Sign in to use this feature.

Years

Between: -

Subjects

remove_circle_outline
remove_circle_outline
remove_circle_outline
remove_circle_outline
remove_circle_outline
remove_circle_outline
remove_circle_outline
remove_circle_outline

Journals

Article Types

Countries / Regions

Search Results (16)

Search Parameters:
Keywords = TiO2@MOF photocatalyst

Order results
Result details
Results per page
Select all
Export citation of selected articles as:
15 pages, 3024 KB  
Article
Copper-Based Metal–Organic Framework (MOF) Photocatalyst Immobilized on Glass Beads for Sustainable Removal of Ciprofloxacin from Water
by Divya Dixit, Sudipta Sarkar and Thomas Boving
Water 2026, 18(5), 545; https://doi.org/10.3390/w18050545 - 26 Feb 2026
Viewed by 369
Abstract
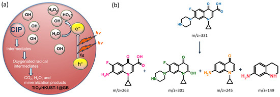
One of the many applications of metal–organic frameworks (MOFs) is their use as adsorbents for removing emerging contaminants, such as ciprofloxacin (CIP), a fluoroquinolone-class antibiotic, from aqueous environments. We selected the copper-based MOF HKUST-1 and coupled it with TiO2, then immobilized [...] Read more.
One of the many applications of metal–organic frameworks (MOFs) is their use as adsorbents for removing emerging contaminants, such as ciprofloxacin (CIP), a fluoroquinolone-class antibiotic, from aqueous environments. We selected the copper-based MOF HKUST-1 and coupled it with TiO2, then immobilized the composite on glass beads (TiO2/HKUST-1@GB) to produce a reusable photocatalyst. The immobilization of the composite on glass beads improved the structural strength as well as the reusability of the photocatalyst. Together, these properties pave the way for scale-up for commercial applications in continuous-flow water treatment systems. Herein, we used XRD, FTIR, and SEM to characterize the immobilized catalyst and assess its structural, morphological, and optical properties. Photocatalytic experiments showed 98% degradation in 45 min under UV irradiation at pH 6 and a CIP concentration of 200 μgL−1. The TiO2/HKUST-1@GB composite showed higher degradation compared to pristine TiO2 and HKUST-1 due to enhanced charge–carrier separation and synergistic interfacial effects. The reusability of the composite over five cycles was observed, with high stability and negligible Cu and Ti leaching, indicating promising environmental performance. Thus, TiO2/HKUST-1@GB provides an efficient and sustainable approach for removing ciprofloxacin from aqueous solutions. The degradation performance, reusability, and ability to work simultaneously in adsorption and photocatalytic processes make TiO2/HKUST-1@GB a promising candidate for the advanced treatment of aqueous-phase antimicrobial compounds such as ciprofloxacin. Full article
(This article belongs to the Section Water Quality and Contamination)
Show Figures

Figure 1

56 pages, 38197 KB  
Review
Advances in Composite Photocatalysts for Efficient Degradation of Organic Pollutants: Strategies, Challenges, and Future Perspectives
by Adnan Majeed, Muhammad Adnan Iqbal and Trong-On Do
Catalysts 2025, 15(9), 893; https://doi.org/10.3390/catal15090893 - 17 Sep 2025
Cited by 11 | Viewed by 3061
Abstract
The persistent release of synthetic dyes such as methylene blue (MB) into aquatic environments poses a significant ecological hazard due to their chemical stability and toxicity. In recent years, the application of engineered composite photocatalysts has emerged as a potent solution for efficient [...] Read more.
The persistent release of synthetic dyes such as methylene blue (MB) into aquatic environments poses a significant ecological hazard due to their chemical stability and toxicity. In recent years, the application of engineered composite photocatalysts has emerged as a potent solution for efficient dye degradation under visible and UV light. This review comprehensively summarizes various advanced composites, including carbon-based, metal-doped, and heterojunction materials, tailored for MB degradation. Notably, composites such as TiO2/C-550, WS2/GO/Au, and MOF-derived α-Fe2O3/ZnO achieved near-complete degradation (>99%) within 30–150 min, while others, like ZnO/JSAC-COO and Ag/TiO2/CNT, displayed enhanced charge separation and stability over five consecutive cycles. Band gap engineering (ranging from 1.7 eV to 3.2 eV) and reactive oxygen species (·OH, ·O2) generation were key to their photocatalytic performance. This review compares the structural attributes, synthetic strategies, and degradation kinetics across systems, highlighting the synergistic role of co-catalysts, surface area, and electron mobility. This work offers systematic insight into the state-of-the-art composite photocatalysts and provides a comparative framework to guide future material design for wastewater treatment applications. Full article
Show Figures

