Microemulsion–Assisted Synthesis of Ag2CrO4@MIL–125(Ti)–NH2 Z–Scheme Heterojunction for Visible–Light Photocatalytic Inactivation of Bacteria
Abstract
1. Introduction
2. Results and Discussion
2.1. Characterisations
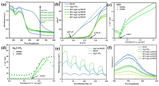
2.2. Energy Band Structure
2.3. Antibacterial Activity
2.4. Possible Photocatalytic Mechanism
3. Materials and Methods
3.1. Materials
3.2. Catalyst Preparation
3.2.1. Preparation of M125
3.2.2. Preparation of AgCr@M125
3.2.3. Preparation of AgCr–M125
3.3. Catalyst Preparation
3.4. Assessment of Antibacterial Activity
4. Conclusions
Author Contributions
Funding
Data Availability Statement
Conflicts of Interest
References
- Wang, S.; Xia, Y.; Yan, G.; Chen, M.; Wang, X.; Wu, L.; Liang, R. PDI bridged MIL–125(Ti)–NH2 heterojunction with frustrated Lewis pairs: A promising photocatalyst for Cr(VI) reduction and antibacterial application. Appl. Catal. 2022, 317, 121798. [Google Scholar] [CrossRef]
- Liu, S.; Jiang, X.; Waterhouse, G.I.N.; Zhang, Z.M.; Yu, L.M. Construction of Z–scheme Titanium–MOF/plasmonic silver nanoparticle/NiFe layered double hydroxide photocatalysts with enhanced dye and antibiotic degradation activity under visible light. Sep. Purif. Technol. 2021, 278, 119525. [Google Scholar] [CrossRef]
- Li, T.; Li, Y.B.; Dai, X.C.; Huang, M.H.; He, Y.; Xiao, G.; Xiao, F.X. Ligand–triggered tunable charge transfer toward multifarious photoreduction catalysis. J. Phys. Chem. C 2019, 123, 4701–4714. [Google Scholar] [CrossRef]
- Fu, Y.; Sun, D.; Chen, Y.; Huang, R.; Ding, Z.; Fu, X.; Li, Z. An amine–functionalized titanium metal–organic framework photocatalyst with visible–light–induced activity for CO2 reduction. Angew. Chem. Int. Ed. Engl. 2012, 51, 3364–3367. [Google Scholar] [CrossRef] [PubMed]
- Shang, Y.; Chen, X.; Liu, W.; Tan, P.; Chen, H.; Wu, L.; Ma, C.; Xiong, X.; Pan, J. Photocorrosion inhibition and high–efficiency photoactivity of porous g–C3N4/Ag2CrO4 composites by simple microemulsion–assisted co–precipitation method. Appl. Catal. 2017, 204, 78–88. [Google Scholar] [CrossRef]
- Shi, S.; Han, X.; Liu, J.; Lan, X.; Feng, J.; Li, Y.; Zhang, W.; Wang, J. Photothermal–boosted effect of binary CuFe bimetallic magnetic MOF heterojunction for high–performance photo–Fenton degradation of organic pollutants. Sci. Total Environ. 2021, 795, 148883. [Google Scholar] [CrossRef]
- Wang, S.M.; Wang, F.; Dong, Y.L.; Shivanna, M.; Dong, Q.; Mu, X.T.; Duan, J.; Yang, Q.; Zaworotko, M.J.; Yang, Q.Y. Reversed C2H6/C2H4 separation in interpenetrated diamondoid coordination networks with enhanced host-guest interaction. Sep. Purif. Technol. 2021, 276, 119385. [Google Scholar] [CrossRef]
- Lu, C.; Wang, J.; Xu, F.; Wang, A.; Meng, D. Zn–doped SnO2 hierarchical structures formed by a hydrothermal route with remarkably enhanced photocatalytic performance. Ceram. Int. 2018, 44, 15145–15152. [Google Scholar] [CrossRef]
