Sign in to use this feature.

Years

Between: -

Subjects

remove_circle_outline
remove_circle_outline
remove_circle_outline
remove_circle_outline
remove_circle_outline
remove_circle_outline
remove_circle_outline
remove_circle_outline
remove_circle_outline

Journals

remove_circle_outline
remove_circle_outline
remove_circle_outline
remove_circle_outline
remove_circle_outline
remove_circle_outline
remove_circle_outline
remove_circle_outline
remove_circle_outline
remove_circle_outline
remove_circle_outline
remove_circle_outline
remove_circle_outline
remove_circle_outline
remove_circle_outline
remove_circle_outline
remove_circle_outline
remove_circle_outline
remove_circle_outline

Article Types

Countries / Regions

remove_circle_outline
remove_circle_outline
remove_circle_outline
remove_circle_outline
remove_circle_outline

Search Results (1,364)

Search Parameters:
Keywords = N boundary

Order results
Result details
Results per page
Select all
Export citation of selected articles as:
29 pages, 1135 KB  
Article
Impact of Embodied Energy and Carbon on the Path to Nearly Zero Energy Residential Buildings
by Nazanin Moazzen and Touraj Ashrafian
Sustainability 2026, 18(1), 87; https://doi.org/10.3390/su18010087 (registering DOI) - 20 Dec 2025
Abstract
In recent decades, energy efficiency policies have increasingly focused on reducing buildings’ energy use and improving their performance. However, by overlooking the entire life cycle of a building, a considerable portion of its environmental impact has indeed been kept out of the process. [...] Read more.
In recent decades, energy efficiency policies have increasingly focused on reducing buildings’ energy use and improving their performance. However, by overlooking the entire life cycle of a building, a considerable portion of its environmental impact has indeed been kept out of the process. As a result, even leading buildings that have advanced toward Zero-Energy status may not that as innocent as promised by evaluating environmental impacts during their whole life. Consequently, a logical method for achieving nearly Zero Energy Buildings (nZEBs) involves implementing energy-efficient measures and proper materials throughout the entire life cycle of buildings. This paper is one of its first kinds that includes all building systems and materials embodied energy and cost to explore the possibility of creating nearly zero residential buildings through their life cycle. Life-cycle energy consumptions, life-cycle CO2 emissions and life-cycle cost of nZEB retrofit packages for a five-storey, 20-apartment residential building in Ankara, Turkey were evaluated. The methodology couples dynamic simulation (DesignBuilder/EnergyPlus) with an EN 15978-aligned boundary (A1–A5, B, C). The study highlights the critical role of both operational and embodied energy and carbon emissions in the pursuit of nZEBs. The best nZEB package reduces primary energy by ~55% and life-cycle CO2 by ~45% relative to the reference building over 50 years, while cost-optimal packages deliver 6–7% lower global cost. These findings demonstrate the effectiveness of life cycle assessment in measuring building environmental impact, the utilization of renewable energy, and the optimization of building materials in reducing energy consumption and emissions, providing a sustainable and cost-efficient approach to residential building design. Full article
(This article belongs to the Section Green Building)
15 pages, 11391 KB  
Article
Characteristics of Atmospheric CO2 at Shangri-La Regional Atmospheric Background Station in Southwestern China: Insights from Recent Observations (2019–2022)
by Yuemiao Yin, Ronglian Zhou, Xuqin Duan, Xiaoqing Peng, Xiaorui Song, Wei He, Xiaoli Li and Ciyong Zhima
Atmosphere 2026, 17(1), 3; https://doi.org/10.3390/atmos17010003 - 19 Dec 2025
Abstract
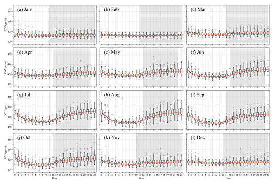
Southwestern China serves as a critical region for carbon sources and sinks, influenced by both natural ecosystems and anthropogenic activities. The Shangri-La atmospheric background station (28.01° N, 99.73° E), the only regional station in southwestern China, provides essential data for understanding CO2 [...] Read more.
Southwestern China serves as a critical region for carbon sources and sinks, influenced by both natural ecosystems and anthropogenic activities. The Shangri-La atmospheric background station (28.01° N, 99.73° E), the only regional station in southwestern China, provides essential data for understanding CO2 dynamics. This study analyzes hourly CO2 mole fractions from 2019 to 2022. Background signals were extracted using the Robust Extraction of Baseline Signal (REBS) algorithm, and air-mass trajectories were analyzed using HYSPLIT model and Potential Source Contribution Function (PSCF) and Concentration Weighted Trajectory (CWT) methods. The REBS-derived background CO2 concentration increased from ~409 ppm in 2019 to ~417 ppm in 2022, yielding a growth rate of 1.9 ± 0.1 ppm yr−1, slightly lower than the 2010–2014 rate reported previously and consistent with the recent global slowdown associated with ENSO-driven carbon–climate variability. A coherent seasonal cycle, with spring maxima and late-summer minima, reflects the combined influence of biospheric uptake and monsoonal inflow. Comparison with the global marine boundary layer and Waliguan records shows similar phase and amplitude, confirming the representativeness of Shangri-La as a regional background site, albeit with a one-month phase lag to Waliguan station due to regional climatic and phenological differences. Trajectory and wind analyses identify southern Indo-Myanmar and Sichuan–Yunnan regions as major transport corridors influencing high-CO2 events. Overall, the results highlight that regional transport rather than local emissions dominates CO2 variability at Shangri-La. The derived background and transport signals thus provide an updated and internally consistent characterization of carbon-cycle variability over the southeastern Tibetan Plateau, offering critical observational support for future regional carbon budget assessments. Full article
(This article belongs to the Section Atmospheric Techniques, Instruments, and Modeling)
Show Figures