Graphical abstract

22 pages, 8434 KB  
Article
Highly Efficient Visible-Light Photocatalysts: Bi2O3@TiO2 Derived from Ti-MOFs for Eriochrome Black T Degradation: A Joint Experimental and Computational Study
by Jing Meng, Asmaa G. Ashry, Ahmed S. Abou-Elyazed, Zhe Zhang, Xiaolin Li, Tamer Z. Sharara and Safinaz H. El-Demerdash
Catalysts 2024, 14(11), 829; https://doi.org/10.3390/catal14110829 - 17 Nov 2024
Cited by 5 | Viewed by 3128
Abstract
Herein, we synthesized Ti-MOF through a solvothermal method and subsequently calcined it to form anatase TiO2. We further developed a Bi2O3@TiO2 mixed oxide using impregnation and calcination processes. These oxides showed significant photocatalytic activity for degrading [...] Read more.
Herein, we synthesized Ti-MOF through a solvothermal method and subsequently calcined it to form anatase TiO2. We further developed a Bi2O3@TiO2 mixed oxide using impregnation and calcination processes. These oxides showed significant photocatalytic activity for degrading Eriochrome Black T (EBT) dye under visible light irradiation. We characterized the prepared samples using various techniques, including XRD, XPS, FTIR, BET, SEM, EDX, TEM, and UV-DRS analyses. Our results indicated that TiO2 and 10%Bi2O3@TiO2 achieved 80% and 100% degradation of EBT dye solution (50 ppm) within 30 min in acidic medium with a 50 mg catalyst dose, respectively. The calcination of the Ti-MOF into TiO2 improved its sensitivity to visible light. The Bi2O3@TiO2 composite was also effective in degrading other organic pollutants, such as Congo Red (degradation ~99%), Malachite Green (degradation ~95%), Methylene Blue (degradation ~81%), and Safranine O (degradation ~69%). The impregnation of Bi2O3 increased the surface acidity of TiO2, enhancing its photocatalytic activity by promoting hydroxyl group formation through increased water adsorption. Additionally, 10%Bi2O3@TiO2 demonstrated excellent chemical stability and reusability, maintaining high degradation efficiency over four cycles. Density Functional Theory (DFT) and Time-Dependent DFT (TD-DFT) calculations were performed to understand the degradation mechanisms. UV-Vis absorption spectrum simulations suggested that the anionic HEB−2 (O24) or EB−3 forms of the EBT dye are likely to undergo degradation. This study highlights the potential of Bi2O3@TiO2 composites for effective photocatalytic applications in environmental remediation. Full article
(This article belongs to the Section Photocatalysis)
Show Figures

