Sign in to use this feature.

Years

Between: -

Subjects

remove_circle_outline
remove_circle_outline
remove_circle_outline
remove_circle_outline
remove_circle_outline
remove_circle_outline
remove_circle_outline
remove_circle_outline
remove_circle_outline

Journals

remove_circle_outline
remove_circle_outline
remove_circle_outline
remove_circle_outline
remove_circle_outline
remove_circle_outline
remove_circle_outline
remove_circle_outline
remove_circle_outline
remove_circle_outline
remove_circle_outline

Article Types

Countries / Regions

remove_circle_outline
remove_circle_outline
remove_circle_outline
remove_circle_outline

Search Results (276)

Search Parameters:
Keywords = Psy

Order results
Result details
Results per page
Select all
Export citation of selected articles as:
16 pages, 3642 KB  
Article
Genome-Wide Analysis of the Soybean SQS_PSY Gene Family and Its Role in Defense Against Phytophthora sojae
by Jiangfeng Chai, Rehemaiti Tuerdaken, Pucheng Wang, Pengju Wang, Dawei Xin and Jianan Zou
Agronomy 2026, 16(5), 512; https://doi.org/10.3390/agronomy16050512 - 27 Feb 2026
Viewed by 165
Abstract
The SQS_PSY family (Squalene/phytoene synthase family), with squalene synthase (SQS) and phytoene synthase (PSY) as core members, comprises enzymes that catalyze the head-to-head condensation of isoprenoid precursors. These enzymes play pivotal roles in mediating plant responses to both biotic and abiotic stresses; nevertheless, [...] Read more.
The SQS_PSY family (Squalene/phytoene synthase family), with squalene synthase (SQS) and phytoene synthase (PSY) as core members, comprises enzymes that catalyze the head-to-head condensation of isoprenoid precursors. These enzymes play pivotal roles in mediating plant responses to both biotic and abiotic stresses; nevertheless, their specific functions in soybean defense against Phytophthora sojae infection remain elusive. In the present study, a comprehensive bioinformatics approach was utilized to identify 12 SQS_PSY family members in the soybean genome, followed by subsequent analyses of chromosomal distribution, phylogenetic relationships, gene structures, conserved motifs, and cis-acting regulatory elements within promoter regions. Notably, multiple cis-elements responsive to biotic and abiotic stresses were detected in the promoter regions of SQS_PSY genes in soybean, implying their potential involvement in stress-responsive pathways. To elucidate their roles in defense, resistant and susceptible soybean cultivars were inoculated with P. sojae, and RNA-seq was conducted on sampled tissues. Integrated with quantitative real-time PCR (qRT-PCR) validation, our findings demonstrated that GmSQS1 exhibited differential expression patterns between resistant and susceptible cultivars at multiple time points post-inoculation. Furthermore, the functional role of GmSQS1 in enhancing soybean resistance to P. sojae was confirmed using a transgenic hairy root system. Collectively, this study preliminarily validated the functions of the SQS_PSY genes in soybean and offers novel insights into their potential application for improving resistance against Phytophthora root rot. Full article
(This article belongs to the Section Crop Breeding and Genetics)
Show Figures

