid regions facing water scarcity. However, this water may contain pharmaceutical residues, posing potential environmental and health risks. To ensure sustainable reuse, it is essential to study how these substances accumulate in soil and transfer to crops. The aim of this research was to develop and optimise a rapid Ultrasound-Assisted Extraction method combined with Ultra-High-Performance Liquid Chromatography–tandem Mass Spectrometry for quantifying 23 pharmaceuticals in non-cultivated soil. Following optimisation, 18 compounds were successfully extracted using a MeOH:H2O ratio of 75:25. The detection and quantification limits were found to range from 0.52 to 0.5 ng·g−1 and 1.75 to 35 ng·g−1, respectively. The matrix effects and recoveries varied by compounds’ type and concentration, but most results were acceptable. The evidence suggested that some drugs underwent microbial degradation. Soil irrigated with reclaimed water via subsurface drip since 2012 occasionally contained four pharmaceuticals (caffeine, carbamazepine, tamoxifen, and venlafaxine) at low concentrations, while others were absent. This indicates the capacity of soil to act as a barrier, and highlights the importance of proper water management. The study concludes that reclaimed water reuse is safe if supported by efficient treatment and management, offering a promising approach for long-term sustainability in water-scarce regions. Full article
(This article belongs to the Section Agricultural Soils)
Show Figures

Figure 1

25 pages, 3428 KB  
Article
Biosynthesis of Silver Nanoparticles from Paullinia cupana Kunth Leaf: Effect of Seasonality and Preparation Method of Aqueous Extracts
by Alan Kelbis Oliveira Lima, Tainá Pereira da Silva Oliveira, Isadora Florêncio, Alberto Gomes Tavares Junior, Victor Hugo Sousa Araújo, Arthur Abinader Vasconcelos, Marlus Chorilli, Hugo de Campos Braga, Dayane Batista Tada, Gerson Nakazato, Sônia Nair Báo, Paulo Sérgio Taube, José Antônio de Aquino Ribeiro, Clenilson Martins Rodrigues and Mônica Pereira Garcia
Pharmaceuticals 2026, 19(1), 72; https://doi.org/10.3390/ph19010072 - 30 Dec 2025
Viewed by 290
Abstract
Background/Objectives: The biogenic synthesis of silver nanoparticles (AgNPs) is a promising alternative method, driven by the presence of metabolites in plant matrices capable of acting as reducing and stabilizing agents. Seasonality is a key factor that influences the phytochemical composition of plants [...] Read more.
Background/Objectives: The biogenic synthesis of silver nanoparticles (AgNPs) is a promising alternative method, driven by the presence of metabolites in plant matrices capable of acting as reducing and stabilizing agents. Seasonality is a key factor that influences the phytochemical composition of plants and can directly impact the yield, physicochemical characteristics, stability, and bioactivities of the obtained AgNPs. This study aimed to synthesize AgNPs using aqueous extracts from Paullinia cupana leaves collected during dry and rainy seasons, prepared by two different methods (agitation or infusion), to evaluate the impact of these variables on the biosynthesis and properties of the nanostructures. Methods: The extracts were characterized by UHPLC-HRMS/MS, and their total phenolic compound (TPC) content and antioxidant potential against DPPH and ABTS radicals were determined. The AgNPs were characterized by UV/Vis spectrophotometry, dynamic light scattering (DLS), zeta potential (ZP), nano-particle tracking analysis (NTA), transmission electron microscopy (TEM), and energy-dispersive X-ray spectroscopy (EDX). Results: The metabolic profile results showed a predominance of alkaloids and flavonoids in all extracts, with greater phytochemical diversity in samples prepared by infusion. TPC indicated superior phenolic extraction in extracts prepared by infusion during the rainy season, correlating with greater antioxidant potential via the elimination of free radicals. The evolution of AgNP synthesis was accompanied by a gradual change in the color of the suspensions and the formation of plasmon bands between 410 and 430 nm, characteristic of spherical AgNPs. The nanostructures presented hydrodynamic diameters between 37.49 and 145.5 nm, PdI between 0.222 and 0.755, and Zeta potential between −11.3 and −39.9 mV, suggesting satisfactory colloidal stability. Morphological analyses revealed predominantly spherical particles with average diameters ranging from 33.61 to 48.86 nm and uniform distribution, while EDX spectra confirmed the presence of silver. Conclusions: Thus, our results demonstrate that both seasonality and the method of extract preparation influence the phytochemical composition and, consequently, the morphology, stability, and optical properties of AgNPs, with subtle emphasis on collections made during the rainy season and extracts prepared by infusion. Such knowledge contributes to the advancement of more reproducible and purpose-oriented syntheses in the field of green nanotechnology, enabling applications in various sectors. Full article
Show Figures