- Shi, L.; Liang, L.; Wang, F.; Liu, M.; Sun, J. Ag2CrO4 nanoparticles loaded on two–dimensional large surface area graphite–like carbon nitride sheets: Simple synthesis and excellent photocatalytic performance. Dalton Trans. 2016, 45, 5815–5824. [Google Scholar] [CrossRef] [PubMed]
- Feng, S.; Tan, G.; Zhang, B.; Bi, Y.; Yang, Q.; Liu, T.; Liu, Y.; Wang, Z.; Wang, M.; Xia, A.; et al. Local surface plasmon resonance promotion of photogenerated electrons to hot electrons for enhancing photothermal CO2 hydrogenation over Ni(OH)2/Ti3C2 catalysts. Colloids Surf. A 2023, 661, 130907. [Google Scholar] [CrossRef]
- Habibi–Yangjeh, A.; Mousavi, M.; Nakata, K. Boosting visible–light photocatalytic performance of g–C3N4/Fe3O4 anchored with CoMoO4 nanoparticles: Novel magnetically recoverable photocatalysts. J. Photochem. Photobiol. A 2019, 368, 120–136. [Google Scholar] [CrossRef]
- Cui, Y.; Xing, Z.; Guo, M.; Qiu, Y.; Fang, B.; Li, Z.; Wang, Y.; Chen, P.; Zhou, W. Core–shell carbon colloid sphere@phosphotungstic acid/CdS as a Z–scheme heterojunction with synergistic adsorption, photothermal and photocatalytic performance. Catal. Sci. Technol. 2021, 11, 6080–6088. [Google Scholar] [CrossRef]
- Liu, C.; Mao, S.; Wang, H.; Wu, Y.; Wang, F.; Xia, M.; Chen, Q. Peroxymonosulfate–assisted for facilitating photocatalytic degradation performance of 2D/2D WO3/BiOBr S–scheme heterojunction. Chem. Eng. J. 2022, 430, 132806. [Google Scholar] [CrossRef]
- Chen, C.; Xiao, G.; Zhong, F.; Dong, S.; Yang, Z.; Chen, C.; Wang, M.; Zou, R. Synergistic effect of carbon nanotubes bonded graphene oxide to enhance the flame retardant performance of waterborne intumescent epoxy coatings. Prog. Org. Coat. 2022, 162, 106598. [Google Scholar] [CrossRef]
- Gao, D.; Zhang, Y.; Wu, K.; Min, H.; Wei, D.; Sun, J.; Yang, H.; Fan, H. One–step synthesis of ultrabright amphiphilic carbon dots for rapid and precise tracking lipid droplets dynamics in biosystems. Biosens. Bioelectron. 2022, 200, 113928. [Google Scholar] [CrossRef] [PubMed]
- He, Z.; Liang, R.; Zhou, C.; Yan, G.; Wu, L. Carbon quantum dots (CQDs)/noble metal co–decorated MIL–53(Fe) as difunctional photocatalysts for the simultaneous removal of Cr(VI) and dyes. Sep. Purif. Technol. 2021, 255, 117725. [Google Scholar] [CrossRef]
- Hu, Y.; Hu, X.; Xue, L.; Cui, B.; Du, Y. Preparation of CaCO3 mediated BiOBr that rich (110) facet and research of the photocatalytic properties. Appl. Surf. Sci. 2022, 598, 153800. [Google Scholar] [CrossRef]
- Khan, Z.A.; Goda, E.S.; Rehman, A.U.; Sohail, M. Selective antimicrobial and antibiofilm activity of metal–organic framework NH2–MIL–125 against Staphylococcus aureus. Mater. Sci. Eng. B 2021, 269, 115146. [Google Scholar] [CrossRef]