Graphical abstract

12 pages, 3241 KB  
Article
Cu-Metalated Porphyrin-Based MOFs Coupled with Anatase as Photocatalysts for CO2 Reduction: The Effect of Metalation Proportion
by Maria Anagnostopoulou, Valérie Keller and Konstantinos C. Christoforidis
Energies 2024, 17(6), 1483; https://doi.org/10.3390/en17061483 - 20 Mar 2024
Cited by 3 | Viewed by 3303
Abstract
Converting carbon dioxide (CO2) into valuable chemicals such as fossil resources via photocatalysis requires the development of advanced materials. Herein, we coupled zirconium-based metal–organic frameworks (MOFs) containing porphyrin and Cu-porphyrin with anatase TiO2. The effect of the porphyrin metalation [...] Read more.
Converting carbon dioxide (CO2) into valuable chemicals such as fossil resources via photocatalysis requires the development of advanced materials. Herein, we coupled zirconium-based metal–organic frameworks (MOFs) containing porphyrin and Cu-porphyrin with anatase TiO2. The effect of the porphyrin metalation proportion was also investigated. Notably, while the use of free-base porphyrin as the organic linker resulted in the development of PCN-224, the presence of Cu-porphyrin provided mixed-phase MOF structures containing both PCN-224 and PCN-222. MOF/TiO2 composites bearing partial (50%) metalated porphyrin were proven more active and selective towards the production of CH4, at ambient conditions, in the gas phase and using water vapors without the use of hole scavengers. The optimized composite bearing 15 wt.% of the partial metalated MOF was three times more active than pure TiO2 towards CH4 production. This study provides insights on the effect of precise materials engineering at a molecular level on the development of advanced MOF-based photocatalysts for CO2 reduction. Full article
(This article belongs to the Section A: Sustainable Energy)
Show Figures

Figure 1

45 pages, 9325 KB  
Review
Molecular Mechanisms of Oxygen Evolution Reactions for Artificial Photosynthesis
by Yoshio Nosaka
Oxygen 2023, 3(4), 407-451; https://doi.org/10.3390/oxygen3040027 - 16 Nov 2023
Cited by 4 | Viewed by 7743
Abstract
Addressing the global environmental problem of water splitting to produce hydrogen fuel by solar energy is receiving so much attention. In water splitting, the essential problem to solve is the development of efficient catalysts for oxygen production. In this paper, having the prospect [...] Read more.
Addressing the global environmental problem of water splitting to produce hydrogen fuel by solar energy is receiving so much attention. In water splitting, the essential problem to solve is the development of efficient catalysts for oxygen production. In this paper, having the prospect for a practical application of photocatalysts to artificial photosynthesis, molecular mechanisms in the current literature are briefly reviewed. At first, recent progress in the function of the Mn cluster at the natural photosystem II is briefly described. The kinds of devices in which oxygen evolution reaction (OER) catalysts are used were designated: water electrolyzers, photoelectrodes, and photocatalysts. Some methods for analyzing molecular mechanisms in OER catalysis, emphasized by the FTIR method, are shown briefly. After describing common OER mechanisms, the molecular mechanisms are discussed for TiO2 and BiVO4 photoelectrodes with our novel data, followed by presenting OER co-catalysts of IrO2, RuO2, NiO2, and other metal oxides. Recent reports describing OER catalysts of perovskites, layered double hydroxides (LDH), metal–organic frameworks (MOF), single-atom catalysts, as well as metal complexes are reviewed. Finally, by comparing with natural photosystem, the required factors to improve the activity of the catalysts for artificial photosynthesis will be discussed. Full article
Show Figures

Figure 1

31 pages, 18318 KB  
Review
Revolutionizing Wastewater Treatment: Harnessing Metal–Organic Frameworks for Exceptional Photocatalytic Degradation of Azo-Type Dyes
by Jose Manuel Barrera-Andrade, Natali de la Fuente-Maldonado, Ricardo Lopez-Medina, Ana Marisela Maubert-Franco and Elizabeth Rojas-Garcia
Colorants 2023, 2(4), 674-704; https://doi.org/10.3390/colorants2040035 - 13 Nov 2023
Cited by 2 | Viewed by 3651
Abstract
Due to the high stability of azo-type dyes, conventional treatment processes such as adsorption, flocculation, and activated sludge are not efficient for decolorizing wastewater effluents. An alternative to traditional wastewater treatment is photocatalysis, which has gained significant interest because research has shown it [...] Read more.
Due to the high stability of azo-type dyes, conventional treatment processes such as adsorption, flocculation, and activated sludge are not efficient for decolorizing wastewater effluents. An alternative to traditional wastewater treatment is photocatalysis, which has gained significant interest because research has shown it to be a viable and cost-effective process that uses sunlight as an inexhaustible energy source. In heterogeneous photocatalysis, a photocatalyst is required, such as TiO2, ZnO, composite materials, and, more recently, metal–organic frameworks (MOFs). MOFs, also known as “coordination polymers”, exhibit photocatalytic properties and have been proven to be promising materials in the photocatalytic degradation of dyes. This study presents recent advances in using MOFs as photocatalysts to degrade recalcitrant contaminants like azo-type dyes. Recent advancements in developing photocatalysts based on MOFs are focused on two strategies. Firstly, the development of new MOFs composed of complex ligands or a mixed ligand system, and secondly, the synthesis of composite materials based on MOFs and metal oxides, metals, sulfides, nitrides, etc. Both strategies have significantly contributed to the search for new semiconductors to degrade some recalcitrate contaminants in wastewater. Full article
Show Figures

