Sign in to use this feature.

Years

Between: -

Subjects

remove_circle_outline
remove_circle_outline
remove_circle_outline
remove_circle_outline
remove_circle_outline
remove_circle_outline
remove_circle_outline
remove_circle_outline
remove_circle_outline

Journals

remove_circle_outline
remove_circle_outline
remove_circle_outline
remove_circle_outline
remove_circle_outline

Article Types

Countries / Regions

remove_circle_outline
remove_circle_outline
remove_circle_outline
remove_circle_outline
remove_circle_outline

Search Results (616)

Search Parameters:
Keywords = SiO2/Al2O3 ratios

Order results
Result details
Results per page
Select all
Export citation of selected articles as:
11 pages, 2501 KB  
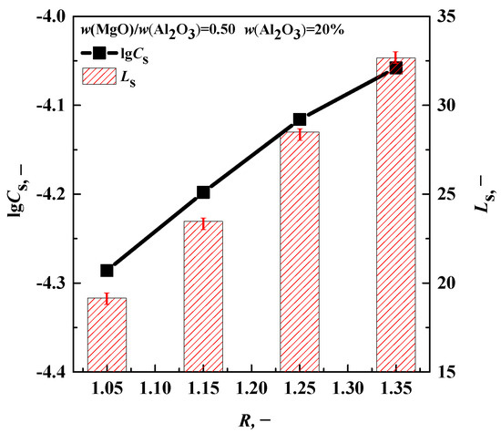
Article
The Desulfurization Ability of a High Al2O3 Type CaO-SiO2-Al2O3-MgO-TiO2 Blast Furnace Slag System at 1823 K
by Yongchun Guo, Mengyao Li and Zhimin Ding
Crystals 2026, 16(2), 135; https://doi.org/10.3390/cryst16020135 - 13 Feb 2026
Abstract
In this study, CaO-SiO2-Al2O3-MgO-TiO2 slag was used as the research object to simulate the blast furnace ironmaking process. Based on the experimental data, the influences of basicity (R(w(CaO)/w(SiO2))) [...] Read more.
In this study, CaO-SiO2-Al2O3-MgO-TiO2 slag was used as the research object to simulate the blast furnace ironmaking process. Based on the experimental data, the influences of basicity (R(w(CaO)/w(SiO2))) and the magnesia–alumina ratio (w(MgO)/w(Al2O3)) on desulfurization ability are discussed. Additionally, the influences of dissimilarity, basicity, and the magnesia–alumina ratio on slag structure were analyzed using Fourier transform infrared spectroscopy (FT-IR). The results show that when w(Al2O3) = 20% and w(MgO)/w(Al2O3) = 0.50, sulfide capacity (lgCs) accretion with the increment in R. Moreover, when w(Al2O3) = 20% and R = 1.30, sulfide capacity accretion with the increment in w(MgO)/w(Al2O3). Fourier transform infrared spectroscopy was used to confirm that, with increasing basicity and the magnesia–alumina ratio, the concentration of dissociated free oxygen ions (O2−) in slag increases, and these ions interact with the bridging oxygen (O0) of silicate to depolymerize the complex Si-O structure into simpler units. Full article
(This article belongs to the Section Crystalline Metals and Alloys)
Show Figures

Figure 1

18 pages, 8437 KB  
Article
Palladium as a Molecular Architect: Control of Hydrocarbon Chain Growth and Branching in Zeolite Catalysts for Fischer–Tropsch Synthesis
by Roman Yakovenko, Anastasia Chemes, Andrey Volik, Danila Ponomarev, Evgeniya Yakovenko, Alexander Astakhov, Victoria Marchenko, Andrey Nikolaev, Evgeniy Sadyrin, Roman Svetogorov and Marat Agliullin
Catalysts 2026, 16(2), 179; https://doi.org/10.3390/catal16020179 - 11 Feb 2026
Viewed by 177
Abstract
The effect of palladium addition to a hybrid Co/SiO2 + HZSM-5 + Al2O3 catalyst on the combined Fischer–Tropsch (FT) synthesis and hydrocarbon hydroconversion process was studied. Catalysts with a Pd content of 0.075–0.3 wt.% were characterized by a complex [...] Read more.
The effect of palladium addition to a hybrid Co/SiO2 + HZSM-5 + Al2O3 catalyst on the combined Fischer–Tropsch (FT) synthesis and hydrocarbon hydroconversion process was studied. Catalysts with a Pd content of 0.075–0.3 wt.% were characterized by a complex of physicochemical methods, including synchrotron radiation X-ray diffraction (SR-XRD), temperature-programmed reduction with hydrogen (H2-TPR), temperature-programmed desorption of hydrogen with oxygen titration (H2-TPD/O2 titration), IR spectroscopy of adsorbed pyridine, and STEM-EDX analysis. It was found that the addition of palladium decreases the cobalt oxide reduction temperature due to interphase hydrogen transfer. Tests in hydrocarbon synthesis at 240–250 °C, a pressure of 2 MPa, and an H2/CO ratio of 2 showed that the sample with 0.15% Pd exhibits the highest selectivity for C5+ hydrocarbons (66.8% at 240 °C) and stability for 150 h. Analysis of the synthesis products revealed a fivefold decrease in the proportion of alkenes and an increase in isoalkanes with increasing Pd concentration. This effect enables the in situ hydroprocessing of primary FT products in a single reactor. The results demonstrate that the targeted introduction of palladium into the hybrid system is an effective strategy for regulating its functionality, allowing for the one-stage production of high-quality fuels with a controlled hydrocarbon composition from syngas. Full article
Show Figures

