Sign in to use this feature.

Years

Between: -

Subjects

remove_circle_outline
remove_circle_outline
remove_circle_outline
remove_circle_outline
remove_circle_outline
remove_circle_outline
remove_circle_outline
remove_circle_outline
remove_circle_outline

Journals

remove_circle_outline
remove_circle_outline
remove_circle_outline
remove_circle_outline
remove_circle_outline
remove_circle_outline
remove_circle_outline
remove_circle_outline
remove_circle_outline
remove_circle_outline
remove_circle_outline
remove_circle_outline
remove_circle_outline
remove_circle_outline
remove_circle_outline
remove_circle_outline
remove_circle_outline
remove_circle_outline

Article Types

Countries / Regions

remove_circle_outline
remove_circle_outline
remove_circle_outline
remove_circle_outline
remove_circle_outline
remove_circle_outline

Search Results (6,564)

Search Parameters:
Keywords = Railway

Order results
Result details
Results per page
Select all
Export citation of selected articles as:
23 pages, 2283 KB  
Article
Fusing Multi-Source Data with Machine Learning for Ship Emission Calculation in Inland Waterways
by Chao Wang, Hao Wu and Zhirui Ye
Atmosphere 2026, 17(1), 72; https://doi.org/10.3390/atmos17010072 (registering DOI) - 9 Jan 2026
Abstract
Accurate estimation of ship emissions is essential for the effective enforcement of emission control policies in inland waterways. However, existing “bottom-up” models face significant challenges owing to severe data scarcity for inland ships, particularly regarding ship static parameters. This study proposes a novel [...] Read more.
Accurate estimation of ship emissions is essential for the effective enforcement of emission control policies in inland waterways. However, existing “bottom-up” models face significant challenges owing to severe data scarcity for inland ships, particularly regarding ship static parameters. This study proposes a novel data fusion and machine learning framework to address this issue. The methodology integrates real-time SO2 and CO2 pollutant concentrations on the Nanjing Dashengguan Yangtze River Bridge, Automatic Identification System (AIS) data, and meteorological information. To address the scarcity of design data for inland ships, web scraping was used to extract basic parameters, which were then used to train five machine learning models. Among them, the XGBoost model demonstrated superior performance in predicting the main engine rated power. A refined activity-based emission model combines these predicted parameters, ship operational profiles, and specific emission factors to calculate real-time emission source strengths. Furthermore, the model was validated against field measurements by comparing the calculated and measured emission source strengths from ships, demonstrating high predictive accuracy with R2 values of 0.980 for SO2 and 0.977 for CO2, and MAPE below 13%. This framework provides a reliable and scalable approach for real-time emission monitoring and supports regulatory enforcement in inland waterways. Full article
29 pages, 2699 KB  
Article
Surface Deformation Characteristics and Damage Mechanisms of Repeated Mining in Loess Gully Areas: An Integrated Monitoring and Simulation Approach
by Junlei Xue, Fuquan Tang, Zhenghua Tian, Yu Su, Qian Yang, Chao Zhu and Jiawei Yi
Appl. Sci. 2026, 16(2), 709; https://doi.org/10.3390/app16020709 - 9 Jan 2026
Abstract
The repeated extraction of coal seams in the Loess Plateau mining region has greatly increased the severity of surface deformation and associated damage. Accurately characterizing the spatio-temporal evolution of subsidence and the underlying mechanisms is a critical engineering challenge for mining safety. Taking [...] Read more.
The repeated extraction of coal seams in the Loess Plateau mining region has greatly increased the severity of surface deformation and associated damage. Accurately characterizing the spatio-temporal evolution of subsidence and the underlying mechanisms is a critical engineering challenge for mining safety. Taking the Dafosi Coal Mine located in the loess gully region as a case study, this paper thoroughly examines the variations in surface deformation and damage characteristics caused by single and repeated seam mining. The analysis integrates surface movement monitoring data, global navigation satellite system (GNSS) dynamic observations, field surveys, unmanned aerial vehicle (UAV) photogrammetry, and numerical simulation methods. Notably, to ensure the accuracy of prediction parameters, a refined Particle Swarm Optimization (PSO) algorithm incorporating a neighborhood-based mechanism was employed specifically for the inversion of probability integral parameters. The results indicate that the subsidence factor and horizontal movement factor increase markedly following repeated mining. The maximum surface subsidence velocity also increases substantially, and this acceleration remains evident after normalizing by mining thickness and face-advance rate. The fore effective angle is smaller in repeated mining than in single-seam mining, and the duration of surface movement is substantially extended. Repeated mining fractured key strata and caused a functional transition from the classic three-zone response to a two-zone connectivity pattern, while the thick loess cover responds as a disturbed discontinuous-deformation layer, which together aggravates step-like and slope-related damage. The severity of surface damage is strongly influenced by topographic features and geotechnical properties. These findings demonstrate that the proposed integrated approach is highly effective for geological hazard assessment and provides a practical reference for engineering applications in similar complex terrains. Full article
(This article belongs to the Section Earth Sciences)
28 pages, 1994 KB  
Article
Modeling of Reverse Curves on a Railway Line Using the Analytical Design Method
by Wladyslaw Koc
Designs 2026, 10(1), 5; https://doi.org/10.3390/designs10010005 - 9 Jan 2026
Abstract
This study discusses the issue of designing reverse curves, i.e. a geometric system consisting of two circular arcs (usually with different radii), directed in opposite directions and directly connected to each other. The design is performed in an appropriate local Cartesian coordinate system. [...] Read more.
This study discusses the issue of designing reverse curves, i.e. a geometric system consisting of two circular arcs (usually with different radii), directed in opposite directions and directly connected to each other. The design is performed in an appropriate local Cartesian coordinate system. The origin of this system is located at the point of intersection of adjacent main directions of the route. Unlike other geometric situations, reverse curves have three main directions, which significantly complicate the design process. The initial values of the radii of the reverse arcs must correspond to the existing system of main directions. The introduction of transition curves causes these radii to decrease; their values are determined iteratively. A set of formulas for creating a geometric system of reverse curves is presented. These formulas were used in the calculation example. A graph of the horizontal curvature of the track axis and a method for determining the possible train speed, both without the use of cant on an arc and with the use of cant, are shown. The presented procedure is universal and can be applied to other geometric situations involving the design of reverse curves. It is also necessary to emphasize the practical usefulness of the discussed method not only in the design process, but also to pay attention to the cognitive value of the article. Full article
(This article belongs to the Topic Resilient Civil Infrastructure, 2nd Edition)
Show Figures