Graphical abstract

26 pages, 26682 KB  
Article
Bioactivity-Guided Fractionation of Dragon’s Blood Phenolic Extracts Reveals Loureirin D as a P2Y12 Inhibitor Mediating Antiplatelet Effects
by Jiawen Peng, Peng Wang, Ying Chen, Xin Liao, Hui Guo, Pei Zhang and Jiange Zhang
Int. J. Mol. Sci. 2026, 27(1), 282; https://doi.org/10.3390/ijms27010282 - 26 Dec 2025
Viewed by 232
Abstract
Dragon’s Blood, from the Dracaena cochinchinensis plant, is known for enhancing blood circulation. Its main components are Dragon’s Blood phenolic extracts (DBE). To pinpoint the active DBE constituents that are effective against thrombosis and understand their mechanism of action, the PT-stroke model was [...] Read more.
Dragon’s Blood, from the Dracaena cochinchinensis plant, is known for enhancing blood circulation. Its main components are Dragon’s Blood phenolic extracts (DBE). To pinpoint the active DBE constituents that are effective against thrombosis and understand their mechanism of action, the PT-stroke model was employed to assess DBE’s antithrombotic effects on cerebral blood flow and platelet aggregation. This investigation demonstrates that DBE enhances cerebral blood flow and inhibits ADP-induced platelet aggregation in photothrombotic (PT) stroke models. An FeCl3-induced carotid artery thrombosis model was developed to test the antithrombotic activity of four DBE fractions. Through screening with this model, the ethyl acetate (EA) and methanol fractions were identified as the principal active components that effectively reduced thrombus weight and improved hemodynamics. Furthermore, the EA fraction was found to preserve the integrity of the blood–brain barrier. Phytochemical isolation allowed for the identification of compounds in the EA fractions, and UHPLC-MS was performed to characterize DBE and its active components in the bloodstream. In vitro ADP-induced platelet aggregation assays highlighted the active compounds. Through phytochemical analysis, Loureirin D (compound 17) was identified as a predominant constituent present in plasma. In vitro assays revealed that compounds 1 and 17 possess strong antiplatelet activity, with Loureirin D being confirmed as a selective P2Y12 receptor antagonist via molecular docking and cellular thermal shift assays. These findings substantiate Loureirin D as a pivotal antithrombotic component in DBE and its potential as a P2Y12-targeting therapeutic agent for thrombosis treatment. Full article
(This article belongs to the Section Bioactives and Nutraceuticals)
Show Figures