Figure 1

20 pages, 3593 KB  
Article
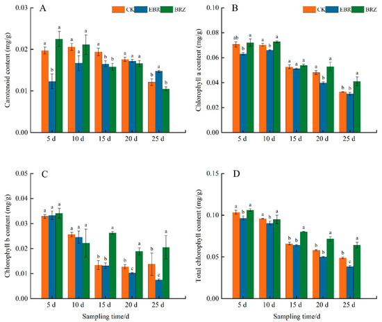
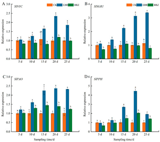
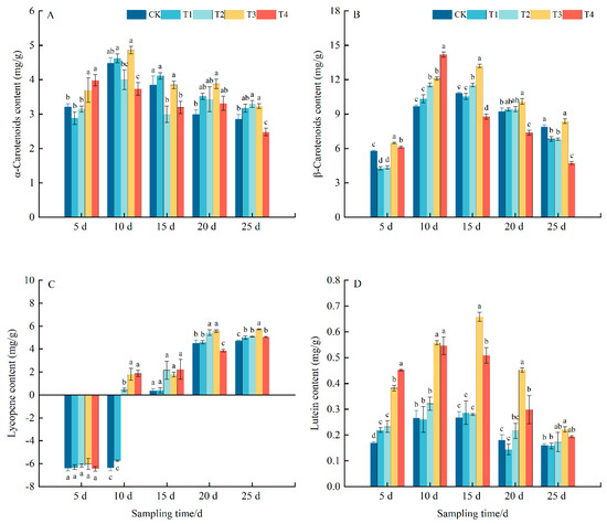
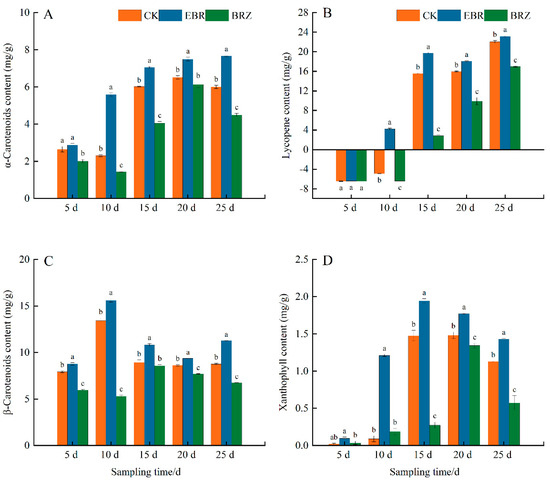
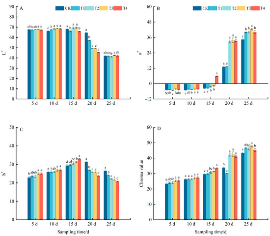
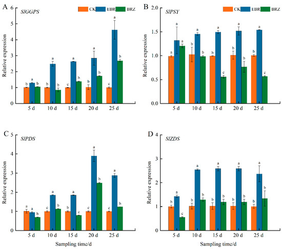
Effect of Exogenous 2,4-Epibrassinolide (EBR) on Color Change in Tomato Fruit
by Long Li, Jihua Yu, Shilei Luo, Guobin Zhang, Jian Lyu, Zeci Liu, Yan Wang, Hong Cai, Tingting Mu and Rongrong Zhang
Horticulturae 2026, 12(2), 254; https://doi.org/10.3390/horticulturae12020254 - 22 Feb 2026
Viewed by 164
Abstract
Fruit ripening and color change form a complex physiological and biochemical process involving the accumulation and breakdown of a series of metabolites. Brassinolide plays an important role in the regulation of fruit ripening. In this study, the effects of exogenous EBR (2,4-epibrassinolide) and [...] Read more.
Fruit ripening and color change form a complex physiological and biochemical process involving the accumulation and breakdown of a series of metabolites. Brassinolide plays an important role in the regulation of fruit ripening. In this study, the effects of exogenous EBR (2,4-epibrassinolide) and BRZ (Brassinazole, an inhibitor of BR biosynthesis) on fruit color change were investigated using ‘Micro-Tom’ tomatoes (Solanum lycopersicum L.) as an experimental material. The experiment was set up with five treatments: CK (distilled water + 0.01% Tween-80) and T1–T4 (0.05, 0.1, 0.15, 0.2 mg/L EBR). In addition, a BRZ-treated group (4 μmol/L BRZ + 0.01% Tween-80) was set up in a follow-up experiment. The results showed that different concentrations of EBR treatments significantly increased the carotenoid and lycopene contents and decreased the chlorophyll contents in fruits compared with CK, with the T3 treatment (0.15 mg/L EBR) showing the most significant effect. Simultaneously, EBR induced the expression of the carotenoid metabolism genes SlGGPPS, SlPSY, SlPDS and SlZDS and promoted carotenoid accumulation. On the 20th day, compared with the CK and BRZ treatments, chlorophyll a and chlorophyll b contents were significantly reduced by 20.06% and 46.03% respectively; the expression of the chlorophyll degradation-related genes SlNYC, SlSGR1, SlPPH, and SlPAO was upregulated under a 0.15 mg/L EBR treatment, accelerating chlorophyll degradation. Furthermore, the EBR treatment reduced fruit brightness (L*) and increased fruit red saturation (a*), while yellow saturation (b*) showed an increasing and then decreasing trend; on the 20th day, compared with CK and BRZ, the red saturation of the EBR treatment group increased by 125.57% and 67.37% respectively, while the brightness decreased significantly by 24.28% and 23.83% respectively. In conclusion, exogenous application of 0.15 mg/L EBR significantly accelerated fruit ripening and color transformation by promoting the accumulation of carotenoids and the degradation of chlorophyll. Full article
Show Figures