Figure 1

15 pages, 4686 KB  
Article
Petrogenesis of Quartz Diorite in the Datian Complex, Western Yangtze Block: Evidence from U-Pb Geochronology, Geochemistry, and Sr-Nd-Hf Isotopes
by Jian Yao, Youliang Chen, Yu Wu, Jing Zhao, Luyu Huang and Minghui Yin
Appl. Sci. 2026, 16(3), 1647; https://doi.org/10.3390/app16031647 - 6 Feb 2026
Viewed by 117
Abstract
This study presents integrated zircon U-Pb geochronology, whole-rock geochemistry, and Sr-Nd-Hf isotopic investigations of quartz diorite and gneissic quartz diorite from the Datian Complex along the western Yangtze Block, elucidating their petrogenesis and tectonic implications. Key findings reveal: (1) The crystallization ages of [...] Read more.
This study presents integrated zircon U-Pb geochronology, whole-rock geochemistry, and Sr-Nd-Hf isotopic investigations of quartz diorite and gneissic quartz diorite from the Datian Complex along the western Yangtze Block, elucidating their petrogenesis and tectonic implications. Key findings reveal: (1) The crystallization ages of the Datian Complex (~770–755 Ma) record episodic magmatic activity over a ~16 Ma period, indicating a multi-stage tectonic evolution; (2) Both rock types exhibit intermediate SiO2 (57–64.58 wt.%), high Al2O3 (15.44–17.80 wt.%), and MgO (2.18–3.67 wt.%; Mg# = 47.41–52.65) with calc-alkaline signatures (Na2O/K2O = 1.14–2.65), coupled with adakitic traits including pronounced LREE/HREE fractionation (LaN/YbN = 3.83–26.4), negative Eu anomalies (δEu = 0.61–1.05), elevated Sr (372–701 ppm), and Sr/Y ratios (24.6–56.2), collectively classifying the complex as high-Si adakite; (3) The isotopic homogeneity (whole-rock Sr-Nd: 87Sr/86Sr(i) = 0.7038–0.7048, εNd(t) = −1.5 to–3.8; zircon Hf: εHf(t) = 1.24–6.88) supports a two-stage petrogenetic model involving partial melting of subducted oceanic slab, followed by mantle wedge metasomatism during magma ascent. These results position the Datian Complex as a Neoproterozoic arc-related adakitic magmatic system within the active continental margin of the Yangtze Block. Full article
Show Figures