- Lan, Y.X.; Cho, Y.C.; Liu, W.R.; Wong, W.T.; Sun, C.F.; Yeh, J.M. Small–load rGO as partial replacement for the large amount of zinc dust in epoxy zinc–rich composites applied in heavy–duty anticorrosion coatings. Prog. Org. Coat. 2023, 175, 107332. [Google Scholar] [CrossRef]
- Li, T.; Li, Y.; Wang, H.; Yu, J.; Xu, D.; Wang, H.G. Fe–Nx active sites embedded into metal–organic–framework–derived mesoporous carbon for highly efficient oxygen reduction. J. Phys. Chem. Solids 2023, 176, 111256. [Google Scholar] [CrossRef]
- Li, W.; Chen, J.; Guo, R.; Wu, J.; Zhou, X.; Luo, J. Facile fabrication of a direct Z–scheme MoO3/Ag2CrO4 composite photocatalyst with improved visible light photocatalytic performance. J. Mater. Sci. Mater. Electron. 2017, 28, 15967–15979. [Google Scholar] [CrossRef]
- Li, Z.; Wang, X.; Wang, Z.; Wang, L.; Guo, Y.; Zhou, C.; Li, X.; Du, K.; Luo, Y. Nickel–cobalt layered double hydroxide nanosheets anchored to the inner wall of wood carbon tracheids by nitrogen–doped atoms for high–performance supercapacitors. J. Colloid Interface Sci. 2022, 608, 70–78. [Google Scholar] [CrossRef] [PubMed]
- Liang, R.; He, Z.; Lu, Y.; Yan, G.; Wu, L. High–efficiency sandwich–like hierarchical AgBr–Ag@MIL–68(Fe) photocatalysts: Step–scheme photocatalytic mechanism for enhanced photoactivity. Sep. Purif. Technol. 2021, 277, 119442. [Google Scholar] [CrossRef]
- Liang, R.; Huang, R.; Wang, X.; Ying, S.; Yan, G.; Wu, L. Functionalized MIL–68(In) for the photocatalytic treatment of Cr(VI)–containing simulation wastewater: Electronic effects of ligand substitution. Appl. Surf. Sci. 2019, 464, 396–403. [Google Scholar] [CrossRef]
- Liang, R.; Wang, S.; Lu, Y.; Yan, G.; He, Z.; Xia, Y.; Liang, Z.; Wu, L. Assembling Ultrafine SnO2 Nanoparticles on MIL–101(Cr) Octahedrons for Efficient Fuel Photocatalytic Denitrification. Molecules 2021, 26, 7566. [Google Scholar] [CrossRef]
- Liang, R.; Yuan, H.; Wang, S.; Chen, F.; Si, R.; Wu, L.; Yan, G. Formation of CdS quantum dots on zeolitic imidazolate framework–67 dodecahedrons as S–scheme heterojunctions to enhance charge separation and antibacterial activity. Sep. Purif. Technol. 2022, 303, 122291. [Google Scholar] [CrossRef]
- Hao, R.; Wang, G.; Jiang, C.; Tang, H.; Xu, Q. In situ hydrothermal synthesis of g–C3N4/TiO2 heterojunction photocatalysts with high specific surface area for Rhodamine B degradation. Appl. Surf. Sci. 2017, 411, 400–410. [Google Scholar] [CrossRef]
- Xu, D.; Cheng, B.; Wang, W.; Jiang, C.; Yu, J. Ag2CrO4/g–C3N4/graphene oxide ternary nanocomposite Z–scheme photocatalyst with enhanced CO2 reduction activity. Appl. Catal. B 2018, 231, 368–380. [Google Scholar] [CrossRef]
- Ouyang, Q.; Li, Z.; Liu, J. Synthesis of β–AgVO3 nanowires decorated with Ag2CrO4, with improved visible light photocatalytic performance. Semicond. Sci. Technol. 2018, 33, 055010. [Google Scholar] [CrossRef]
- Wu, S.X.; Gao, Z.C.; Li, L.Y.; Gao, W.J.; Huang, Y.Q.; Yang, J. High–efficient visible light photocatalytic degradation by nano–Ag–doped NH2–MIL–125(Ti) composites. Inorg. Chim. Acta 2023, 544, 121233. [Google Scholar] [CrossRef]
