Copper-Based Metal–Organic Framework (MOF) Photocatalyst Immobilized on Glass Beads for Sustainable Removal of Ciprofloxacin from Water
Abstract
1. Introduction
2. Materials and Methods
2.1. Chemicals and Materials
2.2. Synthesis of HKUST-1 and Preparation of TiO2/HKUST-1 Composite
2.3. Immobilization onto Glass Beads and Characterization
2.4. Characterization Techniques of Materials
2.5. HPLC and Q-Tof Analysis
2.6. Adsorption Kinetics and Isotherms
2.7. Photocatalytic Degradation
2.8. Batch Adsorption and Photocatalysis Experiments
2.9. Reusability and Stability Tests Including Degradation Pathway Analysis
3. Results and Discussion
3.1. Characterization of TiO2/HKUST-1 and Immobilized Beads
3.2. Adsorption of Ciprofloxacin by TiO2/HKUST-1
3.3. Photocatalytic Degradation Performance
3.4. Parameter Optimization
3.5. Effect of pH
3.6. Effect of Ionic Strength
3.7. Effect of Oxidants
3.8. Photocatalytic Degradation of CIP in Tap Water
3.9. Reusability and Stability of the Catalyst
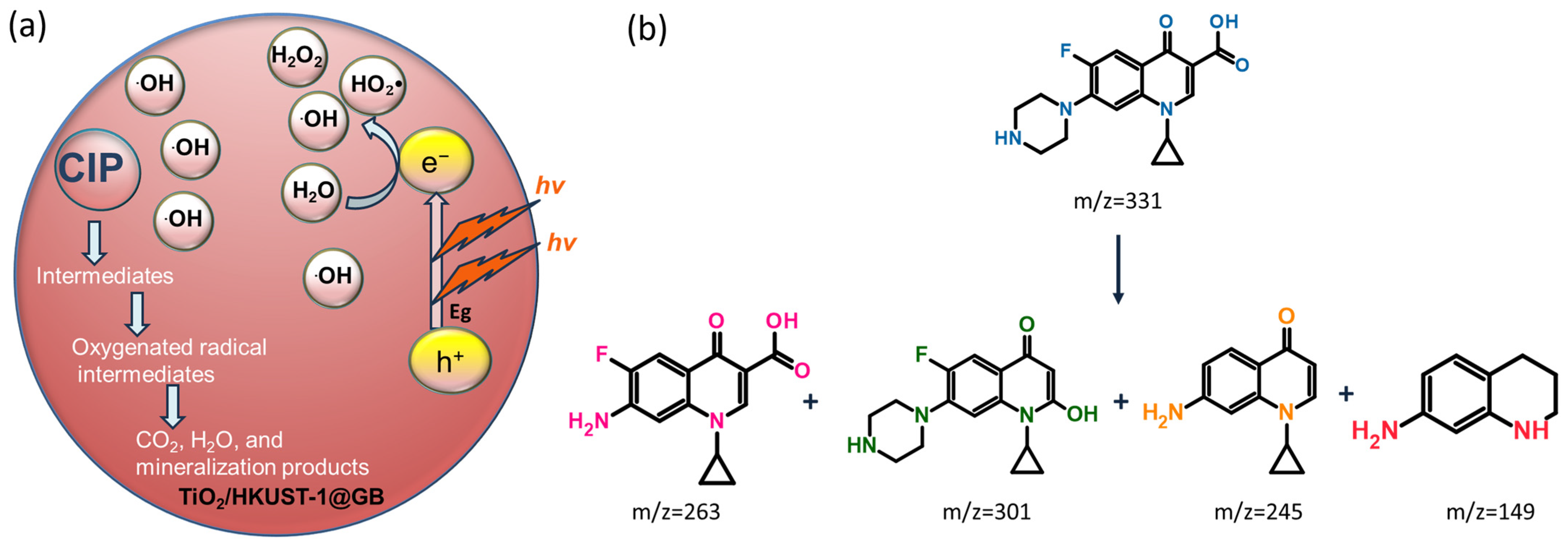
3.10. Photocatalytic Degradation Mechanism
4. Conclusions
Supplementary Materials
Author Contributions
Funding
Data Availability Statement
Acknowledgments
Conflicts of Interest
References
- Roose-Amsaleg, C.; Laverman, A.M. Do antibiotics have environmental side-effects? Impact of synthetic antibiotics on biogeochemical processes. Environ. Sci. Pollut. Res. 2016, 23, 4000–4012. [Google Scholar] [CrossRef] [PubMed]
- Bengtsson, B.; Greko, C. Antibiotic resistance-consequences for animal health, welfare, and food production. Ups. J. Med. Sci. 2014, 119, 96–102. [Google Scholar] [CrossRef]
- Thai, V.A.; Dang, V.D.; Thuy, N.T.; Pandit, B.; Vo, T.K.Q.; Khedulkar, A.P. Fluoroquinolones: Fate, effects on the environment and selected removal methods. J. Clean. Prod. 2023, 418, 137762. [Google Scholar] [CrossRef]
- Soldevila, S.; Boscá, F. Photoreactivity of fluoroquinolones: Nature of aryl cations generated in water. Org. Lett. 2012, 14, 3940–3943. [Google Scholar] [CrossRef] [PubMed]
- Li, M.; Ji, D.; Pamudji, M.S.; Lui, K.H.; Zhao, Y.; Zhao, G.; Zhou, S.-Q.; Mo, C.-H.; Han, W.; Yeung, K.L. Occurrence, risk, and treatment of ciprofloxacin and clarithromycin in drainage. Chem. Eng. J. 2023, 466, 142968. [Google Scholar] [CrossRef]
- Sodhi, K.K.; Singh, D.K. Insight into the fluoroquinolone resistance, sources, ecotoxicity, and degradation with special emphasis on ciprofloxacin. J. Water Process Eng. 2021, 43, 102218. [Google Scholar] [CrossRef]
- Antilén, M.; Bustos, O.; Ramirez, G.; Canales, C.; Faundez, M.; Escudey, M.; Pizarro, C. Electrochemical evaluation of ciprofloxacin adsorption on soil organic matter. New J. Chem. 2016, 40, 7132–7139. [Google Scholar] [CrossRef]
- Tantis, I.; Bousiakou, L.; Karikas, G.A.; Lianos, P. Photocatalytic and photoelectrocatalytic degradation of the antibacterial agent ciprofloxacin. Photochem. Photobiol. Sci. 2015, 14, 603–607. [Google Scholar] [CrossRef]