Figure 1

16 pages, 5269 KB  
Article
Design and Synthesis of NTU-9/C3N4 Photocatalysts: Effects of NTU-9 Content and Composite Preparation Method
by Damian Makowski, Wojciech Lisowski, Mateusz A. Baluk, Tomasz Klimczuk and Beata Bajorowicz
Materials 2023, 16(14), 5007; https://doi.org/10.3390/ma16145007 - 14 Jul 2023
Cited by 6 | Viewed by 2417
Abstract
Hybrid materials based on graphitic carbon nitride (g-C3N4) and NTU-9 metal–organic frameworks (MOF) were designed and prepared via solvothermal synthesis and calcination in air. The as-prepared photocatalysts were subsequently characterized using Brunauer–Emmett–Teller (BET) analysis, UV-Vis diffuse reflectance spectroscopy (DRS), [...] Read more.
Hybrid materials based on graphitic carbon nitride (g-C3N4) and NTU-9 metal–organic frameworks (MOF) were designed and prepared via solvothermal synthesis and calcination in air. The as-prepared photocatalysts were subsequently characterized using Brunauer–Emmett–Teller (BET) analysis, UV-Vis diffuse reflectance spectroscopy (DRS), photoluminescence (PL) emission spectroscopy, X-ray diffraction (XRD), X-ray photoelectron spectroscopy (XPS), and scanning electron microscopy (SEM). The obtained NTU-9/C3N4 composites showed a greatly improved photocatalytic performance for the degradation of toluene in the gas phase under LED visible-light irradiation (λmax = 415 nm). The physicochemical properties and photocatalytic activities of the obtained NTU-9/C3N4 materials were tuned by varying the NTU-9 content (5–15 wt%) and preparation method of the composite materials. For composites prepared by calcination, the photocatalytic activity increased with decreasing NTU-9 content as a result of the formation of TiO2 from the MOFs. The best photocatalytic performance (65% of toluene was photodegraded after 60 min) was achieved by the NTU-9/C3N4 sample prepared via the solvothermal method and containing 15 wt% MOF, which can be attributed to the appropriate amount and stable combination of composite components, efficient charge separation, and enhanced visible-light absorption ability. The photocatalytic mechanisms of the prepared hybrid materials depending on the preparation method are also discussed. Full article
(This article belongs to the Section Materials Chemistry)
Show Figures

