Influence of the Application of Rosemary Essential Oil (Salvia rosmarinus) on the Sensory Characteristics and Microbiological Quality of Minimally Processed Pumpkin (Cucurbita moschata) †
Abstract
1. Introduction
2. Materials and Methods
2.1. Sample Preparation and Treatments
2.2. Methodology Used for Microbiology
2.3. Sensory Analysis
2.4. Statistical Analysis
3. Results and Discussion
3.1. Effect of REO on the Native Microflora of Grated Pumpkin
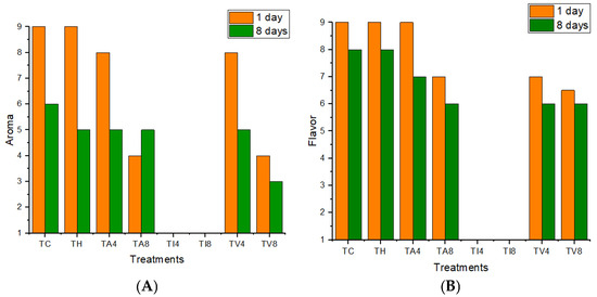
3.2. Sensory Evaluation
4. Conclusions
Author Contributions
Funding
Institutional Review Board Statement
Informed Consent Statement
Data Availability Statement
Acknowledgments
Conflicts of Interest
References
- Food and Agriculture Organization of the United Nations; FAOSTAT. Crops and Livestock Products (Production). Available online: https://www.fao.org/faostat/en/#search/production%20 (accessed on 10 December 2024).
- Della Gáspera, P.G. El Zapallo: Comercio y Producción. Boletín de Frutas y Hortalizas del Convenio INTA-CMCBA. 2017. No. 69. p. 13. Available online: https://mercadocentral.gob.ar/sites/default/files/docs/boletin-INTA-CMCBA-69-zapallo_0.pdf (accessed on 13 February 2025).
- Gutiérrez, D.; Chaves A y Rodriguez, S. Use of UV-C and gaseous ozone as sanitizing agents for keeping the quality of fresh-cut rocket (Eruca sativa Mill.). J. Food Process. Preserv. 2016, 41, e12968. [Google Scholar] [CrossRef]
- Rodríguez, S.C.; Gutiérrez, D.R.; Torales, A.C.; Qüesta, A.G. Vegetales IV Gama: Producción, comercialización y aspectos sanitarios en la región NOA y en Argentina. In Aportes de la FAyA para el Desarrollo Agropecuario y Agroindustrial del NOA; FAyA–UNSE: Santiago del Estero, Argentina, 2017; Volume 11, pp. 137–147. [Google Scholar]
- Allegra, A.; Casales, F.G.; Giménez, M.J.; Inglese, P.; Gallotta, A.; Passafiume, R.; Sortino, G. Effect of antioxidant agents on sensory profile of some aromatic fresh-cut peaches. J. Agric. Food Res. 2023, 15, 100919. [Google Scholar] [CrossRef]
- Bigliardi, B.; Galati, F. Innovation trends in the food industry: The case of functional foods. Trends Food Sci. Technol. 2013, 31, 118–129. [Google Scholar] [CrossRef]
- Falleh, H.; Jemaa, M.B.; Saada, M.; Ksouri, R. Essential oils: A promising eco-friendly food preservative. Food Chem. 2020, 330, 127268. [Google Scholar] [CrossRef] [PubMed]
- Flieger, J.; Flieger, W.; Baj, J.; Maciejewski, R. Antioxidants: Classification, natural sources, activity/capacity measurements, and usefulness for the synthesis of nanoparticles. Materials 2024, 14, 4135. [Google Scholar] [CrossRef] [PubMed]
- Bouarab Chibane, L.; Degraeve, P.; Ferhout, H.; Bouajila, J.; Oulahal, N. Plant antimicrobial polyphenols as potential natural food preservatives. J. Sci. Food Agric. 2019, 99, 1457–1474. [Google Scholar] [CrossRef] [PubMed]
- Davidson, P.; Michael, C.; Faith, J.; Taylor, T.M. Naturally Occurring Antimicrobials for Minimally Processed Foods. Annu. Rev. Food Sci. Technol. 2013, 4, 163–190. [Google Scholar] [CrossRef] [PubMed]
- Yang, J.; Goksen, G.; Zhang, W. Rosemary essential oil: Chemical and biological properties, with emphasis on its delivery systems for food preservation. Food Control 2023, 154, 110003. [Google Scholar] [CrossRef]
- Gutierrez, J.; Bourke, P.; Lonchamp, J.; Barry-Ryan, C. Impact of plant essential oils on microbiological, organoleptic and quality parameters of minimally processed vegetables. Innov. Food Sci. Emerg. Technol. 2009, 10, 195–202. [Google Scholar] [CrossRef]
- ICMSF (International Commission on Microbiological Specifications for Foods). Microbial Ecology of Foods, 2nd ed.; Food Products; Acribia: Zaragoza, Spain, 1985. [Google Scholar]