Figure 1

27 pages, 11229 KB  
Article
Study on the Deposition and Erosion Mechanisms of Railway Protection Systems in Wind and Sand Environments: Based on the Coupling Effects of Sand Retaining Dike and Sand Intercepting Ditch
by Yanhua Zhao, Zexi Dai, Kai Zhang, Zhiyu Chen, Huaizhi Zhang and Jingze Wang
Sustainability 2026, 18(2), 687; https://doi.org/10.3390/su18020687 - 9 Jan 2026
Viewed by 27
Abstract
Wind and sand pose a significant threat to operational safety along the route of the Golmud-Korla Railway. To combat the adverse effects of these hazards, numerous sand retaining dikes and sand intercepting ditches have been constructed along the railway corridor. However, the deposition [...] Read more.
Wind and sand pose a significant threat to operational safety along the route of the Golmud-Korla Railway. To combat the adverse effects of these hazards, numerous sand retaining dikes and sand intercepting ditches have been constructed along the railway corridor. However, the deposition and erosion mechanisms of sand particles in close proximity to these structures have yet to be fully investigated. Therefore, it uses numerical simulations to study the structure of the wind-sand flow field around the sand retaining dike and the sand intercepting ditch, under varying spacing conditions, with an analysis of sand deposition and erosion laws. The results indicate that vortices form on the leeward side and within the sand intercepting ditch. Among these, the vortex flow occurring on the downstream side of the sand retaining dike exhibits a flow reattachment phenomenon at specific locations (i.e., attachment points). As the spacing increases, clockwise vortices Rd1 and Rd2, develop on the leeward side and inside the ditch, respectively. The leeward side of the spacing range of 0–8H is characterized by reverse erosion and deposition processes. When the spacing is 10–15H, a forward erosion zone emerges and expands progressively with the increase in spacing. When the spacing exceeds 10H, i.e., as the sand intercepting ditch is positioned downstream of the vortex reattachment point of the sand retaining dike, its sand interception efficiency is markedly enhanced. It not only elucidates the wind-sand flow and deposition patterns surrounding sand retaining dike and sand intercepting ditch under various spacing configurations but also offers valuable insights for the future design and implementation of protective structures for railways in wind-sand affected regions. Full article
Show Figures