Figure 1

18 pages, 2863 KB  
Article
Calcium Effect in PLR–PCR Geopolymers: Peak Compressive Strength at 30% PCR and Evidence of C-A-S-H/N-A-S-H Synergy
by Oscar Graos-Alva, Aldo Castillo-Chung, Juan Carlos Rodríguez-Soto, Carlos Vásquez-Boyer and Alexander Vega-Anticona
Ceramics 2026, 9(2), 19; https://doi.org/10.3390/ceramics9020019 - 5 Feb 2026
Viewed by 241
Abstract
Valorizing construction and demolition waste (CDW) via alkaline activation enables low-carbon binders. This study assesses binary geopolymers formulated with recycled brick powder (PLR) and recycled concrete powder (PCR) in seven precursor ratios (0–100% PCR), activated with a ternary NaOH/Na2SiO3/KOH [...] Read more.
Valorizing construction and demolition waste (CDW) via alkaline activation enables low-carbon binders. This study assesses binary geopolymers formulated with recycled brick powder (PLR) and recycled concrete powder (PCR) in seven precursor ratios (0–100% PCR), activated with a ternary NaOH/Na2SiO3/KOH solution (silicate modulus Ms ≈ 3.2) at L/B = 0.15, and cured for 7, 14, and 28 days. Compressive strength (fc), X-ray diffraction (XRD), Fourier transform infrared spectroscopy (FTIR), and scanning electron microscopy with energy-dispersive X-ray spectroscopy (SEM-EDS) were used to link microstructure–phases–properties. A local maximum in fc at ~30% PCR (16.2 MPa at 28 d) was observed versus 0% PCR (14.2 MPa) and ≥50% PCR (13.8 → 10.1 MPa at 28 d). XRD indicated a reduction in inherited crystalline phases and an increased amorphous fraction at ~30% PCR; FTIR (normalized peak position and FWHM of the T–O–Si band, not absolute intensity) suggested higher network extension; SEM-EDS (local/semiquantitative) showed a moderate rise in Ca that supports C-A-S-H domains bridging the N-A-S-H network. At a high PCR, excess Ca simplified mineralogy (quartz/portlandite dominance), promoted competitive routes (C-S-H/carbonation), reintroduced microdefects, and reduced fc. A theoretical oxide balance per mix identified a compositional window where Ca/(Si + Al) ≈ 0.35–0.45 coincides with the mechanical optimum and with XRD/FTIR tracers. Overall, a ~30% PCR window maximizes co-reticulation of N-A-S-H/C-A-S-H and densification without compromising aluminosilicate continuity, providing transferrable design and process-control criteria for CDW-based geopolymer binders. Full article
(This article belongs to the Special Issue The Production Processes and Applications of Geopolymers, 2nd Edition)
Show Figures

Figure 1

17 pages, 4578 KB  
Article
Hydrothermal Synthesis of FAU-Type Zeolite NaX Using Ladle Slag and Waste Aluminum Cans
by Borislav Barbov, Hristina Lazarova, Liliya Tsvetanova and Aleksandar Nikolov
AppliedChem 2026, 6(1), 12; https://doi.org/10.3390/appliedchem6010012 - 3 Feb 2026
Viewed by 183
Abstract
This study explores a sustainable synthesis route for FAU-type zeolite X using acid-treated ladle slag as a silicon source and waste aluminum cans as an alternative aluminum precursor. Conventional zeolite synthesis relies on high-purity reagents, which are costly and environmentally intensive to produce. [...] Read more.
This study explores a sustainable synthesis route for FAU-type zeolite X using acid-treated ladle slag as a silicon source and waste aluminum cans as an alternative aluminum precursor. Conventional zeolite synthesis relies on high-purity reagents, which are costly and environmentally intensive to produce. Previous research has rarely addressed the valorization of ladle slag and metallic aluminum waste for zeolite formation, leaving their potential largely unexplored. The study focuses on the effective utilization of industrial and post-consumer wastes—acid-treated ladle slag and aluminum cans—as precursors for FAU-type NaX zeolite, demonstrating their feasibility as alternative silicon and aluminum sources. Here, zeolite X was synthesized hydrothermally from treated slag combined with either dissolved aluminum cans and commercial sodium aluminate at 90 °C for 6 h. FAU-type zeolite X was successfully synthesized using both aluminum sources, with a SiO2/Al2O3 ratio of approximately 1.4. The results demonstrate that waste-derived precursors can effectively replace conventional chemicals, yielding predominantly NaX zeolite with high crystallinity and minor NaA impurity (as observed by XRD), with experimental yields of 1.47 g for aluminum cans and 1.266 g for sodium aluminate. The obtained zeolite X samples were structurally and texturally characterized by XRD, FTIR, XRF, BET surface area analysis, and thermogravimetric analysis (TG). Full article
(This article belongs to the Special Issue Feature Papers in AppliedChem, 2nd Edition)
Show Figures

Figure 1

16 pages, 36675 KB  
Article
Fabrication and Quantification of Chromium Species by Chemical Simulations and Spectroscopic Analysis
by Abesach M. Motlatle, Tumelo M. Mogashane, Mopeli Khama, Tebatso Mashilane, Ramasehle Z. Moswane, Lebohang V. Mokoena and James Tshilongo
Molecules 2026, 31(3), 506; https://doi.org/10.3390/molecules31030506 - 2 Feb 2026
Viewed by 123
Abstract
Chromium (Cr) exists in multiple oxidation states, with Cr(III) and Cr(VI) being the most environmentally and industrially relevant due to their distinct toxicity profiles and chemical behaviour. This study presents a comprehensive method that combines chemical simulation modelling, emission spectroscopy for quantification, and [...] Read more.
Chromium (Cr) exists in multiple oxidation states, with Cr(III) and Cr(VI) being the most environmentally and industrially relevant due to their distinct toxicity profiles and chemical behaviour. This study presents a comprehensive method that combines chemical simulation modelling, emission spectroscopy for quantification, and the controlled laboratory production of Cr species. Key findings include that acid digestion effectively extracted the Cr(III) and total Cr species, while thermodynamic modelling forecasted their stability and speciation under various environmental conditions. Thematic analysis indicates that the current quantification of Cr species is still in early development and remains centralized. Mineralogical and surface investigations showed that samples 1 and 2 have a BET surface area below 1 m2/g, whereas samples 3 and 4 exceed this. All samples are crystalline, with approximately 54.3 weight percent Cr2O3, 7.3 weight percent SiO2, 17.75 weight percent of MgO, and 8.3 weight percent Al2O3, suggesting Al and Fe2+ replacement of Cr in the spinel structure. Computational fluid dynamics (CFD) modelling revealed that longer residence times are necessary for higher Cr metallization under H2-CH4-reducing conditions, and accurately predicted carbon deposition on pellets. These results demonstrate that CFD can optimize the H2:CH4 ratio to minimize carbon deposition and enhance gas transport to reaction sites. Full article
(This article belongs to the Section Analytical Chemistry)
Show Figures