Figure 1

21 pages, 1895 KB  
Article
Condition-Wise Robustness of Skeleton-Based Gait Sex Classification Under Smartphone Use, Occlusion, and Speed Variations
by A Hyun Jung, Yujin Oh, Ye Eun Kong, Min-Hyung Choi and Se Dong Min
Appl. Sci. 2026, 16(4), 1830; https://doi.org/10.3390/app16041830 - 12 Feb 2026
Viewed by 275
Abstract
Skeleton-based gait sex classification can reduce reliance on appearance cues, yet its robustness under everyday walking disturbances remains under-quantified. Using PsyMo 2D pose sequences (90° side view), we render Common Objects in Context (COCO) keypoints into compact grayscale skeleton images, segment sequences into [...] Read more.
Skeleton-based gait sex classification can reduce reliance on appearance cues, yet its robustness under everyday walking disturbances remains under-quantified. Using PsyMo 2D pose sequences (90° side view), we render Common Objects in Context (COCO) keypoints into compact grayscale skeleton images, segment sequences into fixed-length 15-frame clips, and classify them with a 3D residual convolutional neural network (CNN) under a subject-wise split shared across four aggregated conditions: overall (A), occlusion/carrying disturbance (B), speed variation (C), and smartphone use (D). To avoid an arbitrary decision rule, we select a global operating threshold on the validation set by sweeping τ to maximize macro-F1, apply it unchanged to the held-out test set, and report a threshold-sensitivity check. Robustness is audited via condition-wise confusion matrices, subgroup precision/recall with 95% subject-level bootstrap confidence intervals, and subject-level probability overlap. To contextualize condition-dependent behavior, we quantify joint-group attribution shifts using Gradient-weighted Class Activation Mapping (Grad-CAM) and examine a coarse arm-swing proxy under smartphone use. Subject-level test accuracy ranged from 0.761 to 0.870 across conditions A–D, with uncertainty summarized by 95% subject-level bootstrap confidence intervals; performance was lowest in B, with increased male→female errors. Overall, these results provide a transparent audit-and-interpretation framework for assessing skeleton-based gait sex classification under realistic walking perturbations in practical evaluation scenarios. Full article
Show Figures

Figure 1

21 pages, 6952 KB  
Article
Combined Transcriptomic and Metabolomic Analysis of the Coloration Mechanism in Colored-Leaf Osmanthus fragrans ‘Jinyu Guihua’
by Peng Guo, Yu Huang, Peiquan Jin, Xinke Li, Qianqian Ma, Luoyi Yu, Wei Zhao, Yihan Wang and Fude Shang
Plants 2026, 15(3), 385; https://doi.org/10.3390/plants15030385 - 27 Jan 2026
Viewed by 299
Abstract
The colored-leaf Osmanthus fragrans is a valuable ornamental tree species that integrates greenery, colorful leaves, and fragrance. At present, research on colored-leaf Osmanthus fragrans mainly focuses on cultivar breeding, classification and cultivation, and physiological resistance, while studies on leaf color variation remain limited. [...] Read more.
The colored-leaf Osmanthus fragrans is a valuable ornamental tree species that integrates greenery, colorful leaves, and fragrance. At present, research on colored-leaf Osmanthus fragrans mainly focuses on cultivar breeding, classification and cultivation, and physiological resistance, while studies on leaf color variation remain limited. In this study, the colored-leaf Osmanthus cultivar ‘Jinyu Guihua’ and its female parent were used as materials. The leaf coloration mechanism was systematically investigated through a combined analysis of physiology, transcriptomics, and metabolomics. The results showed that compared with the female parent, the leaves of ‘Jinyu Guihua’ exhibited significantly reduced chlorophyll b and anthocyanin contents, fewer chloroplasts, and more plastoglobules. Transcriptomic analysis identified 3938 differentially expressed genes (DEGs), among which the key chlorophyll metabolism gene CAO was downregulated and NOL was upregulated; the key carotenoid synthesis gene PSY was downregulated and CYP97A3 was upregulated; the key anthocyanin synthesis gene ANS was downregulated; and the PetC2 gene in the photosynthesis-related Cytb6-f complex was upregulated. qRT-PCR validation results were consistent with the RNA-seq data. Metabolomic analysis detected 1290 metabolites, classified into 21 subcategories, with flavonoids being the most abundant (17.21%). Anthocyanin synthase (ANS) significantly downregulated the expression levels of cyanidin-3-O-rutinoside (Cy3R) and delphinidin-3-O-rutinoside (De3R). In conclusion, the leaf color variation in ‘Jinyu Guihua’ is closely related to changes in leaf pigment content and the regulation of key metabolic pathway gene expression. The findings of this study provide a theoretical basis for the molecular breeding of new colored-leaf Osmanthus varieties and serve as a reference for trait research in other ornamental plants. Full article
(This article belongs to the Section Plant Physiology and Metabolism)
Show Figures