Figure 1

19 pages, 5832 KB  
Article
Joint PS–SBAS Time-Series InSAR for Sustainable Urban Infrastructure Management: Tunnel Subsidence Mechanisms in Sanya, China
by Jun Hu, Zihan Song, Yamin Zhao, Kai Wei, Bing Liu and Qiong Liu
Sustainability 2026, 18(2), 688; https://doi.org/10.3390/su18020688 - 9 Jan 2026
Viewed by 40
Abstract
Monitoring construction-phase settlement of estuary-crossing tunnels founded on coastal soft soils is critical for risk management, yet dense in situ measurements are often unavailable along linear corridors. This study uses Sentinel-1A ascending SAR imagery (65 scenes, September 2022–August 2025) to retrieve time-series deformation [...] Read more.
Monitoring construction-phase settlement of estuary-crossing tunnels founded on coastal soft soils is critical for risk management, yet dense in situ measurements are often unavailable along linear corridors. This study uses Sentinel-1A ascending SAR imagery (65 scenes, September 2022–August 2025) to retrieve time-series deformation along the Sanya Estuary Channel tunnel (China) using Permanent Scatterer InSAR (PS-InSAR) and Small Baseline Subset InSAR (SBAS-InSAR). The two approaches reveal a consistent subsidence hotspot at Tunnel Section D (DK0+000–DK0+330), while most of the corridor remains within ±5 mm/a. The line-of-sight deformation rates range from −24 to 17.7 mm/year (PS-InSAR) and −29.9 to 18.7 mm/a (SBAS-InSAR). Time-series analysis at representative points in Section D indicates a maximum cumulative settlement of −75.7 mm and a clear acceleration after May 2023. By integrating the deformation results with geological reports, construction logs and rainfall records, we infer that compressible marine clays and interbedded sand/aquifer zones control the hotspot, whereas excavation/dewatering and rainfall-related groundwater fluctuations further promote consolidation. The results provide a practical basis for subsidence risk screening and monitoring prioritization for estuary-crossing infrastructure in coastal soft-soil settings. From a sustainability perspective, the proposed joint PS–SBAS InSAR framework provides a scalable and cost-effective tool for continuous deformation surveillance, supporting preventive maintenance and risk-informed management of urban underground infrastructure. Full article
(This article belongs to the Section Sustainability in Geographic Science)
Show Figures

Figure 1

24 pages, 4812 KB  
Article
Sustainable Value Assessment of Textile Industrial Heritage Along the Longhai Railway (Guanzhong Section) from a Linear Heritage Perspective
by Panpan Liu, Yi Liu, Yuxin Zhang, Xingchen Lai and Hiroatsu Fukuda
Buildings 2026, 16(2), 281; https://doi.org/10.3390/buildings16020281 - 9 Jan 2026
Viewed by 34
Abstract
The adaptive reuse of industrial heritage is increasingly recognized as an effective low-carbon strategy that reduces resource consumption, lowers embodied carbon emissions, and supports sustainable urban transitions. Developing appropriate reuse strategies, however, requires a robust understanding of heritage value. As material evidence of [...] Read more.
The adaptive reuse of industrial heritage is increasingly recognized as an effective low-carbon strategy that reduces resource consumption, lowers embodied carbon emissions, and supports sustainable urban transitions. Developing appropriate reuse strategies, however, requires a robust understanding of heritage value. As material evidence of China’s modern industrialization, railway-associated industrial heritage possesses the characteristics of linear cultural heritage. Yet systematic and multi-scalar value assessments from a linear heritage perspective remain limited. Focusing on the Guanzhong Section of the Longhai Railway—one of the most representative industrial development axes in Northwest China—this study establishes a two-level value assessment framework and conducts a comprehensive evaluation of fourteen textile industrial heritage units. At the individual level, five dimensions—historical significance, architectural features, structural integrity, authenticity, and rarity—were assessed through field investigation, and type-specific weights were introduced to correct structural imbalances between quantity and value across building categories. At the unit level, the Analytic Hierarchy Process (AHP) was employed to determine the weights of spatial–functional integrity, process completeness, railway connectivity, industrial landscape characteristics, and the integrated individual-level value. The results show that factory workshops and warehouses consistently exhibit the highest value, whereas structures and residential buildings, despite their numerical dominance, contribute relatively little. Spatially, a clear west–east gradient emerges: high-value units cluster in Baoji and Xi’an, medium-value units in Xianyang, and low-value units mainly in Weinan and surrounding counties. The findings indicate that textile industrial heritage along the Guanzhong Section forms a railway-linked linear cultural heritage system rather than isolated sites. The proposed evaluation framework not only supports heritage identification and conservation planning but also provides a theoretical basis for promoting low-carbon adaptive reuse of existing industrial buildings. Full article
(This article belongs to the Special Issue Carbon-Neutral Pathways for Urban Building Design)
Show Figures