Figure 1

29 pages, 3634 KB  
Article
Human–AI Complementarity in Peer Review: Empirical Analysis of PeerJ Data and Design of an Efficient Collaborative Review Framework
by Zhihe Yang, Xiaoyu Zhou, Yuxin Jiang, Xinjie Zhang, Qihui Gao, Yanzhu Lu and Anqi Yang
Publications 2026, 14(1), 1; https://doi.org/10.3390/publications14010001 - 19 Dec 2025
Abstract
In response to the persistent imbalance between the rapid expansion of scholarly publishing and the constrained availability of qualified reviewers, an empirical investigation was conducted to examine the feasibility and boundary conditions of employing Large Language Models (LLMs) in journal peer review. A [...] Read more.
In response to the persistent imbalance between the rapid expansion of scholarly publishing and the constrained availability of qualified reviewers, an empirical investigation was conducted to examine the feasibility and boundary conditions of employing Large Language Models (LLMs) in journal peer review. A parallel corpus of 493 pairs of human expert reviews and GPT-4o-generated reviews was constructed from the open peer-review platform PeerJ Computer Science. Analytical techniques, including keyword co-occurrence analysis, sentiment and subjectivity assessment, syntactic complexity measurement, and n-gram distributional entropy analysis, were applied to compare cognitive patterns, evaluative tendencies, and thematic coverage between human and AI reviewers. The results indicate that human and AI reviews exhibit complementary functional orientations. Human reviewers were observed to provide integrative and socially contextualized evaluations, while AI reviews emphasized structural verification and internal consistency, especially regarding the correspondence between abstracts and main texts. Contrary to the assumption of excessive leniency, GPT-4o-generated reviews demonstrated higher critical density and functional rigor, maintaining substantial topical alignment with human feedback. Based on these findings, a collaborative human–AI review framework is proposed, in which AI systems are positioned as analytical assistants that conduct structured verification prior to expert evaluation. Such integration is expected to enhance the efficiency, consistency, and transparency of the peer-review process and to promote the sustainable development of scholarly communication. Full article
(This article belongs to the Special Issue AI in Academic Metrics and Impact Analysis)
Show Figures

Figure 1

36 pages, 15395 KB  
Article
Numerical and Experimental Approaches for Mechanical Durability Assessment of an EV Battery Pack Case
by Hyun Soo Kim, Mingoo Cho, Changyeon Lee, Jaewoong Kim and Sungwook Kang
Materials 2025, 18(24), 5683; https://doi.org/10.3390/ma18245683 - 18 Dec 2025
Abstract
Electric vehicle (EV) battery pack cases (BPCs) must withstand mechanical loads such as impact, compression, and vibration to ensure structural integrity and passenger safety. This study evaluates the mechanical durability of a full-scale aluminum BPC using combined experimental testing and finite element analysis [...] Read more.
Electric vehicle (EV) battery pack cases (BPCs) must withstand mechanical loads such as impact, compression, and vibration to ensure structural integrity and passenger safety. This study evaluates the mechanical durability of a full-scale aluminum BPC using combined experimental testing and finite element analysis (FEA). A bottom impact test, 200 kN compression test, and power spectral density (PSD)-based random vibration test were conducted to simulate representative operating and handling conditions. The numerical model replicated boundary conditions and load profiles identical to the experiments, enabling a direct comparison of stress distribution and deformation characteristics. The results demonstrated that stress and displacement trends predicted by FEA closely matched experimental observations, with stress concentrations appearing at corner and frame junction regions and less than 1 mm deformation recorded under peak compression loading. Vibration responses were most pronounced in the vertical direction, without bolt loosening or structural damage. These results verify the reliability of the proposed BPC design and provide quantitative evidence supporting simulation-driven lightweight battery enclosure development. Full article
(This article belongs to the Special Issue High-Performance Materials for Energy Conversion)
Show Figures