- Xu, D.; Cao, S.; Zhang, J.; Cheng, B.; Yu, J. Effects of the preparation method on the structure and the visible–light photocatalytic activity of Ag2CrO4. Beilstein J. Nanotechnol. 2014, 5, 658–666. [Google Scholar] [CrossRef] [PubMed]
- Ren, J.; Wu, Y.; Dai, Y.; Sha, D.; Pan, J.; Chen, M.; Wang, J.; Wang, Q.; Ye, N.; Yan, X. Preparation and characterization of graphitic C3N4/Ag3VO4 with excellent photocatalytic performance under visible light irradiation. J. Mater. Sci. Mater. Electron. 2016, 28, 641–651. [Google Scholar] [CrossRef]
- Yang, Y.; Yang, H.R.; Seo, H.; Kim, K.; Kim, J.H. Novel synthesis of porous Si–TiO2 composite as a high–capacity anode material for Li secondary batteries. J. Alloys Compd. 2021, 872, 159640. [Google Scholar] [CrossRef]
- Katsumata, H.; Molla, M.A.I.; Islam, J.B.; Tateishi, I.; Furukawa, M.; Kaneco, S. Dual Z–scheme heterojunction g–C3N4/Ag3PO4/AgBr photocatalyst with enhanced visible–light photocatalytic activity. Ceram. Int. 2022, 48, 21939–21946. [Google Scholar] [CrossRef]
- Shanmugam, V.; Sanjeevamuthu, S.; Jeyaperumal, K.S.; Vairamuthu, R. Fabrication of heterostructured vanadium modified g–C3N4/TiO2 hybrid photocatalyst for improved photocatalytic performance under visible light exposure and antibacterial activities. J. Ind. Eng. Chem. 2019, 76, 318–332. [Google Scholar] [CrossRef]
- Xiong, K.; Li, J.; Tan, L.; Cui, Z.; Li, Z.; Wu, S.; Liang, Y.; Zhu, S.; Liu, X. Ag2S decorated nanocubes with enhanced near–infrared photothermal and photodynamic properties for rapid sterilization. Colloid Interface Sci. Commun. 2019, 33, 100201. [Google Scholar] [CrossRef]
- Xiao, G.; Zhang, X.; Zhang, W.; Zhang, S.; Su, H.; Tan, T. Visible–light–mediated synergistic photocatalytic antimicrobial effects and mechanism of Ag nanoparticles @chitosan–TiO2 organic–inorganic composites for water disinfection. Appl. Catal. B Environ. 2015, 170–171, 255–262. [Google Scholar] [CrossRef]
- Tang, C.; Liu, C.; Han, Y.; Guo, Q.; Ouyang, W.; Feng, H.; Wang, M.; Xu, F. Nontoxic carbon quantum dots/g–C3N4 for efficient photocatalytic inactivation of Staphylococcus aureus under visible light. Adv. Healthc. Mater. 2019, 8, 1801534. [Google Scholar] [CrossRef] [PubMed]
- Deka, S.; Devi, M.B.; Khan, M.R.; Keerthana; Venimadhav, A.; Choudhury, B. Piezo–photocatalytic and photocatalytic bismuth vanadate nanorods with antibacterial property. ACS Appl. Nano Mater. 2022, 5, 10724–10734. [Google Scholar] [CrossRef]
- Iqbal, J.; Jan, T.; Ismail, M.; Ahmad, N.; Arif, A.; Khan, M.; Adil, M.; Haq, S.U.; Arshad, A. Influence of Mg doping level on morphology, optical, electrical properties and antibacterial activity of ZnO nanostructures. Ceram. Int. 2014, 40, 7487–7493. [Google Scholar] [CrossRef]