Figure 1

17 pages, 811 KB  
Article
Targeted Determination of Residual Sex Hormones in Cosmetics Using Magnetic Solid-Phase Extraction with Isotope-Labeled Internal Standards by UHPLC-MS/MS
by Yalei Dong, Shuyan Sun, Yasen Qiao, Chunhui Yu, Haiyan Wang and Lei Sun
Molecules 2026, 31(1), 90; https://doi.org/10.3390/molecules31010090 - 25 Dec 2025
Viewed by 341
Abstract
As rapidly developing consumer products, cosmetics confront challenges regarding safety, especially hazardous ingredients, like sex hormones. Prolonged exposure to trace sex hormones in cosmetics can inflict immeasurable damage to human health. To accurately detect the trace amounts of sex hormones in cosmetics, a [...] Read more.
As rapidly developing consumer products, cosmetics confront challenges regarding safety, especially hazardous ingredients, like sex hormones. Prolonged exposure to trace sex hormones in cosmetics can inflict immeasurable damage to human health. To accurately detect the trace amounts of sex hormones in cosmetics, a reliable method was developed and validated using ultra-high performance liquid chromatography–mass spectrometry (UHPLC-MS/MS) with magnetic solid-phase extraction (MSPE) and isotope-labeled internal standards (IL-ISs). The conditions of sample pretreatment, chromatography, and mass parameters were systemically investigated. In the MSPE procedure, the commercial Fe3O4@HLB magnetic material was employed for sample pretreatment, which was beneficial for operation, as well as sample purification and analyte enrichment. The utilization of IL-ISs compensated for potential matrix effects and losses during sample preparation, thereby improving precision and accuracy. Based on the proposed MSPE technology, UHPLC-MS/MS can address the qualitative and quantitative analysis needs for target analytes in complex cosmetic matrices. At three fortification levels, recoveries were in the range of 71.7–116.2%, with a relative standard deviation (RSD) ranging from 1.6% to 8.3%. Furthermore, based on the method proposed here, a total of 116 batches of cosmetics were analyzed, and trace progestins and estrogens were discovered in 10 samples. The MSPE method, coupled with UHPLC-MS/MS using IL-ISs, was convenient, efficient, and feasible for detecting trace amounts of sex hormones in cosmetics. The method scored 0.66 (out of 1) on the AGREE metric, confirming its green profile. Based on the detected concentrations, a preliminary safety evaluation was performed to assess the potential health risks of residual progesterone in hair loss prevention cosmetics by calculating the margin of safety (MoS). Full article
(This article belongs to the Section Analytical Chemistry)
Show Figures

Graphical abstract

19 pages, 1068 KB  
Article
The Relationship Between Short-Chain Fatty Acid Secretion and Polymorphisms rs3894326 and rs778986 of the FUT3 Gene in Patients with Multiple Sclerosis—An Exploratory Analysis
by Monika Kulaszyńska, Wiktoria Czarnecka, Natalia Jakubiak, Daniel Styburski, Mateusz Sowiński, Norbert Czapla, Ewa Stachowska, Dorota Koziarska and Karolina Skonieczna-Żydecka
Nutrients 2026, 18(1), 62; https://doi.org/10.3390/nu18010062 - 24 Dec 2025
Viewed by 252
Abstract
Background: The intestinal microflora is a population of microorganisms that resides in the human gastrointestinal tract and is important in maintaining metabolic and immune homeostasis in the body. Bacteria residing in the intestine produce short-chain fatty acids (SCFAs), which communicate with, among other [...] Read more.
Background: The intestinal microflora is a population of microorganisms that resides in the human gastrointestinal tract and is important in maintaining metabolic and immune homeostasis in the body. Bacteria residing in the intestine produce short-chain fatty acids (SCFAs), which communicate with, among other things, the brain–gut axis—disorders of which are one of the causes of MS-like pathologies. A particular property of SCFAs is the induction of regulatory T cells, which are finding their way into pioneering therapies for MS patients. The aim of the study is to evaluate SCFA secretion in patients with multiple sclerosis from the West Pomeranian region depending on the genotypes of rs778986 and rs3894326 polymorphisms of the FUT3 gene. Methods: The study group included 47 patients clinically diagnosed with MS. Genotyping was performed by real-time PCR using TaqMan probes. Analysis of short-chain fatty acids in faeces was performed on a quadrupole mass spectrometer coupled to a time-of-flight (QTOF) analyser coupled to an AB Sciex high-performance liquid chromatograph (UHPLC). Results: Statistical analysis did not reveal any statistically significant differences in the prevalence of the studied polymorphisms in MS patients compared to the healthy control group. It was observed that the intestinal microflora and SCFA production in MS patients may be disturbed, while the studied FUT3 gene polymorphisms probably do not have a significant effect on their concentrations. A statistical tendency towards higher caproic acid content in heterozygotes of the rs778986 polymorphism and higher valeric acid secretion in homozygotes of rs3894326 was demonstrated. Conclusions: In summary, the studied FUT3 gene polymorphisms are not overrepresented in patients with MS. The rs778986 FUT3 polymorphism may affect the caproic acid content in the faeces of patients with MS, and the rs3894326 polymorphism may affect valeric acid secretion. Due to the small sample size and sparse genotype groups, the study has limited power and negative findings may reflect Type II error; replication in larger cohorts is warranted. Full article
(This article belongs to the Section Nutrigenetics and Nutrigenomics)
Show Figures