Figure 1

15 pages, 9492 KB  
Article
Evaluation of Quality Weld Deposit on Different Types of Rails
by Michal Bucko, Lucie Krejci, Ivo Hlavaty, Jindrich Kozak, Petr Mohyla, Ondrej Sopr, Petr Samek and Martina Gree
Appl. Sci. 2026, 16(2), 690; https://doi.org/10.3390/app16020690 - 9 Jan 2026
Viewed by 58
Abstract
Welding of high-carbon rail steels is widely applied in railway maintenance to restore worn rail surfaces and extend service life. However, the weldability of these steels is limited by their high carbon content and susceptibility to brittle microstructures in the heat-affected zone. This [...] Read more.
Welding of high-carbon rail steels is widely applied in railway maintenance to restore worn rail surfaces and extend service life. However, the weldability of these steels is limited by their high carbon content and susceptibility to brittle microstructures in the heat-affected zone. This paper evaluates the quality of weld deposits applied to different grades of railway rails (UIC 1100, UIC 900A, and UIC HSH) using submerged arc welding (SAW) and flux-cored arc welding (FCAW) technologies with various filler materials. Weld quality was assessed through macrostructural examination, HV30 hardness measurements, and microstructural analysis. The results show that inappropriate combinations of filler materials and welding parameters lead to excessive hardness and martensitic structures, which are undesirable for in-service performance. In contrast, selected multi-layer welding procedures produced bainitic or tempered microstructures with favourable hardness distributions. Based on the experimental results, optimal welding procedures and filler material combinations for rail renovation are proposed. Full article
Show Figures

Figure 1

20 pages, 4244 KB  
Article
UG-Net: An Unsupervised-Guided Framework for Railway Foreign Object Detection
by Zhuowen Tian and Jinbai Zou
Appl. Sci. 2026, 16(2), 689; https://doi.org/10.3390/app16020689 - 9 Jan 2026
Viewed by 69
Abstract
Foreign object intrusion severely threatens railway safety. Existing methods struggle with open-set categories, high annotation costs, and poor label-efficient generalization. To address these issues, we propose UG-Net, an unsupervised-guided label-efficient detection framework. The core idea is a two-stage strategy: first, a masked autoencoder [...] Read more.
Foreign object intrusion severely threatens railway safety. Existing methods struggle with open-set categories, high annotation costs, and poor label-efficient generalization. To address these issues, we propose UG-Net, an unsupervised-guided label-efficient detection framework. The core idea is a two-stage strategy: first, a masked autoencoder (MAE) learns “normality” priors from unlabeled data and generates a spatial attention mask via a deep feature difference strategy; then, this mask is fused as a fourth channel into a lightweight YOLOv8n detector. This approach effectively alleviates reliance on manual annotations. On a self-constructed railway dataset, UG-Net achieved 94.56% mAP@0.5 using only 200 labeled samples, significantly outperforming the YOLOv8n baseline (86.91%). The framework provides a label-efficient solution for industrial anomaly detection. Full article
(This article belongs to the Section Computing and Artificial Intelligence)
Show Figures