- Chang, M.X.; Zhang, J.F.; Sun, Y.H.; Li, R.S.; Lin, X.L.; Yang, L.; Webber, M.A.; Jiang, H.-X. Contribution of Different Mechanisms to Ciprofloxacin Resistance in Salmonella spp. Front. Microbiol. 2021, 12, 663731. [Google Scholar] [CrossRef]
- Gothwal, R.; Shashidhar, T. Proliferation of Ciprofloxacin Resistant Bacteria in Polluted Sediments of Musi River, India. Soil Sediment Contam. 2017, 26, 501–509. [Google Scholar] [CrossRef]
- Lupu, G.I.; Orbeci, C.; Bobirică, L.; Bobirică, C.; Pascu, L.F. Key Principles of Advanced Oxidation Processes: A Systematic Analysis of Current and Future Perspectives of the Removal of Antibiotics from Wastewater. Catalysts 2023, 13, 1280. [Google Scholar] [CrossRef]
- Yang, Q.; Gao, Y.; Ke, J.; Show, P.L.; Ge, Y.; Liu, Y.; Guo, R.; Chen, J. Antibiotics: An overview on the environmental occurrence, toxicity, degradation, and removal methods. Bioengineered 2021, 12, 7376–7416. [Google Scholar] [CrossRef] [PubMed]
- Larsson, D.G.J.; Flach, C.F. Antibiotic resistance in the environment. Nat. Rev. Microbiol. 2022, 20, 257–269. [Google Scholar] [CrossRef] [PubMed]
- Ebrahimi, S.M.; Reyhani, R.D.; Asghari-JafarAbadi, M.; Fathifar, Z. Diversity of antibiotics in hospital and municipal wastewaters and receiving water bodies and removal efficiency by treatment processes: A systematic review protocol. Environ. Evid. 2020, 9, 13. [Google Scholar] [CrossRef]
- Boving, T.; Dixit, D.; Dutta, A. Technologies for Soil and Water Pollution Remediation; Elsevier: Amsterdam, The Netherlands, 2026. [Google Scholar]
- Dixit, D.; Jain, S.; Dutta, A.; Sarkar, S. Recent advances in adsorptive removal of fluoroquinolones from aqueous matrices. Chem. Eng. J. Green Sustain. 2026, 1, 100008. [Google Scholar] [CrossRef]
- Singh, P.P.; Pandey, G.; Murti, Y.; Gairola, J.; Mahajan, S.; Kandhari, H.; Tivari, S.; Srivastava, V. Light-driven photocatalysis as an effective tool for degradation of antibiotics. RSC Adv. 2024, 14, 20492–20515. [Google Scholar] [CrossRef]
- Moreira, N.F.F.; Narciso-da-Rocha, C.; Polo-López, M.I.; Pastrana-Martínez, L.M.; Faria, J.L.; Manaia, C.M.; Fernández-Ibáñez, P.; Nunes, O.C.; Silva, A.M. Solar treatment (H2O2, TiO2-P25 and GO-TiO2 photocatalysis, photo-Fenton) of organic micropollutants, human pathogen indicators, antibiotic resistant bacteria and related genes in urban wastewater. Water Res. 2018, 135, 195–206. [Google Scholar] [CrossRef]
- Chen, Y.; Ma, J.; Yang, H.; Ji, H.; Li, W.; Pi, Y.; Pang, H. Application of modified metal-organic frameworks in water treatment. Mater. Today Chem. 2023, 30, 101577. [Google Scholar] [CrossRef]
- Zhang, G.; Li, X.; Liu, Y.; Du, G.; Pang, H. Metal-organic framework derived micro-/nano-materials: Precise synthesis and clean energy applications. Inorg. Chem. Front. 2024, 148, 04022074. [Google Scholar] [CrossRef]
- Dixit, D.; Choudhary, S.; Sarka, S.; Banerjee, S.; Boving, T. Experimental and Computational Investigation of Selective Removal of Ciprofloxacin by HKUST-1. J. Water Process Eng. in press.