- Deng, J.; Liang, J.; Li, M.; Tong, M. Enhanced visible–light–driven photocatalytic bacteria disinfection by g–C3N4–AgBr. Colloids Surf. B 2017, 152, 49–57. [Google Scholar] [CrossRef] [PubMed]
- Molla, A.I.; Katsumata, H.; Furukawa, M.; Tateishi, I.; Kaneco, S. Synthesis of an iso–type graphitic carbon nitride heterojunction derived from oxamide and urea in molten salt for high–performance visible–light driven photocatalysis. New J. Chem. 2022, 46, 8999–9009. [Google Scholar] [CrossRef]
- Shathy, R.A.; Fahim, S.A.; Sarker, M.; Quddus, S.; Moniruzzaman, M.; Masum, S.M.; Molla, M.A.I. Natural sunlight driven photocatalytic removal of toxic textile dyes in water using B–doped ZnO/TiO2 nanocomposites. Catalysts 2022, 12, 308. [Google Scholar] [CrossRef]
- Ye, L.; Wen, Z. ZnIn2S4 nanosheets decorating WO3 nanorods core–shell hybrids for boosting visible–light photocatalysis hydrogen generation. Int. J. Hydrogen Energy 2019, 44, 3751–3759. [Google Scholar] [CrossRef]
- Zhu, H.; Liu, N.; Wang, Z.; Xue, Q.; Wang, Q.; Wang, X.; Liu, Y.; Yin, Z.; Yuan, X. Marrying luminescent Au nanoclusters to TiO2 for visible–light–driven antibacterial application. Nanoscale 2021, 13, 18996–19003. [Google Scholar] [CrossRef]
- Abulizi, A.; Zhou, L.; Kadeer, K.; Tursun, Y.; Talifu, D. Photo–ultrasonic assisted in–situ synthesis of RGO/Ag2CrO4 photocatalyst with high photocatalytic activity and stability under visible light. Mater. Sci. Semicond. Process. 2018, 86, 69–78. [Google Scholar] [CrossRef]
- Zhang, N.; Zhang, Y.; Pan, X.; Yang, M.Q.; Xu, Y.J. Constructing ternary CdS–graphene–TiO2 hybrids on the flatland of graphene oxide with enhanced visible–light photoactivity for selective transformation. J. Phys. Chem. C 2012, 116, 18023–18031. [Google Scholar] [CrossRef]
- Zhang, P.; Shao, C.; Zhang, M.; Guo, Z.; Mu, J.; Zhang, Z.; Zhang, X.; Liu, Y. Bi2MoO6 ultrathin nanosheets on ZnTiO3 nanofibers: A 3D open hierarchical heterostructures synergistic system with enhanced visible–light–driven photocatalytic activity. J. Hazard. Mater. 2012, 217, 422–428. [Google Scholar] [CrossRef]
- Zou, J.; Mao, D.; Wee, A.T.S.; Jiang, J. Micro/nano–structured ultrathin g–C3N4/Ag nanoparticle hybrids as efficient electrochemical biosensors for l–tyrosine. Appl. Surf. Sci. 2019, 467, 608–618. [Google Scholar] [CrossRef]
- Feng, H.; Zhang, C.; Luo, M.; Hu, Y.; Dong, Z.; Xue, S.; Chu, P.K. A dual S–scheme TiO2@In2Se3@Ag3PO4 heterojunction for efficient photocatalytic CO2 reduction. Nanoscale 2022, 14, 16303–16313. [Google Scholar] [CrossRef]
- Liu, X.; Chen, C.; Chen, P.; Wang, L. Ultrafast degradation of SMX and TC by CoSiOx activated peroxymono sulfate: Efficiency and mechanism. RSC Adv. 2023, 13, 3103–3111. [Google Scholar] [CrossRef] [PubMed]
- Liu, Z.; Jiang, Y.; Liu, X.; Zeng, G.; Shao, B.; Liu, Y.; Liu, Y.; Zhang, W.; Yan, M.; He, X. Silver chromate modified sulfur doped graphitic carbon nitride microrod composites with enhanced visible–light photoactivity towards organic pollutants degradation. Compos. Part B 2019, 173, 106918. [Google Scholar] [CrossRef]