Figure 1

13 pages, 4355 KB  
Proceeding Paper
Study of Strength of Open Wagon with Tank Containers Under Operational Modes
by Alyona Lovska, Juraj Gerlici, Ján Dižo and Pavlo Rukavishnikov
Eng. Proc. 2026, 121(1), 2; https://doi.org/10.3390/engproc2025121002 - 8 Jan 2026
Viewed by 21
Abstract
A removable module design is proposed to enable the use of open wagons for container transport. It acts as an intermediate adapter between an open wagon body and a tank container, ensuring the possibility of their reliable interaction. The dynamic loading of its [...] Read more.
A removable module design is proposed to enable the use of open wagons for container transport. It acts as an intermediate adapter between an open wagon body and a tank container, ensuring the possibility of their reliable interaction. The dynamic loading of its structure was determined to substantiate the proposed scheme of tank container transport on an open wagon. A mathematical model characterizing the longitudinal load of a tank container placed on an open wagon was developed for this purpose. The determined accelerations acting on the tank container were considered when studying its strength. It was established that, considering the proposed fastening scheme, the maximum stresses occurring in the tank container structure are lower by 21.8% than the permissible ones. Therefore, the strength of the tank container is ensured. Accelerations acting on an open wagon body and a tank container were determined and considered when studying their strength. It was found that the maximum stresses occurring in the open wagon body and the tank container, considering the proposed fastening scheme, are lower than the permissible ones. Therefore, the strength of their structures is ensured. The research conducted will contribute to increasing the efficiency of tank container transport by rail and, therefore, container transportation in general. Full article
Show Figures

Figure 1

27 pages, 2659 KB  
Article
Technological Triangle—Making Public Transport Sustainable and More Accessible
by Petr Nachtigall, Marek Vyhnanovský, Lukáš Křižan, Jaromír Široký and Jozef Gašparík
Sustainability 2026, 18(2), 670; https://doi.org/10.3390/su18020670 - 8 Jan 2026
Viewed by 97
Abstract
The technological triangle is a non-mathematical representation of the relationship between the characteristics of transport infrastructure, modes of transport, and the operational concept in a specific region. It is only through the synergistic effect of these three vertices that the railway undertaking, infrastructure [...] Read more.
The technological triangle is a non-mathematical representation of the relationship between the characteristics of transport infrastructure, modes of transport, and the operational concept in a specific region. It is only through the synergistic effect of these three vertices that the railway undertaking, infrastructure manager, and authority can achieve optimal resource utilisation. Concurrently, it is imperative to exert pressure on the authorities to implement conceptual, systematic, and predictable measures. The process of implementing changes to transport infrastructure is a protracted one, typically spanning several years from the initial stages of preparation through to the project’s execution. The application of the technological triangle is possible on various parts of the infrastructure. Based on previous research, the authors prepared this Article to address intermediate stations, which were identified as the key focus of this article. Therefore, the authors in this article answer the question of what typical solutions exist for intermediate station configurations in relation to the operational concept and financial costs. Twenty different configurations were selected, and each was examined from the perspectives of financial, operational, planning, automation, and user pillars. The weights of the individual pillars were then assessed from the perspective of the infrastructure manager, the carrier, and the customer. The result is a comprehensive assessment of all wayside station configurations from different perspectives. Each user of this workflow can determine the weights of the individual pillars according to their needs and financial capabilities. This also gives the article a general use. The final part of the article presents specific examples of existing structures in the Czech Republic, which were not built with the perspective of this article in mind. The authors point out that if our method were applied, not only would large platform stations be built, which is the case for many intermediate stations in the Czech Republic; instead, more efficient solutions would be developed and adapted to the specific case. Full article
Show Figures

Figure 1

28 pages, 7303 KB  
Article
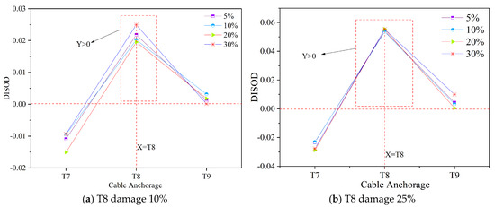
A Beam-Deflection-Based Approach for Cable Damage Identification
by Yanxiao Yang, Lin Li, Sha Li, Li Zhao, Hongbin Xu, Weile Yang, Shaopeng Zhang and Meng Wang
Buildings 2026, 16(2), 276; https://doi.org/10.3390/buildings16020276 - 8 Jan 2026
Viewed by 61
Abstract
To address the limitations of existing cable damage identification methods in terms of environmental robustness and measurement dependency, this study proposes a novel damage identification approach based on the second-order difference characteristics of main beam deflection. Through theoretical derivation, the intrinsic relationship between [...] Read more.
To address the limitations of existing cable damage identification methods in terms of environmental robustness and measurement dependency, this study proposes a novel damage identification approach based on the second-order difference characteristics of main beam deflection. Through theoretical derivation, the intrinsic relationship between cable damage and local deflection field disturbances in the main beam was revealed, leading to the innovative definition of a second-order difference of deflection (DISOD) index for damage localization. By analyzing the second-order deflection differences at the anchorage points of a three-cable group (a central cable and its two adjacent cables), the damage status of the central cable can be directly determined. The research comprehensively employed finite element numerical simulations and scaled model experiments to systematically validate the method’s effectiveness in identifying single-cable and double-cable (both adjacent and non-adjacent) damage scenarios under various noise conditions. This method enables damage localization without direct cable force measurement, demonstrates anti-noise interference capability, achieves rapid and accurate identification, and provides a technically promising solution for the health monitoring of long-span cable-stayed bridges. Full article
(This article belongs to the Section Building Structures)
Show Figures