Figure 1

14 pages, 4417 KB  
Article
Microemulsion–Assisted Synthesis of Ag2CrO4@MIL–125(Ti)–NH2 Z–Scheme Heterojunction for Visible–Light Photocatalytic Inactivation of Bacteria
by Haoyu Yuan, Chao Zhang, Wenjing Chen, Yuzhou Xia, Lu Chen, Renkun Huang, Ruiru Si and Ruowen Liang
Catalysts 2023, 13(5), 817; https://doi.org/10.3390/catal13050817 - 28 Apr 2023
Cited by 6 | Viewed by 2402
Abstract
Metal–organic frameworks (MOFs) are new porous materials composed of metal centers and organic ligand bridges, which received great attention in the field of photocatalysis. In this work, Ag2CrO4@MIL–125(Ti)–NH2 (denoted as AgCr@M125) Z–scheme heterojunctions were synthesized via a simple [...] Read more.
Metal–organic frameworks (MOFs) are new porous materials composed of metal centers and organic ligand bridges, which received great attention in the field of photocatalysis. In this work, Ag2CrO4@MIL–125(Ti)–NH2 (denoted as AgCr@M125) Z–scheme heterojunctions were synthesized via a simple microemulsion method, by which highly dispersed nano–sized Ag2CrO4 can be anchored uniformly on the surfaces of porous MIL–125(Ti)–NH2 (denoted as M125). Compared with pure M125 and Ag2CrO4, the as–prepared AgCr@M125 hybrids show significant photocatalytic efficiency against inactivated Staphylococcus aureus (S. aureus), reaching over 97% inactivation of the bacteria after 15 min of visible light irradiation. Notably, the photocatalytic activity of the obtained 20%AgCr@M125 is about 1.75 times higher than that of AgCr–M125, which was prepared via a traditional precipitation method. The enhanced photocatalytic antibacterial activity of the AgCr@M125 photocatalytic system is strongly ascribed to a direct Z–scheme mechanism, which can be carefully discussed based on energy band positions and time–dependent electron spin response (ESR) experiments. Our work highlights a simple way to enhance the antibacterial effect by coupling with Ag2CrO4 and M125 via a microemulsion–assisted strategy and affords an ideal example for developing MOFs–based Z–scheme photocatalysts with excellent photoactivity. Full article
Show Figures

Figure 1

14 pages, 21020 KB  
Article
Study on the MOF Frame Pt-TiO2 Hybrid Photocatalyst and Its Photocatalytic Performance
by Xueqiao Mei, Han Yuan and Chunhu Li
Sustainability 2023, 15(2), 1403; https://doi.org/10.3390/su15021403 - 11 Jan 2023
Cited by 9 | Viewed by 2840
Abstract
As the efficient catalysts are synthesized by a simple strategy, photocatalysis offers a sustainable route to solve the problem of environmentally sound treatment of industrial dye wastewater. Herein, Pt-doped TiO2 with MIL-125 as the backbone has been fabricated using thermal synthesis. The [...] Read more.
As the efficient catalysts are synthesized by a simple strategy, photocatalysis offers a sustainable route to solve the problem of environmentally sound treatment of industrial dye wastewater. Herein, Pt-doped TiO2 with MIL-125 as the backbone has been fabricated using thermal synthesis. The photocatalytic efficiency of the synthesized catalyst samples was tested using Rhodamine B (RhB) as the contaminant model. The physicochemical properties of the solid specimens were characterized using XRD, SEM, TEM, BET and EDX techniques. The photocatalytic degradation experiments showed that the photocatalytic degradation of RhB by M-Pt-TiO2 was 98.97% after 30 min of degradation. The radical capture experiments showed that superoxide radicals and conduction band electrons as reactive oxygen species played a major role in the degradation process. After four cycles, the photocatalytic activity of M-Pt-TiO2 decreased from 98.4% to 94.9%, indicating that the photocatalyst sample had good photocatalytic stability. Full article
(This article belongs to the Section Sustainable Engineering and Science)
Show Figures