Figure 1

19 pages, 717 KB  
Article
Are University Students Ready to Work? The Role of Soft Skills and Psychological Capital in Building Sustainable Employability
by Emanuela Ingusci, Elisa De Carlo, Alessia Anna Catalano, Cosimo Gabriele Semeraro and Fulvio Signore
Educ. Sci. 2026, 16(2), 181; https://doi.org/10.3390/educsci16020181 - 23 Jan 2026
Viewed by 475
Abstract
Soft skills are increasingly viewed as essential personal resources for sustainable employability, yet their combined role with Psychological Capital (PsyCap) and proactive career behaviors among university students remains insufficiently understood. Grounded in the Job Demands–Resources model, this study examines whether soft skills predict [...] Read more.
Soft skills are increasingly viewed as essential personal resources for sustainable employability, yet their combined role with Psychological Capital (PsyCap) and proactive career behaviors among university students remains insufficiently understood. Grounded in the Job Demands–Resources model, this study examines whether soft skills predict PsyCap, employability, job crafting (seeking challenges) and active job search behavior, and whether these relationships differ between STEM and non-STEM students. A sample of 501 Italian university students (mean age = 22.7) completed validated measures of soft skills, PsyCap (resilience and optimism), employability (employability, networking, social networks), seeking challenges and active job search. Structural equation modeling revealed that soft skills significantly predicted PsyCap (β = 0.57), employability (β = 0.45), seeking challenges (β = 0.61) and active job search (β = 0.25). Multi-group analyses showed configural invariance across STEM and non-STEM groups and generally comparable relationships, with slightly stronger effects of soft skills on PsyCap and employability for non-STEM students. These findings extend prior work by testing an integrated JD–R-informed employability model that links soft skills to both psychological resources and proactive career behaviors within the same SEM and across academic domains. Overall, findings highlight soft skills as foundational resources that enhance students’ psychological functioning and proactive career behaviors, ultimately supporting readiness for work and the development of adaptive, sustainable career paths. Full article
(This article belongs to the Section Higher Education)
Show Figures

Figure 1

13 pages, 260 KB  
Article
Women’s Madness as a Social Construct in the Novel Misiá Señora by Albalucía Ángel
by Diana Vela
Humanities 2026, 15(2), 20; https://doi.org/10.3390/h15020020 - 23 Jan 2026
Viewed by 399
Abstract
This article examines the representation of women’s madness in the novel Misiá Señora by Albalucía Ángel to argue that the protagonist’s diagnosis of madness and subsequent institutionalization serve as a social construct, lack a scientific foundation and function as mechanisms of social discipline. [...] Read more.
This article examines the representation of women’s madness in the novel Misiá Señora by Albalucía Ángel to argue that the protagonist’s diagnosis of madness and subsequent institutionalization serve as a social construct, lack a scientific foundation and function as mechanisms of social discipline. I contend that the psychiatric procedures to which she is subjected operate less as therapeutic interventions than as punitive correctives aimed at regulating her defiance of patriarchal authority and her transgression of normative gendered behavior. This essay begins by reviewing scholarship on the novel that does not question the mental health diagnosis attributed to the main character. It then undertakes a close reading of the protagonist’s institutionalization to demonstrate how Ángel’s novel reveals madness as a device to neutralize women who resist socially prescribed roles. The analysis draws on feminist critiques of the “psy” disciplines—particularly those that interrogate the gendered construction of mental illness and the historical role of these disciplines in policing women’s bodies, emotions, and conduct. The conclusions highlight that, in Misiá Señora, the protagonist’s pathologization functions as a disciplinary tool that reinforces hegemonic gender norms by framing dissent as clinical deviance and justifying coercive forms of control. Full article
15 pages, 1427 KB  
Article
PsyAPP: The Development of a Mobile Application for Effective Health Management in Mentally Ill Patients
by Marta Llorente-Alonso, Cristina García-Ael, Gabriela Topa, Ana Fernández-Araque, Lourdes Jiménez-Navascués, Mª Ángeles Martínez-Casado, Irene Garcés Carretero and Andrea Cuervas-Mons Tejedor
J. Clin. Med. 2026, 15(2), 894; https://doi.org/10.3390/jcm15020894 - 22 Jan 2026
Viewed by 258
Abstract
Background/Objectives: In recent decades, new technologies have been progressively integrated into various areas of mental health care. Mobile applications are potentially effective tools that allow psychiatric patients themselves to access self-management resources and tools within the community setting. Mental health nursing plays [...] Read more.
Background/Objectives: In recent decades, new technologies have been progressively integrated into various areas of mental health care. Mobile applications are potentially effective tools that allow psychiatric patients themselves to access self-management resources and tools within the community setting. Mental health nursing plays a key role in enabling patients to take an active role in their care and in promoting activities that foster their involvement and empowerment. The primary aim of this pilot study was to develop the PsyAPP mobile application to support both nurses and individuals with mental illness in managing care and improving health outcomes, and to assess its feasibility within a real-world clinical setting. Methods: A mobile application (PSYAPP) and a complementary web-based nursing management platform were designed and implemented. A total of 20 psychiatric patients enrolled in a partial hospitalization program in Soria (Spain) participated. Participants were assigned to experimental (app users) and control groups. Psychological empowerment, global functioning, and suicide risk were assessed before and after the intervention. Results: Patients who used the application showed significantly greater psychological empowerment (W = 2.04, p ≤ 0.04) compared with the control group. Statistically significant improvements were observed in psychological, social, and occupational functioning. Regarding suicide risk, no statistically significant changes were detected between pre- and post-intervention measurements in either group. Overall, PSYAPP demonstrated feasibility and potential utility as an innovative tool to support mental health care follow-up. Conclusions: This study developed and implemented a mobile application designed to enhance mental health care by supporting both patients and psychiatric nurses. Results showed significant improvements in global functioning in both the app and control groups, suggesting that rehabilitative treatment contributed to overall progress. Suicide risk did not significantly change within groups, although improvements were seen in the full sample, likely due to clinical care rather than app use. Only the experimental group demonstrated increased psychological empowerment, indicating that the app may effectively enhance patient engagement and involvement in their own care. Full article
(This article belongs to the Special Issue Advancements and Future Directions in Clinical Psychosis)
Show Figures