Figure 1

31 pages, 5641 KB  
Article
Origin of Black Shale-Hosted Dagangou Vanadium Deposit, East Kunlun Orogenic Belt, NW China: Evidence from Mineralogy and Geochemistry
by Tao Tian, Fengyue Sun, Guang Xu, Guowen Miao, Ye Qian, Jianfeng Qiao, Shukuan Wu and Zhian Wang
Minerals 2026, 16(2), 163; https://doi.org/10.3390/min16020163 - 30 Jan 2026
Viewed by 257
Abstract
Little is known of a large black shale belt within the Naij Tal Group in the East Kunlun region, which hosts polymetallic deposits, including manganese, vanadium, and cobalt. The recently discovered Dagangou vanadium mineralization is the first black rock series-type vanadium deposit in [...] Read more.
Little is known of a large black shale belt within the Naij Tal Group in the East Kunlun region, which hosts polymetallic deposits, including manganese, vanadium, and cobalt. The recently discovered Dagangou vanadium mineralization is the first black rock series-type vanadium deposit in the East Kunlun region and Qinghai Province and represents a significant find owing to its intermediate scale. This study investigated the mineralogy, major and trace elements, rare earth elements, and platinum group element geochemistry of the Dagangou vanadium deposit. Scanning electron microscopy and energy-dispersive X-ray spectroscopy revealed that the main vanadium-bearing minerals are micas, followed by limonite, clay minerals, feldspar, and jarosite. The SiO2/Al2O3, Co/Zn, Sr/Ba, and Pd/Ir ratios, as well as the Ir content of the ores, indicated strong involvement of hydrothermal activity in the mineralization process. The V/Cr, Ni/Co, and U/Th ratios, as well as the δU values and significant negative δCe anomalies, suggested that the vanadium-bearing black rock series formed in a strongly anoxic reducing environment. The Al2O3/(Al2O3 + Fe2O3) and MnO/TiO2 ratios, along with weak positive δEu anomalies and strong enrichment of heavy rare earth elements, indicated that mineralization occurred in an extensional tectonic setting. The black shale-hosted vanadium polymetallic deposit formed in a setting that transitioned from an open oceanic deep-sea environment to a progressively shallower continental margin. Full article
Show Figures

Figure 1

17 pages, 4613 KB  
Article
Sustainable Utilization of Modified Manganese Slag in Cemented Tailings Backfill: Mechanical and Microstructural Properties
by Yu Yin, Shijiao Yang, Yan He, Rong Yang and Qian Kang
Sustainability 2026, 18(3), 1336; https://doi.org/10.3390/su18031336 - 29 Jan 2026
Viewed by 184
Abstract
Cemented tailings backfill (CTB) is widely used in mining operations due to its operational simplicity, reliable performance, and environmental benefits. However, the poor consolidation of fine tailings with ordinary Portland cement (OPC) remains a critical challenge, leading to excessive backfill costs. This study [...] Read more.
Cemented tailings backfill (CTB) is widely used in mining operations due to its operational simplicity, reliable performance, and environmental benefits. However, the poor consolidation of fine tailings with ordinary Portland cement (OPC) remains a critical challenge, leading to excessive backfill costs. This study addresses the utilization of modified manganese slag (MMS) as a supplementary cementitious material (SCM) for fine tailings from an iron mine in Anhui, China. Sodium silicate (Na2SiO3) modification coupled with melt-water quenching was implemented to activate the pozzolanic reactivity of manganese slag (MS) through glassy structure alteration. The MMS underwent comprehensive characterization via physicochemical analysis, X-ray diffraction (XRD), and Fourier-transform infrared spectroscopy (FTIR) to elucidate its physicochemical attributes, mineralogical composition, and glassy phase architecture. The unconfined compressive strength (UCS) of the CTB samples prepared with MMS, OPC, tailings, and water (T-MMS) was systematically evaluated at curing ages of 7, 28, and 60 days. The results demonstrate that MMS predominantly consists of SiO2, Al2O3, CaO, and MnO, exhibiting a high specific surface area and extensive vitrification. Na2SiO3 modification induced depolymerization of the highly polymerized Q4 network into less-polymerized Q2 chain structures, thereby enhancing the pozzolanic reactivity of MMS. This structural depolymerization facilitated formation of stable gel products with low calcium–silicon ratios, conferring upon the T-MMS10 sample a 60-day strength of 3.85 MPa, representing a 94.4% enhancement over the T-OPC. Scanning electron microscopy–energy dispersive spectroscopy (SEM-EDS) analysis revealed that Na2SiO3 modification precipitated extensive calcium silicate hydrate (C-S-H) gel formation and pore refinement, forming a dense networked framework that superseded the porous microstructure of the control sample. Additionally, the elevated zeta potential for T-MMS10 engendered electrostatic repulsion, while the aluminosilicate gel provided imparted lubrication, collectively improving the flowability of the composite slurry exhibiting a 26.40 cm slump, which satisfies the requirements for pipeline transportation in backfill operations. Full article
Show Figures