Graphical abstract

12 pages, 3755 KB  
Article
Impact of Design Variations and Infill Density in 3D-Printed PLA Components
by Pradeep Raja, Karthik Babu, Elif Kaynak and Oisik Das
Polymers 2025, 17(24), 3336; https://doi.org/10.3390/polym17243336 - 18 Dec 2025
Abstract
3D printing offers the ability to fabricate lightweight structural profiles with controlled infill and geometry. This study examines the mechanical behaviour of 3D-printed polylactic acid (PLA) structures with a 10% infill density under four load conditions (10, 15, 20, and 25 N). Four [...] Read more.
3D printing offers the ability to fabricate lightweight structural profiles with controlled infill and geometry. This study examines the mechanical behaviour of 3D-printed polylactic acid (PLA) structures with a 10% infill density under four load conditions (10, 15, 20, and 25 N). Four designs (M1, M2, M3, and M4), representing commonly used structural profiles found in beam and column applications, were analysed using ANSYS finite element simulations. Each design was evaluated under roller and nodal boundary conditions to study deformation, stress, and strain responses. Three-point flexural tests were also carried out on all four designs, and the measured peak flexural stress and apparent flexural modulus were compared with the simulated stiffness values. Both the simulations and experimental results showed that Design M3 exhibited the highest stiffness and more consistent behaviour compared to the other designs, while Design M4 showed higher deformation and lower bending resistance. Roller supports generally reduced deformation through better load distribution, whereas nodal supports increased local stiffness in selected designs. Although the magnitude of stiffness differed between simulation and experiment, the ranking of the designs remained consistent. Overall, the study confirms that the geometry plays an important role in their load-bearing performance, and the numerical model provides a reliable tool for comparing and selecting suitable designs before fabrication. Full article
(This article belongs to the Section Polymer Processing and Engineering)
Show Figures

Graphical abstract

15 pages, 6299 KB  
Article
Finite Element Analysis of Structural Strength in Flattened Bamboo Sheet Furniture
by Chunjin Wu, Yan Li, Ran Chen, Shasha Song, Yi Liu and Huanrong Liu
Forests 2025, 16(12), 1857; https://doi.org/10.3390/f16121857 - 15 Dec 2025
Viewed by 127
Abstract
To advance “bamboo-as-plastic-substitute” initiatives and the sustainable use of furniture materials, this study investigates flattened bamboo sheets by determining their principal-direction elastic constants and evaluating two common furniture T-joints—dowel-jointed panel-type and right-angle mortise-and-tenon frame-type—through tensile and bending load-bearing tests alongside finite element (FE) [...] Read more.
To advance “bamboo-as-plastic-substitute” initiatives and the sustainable use of furniture materials, this study investigates flattened bamboo sheets by determining their principal-direction elastic constants and evaluating two common furniture T-joints—dowel-jointed panel-type and right-angle mortise-and-tenon frame-type—through tensile and bending load-bearing tests alongside finite element (FE) comparisons. The results show a pronounced anisotropy, with the longitudinal elastic modulus markedly higher than in other directions. At the joint level, the average ultimate load-bearing capacities were 4.06 kN (panel-type tension), 3.70 kN (frame-type tension), 0.264 kN (panel-type bending), and 0.589 kN (frame-type bending). Under identical structural configurations and boundary conditions, the tensile and bending capacities of flattened bamboo sheets were comparable to or exceeded those of the comparator materials (MDF, cherry wood, bamboo-based composites), and failures predominantly occurred in the adhesive layer rather than the bamboo substrate. Across four representative cases, FE predictions achieved a mean absolute percentage error (MAPE) of 6.5% with a maximum relative error of 12.5%; the regression correlation was R2 ≈ 0.999 based on four paired observations, which should be interpreted with caution due to the small sample size. The study validates that FE models driven by experimentally measured anisotropic parameters can effectively reproduce the mechanical response of flattened bamboo T-joints, providing a basis for structural design, lightweighting, and parameter optimization in furniture applications. Further work should characterize adhesive systems, environmental durability, and interfacial failure mechanisms to enhance the model’s general applicability. Full article
Show Figures