Figure 1

19 pages, 1324 KB  
Article
Reno-Metabolic Multimorbidity and Psychiatric Comorbidity: Development of a Renal–Psychiatric/Psychosomatic Burden Score in a Real-World Cohort
by Ana Lucreția Trandafir, Oceane Colasse, Marc Cristian Ghitea, Evelin Claudia Ghitea, Timea Claudia Ghitea, Roxana Daniela Brata and Alexandru Daniel Jurca
Medicina 2026, 62(1), 66; https://doi.org/10.3390/medicina62010066 - 28 Dec 2025
Viewed by 438
Abstract
Background and Objectives: Renal and metabolic disorders frequently coexist with psychiatric and psychosomatic conditions, forming complex multimorbidity clusters that challenge traditional models of care. Anxiety, depression, and stress-related disorders may amplify the clinical trajectory of chronic kidney disease (CKD) and metabolic dysfunction. This [...] Read more.
Background and Objectives: Renal and metabolic disorders frequently coexist with psychiatric and psychosomatic conditions, forming complex multimorbidity clusters that challenge traditional models of care. Anxiety, depression, and stress-related disorders may amplify the clinical trajectory of chronic kidney disease (CKD) and metabolic dysfunction. This study aimed to characterize the renal–psychiatric/psychosomatic burden profile of a real-world clinical cohort and to introduce a novel integrative multimorbidity score (RePsy-Risk) quantifying the combined renal, metabolic, and psychiatric burden. Materials and Methods: We conducted a cross-sectional analysis of 148 adult patients stratified into a reno-metabolic group (group 1) and a comparison group with other comorbidities (group 2). Clinical, biochemical, and psychiatric data were extracted from routine medical records. RePsy-Risk was constructed from three domains: renal impairment (eGFR, UACR), metabolic load (TyG index, diabetes/metabolic diagnosis), and psychiatric/psychosomatic involvement (diagnostic text-mining, psychotropic treatment). Group differences were assessed using Mann–Whitney U and t-tests, and associations were explored via Spearman correlation and heatmap visualization. Results: The reno-metabolic group exhibited significantly higher serum creatinine (1.07 vs. 0.86 mg/dL, p = 0.0027), a greater medication burden (7.07 vs. 5.70 drugs, p = 0.0007), and a higher RePsy-Risk score (mean 4.11 vs. 3.20, p = 0.00028). Overall, 52.0% of patients were classified as low risk, 45.3% as moderate risk, and 2.7% as high risk. RePsy-Risk correlated strongly with renal dysfunction (eGFR: ρ = –0.62; UACR: ρ = 0.38) and with metabolic load (TyG: ρ = 0.53), while psychiatric factors contributed independently (RePsy_C: ρ = 0.48). Heatmap analysis confirmed clustering of renal and metabolic domains, with psychosomatic features forming a distinct but additive dimension. Conclusions: Reno-metabolic disease is associated with a significantly elevated renal–psychiatric/psychosomatic burden, shaped by the interplay between impaired renal function, metabolic stress, and psychiatric comorbidity. The RePsy-Risk score offers a practical tool for capturing this multidimensional vulnerability, highlighting the need for integrated clinical strategies that simultaneously address renal, metabolic, and mental health pathways. Further validation in larger cohorts is warranted. Full article
Show Figures