Figure 1

19 pages, 7490 KB  
Article
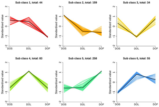
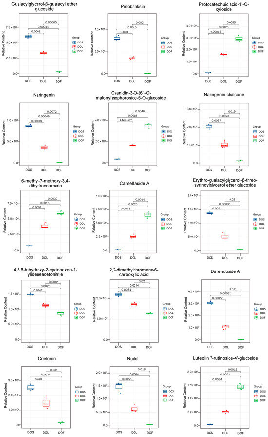
Bioactive Ingredient Profiling of Dendrobium officinale: Plant-Part-Specific Distribution of Key Metabolites and Their Multi-Disease Therapeutic Potential
by Yue Yang, Yongxin Guan, Shasha Li and Yingchao Xu
Metabolites 2026, 16(1), 10; https://doi.org/10.3390/metabo16010010 - 22 Dec 2025
Viewed by 389
Abstract
Background/Objectives: Dendrobium officinale is a valuable medicinal orchid. However, the metabolic profiles of its leaves and flowers remain poorly characterized. This highlights the need for comprehensive analysis of stems, leaves, and flowers to reveal plant-part-specific bioactive compounds and expand whole-plant utilization. Methods: [...] Read more.
Background/Objectives: Dendrobium officinale is a valuable medicinal orchid. However, the metabolic profiles of its leaves and flowers remain poorly characterized. This highlights the need for comprehensive analysis of stems, leaves, and flowers to reveal plant-part-specific bioactive compounds and expand whole-plant utilization. Methods: An integrative metabolomic approach based on UHPLC–MS/MS was employed to systematically characterize secondary metabolite profiles in different parts of D. officinale, including stems (DOS), leaves (DOL), and flowers (DOF). Results: A total of 761 metabolites, predominantly flavonoids (30.6%), alkaloids (20.2%), phenolic acids (12.2%), and terpenoids (9.3%), were identified. The most abundant metabolites were detected in DOF (634), followed by DOL (598) and DOS (586). Total flavonoid and alkaloid contents were the highest in DOF, reaching 0.86 and 0.62 mg·g−1 DW, respectively. Screening identified 74 key active ingredients (KAI) and 83 active pharmaceutical ingredients (API) and demonstrated potential efficacy against six major human diseases. Among these, gardenoside and phloroglucinol were uniquely present in leaves, whereas 12 KAIs and 16 APIs were specific to DOF. Quercetin, a compound associated with more than 90 disease-related entries, was exclusively detected in DOF. Multivariate analyses revealed clear separation among the three plant parts. Furthermore, 15 metabolites with VIP > 1, including pinobanksin and naringenin, exhibited distinct plant-part-specific accumulation patterns. Additionally, potential plant-part-specific biomarkers were identified. Conclusions: This study presents a comprehensive plant-part-specific metabolomic profile of D. officinale, revealing that its flowers and leaves are particularly enriched in bioactive flavonoids and alkaloids. The findings reveal the remarkable metabolic diversity and functional potential of D. officinale, providing essential chemical insights that support the whole plant’s broader medicinal and biotechnological applications. Full article
(This article belongs to the Section Pharmacology and Drug Metabolism)
Show Figures