Figure 1

30 pages, 7342 KB  
Article
Petrogenesis of the Monzonite in the Jiashan Area, Northern Jiangsu, China: Constraints from Whole-Rock Geochemistry and Zircon U–Pb Ages and Lu–Hf Isotopes
by Tao Kang, Duolikun Hainaer, Peng Zhu, Wei-Guo Zhang, Bostan Damla, Zhe-Ming Cao and Xiao-Qiang Liu
Minerals 2026, 16(2), 137; https://doi.org/10.3390/min16020137 - 27 Jan 2026
Viewed by 253
Abstract
Recent discoveries of fluorite–barite deposits in the Donghai–Linshu area in northern Jiangsu Province, China, underscore the region’s mineral potential, yet detailed geological investigations remain limited. In this study, we examined monzonite and quartz monzonite from drill cores in the Jiashan mining area using [...] Read more.
Recent discoveries of fluorite–barite deposits in the Donghai–Linshu area in northern Jiangsu Province, China, underscore the region’s mineral potential, yet detailed geological investigations remain limited. In this study, we examined monzonite and quartz monzonite from drill cores in the Jiashan mining area using petrography, U–Pb zircon dating, zircon trace element geochemistry, whole-rock geochemistry, and zircon Lu–Hf isotopes. Laser ablation inductively coupled plasma mass spectrometry (LA–ICP–MS) zircon U–Pb analyses were conducted to constrain the crystallization ages of the monzonite (127.06 ± 0.54 Ma and 126.83 ± 0.75 Ma) and quartz monzonite (127.2 ± 0.5 Ma and 128.59 ± 0.62 Ma) to the Early Cretaceous, marking a significant magmatic event. Many of the zircons contain inherited Neoproterozoic cores (718–760 Ma and 800–860 Ma), indicating the assimilation of deep crustal materials of this age. The monzonite is metaluminous, with moderate SiO2 (61.61–62.41 wt.%), high alkalis (Na2O + K2O = 7.48–7.92 wt.%), and A/CNK = 0.72–0.91. The quartz monzonite has higher SiO2 (66.26–68.18 wt.%) and alkalis (8.32–9.33 wt.%). Both rock types exhibit similar trace and rare earth element patterns: enrichment in large-ion lithophile and light rare earth elements, depletions in Nb, Ta, and Ti, no significant Zr-Hf depletion, and weak negative Eu anomalies (δEu ≈ 0.84–1.00). Their low Zr + Nb + Ce + Y contents, Ga/Al ratios, and TFeO/MgO ratios indicate that they have an I-type granite affinity. The Early Cretaceous zircons have highly negative εHf(t) values (−33.7 to −23.5) and ancient two-stage model ages (2622–3247 Ma), which are consistent with derivation from Archean crust. The inherited Neoproterozoic zircons have younger Paleo–Mesoproterozoic TDM2 ages. The evidence suggests that both intrusions were mainly generated by partial melting of ancient Archean basement, with minor mantle input. The magma generation was likely triggered by crustal anatexis induced by the underplating of mantle-derived magmas in an extensional tectonic regime, coeval with Early Cretaceous magmatism in the Sulu orogen. Full article
(This article belongs to the Section Mineral Geochemistry and Geochronology)
Show Figures