Figure 1

21 pages, 8335 KB  
Article
A Marigold (Tagetes erecta) MADS-Box Transcription Factor, TeSEP4, Regulates Petal Color by Modulating Chlorophyll and Carotenoid Biosynthesis
by Chunling Zhang, Chujun Huang, Ke Zhu, Luan Ke, Hang Li and Yanhong He
Agronomy 2026, 16(1), 88; https://doi.org/10.3390/agronomy16010088 - 28 Dec 2025
Viewed by 455
Abstract
Chlorophyll and carotenoid biosynthesis are essential metabolic processes in horticultural plants, critically influencing the coloration and economic value of fruits and petals. However, the regulatory mechanisms that coordinate the accumulation of both chlorophyll and carotenoids are still poorly understood. In this study, we [...] Read more.
Chlorophyll and carotenoid biosynthesis are essential metabolic processes in horticultural plants, critically influencing the coloration and economic value of fruits and petals. However, the regulatory mechanisms that coordinate the accumulation of both chlorophyll and carotenoids are still poorly understood. In this study, we demonstrated that the transcription factor TeSEP4 modulated petal color in marigolds by simultaneously modulating chlorophyll and carotenoid metabolic pathways. Overexpression of TeSEP4 produced dark-yellow petals, which were associated with enhanced carotenoid biosynthesis and suppression of chlorophyll biosynthesis. In contrast, silencing TeSEP4 triggered a shift toward yellow-green petals by reducing carotenoid accumulation while concurrently increasing chlorophyll content. Transcriptome and qRT-PCR analyses further revealed that TeSEP4 overexpression upregulated key carotenogenic genes such as TePSY1 and TePSY3, while downregulating chlorophyll-related genes, including TeCHLH, TeCHL27-1, and TePORA1. Silencing TeSEP4 expression caused the opposite changes in these genes. These findings reveal a transcriptional factor that coordinates chlorophyll and carotenoid biosynthesis, offering a strategy to simultaneously improve carotenoid content and modify petal color in marigolds. Full article
Show Figures

Figure 1

17 pages, 4075 KB  
Article
Metabolomic and Transcriptomic Analyses Reveal the Molecular Mechanism of Flower Color Variations in Rosa chinensis Cultivar ‘Rainbow’s End’
by Junfei Sun, Fengshan Ren, Xianshui Meng, Guizhi Dong, Xiaohong Zhang and Yi Li
Metabolites 2026, 16(1), 32; https://doi.org/10.3390/metabo16010032 - 27 Dec 2025
Viewed by 428
Abstract
Background: Rosa chinensis, commonly known as the Chinese rose, is one of the most economically significant ornamental plants worldwide. The Rosa chinensis cultivar ‘Rainbow’s End’ notably transitions in color from yellow to red throughout its blooming phase; however, the chemical and molecular foundations [...] Read more.
Background: Rosa chinensis, commonly known as the Chinese rose, is one of the most economically significant ornamental plants worldwide. The Rosa chinensis cultivar ‘Rainbow’s End’ notably transitions in color from yellow to red throughout its blooming phase; however, the chemical and molecular foundations underlying this floral color transformation remain inadequately understood. Methods: This study used the petals of the Rosa ‘Rainbow’s End’ cultivar at four developmental stages (R1, R2, R3, and R4) for targeted metabolomic and transcriptomic analyses. Results: Targeted metabolomic analyses revealed that the majority of anthocyanidin metabolites were highest at stages R2 and R3 and lowest at R1 and R4. In contrast, most carotenoid metabolites reached their highest levels at R1 and declined continuously from R2 to R4. These results were consistent with the color phenotype of Rosa ‘Rainbow’s End’ petals and suggested that both anthocyanins and carotenoids play critical roles in flower color variation. Specifically, an upregulation of CHS, ANS, and UGT genes in the anthocyanin biosynthesis pathway was observed in R2 and R3, coinciding with the expression of two MYB transcription factors (MYB14 and MYB54). Conversely, consistent downregulation of PSY, PDS, Z-ISO, ZDS, CHYB, and NCED genes in the carotenoid biosynthesis pathway was detected in R2 to R4 and was associated with four MYB transcription factors (MYB20, MYB43, MYB44, and MYB86). Conclusions: Rosa ‘Rainbow’s End’ is an excellent model for studying variations in flower color. The expression patterns of the identified structural genes involved in anthocyanin and carotenoid biosynthesis pathways, along with the related MYB transcription factors, were aligned with the levels of metabolite changes in the petals of four flowering stages. These genes and transcription factors are likely responsible for the color shifts in Rosa ‘Rainbow’s End’. This study clarifies the mechanisms underlying color changes in Rosa ‘Rainbow’s End’ and provides a theoretical basis for future flower breeding efforts. Full article
(This article belongs to the Special Issue Metabolomics and Plant Defence, 2nd Edition)
Show Figures