Figure 1

21 pages, 6509 KB  
Article
Quantitative Assessment of Satellite-Observed Atmospheric CO2 Concentrations over Oceanic Regions
by Xinyu He, Shuangling Chen, Jingyuan Xi and Yuntao Wang
Remote Sens. 2025, 17(24), 4026; https://doi.org/10.3390/rs17244026 - 13 Dec 2025
Viewed by 274
Abstract
Atmospheric carbon dioxide in mole fraction (XCO2) is one of the key parameters in estimating CO2 fluxes at the air–sea interface. Satellite-derived column-averaged XCO2 has been widely used in the estimates of air–sea CO2 fluxes, yet the uncertainties [...] Read more.
Atmospheric carbon dioxide in mole fraction (XCO2) is one of the key parameters in estimating CO2 fluxes at the air–sea interface. Satellite-derived column-averaged XCO2 has been widely used in the estimates of air–sea CO2 fluxes, yet the uncertainties induced by using column-averaged XCO2 instead of atmospheric XCO2 in the ocean boundary layer have been generally unknown. In this study, based on an extensive dataset of atmospheric XCO2 measured in the ocean boundary layer from global ocean mooring arrays (N = 945,243) and historical cruises (N = 170,000) between 2002 and 2024, for the first time, we quantitatively evaluated the performance of four satellites, including the Greenhouse gases Observing SATellite (GOSAT and GOSAT-2), the Orbiting Carbon Observatory-2 (OCO-2), and the Atmospheric InfraRed Sounder (AIRS), in monitoring the atmospheric XCO2 over oceanic regions. The atmospheric XCO2 has been increasing from 375 ppm in 2002 to 417 ppm in 2024 based on the longest data record from AIRS. We found that the column-averaged atmospheric XCO2 can serve as a good proxy for atmospheric XCO2 in the ocean boundary layer, with associated uncertainties of 2.48 ppm (0.46%) for GOSAT, 1.01 ppm (0.24%) for GOSAT-2, 2.45 ppm (0.45%) for OCO-2, and 4.22 ppm (0.83%) for AIRS. We also investigated the consistency of these satellites in monitoring the growth rates of atmospheric XCO2 in the global ocean basins. Based on the longest data record from AIRS, the atmospheric XCO2 has been increasing at a rate of 1.87–1.97 ppm year−1 over oceanic regions in the past two decades. These findings contribute to improving the reliability of satellite-derived column-averaged XCO2 observations in the estimates of air–sea CO2 fluxes and support future efforts in monitoring ocean carbon dynamics through satellite remote sensing. Full article
(This article belongs to the Section Ocean Remote Sensing)
Show Figures

Figure 1

16 pages, 1655 KB  
Article
The Effect of Co/TiN Interfaces on Co Interconnect Resistivity
by Poyen Shen, Sanzida Rahman, Daniel M. Syracuse and Daniel Gall
Surfaces 2025, 8(4), 89; https://doi.org/10.3390/surfaces8040089 - 13 Dec 2025
Viewed by 125
Abstract
Electron transport measurements on Co/TiN multilayers are employed to explore the effect of TiN layers on Co resistivity. For this, 50 nm thick multilayer stacks containing N = 1–10 individual Co layers that are separated by 1 nm thick TiN layers are sputter [...] Read more.
Electron transport measurements on Co/TiN multilayers are employed to explore the effect of TiN layers on Co resistivity. For this, 50 nm thick multilayer stacks containing N = 1–10 individual Co layers that are separated by 1 nm thick TiN layers are sputter deposited on SiO2/Si(001) substrates at 400 °C. X-ray diffraction and reflectivity measurements indicate a tendency for a 0001 preferred orientation, an X-ray coherence length of 13 nm that is nearly independent of N, and an interfacial roughness that increases with N. The in-plane multilayer resistivity ρ increases with increasing N = 1–10, from ρ = 14.4 to 36.6 µΩ-cm at room temperature and from ρ = 11.2 to 19.4 µΩ-cm at 77 K. This increase is due to a combination of increased electron scattering at interfaces and grain boundaries, as quantified using a combined Fuchs–Sondheimer and Mayadas–Shatzkes model. The analysis indicates that a decreasing thickness of the individual Co layers dCo from 50 to 5 nm causes not only an increasing resistivity contribution from Co/TiN interface scattering (from 9 to 88% with respect to the room-temperature bulk resistivity) but also an increasing (39 to 154%) grain boundary scattering contribution, which exacerbates the resistivity penalty due to the TiN liner. These results are supported by Co/TiN bilayer and trilayer structures deposited on Al2O3 (0001) at 600 °C. Interfacial intermixing causes Co2Ti and Co3Ti alloy phase formation, an increase in the contact resistance, a degradation of the Co crystalline quality, and a 2.3× higher resistivity for Co deposited on TiN than Co directly deposited on Al2O3(0001). The overall results show that TiN liners cause a dramatic increase in Co interconnects due to diffuse surface scattering, interfacial intermixing/roughness, and Co grain renucleation at Co/TiN interfaces. Full article
(This article belongs to the Special Issue Surface Engineering of Thin Films)
Show Figures