Figure 1

14 pages, 2468 KB  
Article
Transient Arcing Characteristics of the Pantograph–Catenary System in Electrical Sectioning Overlaps
by Like Pan, Xiaokang Wang, Yuan Yuan, Tong Xing and Liming Chen
Infrastructures 2026, 11(1), 17; https://doi.org/10.3390/infrastructures11010017 - 8 Jan 2026
Viewed by 56
Abstract
Transient arcing often occurs as an electric locomotive traverses an electrical sectioning overlap (ESO), deteriorating current collection stability and reducing the durability of the pantograph–catenary (PC) system. In this study, the formation mechanism and electrical evolution characteristics of transient arcing in the ESO [...] Read more.
Transient arcing often occurs as an electric locomotive traverses an electrical sectioning overlap (ESO), deteriorating current collection stability and reducing the durability of the pantograph–catenary (PC) system. In this study, the formation mechanism and electrical evolution characteristics of transient arcing in the ESO region are investigated through theoretical analysis and numerical simulations. First, based on the dynamic motion of the locomotive passing through the ESO, the transient arcing mechanism of the ESO is clarified, and the plasma characteristics of the arc are described. Then, the electromagnetic, airflow, and thermal field interactions within the PC contact gap during arc ignition are analyzed. A Multiphysics coupled PC arc model is developed, incorporating aerodynamic, electromagnetic, and heat transfer effects. Subsequently, finite element meshing and boundary conditions are applied to simulate the transient evolution of the ESO arc. Finally, the transient arcing characteristics of the ESO are analyzed. The results indicate that the current density is highly concentrated at the initial arcing stage and gradually forms an axially symmetric conductive channel (approximately 107 A/m2), which shifts upward as the contact gap increases. Moreover, due to the geometric discontinuity of the ESO, a strong localized electric field develops near the wire edge, leading to arc root migration and reignition. Full article
(This article belongs to the Special Issue The Resilience of Railway Networks: Enhancing Safety and Robustness)
Show Figures

Figure 1

22 pages, 5533 KB  
Review
The Fusion Mechanism and Prospective Application of Physics-Informed Machine Learning in Bridge Lifecycle Health Monitoring
by Jiaren Sun, Jiangjiang He, Guangbing Zhou, Jun Yang, Xiaoli Sun and Shuai Teng
Infrastructures 2026, 11(1), 16; https://doi.org/10.3390/infrastructures11010016 - 8 Jan 2026
Viewed by 53
Abstract
Bridge health monitoring is crucial for ensuring the safety and durability of infrastructure. In traditional methods, physics-based models have high interpretability but are difficult to handle complex nonlinear problems, while purely data-driven machine learning methods are limited by data scarcity and physical inconsistency. [...] Read more.
Bridge health monitoring is crucial for ensuring the safety and durability of infrastructure. In traditional methods, physics-based models have high interpretability but are difficult to handle complex nonlinear problems, while purely data-driven machine learning methods are limited by data scarcity and physical inconsistency. Physics-informed machine learning, as an emerging “gray box” paradigm, effectively integrates the advantages of both by embedding physical laws (such as control equations) into machine learning models in the form of constraints, priors, or residuals. This article systematically elaborates on the core fusion mechanism of physics-informed machine learning (PIML) in bridge engineering, innovative applications throughout the entire lifecycle of design, construction, operation, and maintenance, as well as its unique data augmentation strategy. Research has shown that PIML can significantly improve the accuracy and robustness of damage identification, load inversion, and performance prediction, and is the core engine for constructing dynamic and predictive digital twin systems. Despite facing challenges in complex physical modeling, loss function balancing, and engineering interpretability, PIML represents a fundamental shift in bridge health monitoring towards intelligent and predictive maintenance by combining advanced strategies such as active learning and meta learning with IoT technology. Full article
(This article belongs to the Special Issue Sustainable Bridge Engineering)
Show Figures