Graphical abstract

13 pages, 1013 KB  
Article
Long-Term Health Consequences of SARS-CoV-2: Reaction Time and Brain Fog
by Ana Lesac Brizić, Branislava Popović, Tina Zavidić, Nevena Todorović, Verica Petrović, Nataša Pilipović-Broćeta, Ana R. Miljković, Aleksandar Ljubotina and Ema Dejhalla
Neurol. Int. 2026, 18(1), 6; https://doi.org/10.3390/neurolint18010006 - 26 Dec 2025
Viewed by 1461
Abstract
Background/Objectives: Beyond respiratory problems, COVID-19 can cause a variety of symptoms, such as neurological disorders caused by biological and psychological factors. Brain fog (BF), a post-illness cognitive impairment that many patients report, can be evaluated with reaction time (RT) testing. Response latency [...] Read more.
Background/Objectives: Beyond respiratory problems, COVID-19 can cause a variety of symptoms, such as neurological disorders caused by biological and psychological factors. Brain fog (BF), a post-illness cognitive impairment that many patients report, can be evaluated with reaction time (RT) testing. Response latency is measured by RT, which can be either simple (sRT) or complex (cRT). This study focuses on how COVID-19 affects cognitive function, with particular attention on RT changes, BF prevalence, and implications for daily life. Methods: The study included 599 participants from Bosnia and Herzegovina, Croatia and Serbia. RT was measured using PsyToolkit and participants completed a COVID-19-associated BF questionnaire. Participants who experienced BF after their latest COVID-19 infection rated its severity using a visual analogue scale (VAS). Additional clinical data were obtained from medical records. Results: BF was reported by 40% of participants post-COVID-19. Men reported it less frequently but found it more disruptive. RT progressively declined post-infection, reaching peak impairment at 15 weeks, following recovery, with RT normalizing by six months. Conclusions: COVID-19 is linked to temporary RT impairment, peaking at 15 weeks post-infection and resolving by six months, independent of BF presence. This study emphasizes the need for a biopsychosocial approach to BF management. Easily available RT assessments should be incorporated into routine clinical practice. Full article
(This article belongs to the Section Aging Neuroscience)
Show Figures

Graphical abstract

21 pages, 10278 KB  
Article
Transcription Factor TeMADS6 Coregulates Carotenoid Biosynthesis and Chlorophyll Degradation Resulting in Yellow-Green Petal Color of Marigold (Tagetes erecta)
by Chunling Zhang, Ke Zhu, Chujun Huang, Luan Ke, Yafeng Wen, Hang Li, Chaolong Yang, Zhengguo Tao and Yanhong He
Plants 2025, 14(24), 3763; https://doi.org/10.3390/plants14243763 - 10 Dec 2025
Cited by 1 | Viewed by 495
Abstract
Marigold (Tagetes erecta) is an important ornamental and industrial crop valued for its high lutein content. Although petal pigmentation during inflorescence development involves coordinated chlorophyll degradation and carotenoid biosynthesis, the transcriptional mechanisms regulating these processes remain poorly understood. Here, we identified [...] Read more.
Marigold (Tagetes erecta) is an important ornamental and industrial crop valued for its high lutein content. Although petal pigmentation during inflorescence development involves coordinated chlorophyll degradation and carotenoid biosynthesis, the transcriptional mechanisms regulating these processes remain poorly understood. Here, we identified a MADS-box transcription factor, TeMADS6, that coordinately regulates chlorophyll and carotenoid metabolism in marigold. Constitutive overexpression of TeMADS6 resulted in yellow-green petals. HPLC analysis revealed that lycopene, antheraxanthin, violaxanthin, zeaxanthin, and lutein levels were substantially reduced in TeMADS6-overexpression lines, while chlorophyll content was significantly increased compared with wild-type plants. Transcriptome profiling revealed strong repressions of the carotenoid biosynthetic genes TePSY1 and TeHYDB in transgenic florets. Moreover, the chlorophyll degradation gene TeNYC1 and TePPH2 were significantly downregulated, whereas TeSGR2 was upregulated. Together, these findings demonstrate that TeMADS6 acts as a dual-function transcriptional regulator controlling both chlorophyll degradation and carotenoid biosynthesis. This study provides new genetic resources for manipulating petal color and enhancing lutein accumulation in marigold, and advance understanding of the transcriptional networks orchestrating pigment metabolism during flower development. Full article
Show Figures