Graphical abstract

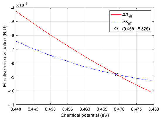
22 pages, 706 KB  
Article
Compact, Energy-Efficient, High-Speed Electro-Optic Microring Modulator Based on Graphene-TMD 2D Materials
by Jair A. de Carvalho, Daniel M. Neves, Vinicius V. Peruzzi, Anderson L. Sanches, Antonio Jurado-Navas, Thiago Raddo, Shyqyri Haxha and Jose C. Nascimento
Nanomaterials 2026, 16(3), 167; https://doi.org/10.3390/nano16030167 - 26 Jan 2026
Viewed by 341
Abstract
The continued performance scaling of AI gigafactories requires the development of energy-efficient devices to meet the rapidly growing global demand for AI services. Emerging materials offer promising opportunities to reduce energy consumption in such systems. In this work, we propose an electro-optic microring [...] Read more.
The continued performance scaling of AI gigafactories requires the development of energy-efficient devices to meet the rapidly growing global demand for AI services. Emerging materials offer promising opportunities to reduce energy consumption in such systems. In this work, we propose an electro-optic microring modulator that exploits a graphene (Gr) and transition-metal dichalcogenide (TMD) interface for phase modulation of data-bit signals. The interface is configured as a capacitor composed of a top Gr layer and a bottom WSe2 layer, separated by a dielectric Al2O3 film. This multilayer stack is integrated onto a silicon (Si) waveguide such that the microring is partially covered, with coverage ratios varying from 10% to 100%. In the design with the lowest power consumption, the device operates at 26.3 GHz and requires an energy of 5.8 fJ/bit under 10% Gr-TMD coverage while occupying an area of only 20 μm2. Moreover, a modulation efficiency of VπL = 0.203 V·cm and an insertion loss of 6.7 dB are reported for the 10% coverage. The Gr-TMD-based microring modulator can be manufactured with standard fabrication techniques. This work introduces a compact microring modulator designed for dense system integration, supporting high-speed, energy-efficient data modulation and positioning it as a promising solution for sustainable AI gigafactories. Full article
(This article belongs to the Section 2D and Carbon Nanomaterials)
Show Figures

Figure 1

24 pages, 9651 KB  
Article
H2/CH4 Competitive Adsorption of LTA Zeolite: Effects of Cations, Si/Al Ratio, Adsorption Temperature, and Pressure
by Xue Zhang, Jianfeng Tang and Hui Liu
Processes 2026, 14(2), 387; https://doi.org/10.3390/pr14020387 - 22 Jan 2026
Viewed by 175
Abstract
The efficient separation of H2 from CH4 is crucial for hydrogen purification from industrial off-gases using pressure swing adsorption (PSA). In this study, the competitive adsorption behavior of H2/CH4 on LTA zeolites was systematically investigated via grand canonical [...] Read more.
The efficient separation of H2 from CH4 is crucial for hydrogen purification from industrial off-gases using pressure swing adsorption (PSA). In this study, the competitive adsorption behavior of H2/CH4 on LTA zeolites was systematically investigated via grand canonical Monte Carlo (GCMC) simulations, with a focus on the effects of cation type (Na+, Li+, Ca2+, Mg2+), Si/Al ratio (1–1.5), temperature (298–318 K), and pressure (0.2–2 MPa). The results reveal that CH4 favors β-cages as excellent adsorption sites with high population density, followed by the regions adjacent to the cations or framework oxygen atoms of the eight-membered rings. In contrast, H2 is uniformly distributed throughout all the channels. Cations with higher valence and smaller ionic radii (e.g., Mg2+) enhance CH4 adsorption capacity and diffusion more effectively than monovalent or larger cations. Increasing the Si/Al ratio reduces cation content and exposes more framework oxygen atoms, particularly those in Si–O–Si environments, which improve CH4 adsorption. Elevated temperature weakens CH4 adsorption while promoting H2 diffusion and pore occupancy. Although higher pressure increases the uptake of both gases, H2 adsorption rises more substantially and distributes more widely, leading to a decrease in CH4/H2 selectivity. Full article
(This article belongs to the Special Issue Advanced Research on Marine and Deep Oil & Gas Development)
Show Figures