Figure 1

18 pages, 2631 KB  
Article
From Tea to Topical Agent: Machine Learning and Bioinformatics Reveal KU DING Tea’s Anti-UV Ingredients and Mechanisms
by Jing Huang, Mingzhi Zhang, Xiangling Qin, Qi Yang, Jinling Xie, Xiaotao Hou, Erwei Hao, Jiagang Deng and Zhengcai Du
Pharmaceuticals 2026, 19(1), 28; https://doi.org/10.3390/ph19010028 - 22 Dec 2025
Viewed by 262
Abstract
Objectives: KU DING tea is a traditional Chinese herbal tea traditionally used topically for inflammation. This study aimed to investigate its potential anti-UV effects. Methods: The chemical components of KU DING tea were identified using UHPLC-Q-TOF-MS. Permeability prediction was performed to [...] Read more.
Objectives: KU DING tea is a traditional Chinese herbal tea traditionally used topically for inflammation. This study aimed to investigate its potential anti-UV effects. Methods: The chemical components of KU DING tea were identified using UHPLC-Q-TOF-MS. Permeability prediction was performed to assess transdermal potential. A machine learning was applied to predict anti-UV activity, and network pharmacology analysis was used to explore the potential mechanism of action. Result: A total of 76 chemical components were identified, with 21 predicted to have good transdermal potential. A machine learning Random Forest (RF) model (accuracy 0.84, F1 0.84, AUC 0.93) predicted components like salicylic acid and methyl salicylate likely possess significant anti-UV activity. Network pharmacology indicated the mechanism may involve targets MAPK14 and NFKB1, influencing the AGE-RAGE signaling pathway. Conclusions: KU DING tea is a promising natural and safe anti-UV agent, deserving further experimental validation. Full article
(This article belongs to the Section Natural Products)
Show Figures

Graphical abstract

20 pages, 2611 KB  
Article
Novel Antimicrobial Activities of Albofungin, Albonoursin, and Ribonucleosides Produced by Streptomyces sp. Caat 5-35 Against Phytopathogens and Their Potential as a Biocontrol Agent
by Carmen Julia Pedroza-Padilla, Sergio Orduz, Danilo Tosta Souza, Geraldo Antonio Astolpho-Barbão and Luiz Alberto Beraldo Moraes
Molecules 2026, 31(1), 21; https://doi.org/10.3390/molecules31010021 - 20 Dec 2025
Viewed by 281
Abstract
The genus Streptomyces is the largest group within the phylum Actinobacteria, recognized for producing antibiotics and enzymes, with wide applications in medicine and biological control for crop protection against phytopathogens. In this study, the Streptomyces sp. Caat 5-35 strain, isolated from soil of [...] Read more.
The genus Streptomyces is the largest group within the phylum Actinobacteria, recognized for producing antibiotics and enzymes, with wide applications in medicine and biological control for crop protection against phytopathogens. In this study, the Streptomyces sp. Caat 5-35 strain, isolated from soil of the Caatinga biome in Brazil, and identified by analysis of the 16S rRNA gene, demonstrated its antagonistic effect in vitro in dual cultures against Phytophthora palmivora, Colletotrichum acutatum, Fusarium oxysporum, Rhizoctonia solani, Sclerotinia sclerotiorum, and Fusarium graminearum. Caat 5-35 inhibited mycelial growth ranging from 19% to 73.3%. Compounds purified by prep-HPLC from extracts were identified by spectral data analysis using UHPLC-triple-TOF-MS/MS, or nuclear magnetic resonance (NMR). This work demonstrated for the first time the anti-oomycete activity of albofungin, its derivatives, and albonoursin against P. palmivora. Moreover, the growth inhibition of Colletotrichum gloeosporioides by albonoursin and the antibacterial effect of 2-chloroadenosine and 5′-O-sulfamoyl-2-chloroadenosine against Pectobacterium carotovorum were demonstrated as novel findings. Caat 5-35 exhibited the ability to solubilize phosphates and produce cellulases on CMC agar. The findings of this study, in combination with in vitro bioassays on cacao pods (Theobroma cacao L.) inoculated with the antagonist strain and P. palmivora APB-35, demonstrate that Streptomyces sp. Caat 5-35 is a source of natural products with applications in agriculture and could serve as an alternative for crop protection. Full article
Show Figures