- Wang, Y.; Yu, W.; Geng, F.; Zhao, L.; Wang, Y. TiO2@MOF photocatalyst for the synergetic oxidation of microcystin-LR and reduction of Cr(VI) in Aqueous media. Catalysts 2021, 11, 1186. [Google Scholar] [CrossRef]
- Yu, Y.; Liu, K.; Zhang, Y.; Xing, X.; Li, H. High Photocatalytic Activity of g-C3N4/La-N-TiO2 Composite with Nanoscale Heterojunctions for Degradation of Ciprofloxacin. Int. J. Environ. Res. Public Health 2022, 19, 4793. [Google Scholar] [CrossRef]
- Usman, M.R.; Prasasti, A.; Fajriyah, S.; Marita, A.W.; Islamiah, S.; Firdaus, A.N.; Noviyanti, A.R.; Eddy, D.R. Degradation of ciprofloxacin by titanium dioxide (TiO2) nanoparticles: Optimization of conditions, toxicity, and degradation pathway. Bull. Chem. React. Eng. Catal. 2021, 16, 752–762. [Google Scholar] [CrossRef]
- Malakootian, M.; Nasiri, A.; Amiri Gharaghani, M. Photocatalytic degradation of ciprofloxacin antibiotic by TiO2 nanoparticles immobilized on a glass plate. Chem. Eng. Commun. 2020, 207, 56–72. [Google Scholar] [CrossRef]
- Hassan Mohamed, N.A.; Shamma, R.N.; Elagroudy, S.; Adewuyi, A. Visible Light-Driven Photocatalytic Degradation of Ciprofloxacin, Ampicillin and Erythromycin by Zinc Ferrite Immobilized on Chitosan. Resources 2022, 11, 81. [Google Scholar] [CrossRef]
- Zhao, Z.; Lei, Y.; Liu, W.; Fan, J.; Xue, D.; Xue, Y.; Yin, S. Fly ash cenospheres as multifunctional supports of g-C3N4/N-TiO2 with enhanced visible-light photocatalytic activity and adsorption. Adv. Powder Technol. 2017, 28, 3233–3240. [Google Scholar] [CrossRef]
- Altin, I.; Sökmen, M. Preparation of TiO2-polystyrene photocatalyst from waste material and its usability for removal of various pollutants. Appl. Catal. B 2014, 144, 694–701. [Google Scholar] [CrossRef]
- Magalhães, F.; Lago, R.M. Floating photocatalysts based on TiO2 grafted on expanded polystyrene beads for the solar degradation of dyes. Sol. Energy 2009, 83, 1521–1526. [Google Scholar] [CrossRef]
- Chowdhury, P.; Bikkina, C.; Meister, D.; Dreisbach, F.; Gumma, S. Comparison of adsorption isotherms on Cu-BTC metal organic frameworks synthesized from different routes. Microporous Mesoporous Mater. 2009, 117, 406–413. [Google Scholar] [CrossRef]
- Hui, J.; Pestana, C.J.; Caux, M.; Gunaratne, H.Q.N.; Edwards, C.; Robertson, P.K.J.; Lawton, L.A.; Irvine, J.T. Graphitic-C3N4 coated floating glass beads for photocatalytic destruction of synthetic and natural organic compounds in water under UV light. J. Photochem. Photobiol. A Chem. 2021, 405, 112935. [Google Scholar] [CrossRef]
- Tsai, C.K.; Huang, C.H.; Horng, J.J.; Ong, H.L.; Doong, R.A. Enhanced Visible-Light-Responsive Photocatalytic Degradation of Ciprofloxacin by the CuxO/Metal-Organic Framework Hybrid Nanocomposite. Nanomaterials 2023, 13, 282. [Google Scholar] [CrossRef]
- Min, X.; Li, X.; Zhao, J.; Hu, X.; Yang, W. Heterostructured TiO2@HKUST-1 for the enhanced removal of methylene blue by integrated adsorption and photocatalytic degradation. Environ. Technol. 2021, 42, 4134–4144. [Google Scholar] [CrossRef]
- Yao, N.; Li, C.; Yu, J.; Xu, Q.; Wei, S.; Tian, Z.; Yang, Z.; Yang, W.; Shen, J. Insight into adsorption of combined antibiotic-heavy metal contaminants on graphene oxide in water. Sep. Purif. Technol. 2020, 236, 116278. [Google Scholar] [CrossRef]
- Pretali, L.; Fasani, E.; Sturini, M. Current advances on the photocatalytic degradation of fluoroquinolones: Photoreaction mechanism and environmental application. Photochem. Photobiol. Sci. 2022, 21, 899–912. [Google Scholar] [CrossRef]