Graphical abstract

17 pages, 3839 KB  
Article
Characteristics of Steel Slag and Properties of High-Temperature Reconstructed Steel Slag
by Zhiqiang Xu and Xiaojun Hu
Metals 2026, 16(1), 85; https://doi.org/10.3390/met16010085 - 13 Jan 2026
Viewed by 228
Abstract
The chemical composition, mineral composition, and mineral distribution characteristics of steel slag were characterized through petrographic analysis, X-ray diffraction (XRD), and particle size analysis. Limestone, silica, and silicomanganese slag were blended with converter steel slag to fabricate a reconstructed steel slag. Through burden [...] Read more.
The chemical composition, mineral composition, and mineral distribution characteristics of steel slag were characterized through petrographic analysis, X-ray diffraction (XRD), and particle size analysis. Limestone, silica, and silicomanganese slag were blended with converter steel slag to fabricate a reconstructed steel slag. Through burden calculation, the chemical composition ratio of this reconstructed steel slag approximated the silicate phase region. The high-temperature reconstruction process outside the furnace was simulated through reheating. The composition, structure, and cementitious characteristics of the reconstructed steel slag were investigated through X-ray diffraction (XRD), FactSage software (FactSage version 7.0 (GTT-Technologies, Aachen, Germany, 2015))analysis, scanning electron microscopy–energy dispersive spectroscopy (SEM–EDS) analysis, setting time determination, compressive strength measurement, and thermodynamic computation. The findings indicated that the primary mineral compositions of the reconstructed steel slag were predominantly silicates, such as Ca3Al2O6, Ca2SiO4, Ca2MgSi2O7, Ca2Al(AlSiO7), Ca2(SiO4), and FeAlMgO4. In comparison with the original steel slag, these compositions underwent substantial alterations. The α′-C2S phase appears at 1100 K and gradually transforms into α-C2S at 1650 K. The liquid phase begins to precipitate at approximately 1550 K. Spinel exists in the temperature range from 1300 to 1700 K, and Ca3MgSi2O8 melts into the liquid phase at 1400 K. As the temperature increases to 1600 K, the minerals C2AF, Ca2Fe2O5, and Ca2Al2O5 gradually melt into the liquid phase. Melilite melts into the liquid phase at 1700 K. It was observed that the initial and final setting times of the reconstructed steel slag exhibited reductions of 7 and 43 min, respectively, in comparison to those of the original steel slag. In comparison with steel slag, the compressive strength of the reconstructed steel slag exhibited an increase of 0.6 MPa at the 3-day strength stage, 1.6 MPa at the 7-day strength stage, and 3.4 MPa at the 28-day strength stage. The reduction in setting time and the enhancement in compressive strength verified the improved cementitious activity of the reconstructed steel slag. Thermodynamic calculations of the principal reactions of the reconstructed steel slag at elevated temperatures verified that the primary reaction at 1748 K is thermodynamically favorable. Full article
Show Figures

Graphical abstract

15 pages, 5279 KB  
Article
High-Density Aviation Fuel or Diesel-Range Naphthenes Are Synthesized from Biomass-Derived Isophorone and Furfural
by Mengze Sun, Xing Zhang, Jiamin Yan, Hui Zhang, Zhipeng Li, Li Huang, Song Jin, Wei Wang and Ning Li
Catalysts 2026, 16(1), 83; https://doi.org/10.3390/catal16010083 - 10 Jan 2026
Viewed by 419
Abstract
High-density aviation fuels and diesel-range cycloalkanes are in high demand for the transportation sector, but the development of sustainable and high-efficiency synthesis routes from biomass-derived platform chemicals remains a key challenge. High-density aviation fuel and diesel-grade cycloalkanes were successfully synthesized from biomass-derived isophorone [...] Read more.
High-density aviation fuels and diesel-range cycloalkanes are in high demand for the transportation sector, but the development of sustainable and high-efficiency synthesis routes from biomass-derived platform chemicals remains a key challenge. High-density aviation fuel and diesel-grade cycloalkanes were successfully synthesized from biomass-derived isophorone and furfural through a continuous process of selective hydrogenation, aldol condensation, and hydrodeoxygenation reaction. (E) 2-(Furan-2-methylene)-3,5,5-trimethylcyclohex-1-one (1A) was obtained by selective hydrogenation of isophorone to obtain 3,3,5-trimethylcyclohexanone (TMCH), which was then subjected to aldol condensation with furfural. The system studied key reaction parameters such as solvent type, temperature, catalyst type, catalyst loading, and reaction time that affect the aldol condensation of TMCH and furfural. The yield of 1A reached 98.69%, under optimized conditions using NaOH as the catalyst at a molar ratio of 3,3,5-trimethylcyclohexanone:furfural = 1:1, NaOH 0.15 g, anhydrous ethanol as the solvent, and a reaction temperature of 313 K for 1 h. A series of nickel-based catalysts supported on porous materials, including SiO2, CeO2, Al2O3, Hβ, and HZSM-5, were prepared and characterized by scanning electron microscopy (SEM) and X-ray diffraction (XRD). These catalysts were evaluated for the hydrodeoxygenation of 1A. Among them, the 10% Ni-SiO2 catalyst exhibited the highest catalytic activity, affording a C9–C14 cycloalkane yield of 88.32% and a total carbon yield of 99.6%. This work demonstrates a promising and sustainable strategy for producing branched cycloalkanes in the diesel and jet fuel range from lignocellulosic biomass-derived platform chemicals. Full article
(This article belongs to the Section Biomass Catalysis)
Show Figures