Figure 1

16 pages, 7438 KB  
Article
Integrated Omics Analysis Revealed the Differential Metabolism of Pigments in Three Varieties of Gastrodia elata Bl
by Xiaohua Li, Huaijing Zhu, Bingbing Zhang and Dahui Liu
Int. J. Mol. Sci. 2025, 26(24), 11839; https://doi.org/10.3390/ijms262411839 - 9 Dec 2025
Viewed by 536
Abstract
Gastrodia elata Blume is a well-known traditional Chinese medicine. The color of flower and flower stalk are important characteristics in the classification of G. elata. However, the mechanisms of pigment formation in different types of G. elata are not yet elucidated. To [...] Read more.
Gastrodia elata Blume is a well-known traditional Chinese medicine. The color of flower and flower stalk are important characteristics in the classification of G. elata. However, the mechanisms of pigment formation in different types of G. elata are not yet elucidated. To understand this, targeted metabolomics as well as transcriptomics analyses were carried out in this study. The differential accumulation and the typical components of pigments in different types of G. elata were elucidated. According to our research, the accumulation of carotenoids rather than anthocyanins likely contributes to the pigment content in G. elata. The different accumulations of carotenoids including violaxanthin, lycopene, α-carotene, and α-cryptoxanthin are the main reasons that contribute to the color differences in the flowers and flower stalks of these three G. elata varieties. Integrated multi-omics analysis enriched 50 and 17 differential genes in the flavonoid–anthocyanin and carotenoid biosynthesis pathways, respectively. Among these, PSY, PDS, CCD, UGT, and ANR were identified as critical genes responsible for the differential pigment accumulation in G. elata varieties, while the MYB TFs were tightly associated with main genes expression and content of carotenoids. Overall, this study enhances the current understanding of pigments’ metabolites profiles and contributes valuable insights into the molecular mechanisms underlying G. elata carotenoid biosynthesis; these findings also provide valuable guidance for future carotenoid biofortification and molecular breeding in G. elata. Full article
Show Figures

Figure 1

18 pages, 948 KB  
Article
The Impact of Flow on University EFL Learners’ Psychological Capital: Insights from Positive Psychology
by Fan Jia, Xihong Wang, Chunjie Ding, Shujun Wang, Xiaorong Wang and Yanhui Mao
Behav. Sci. 2025, 15(12), 1703; https://doi.org/10.3390/bs15121703 - 8 Dec 2025
Cited by 1 | Viewed by 675
Abstract
Many studies have shown that flow, psychological capital (PsyCap), anxiety, and academic efficacy play significant roles in EFL learning, yet little attention has been paid to how these positive and negative states jointly shape learners’ PsyCap. Grounded in the broaden-and-build theory, this study [...] Read more.
Many studies have shown that flow, psychological capital (PsyCap), anxiety, and academic efficacy play significant roles in EFL learning, yet little attention has been paid to how these positive and negative states jointly shape learners’ PsyCap. Grounded in the broaden-and-build theory, this study investigated how flow, a state of deep engagement and enjoyment in learning, affected EFL learners’ PsyCap. A total of 1611 EFL learners at the CEFR B1–B2 levels from six universities in China participated in the study. Data were collected using validated questionnaires developed for this study that measured flow, foreign language classroom anxiety (FLCA), academic efficacy, and PsyCap, and analyzed using structural equation modeling (SEM) in AMOS. The results revealed that flow had a significant direct positive effect on PsyCap (β = 0.648, p < 0.001). Academic efficacy significantly mediated this relationship (β = 0.059, p < 0.001), and a significant chain-mediated path was observed through FLCA and academic efficacy (β = 0.023, p < 0.001). The total effect of flow on PsyCap was 0.729 (p < 0.001). These findings provide new insights into educational practices that can effectively enhance EFL learners’ PsyCap and academic achievement by facilitating flow and reducing anxiety. Full article
Show Figures

Figure 1

17 pages, 663 KB  
Article
The Association Between Serious Leisure and University Students’ Life Satisfaction: Focusing on the Broaden-and-Build Theory of Positive Emotions
by Kyulee Shin, Sukkyung You and Youngmi Sohn
Behav. Sci. 2025, 15(12), 1677; https://doi.org/10.3390/bs15121677 - 3 Dec 2025
Viewed by 610
Abstract
Positive psychological capital (PsyCap) is closely linked to well-being. This study examined the role of serious leisure in fostering PsyCap among Korean university students, drawing on Fredrickson’s broaden-and-build theory of positive emotion. Using structural equation modeling, we investigated whether serious leisure participation predicts [...] Read more.
Positive psychological capital (PsyCap) is closely linked to well-being. This study examined the role of serious leisure in fostering PsyCap among Korean university students, drawing on Fredrickson’s broaden-and-build theory of positive emotion. Using structural equation modeling, we investigated whether serious leisure participation predicts life satisfaction through the sequential mediating effects of positive emotion, positive thought, and PsyCap. A stratified sample of 480 Korean college students completed measures of serious leisure, positive emotion, positive thought, PsyCap, and life satisfaction. The findings revealed significant indirect associations, supporting the applicability of Fredrickson’s broaden-and-build theory in explaining how serious leisure enhances life satisfaction via positive psychological resources. These findings highlight serious leisure as a meaningful pathway to psychological well-being and suggest the value of university-based programs that promote constructive leisure engagement. The key contribution of this study lies in extending the understanding of serious leisure by empirically linking it to PsyCap and life satisfaction in a non-Western context, identifying it as a developmental resource that fosters long-term well-being. Full article
(This article belongs to the Section Health Psychology)
Show Figures

Figure 1

Back to TopTop