- Klementová, Š.; Poncarová, M.; Langhansová, H.; Lieskovská, J.; Kahoun, D.; Fojtíková, P. Photodegradation of fluoroquinolones in aqueous solution under light conditions relevant to surface waters, toxicity assessment of photoproduct mixtures. Environ. Sci. Pollut. Res. 2021, 29, 13941–13962. [Google Scholar] [CrossRef] [PubMed]
- Paumo, H.K.; Dalhatou, S.; Katata-Seru, L.M.; Kamdem, B.P.; Tijani, J.O.; Vishwanathan, V.; Kane, A.; Bahadur, I. TiO2 assisted photocatalysts for degradation of emerging organic pollutants in water and wastewater. J. Mol. Liq. 2021, 331, 115458. [Google Scholar] [CrossRef]
- Ge, L.; Deng, H. Degradation of two fluoroquinolone antibiotics photoinduced by Fe(III)-microalgae suspension in an aqueous solution. Photochem. Photobiol. Sci. 2015, 14, 693–699. [Google Scholar] [CrossRef]
- Cuquerella, M.C.; Miranda, M.A.; Boscá, F. Generation of detectable singlet aryl cations by photodehalogenation of fluoroquinolones. J. Phys. Chem. B 2006, 110, 6441–6443. [Google Scholar] [CrossRef] [PubMed]
- Hu, H.; Chen, Y.; Ye, J.; Zhuang, L.; Zhang, H.; Ou, H. Degradation of ciprofloxacin by 185/254 nm vacuum ultraviolet: Kinetics, mechanism and toxicology. Environ. Sci. 2019, 5, 564–576. [Google Scholar] [CrossRef]
- Chatterjee, A.; Jana, A.K.; Basu, J.K. A binary MOF of iron and copper for treating ciprofloxacin-contaminated waste water by an integrated technique of adsorption and photocatalytic degradation. New J. Chem. 2021, 45, 17196–17210. [Google Scholar] [CrossRef]
- Hu, X.; Hu, X.; Peng, Q.; Zhou, L.; Tan, X.; Jiang, L.; Tang, C.; Wang, H.; Liu, S.; Wang, Y.; et al. Mechanisms underlying the photocatalytic degradation pathway of ciprofloxacin with heterogeneous TiO2. Chem. Eng. J. 2020, 380, 122366. [Google Scholar] [CrossRef]







Disclaimer/Publisher’s Note: The statements, opinions and data contained in all publications are solely those of the individual author(s) and contributor(s) and not of MDPI and/or the editor(s). MDPI and/or the editor(s) disclaim responsibility for any injury to people or property resulting from any ideas, methods, instructions or products referred to in the content. |
© 2026 by the authors. Licensee MDPI, Basel, Switzerland. This article is an open access article distributed under the terms and conditions of the Creative Commons Attribution (CC BY) license.
Share and Cite
Dixit, D.; Sarkar, S.; Boving, T. Copper-Based Metal–Organic Framework (MOF) Photocatalyst Immobilized on Glass Beads for Sustainable Removal of Ciprofloxacin from Water. Water 2026, 18, 545. https://doi.org/10.3390/w18050545
Dixit D, Sarkar S, Boving T. Copper-Based Metal–Organic Framework (MOF) Photocatalyst Immobilized on Glass Beads for Sustainable Removal of Ciprofloxacin from Water. Water. 2026; 18(5):545. https://doi.org/10.3390/w18050545
Chicago/Turabian StyleDixit, Divya, Sudipta Sarkar, and Thomas Boving. 2026. "Copper-Based Metal–Organic Framework (MOF) Photocatalyst Immobilized on Glass Beads for Sustainable Removal of Ciprofloxacin from Water" Water 18, no. 5: 545. https://doi.org/10.3390/w18050545
APA StyleDixit, D., Sarkar, S., & Boving, T. (2026). Copper-Based Metal–Organic Framework (MOF) Photocatalyst Immobilized on Glass Beads for Sustainable Removal of Ciprofloxacin from Water. Water, 18(5), 545. https://doi.org/10.3390/w18050545