Graphical abstract

29 pages, 43421 KB  
Article
From Microbiota to Metabolomics: How Corylus heterophylla Fisch. Male Flower Extract Shields Mice from Cognitive Decline
by Wei Lu, Yujie Li, Xinyuan Liao, Han Hu, Bolin Zhang, Lisong Liang and Haina Gao
Nutrients 2025, 17(24), 3958; https://doi.org/10.3390/nu17243958 - 18 Dec 2025
Cited by 1 | Viewed by 384
Abstract
Background/Objectives: Emerging evidence suggests that hippocampal neuroinflammation (HNF) drives cognitive decline via dysregulation of the microbiota-gut-brain axis. Corylus heterophylla Fisch. male flower extract (CFE), a flavonoid-rich by-product of hazelnut processing, presents a promising yet unexplored neuroprotective candidate. This study investigated the preventive effects [...] Read more.
Background/Objectives: Emerging evidence suggests that hippocampal neuroinflammation (HNF) drives cognitive decline via dysregulation of the microbiota-gut-brain axis. Corylus heterophylla Fisch. male flower extract (CFE), a flavonoid-rich by-product of hazelnut processing, presents a promising yet unexplored neuroprotective candidate. This study investigated the preventive effects and mechanisms of CFE against HNF-induced cognitive decline. Methods: In the present study, mice were pretreated with CFE (200 mg/kg) before the Lipopolysaccharide (LPS) administration. Cognitive function, inflammation, core pathology, neuroplasticity, gut microbiota and serum metabolites were assessed. The chemical composition of CFE was analyzed by UHPLC-MS and its direct immunomodulatory effects were investigated in BV2 cells. Results: Behavioral assessments demonstrated significant therapeutic efficacy. This was evidenced by the recovery from hippocampal damage, accompanied by reduced levels of core pathological markers (Aβ1–42, Tau, p-Tau (Ser404), GSK-3β), decreased expression of pro-inflammatory mediators including IL-33, elevated levels of neurotrophic factors (BDNF and MAP2), and attenuated abnormal activation of astrocytes and microglia. The 16S rRNA analysis confirmed that CFE ameliorated gut microbial dysbiosis. Notably, CFE significantly increased the relative abundance of Muribaculaceae and Lachnospiraceae, while significantly decreased Staphylococcus and Helicobacter. Metabolomics revealed enhanced levels of α-linolenic acid (ALA), serotonin (5-HT) and acetic acid, which correlated positively with Muribaculaceae and Lachnospiraceae. Phytochemical analysis identified luteolin and kaempferol as the predominant flavonoids in CFE. In BV2 cells, CFE, luteolin and kaempferol shifted microglial polarization from the M1 phenotype toward the M2 phenotype. Conclusions: CFE alleviated HNF-induced cognitive decline by regulating microbiota-gut-brain axis and microglial M1/M2 polarization. Full article
(This article belongs to the Special Issue Effects of Plant Extracts on Human Health—2nd Edition)
Show Figures