Figure 1

28 pages, 4876 KB  
Article
Degradation of Carbamazepine by HF-Free-Synthesized MIL-101(Cr)@Anatase TiO2 Composite under UV-A Irradiation: Degradation Mechanism, Wastewater Matrix Effect, and Degradation Pathway
by J. W. Goh, Y. Xiong, W. Wu, Z. Huang, S. L. Ong and J. Y. Hu
Water 2022, 14(23), 3964; https://doi.org/10.3390/w14233964 - 5 Dec 2022
Cited by 7 | Viewed by 4151
Abstract
TiO2 has been hampered by drawbacks such as rapid photoelectron and hole recombination and a wide energy band gap of 3.2 eV. In this study, MIL-101(Cr)@TiO2 was synthesised without any mineraliser (HF) as part of material modification approach to overcome those [...] Read more.
TiO2 has been hampered by drawbacks such as rapid photoelectron and hole recombination and a wide energy band gap of 3.2 eV. In this study, MIL-101(Cr)@TiO2 was synthesised without any mineraliser (HF) as part of material modification approach to overcome those pitfalls. The composite was well characterized by XRD, FT-IR, TEM, XPS, BET, TGA, and Raman spectroscopy. Under optimal synthesis conditions, the 9.17% MIL-101(Cr)@TiO2 composite exhibited 99.9% CBZ degradation after 60 min under UV-A irradiation. This can be attributed to the delayed recombination of photo-generated h+ and e and a reduced band gap energy of 2.9 eV. A Type II heterojunction structure was proposed for the composite using the Mulligan function of electronegativity with the calculated Ecb and Evb. Besides, trapping experiments and ESR spectroscopy confirmed O2•− as the main ROS for CBZ degradation. The effects of the operating parameters such as pH, UV intensity, composite dosage, and initial pollutant concentration were also evaluated. The scavenging effects of inorganic and organic constituents of pharmaceutical wastewater on the process were also evaluated, with HCO3, CO32−, and THF having more significant inhibition on the overall CBZ degradation. The degradation pathways of CBZ were also proposed based on detected intermediates with the aid of LC/MS/MS. The composite illustrated reusability and stability without considerable loss in the degradation performance after repeated runs. This work builds on the development of more effective photocatalysts and provides a glimpse into applications for similar MOF heterojunction photocatalysts. Full article
Show Figures

Figure 1

46 pages, 3156 KB  
Review
Recent Progress on Tailoring the Biomass-Derived Cellulose Hybrid Composite Photocatalysts
by Yi Ding Chai, Yean Ling Pang, Steven Lim, Woon Chan Chong, Chin Wei Lai and Ahmad Zuhairi Abdullah
Polymers 2022, 14(23), 5244; https://doi.org/10.3390/polym14235244 - 1 Dec 2022
Cited by 28 | Viewed by 5584
Abstract
Biomass-derived cellulose hybrid composite materials are promising for application in the field of photocatalysis due to their excellent properties. The excellent properties between biomass-derived cellulose and photocatalyst materials was induced by biocompatibility and high hydrophilicity of the cellulose components. Biomass-derived cellulose exhibited huge [...] Read more.
Biomass-derived cellulose hybrid composite materials are promising for application in the field of photocatalysis due to their excellent properties. The excellent properties between biomass-derived cellulose and photocatalyst materials was induced by biocompatibility and high hydrophilicity of the cellulose components. Biomass-derived cellulose exhibited huge amount of electron-rich hydroxyl group which could promote superior interaction with the photocatalyst. Hence, the original sources and types of cellulose, synthesizing methods, and fabrication cellulose composites together with applications are reviewed in this paper. Different types of biomasses such as biochar, activated carbon (AC), cellulose, chitosan, and chitin were discussed. Cellulose is categorized as plant cellulose, bacterial cellulose, algae cellulose, and tunicate cellulose. The extraction and purification steps of cellulose were explained in detail. Next, the common photocatalyst nanomaterials including titanium dioxide (TiO2), zinc oxide (ZnO), graphitic carbon nitride (g-C3N4), and graphene, were introduced based on their distinct structures, advantages, and limitations in water treatment applications. The synthesizing method of TiO2-based photocatalyst includes hydrothermal synthesis, sol-gel synthesis, and chemical vapor deposition synthesis. Different synthesizing methods contribute toward different TiO2 forms in terms of structural phases and surface morphology. The fabrication and performance of cellulose composite catalysts give readers a better understanding of the incorporation of cellulose in the development of sustainable and robust photocatalysts. The modifications including metal doping, non-metal doping, and metal–organic frameworks (MOFs) showed improvements on the degradation performance of cellulose composite catalysts. The information and evidence on the fabrication techniques of biomass-derived cellulose hybrid photocatalyst and its recent application in the field of water treatment were reviewed thoroughly in this review paper. Full article
(This article belongs to the Special Issue Natural-Based Biodegradable Polymeric Materials)
Show Figures