- Zhang, G.; Yuan, X.; Xie, B.; Meng, Y.; Ni, Z.; Xia, S. Svacancies act as a bridge to promote electron injection from Z–scheme heterojunction to nitrogen molecule for photocatalytic ammonia synthesis. Chem. Eng. J. 2022, 433, 133670. [Google Scholar] [CrossRef]









| Photocatalyst | Dosage (g/L) | Irradiation Time (min) | Light Wavelength | Efficiency (%) | Ref. |
|---|---|---|---|---|---|
| 20%AgCr@M125 | 0.2 | 15 | 300 W (λ > 420 nm) | 97.7 | This work |
| TiO2–NH2@Au NC | 1.2 | 60 | 300 W (λ > 400 nm) | 99.9 | [35] |
| g–C3N4–V–TiO2 | 0.5 | 60 | 500Wvis | 99.5 | [36] |
| Ag2S/NCs | 0.1 | 60 | NIR irradiation (808 nm) | 97.3 | [37] |
| ZnCl2/TiO2, | 4.0 | 120 | 270 Wvis | 90.0 | [38] |
| CQDs/g–C3N4 | 1.0 | 220 | 300 W (λ > 400 nm) | 99.9 | [39] |
| BiVO4–C300 | 1.0 | 120 | 300 Wvis | 72.8 | [40] |
| Mg/ZnO | 2.0 | 180 | 300 Wvis | 90.0 | [41] |
| g–C3N4–AgBr | 0.1 | 150 | 300 Wvis | 99.9 | [42] |
Disclaimer/Publisher’s Note: The statements, opinions and data contained in all publications are solely those of the individual author(s) and contributor(s) and not of MDPI and/or the editor(s). MDPI and/or the editor(s) disclaim responsibility for any injury to people or property resulting from any ideas, methods, instructions or products referred to in the content. |
© 2023 by the authors. Licensee MDPI, Basel, Switzerland. This article is an open access article distributed under the terms and conditions of the Creative Commons Attribution (CC BY) license (https://creativecommons.org/licenses/by/4.0/).
Share and Cite
Yuan, H.; Zhang, C.; Chen, W.; Xia, Y.; Chen, L.; Huang, R.; Si, R.; Liang, R. Microemulsion–Assisted Synthesis of Ag2CrO4@MIL–125(Ti)–NH2 Z–Scheme Heterojunction for Visible–Light Photocatalytic Inactivation of Bacteria. Catalysts 2023, 13, 817. https://doi.org/10.3390/catal13050817
Yuan H, Zhang C, Chen W, Xia Y, Chen L, Huang R, Si R, Liang R. Microemulsion–Assisted Synthesis of Ag2CrO4@MIL–125(Ti)–NH2 Z–Scheme Heterojunction for Visible–Light Photocatalytic Inactivation of Bacteria. Catalysts. 2023; 13(5):817. https://doi.org/10.3390/catal13050817
Chicago/Turabian StyleYuan, Haoyu, Chao Zhang, Wenjing Chen, Yuzhou Xia, Lu Chen, Renkun Huang, Ruiru Si, and Ruowen Liang. 2023. "Microemulsion–Assisted Synthesis of Ag2CrO4@MIL–125(Ti)–NH2 Z–Scheme Heterojunction for Visible–Light Photocatalytic Inactivation of Bacteria" Catalysts 13, no. 5: 817. https://doi.org/10.3390/catal13050817
APA StyleYuan, H., Zhang, C., Chen, W., Xia, Y., Chen, L., Huang, R., Si, R., & Liang, R. (2023). Microemulsion–Assisted Synthesis of Ag2CrO4@MIL–125(Ti)–NH2 Z–Scheme Heterojunction for Visible–Light Photocatalytic Inactivation of Bacteria. Catalysts, 13(5), 817. https://doi.org/10.3390/catal13050817