Figure 1

29 pages, 1705 KB  
Article
Blend Extracts of German Chamomile (Matricaria chamomilla L.) and Feverfew (Tanacetum parthenium L. Sch. Bip.) Against Oxidative Stress and Multidrug-Resistant Bacteria: Role of Extraction Temperature
by Petar Batinić, Natalija Čutović, Jelena Marinković, Aleksandar Krstić, Stanislava Čukić, Mirjana Pešić, Danijel Milinčić and Tatjana Marković
Compounds 2025, 5(4), 60; https://doi.org/10.3390/compounds5040060 - 18 Dec 2025
Viewed by 296
Abstract
Chamomile (Matricaria chamomilla L.) and feverfew (Tanacetum parthenium L. Sch. Bip.), both members of the Asteraceae family, are widely distributed in Serbia and traditionally used for their medicinal properties. Chamomile is primarily known for its gastrointestinal effects, while feverfew is noted [...] Read more.
Chamomile (Matricaria chamomilla L.) and feverfew (Tanacetum parthenium L. Sch. Bip.), both members of the Asteraceae family, are widely distributed in Serbia and traditionally used for their medicinal properties. Chamomile is primarily known for its gastrointestinal effects, while feverfew is noted for its antimigraine activity. Although the biological activity of each plant has been individually studied, there has been a lack of research related to their blends. So, the aim of this study was to prepare various chamomile/feverfew blends and their extracts with special focus on extraction temperature, to obtain superior herbal extract with the best functional characteristics. In order to characterize the obtained blend extracts this study included spectrophotometric and UHPLC Q-ToF MS analysis of prepared (selected) extracts, as well as evaluation of their antioxidant (ABTS, DPPH, FRAP, and CUPRAC) and antimicrobial properties. Antibacterial activity was evaluated against two Gram-positive and four Gram-negative bacterial strains using the broth microdilution method. Untargeted analysis showed the same phytochemical profile for both selected extracts (B3 and B9), as well as differences in distribution and abundance of identified compounds depending on applied extraction temperature (cold or heat-assisted). These differences in profile most probably contributed to variations in the antioxidant and antimicrobial properties of the extracts. The most potent antioxidant activity (123.04 µM TEAC/g) was observed for the 3:1 feverfew/chamomile blend (ABTS assay), while the highest metal-chelating capacity (1288.95 µM VCEAC/g) was recorded in extracts obtained by heat-assisted extraction (CUPRAC assay). Antibacterial activity of all blends ranged from 0.625 to 2.5 mg/mL, regardless of the extraction method. The findings indicate that combined extracts of chamomile and feverfew represent a promising source of bioactive compounds with potential applicability in both food science and pharmaceutical (biomedical) research. Full article
Show Figures

Figure 1

12 pages, 720 KB  
Article
Occurrence of Melamine and Cyanuric Acid in Milk, Baby Food, and Protein Supplements Marketed in Croatia
by Bruno Čalopek, Nina Bilandžić, Ivana Varenina, Ines Varga, Božica Solomun Kolanović, Maja Đokić, Jelena Kaurinović, Renata Biba, Mario Cindrić and Marija Sedak
Foods 2025, 14(24), 4292; https://doi.org/10.3390/foods14244292 - 13 Dec 2025
Viewed by 383
Abstract
The aim of this study is to investigate the occurrence of melamine and cyanuric acid in milk, baby food, and protein supplements collected in Croatia. A total of 56 samples were collected during 2022 and 2023 from retail stores in Zagreb, Croatia. Sample [...] Read more.
The aim of this study is to investigate the occurrence of melamine and cyanuric acid in milk, baby food, and protein supplements collected in Croatia. A total of 56 samples were collected during 2022 and 2023 from retail stores in Zagreb, Croatia. Sample preparation involved acetonitrile extraction, followed by analysis using ultra-high-performance liquid chromatography coupled with tandem mass spectrometry (UHPLC-MS/MS). Cyanuric acid concentrations above the limit of quantification (LOQ) were found in five milk samples (33.3% detection frequency), with a range from 0.26 to 0.39 mg/kg and a mean concentration of 0.31 mg/kg. In protein supplements, melamine was detected above the LOQ in six samples (23% detection frequency), with a mean concentration of 0.30 mg/kg and concentrations ranging from 0.20 to 0.57 mg/kg. No concentrations above the LOQ were found in baby food samples. All detected values were below the EU maximum limits (2.5 mg/kg for general food and 1.0 mg/kg for baby food). The accuracy and reliability of the method were verified using certified reference material. This is the first study to confirm the presence of melamine and cyanuric acid in protein supplements and milk on the Croatian market. The detected levels do not indicate a potential health risk to consumers. Full article
(This article belongs to the Section Food Quality and Safety)
Show Figures

Figure 1

Back to TopTop