Figure 1

17 pages, 4229 KB  
Article
Photocatalytic Hydrogen Production from Glycerol Aqueous Solutions as Sustainable Feedstocks Using Zr-Based UiO-66 Materials under Simulated Sunlight Irradiation
by Celia M. Rueda-Navarro, Belén Ferrer, Herme G. Baldoví and Sergio Navalón
Nanomaterials 2022, 12(21), 3808; https://doi.org/10.3390/nano12213808 - 28 Oct 2022
Cited by 17 | Viewed by 3951
Abstract
There is an increasing interest in developing cost-effective technologies to produce hydrogen from sustainable resources. Herein we show a comprehensive study on the use of metal–organic frameworks (MOFs) as heterogeneous photocatalysts for H2 generation from photoreforming of glycerol aqueous solutions under simulated [...] Read more.
There is an increasing interest in developing cost-effective technologies to produce hydrogen from sustainable resources. Herein we show a comprehensive study on the use of metal–organic frameworks (MOFs) as heterogeneous photocatalysts for H2 generation from photoreforming of glycerol aqueous solutions under simulated sunlight irradiation. The list of materials employed in this study include some of the benchmark Zr-MOFs such as UiO-66(Zr)-X (X: H, NO2, NH2) as well as MIL-125(Ti)-NH2 as the reference Ti-MOF. Among these solids, UiO-66(Zr)-NH2 exhibits the highest photocatalytic H2 production, and this observation is attributed to its adequate energy level. The photocatalytic activity of UiO-66(Zr)-NH2 can be increased by deposition of small Pt NPs as the reference noble metal co-catalyst within the MOF network. This photocatalyst is effectively used for H2 generation at least for 70 h without loss of activity. The crystallinity of MOF and Pt particle size were maintained as revealed by powder X-ray diffraction and transmission electron microscopy measurements, respectively. Evidence in support of the occurrence of photoinduced charge separation with Pt@UiO-66(Zr)-NH2 is provided from transient absorption and photoluminescence spectroscopies together with photocurrent measurements. This study exemplifies the possibility of using MOFs as photocatalysts for the solar-driven H2 generation using sustainable feedstocks. Full article
Show Figures

Figure 1

20 pages, 3518 KB  
Review
Recent Advances in Vehicle Exhaust Treatment with Photocatalytic Technology
by Jianyong Zhao, Jianpeng Sun, Xiangchao Meng and Zizhen Li
Catalysts 2022, 12(9), 1051; https://doi.org/10.3390/catal12091051 - 15 Sep 2022
Cited by 22 | Viewed by 6021
Abstract
Vehicle exhaust has been acknowledged as an essential factor affecting human health due to the extensive use of cars. Its main components include volatile organic compounds (VOCs) and nitrogen oxides (NOx), which can cause acute irritation and chronic diseases, and significant [...] Read more.
Vehicle exhaust has been acknowledged as an essential factor affecting human health due to the extensive use of cars. Its main components include volatile organic compounds (VOCs) and nitrogen oxides (NOx), which can cause acute irritation and chronic diseases, and significant research on the treatment of vehicle exhaust has received increasing attention in recent decades. Recently, photocatalytic technology has been considered a practical approach for eliminating vehicle emissions. This review highlights the crucial role of photocatalytic technology in eliminating vehicle emissions using semiconductor catalysts. A particular emphasis has been placed on various photocatalytic materials, such as TiO2-based materials, Bi-based materials, and Metal–Organic Frameworks (MOFs), and their recent advances in the performance of VOC and NOx photodegradation. In addition, the applications of photocatalytic technology for the elimination of vehicle exhaust are presented (including photocatalysts combined with pavement surfaces, making photocatalysts into architectural coatings and photoreactors), which will offer a promising strategy for photocatalytic technology to remove vehicle exhaust. Full article
Show Figures