Figure 1

23 pages, 7998 KB  
Article
Multi-Layer Stiffness Matching of Ballastless Track for Passenger and Freight Railways: An Evaluation Method Based on Multi-Dimensional Parameter Fusion
by Weibin Liu, Jijun Wang, Weitao Cui, Wenda Qin, Ruohan Yin, Chen Hua, Moyan Zhang and Yanglong Zhong
Appl. Sci. 2026, 16(2), 632; https://doi.org/10.3390/app16020632 - 7 Jan 2026
Viewed by 167
Abstract
To address the insufficient multi-layer optimization of fastener and cushion stiffness in ballastless tracks for mixed passenger and freight railways, a vehicle–track coupled dynamic model is developed, and the effects of individual and combined stiffness parameters on track and vehicle dynamics are systematically [...] Read more.
To address the insufficient multi-layer optimization of fastener and cushion stiffness in ballastless tracks for mixed passenger and freight railways, a vehicle–track coupled dynamic model is developed, and the effects of individual and combined stiffness parameters on track and vehicle dynamics are systematically analyzed. Based on this model, a multi-dimensional stiffness matching approach is proposed to determine appropriate stiffness ranges for mixed-use railways. Results indicate that fastener stiffness primarily affects the local dynamic response of the rail, whereas cushion stiffness has a stronger influence on overall track performance. When the damping pad stiffness exceeds 600 MPa/m, the fastener force increases sharply, posing a risk of accelerated structural deterioration. Differences in axle load and speed between passenger and freight trains induce distinct excitation patterns, leading to nonlinear variations in interlayer forces. The optimal stiffness combination is 50 kN/mm for fasteners and 600 MPa/m for damping pads under passenger conditions, and 40 kN/mm and 600 MPa/m, respectively, under freight conditions. Considering the operational requirements of mixed lines, a fastener stiffness of 40–50 kN/mm and a damping pad stiffness of 600 MPa/m are recommended. This study provides theoretical support for stiffness design and parameter optimization in ballastless tracks for mixed-use railways. Full article
(This article belongs to the Section Acoustics and Vibrations)
Show Figures

Figure 1

18 pages, 964 KB  
Article
Stacked Intelligent Metasurfaces: Key Technologies, Scenario Adaptation, and Future Directions
by Jiayi Liu and Jiacheng Kong
Electronics 2026, 15(2), 274; https://doi.org/10.3390/electronics15020274 - 7 Jan 2026
Viewed by 140
Abstract
The advent of sixth-generation (6G) imposes stringent demands on wireless networks, while traditional 2D rigid reconfigurable intelligent surfaces (RISs) face bottlenecks in regulatory freedom and scenario adaptability. To address this, stacked intelligent metasurfaces (SIMs) have emerged. This paper presents a systematic review of [...] Read more.
The advent of sixth-generation (6G) imposes stringent demands on wireless networks, while traditional 2D rigid reconfigurable intelligent surfaces (RISs) face bottlenecks in regulatory freedom and scenario adaptability. To address this, stacked intelligent metasurfaces (SIMs) have emerged. This paper presents a systematic review of SIM technology. It first elaborates on the SIM multi-layer stacked architecture and wave-domain signal-processing principles, which overcome the spatial constraints of conventional RISs. Then, it analyzes challenges, including beamforming and channel estimation for SIM, and explores its application prospects in key 6G scenarios such as integrated sensing and communication (ISAC), low earth orbit (LEO) satellite communication, semantic communication, and UAV communication, as well as future trends like integration with machine learning and nonlinear devices. Finally, it summarizes the open challenges in low-complexity design, modeling and optimization, and performance evaluation, aiming to provide insights to promote the large-scale adoption of SIM in next-generation wireless communications. Full article
Show Figures

Figure 1

Back to TopTop