Graphical abstract

20 pages, 3405 KB  
Article
One-Pot Direct Synthesis of b-Axis-Oriented and Al-Rich ZSM-5 Catalyst via NH4NO3-Mediated Crystallization for CO2 Hydrogenation
by Mohammad Rostamizadeh, Chi-Cong Tran, Trong-On Do and Serge Kaliaguine
Catalysts 2026, 16(1), 47; https://doi.org/10.3390/catal16010047 - 2 Jan 2026
Viewed by 570
Abstract
Al-rich NH4-ZSM-5 with highly oriented crystals was directly synthesized through a one-pot hydrothermal technique, using ammonium nitrate as a metal-free mineralizer. The samples were characterized by XRD, N2 adsorption–desorption, SEM, FTIR, Py-FTIR, 27Al MAS NMR, 29Si MAS NMR, [...] Read more.
Al-rich NH4-ZSM-5 with highly oriented crystals was directly synthesized through a one-pot hydrothermal technique, using ammonium nitrate as a metal-free mineralizer. The samples were characterized by XRD, N2 adsorption–desorption, SEM, FTIR, Py-FTIR, 27Al MAS NMR, 29Si MAS NMR, 1H MAS NMR, and TGA techniques. The impact of aluminum source, ammonium source, and H2O/SiO2 molar ratio was studied. XRD results showed that the ZSM-5 catalyst with a low Si/Al ratio (13) was successfully synthesized without any amorphous phase, including a microporous/mesoporous structure. A low H2O/SiO2 molar ratio (75) resulted in coffin-shape surface morphology, large b-axis-oriented particles (ca. 19 µm), and high specific surface area (>300 m2 g−1), providing a large portion of straight channels (90.5%). The catalytic activity of the catalysts was evaluated in the CO2 hydrogenation reaction in tandem configuration with a Na/Fe2O3 catalyst. The results confirmed that highly b-oriented crystals improved the product shape selectivity to p-xylene by affecting the diffusion resistance. Therefore, the developed catalyst provided high CO2 conversion (45%) and high aromatic selectivity (77%), with p-xylene accounting for 82% of the produced xylene compounds, over a long-term time on stream (17 h). These results demonstrate the effectiveness of the direct synthesis strategy in producing Al-rich ZSM-5 catalysts with tailored textural and acidic properties for tandem and shape-selective catalysis. Full article
Show Figures

Figure 1

19 pages, 3413 KB  
Article
Assessment of Brazilian Type F Fly Ash: Influence of Chemical Composition and Particle Size on Alkali-Activated Materials Properties
by Adriano G. S. Azevedo
Powders 2026, 5(1), 2; https://doi.org/10.3390/powders5010002 - 1 Jan 2026
Viewed by 314
Abstract
This study assesses two Brazilian Type F fly ash samples (FA-A and FA-B), collected from the same thermoelectric complex in different years, to investigate their influence on the production of alkali-activated materials (AAMs). FA-A exhibited a slightly higher SiO2/Al2O [...] Read more.
This study assesses two Brazilian Type F fly ash samples (FA-A and FA-B), collected from the same thermoelectric complex in different years, to investigate their influence on the production of alkali-activated materials (AAMs). FA-A exhibited a slightly higher SiO2/Al2O3 ratio (3.52 vs. 3.34) and a finer average particle size (D50 = 19.7 μm vs. 30.8 μm) than FA-B. X-ray diffraction revealed that FA-A presented a broad amorphous halo between 15° and 35° (2θ), indicative of phases with low atomic ordering, which are more susceptible to dissolution and capable of supplying Si- and Al-rich species for the formation of alkali activation products. These differences directly affected reactivity and mechanical performance. After 1 day of curing, FA-A-based matrices achieved 88.5 MPa in compressive strength—approximately 100% higher than FA-B (44.2 MPa). However, FA-A suffered a 19.6% strength reduction after 28 days of curing, whereas FA-B showed only a 3.8% decrease over the same period, reflecting better long-term stability. FTIR confirmed Na2CO3 formation in FA-A, associated with excess sodium (Na/Al = 2.07 after 28 days), while SEM revealed unreacted spheres persisting in FA-B, consistent with its lower dissolution rate. Water absorption was also significantly different, with FA-B matrices reaching values up to 52% lower than FA-A after 7 days of curing. These results demonstrate that even slight variations in chemical composition and atomic ordering, even for ashes from the same plant, strongly influence the reactivity, microstructure, and mechanical performance of alkali-activated binders. Full article
Show Figures

Figure 1

Back to TopTop