Figure 1

13 pages, 3534 KB  
Article
UiO-66/Palygorskite/TiO2 Ternary Composites as Adsorbents and Photocatalysts for Methyl Orange Removal
by Thaleia Ioannidou, Maria Anagnostopoulou, Dimitrios Papoulis, Konstantinos C. Christoforidis and Ioanna A. Vasiliadou
Appl. Sci. 2022, 12(16), 8223; https://doi.org/10.3390/app12168223 - 17 Aug 2022
Cited by 19 | Viewed by 2997
Abstract
Metal–organic frameworks are recognized as a new generation of emerging porous materials in a variety of applications including adsorption and photocatalysis. The present study presents the development of ternary composite materials made through the coupling of UiO-66 with palygorskite (Pal) clay mineral and [...] Read more.
Metal–organic frameworks are recognized as a new generation of emerging porous materials in a variety of applications including adsorption and photocatalysis. The present study presents the development of ternary composite materials made through the coupling of UiO-66 with palygorskite (Pal) clay mineral and titanium dioxide (TiO2) applied as adsorbent and photocatalyst for the removal of methyl orange (MO) from aqueous solutions as a typical anionic dye. The prepared materials were characterized using XRD, ATR, DR UV/Vis, and TGA analysis. Detailed kinetic experiments revealed that the presence of the clay at low amounts in the composite outperformed the adsorption efficiency of pure UiO-66, increasing MO adsorption by ca. 8%. In addition, coupling Pal/UiO-66 with TiO2 for the production of ternary composites provided photocatalytic properties that resulted in complete removal of MO. This was not observed in the pure UiO-66, the Pal/UiO-66 composite, or the pure TiO2 material. This study presents the first example of clay mineral/MOF/TiO2 composites with improved performance in removing dyes from aqueous solutions and highlights the importance of coupling MOFs with low-cost clay minerals and photocatalysts for the development of multifunctional advanced composites. Full article
(This article belongs to the Special Issue Treatment of Wastes and Energy Recovery)
Show Figures

Figure 1

13 pages, 4267 KB  
Article
TiO2@MOF Photocatalyst for the Synergetic Oxidation of Microcystin-LR and Reduction of Cr(VI) in Aqueous Media
by Yarui Wang, Wanchao Yu, Fanglan Geng, Lixia Zhao and Yawei Wang
Catalysts 2021, 11(10), 1186; https://doi.org/10.3390/catal11101186 - 29 Sep 2021
Cited by 19 | Viewed by 4597
Abstract
The coexistence of pollutants presents a great challenge to the implementation of photocatalysts. In this work, a novel MIL-101(Fe)/TiO2 composite prepared by in situ growth of MIL-101(Fe) on TiO2 was developed for the synergetic oxidation of MC-LR and Cr(VI) reduction. The [...] Read more.
The coexistence of pollutants presents a great challenge to the implementation of photocatalysts. In this work, a novel MIL-101(Fe)/TiO2 composite prepared by in situ growth of MIL-101(Fe) on TiO2 was developed for the synergetic oxidation of MC-LR and Cr(VI) reduction. The heterojunction material shows elevated photocatalytic behavior under ultraviolet compared with the unary pollutant system. Furthermore, quenching experiments and electron spin resonance confirm that the enhanced photodegradation behavior is related to the synergistic effect between the photocatalytic reduction and oxidation process, in which MC-LR consumes the holes and Cr(VI) captures electrons, followed by efficient charge separation through the conventional double-transfer mechanism between MIL-101(Fe) and TiO2. This investigation provides a deeper understanding of the construction of MOFs/semiconductor heterojunctions for the pollutants removal in multi-component contaminants system. Full article
(This article belongs to the Special Issue Application of TiO2 Nanotube in Electrocatalysis/Photocatalysis)
Show Figures

Graphical abstract

Back to TopTop