- Gutiérrez, D.R.; Chaves, A.R.; Rodríguez, S.D.C. UV-C and ozone treatment influences on the antioxidant capacity and antioxidant system of minimally processed rocket (Eruca sativa Mill.). Postharvest Biol. Technol. 2018, 138, 107–113. [Google Scholar] [CrossRef]
- Lemos, L.; Gutiérrez, D.; Disalvo, A.; Rodriguez, S. Optimization of treatments as inhibitors of browning in eggplants IV gama, through response surface method. Rev. Iber. Tecnol. Postcosecha 2018, 18, 137–144. [Google Scholar]
- Kvapil, M.F. Deshidratación Osmótica y Envasado en Atmósferas Modificadas de ANCO (Cucurbita moschata) Mínimamente Procesado. 2019. Available online: https://www.semanticscholar.org/paper/Deshidrataci%C3%B3n-osm%C3%B3tica-y-envasado-en-atm%C3%B3sferas-de-Kvapil/14985a47b3638ac553e6400749d2c59d5dc07700 (accessed on 14 February 2025).
- UK Health Security Agency. Guidelines for Assesing the Microbiological Safety of Ready-to-Eat Foods; UK Health Security Agency: London, UK, 2009. Available online: https://assets.publishing.service.gov.uk/media/66debd72e87ad2f1218265e1/UKHSA-ready-to-eat-guidelines-2024.pdf (accessed on 12 September 2024).
- Alvarez, M.V. Aplicación Tecnológica de Compuestos Bioactivos de Origen Vegetal con Actividad Antimicrobiana en Productos de IV Gama. Ph.D. Thesis, Facultad de Agronomía y Agrindustrias, Universidad Nacional de Santiago del Estero, Santiago del Estero, Argentina, 2015. Available online: https://bicyt.conicet.gov.ar/fichas/produccion/2846291 (accessed on 14 February 2025).


Disclaimer/Publisher’s Note: The statements, opinions and data contained in all publications are solely those of the individual author(s) and contributor(s) and not of MDPI and/or the editor(s). MDPI and/or the editor(s) disclaim responsibility for any injury to people or property resulting from any ideas, methods, instructions or products referred to in the content. |
© 2025 by the authors. Licensee MDPI, Basel, Switzerland. This article is an open access article distributed under the terms and conditions of the Creative Commons Attribution (CC BY) license (https://creativecommons.org/licenses/by/4.0/).
Share and Cite
Benites, J.F.; Gutiérrez, D.R.; Ruiz, S.C.; Rodriguez, S.d.C. Influence of the Application of Rosemary Essential Oil (Salvia rosmarinus) on the Sensory Characteristics and Microbiological Quality of Minimally Processed Pumpkin (Cucurbita moschata). Biol. Life Sci. Forum 2024, 40, 37. https://doi.org/10.3390/blsf2024040037
Benites JF, Gutiérrez DR, Ruiz SC, Rodriguez SdC. Influence of the Application of Rosemary Essential Oil (Salvia rosmarinus) on the Sensory Characteristics and Microbiological Quality of Minimally Processed Pumpkin (Cucurbita moschata). Biology and Life Sciences Forum. 2024; 40(1):37. https://doi.org/10.3390/blsf2024040037
Chicago/Turabian StyleBenites, Julio Federico, Diego Ricardo Gutiérrez, Silvana Cecilia Ruiz, and Silvia del Carmen Rodriguez. 2024. "Influence of the Application of Rosemary Essential Oil (Salvia rosmarinus) on the Sensory Characteristics and Microbiological Quality of Minimally Processed Pumpkin (Cucurbita moschata)" Biology and Life Sciences Forum 40, no. 1: 37. https://doi.org/10.3390/blsf2024040037
APA StyleBenites, J. F., Gutiérrez, D. R., Ruiz, S. C., & Rodriguez, S. d. C. (2024). Influence of the Application of Rosemary Essential Oil (Salvia rosmarinus) on the Sensory Characteristics and Microbiological Quality of Minimally Processed Pumpkin (Cucurbita moschata). Biology and Life Sciences Forum, 40(1), 37. https://doi.org/10.3390/blsf2024040037