Figure 1

13 pages, 12547 KB  
Article
Orientational Structure and Electro-Optical Properties of Chiral Nematic Droplets with Conical Anchoring
by Kristina A. Feizer, Mikhail N. Krakhalev, Vladimir Yu. Rudyak and Victor Ya. Zyryanov
Molecules 2025, 30(24), 4761; https://doi.org/10.3390/molecules30244761 - 12 Dec 2025
Viewed by 275
Abstract
The polymer dispersed liquid crystals (PDLCs) with conical boundary conditions are considered. PDLC films with different values of the relative chirality parameter N0 of chiral nematic droplets ranging from 0 to 1.32 are studied experimentally and theoretically. In flattened spheroid-shaped chiral nematic [...] Read more.
The polymer dispersed liquid crystals (PDLCs) with conical boundary conditions are considered. PDLC films with different values of the relative chirality parameter N0 of chiral nematic droplets ranging from 0 to 1.32 are studied experimentally and theoretically. In flattened spheroid-shaped chiral nematic droplets, a twisted axial-bipolar structure is formed whose twist angle increases with rising N0 value. Two stable states of the structure are revealed: one with the bipolar axis oriented perpendicular to the short axis of the spheroid and another with the bipolar axis oriented parallel to it. Applying a small voltage causes the bipolar axes of the chiral nematic droplets to reorient parallel to the electric field. The structure is unwound in strong electric fields, and the droplet order parameter reaches a high value of nearly 0.95. These features of the voltage-induced reorientation of the axial-bipolar structure explain the experimentally observed characteristic electro-optical properties of PDLC cells: high transmittance Tmax0.90 in the on-state and low control voltages of less than 35 V. The minimum transmittance of the PDLC cells decreases as the value of N0 increases; for samples with N00.60, the contrast ratio exceeds 145. Full article
(This article belongs to the Special Issue Liquid Crystals, 3rd Edition)
Show Figures

Graphical abstract

17 pages, 10887 KB  
Article
The Effect of Bulk Nucleation Parameters on the Solidification Structure of Large Slabs During Electroslag Remelting and Optimization of Production Process Parameters
by Qi Li, Yu Du, Zhenquan Jing and Yanhui Sun
Crystals 2025, 15(12), 1052; https://doi.org/10.3390/cryst15121052 - 11 Dec 2025
Viewed by 204
Abstract
In this paper, the moving heat transfer boundary method is adopted to establish a three-dimensional solidification microstructure model based on the coupling technology of the cellular automata method (CA) and finite element method (FE), simulate the ingot growth process, and optimize the nucleation [...] Read more.
In this paper, the moving heat transfer boundary method is adopted to establish a three-dimensional solidification microstructure model based on the coupling technology of the cellular automata method (CA) and finite element method (FE), simulate the ingot growth process, and optimize the nucleation parameters. In addition, this study also explored the influence of process parameters such as melting rate, molten pool temperature, and cooling intensity on the solidification structure of ingots, providing a theoretical basis for process optimization. The results show that the maximum nucleation undercooling degree and the maximum nucleation density have significant effects on different crystal regions of the ingot solidification structure, while the maximum nucleation variance has no obvious effect on the changes in the solidification structure. When the maximum bulk nucleus undercooling degree ΔTv,max = 4 K, the bulk nucleus standard deviation ΔTv,σ = 5 K, and the maximum bulk nucleus density nv,max = 3 × 107, the simulation results of the solidification structure can be well consistent with the experimental results. With the increase in smelting speed, the number of grains in the ingot structure gradually increases, while the average area of grains gradually decreases. The melting temperature and the intensity of side wall cooling have no obvious influence on the solidification structure of the ingot. Full article
(This article belongs to the Special Issue Crystallization of High-Performance Metallic Materials (3rd Edition))
Show Figures

Figure 1

20 pages, 6385 KB  
Article
Molecular Remodeling of Milk Fat Globules Induced by Centrifugation: Insights from Deep Learning-Based Detection of Milk Adulteration
by Grzegorz Gwardys, Grzegorz Grodkowski, Piotr Kostusiak, Wojciech Mendelowski, Jan Slósarz, Michał Satława, Bartłomiej Śmietanka, Krzysztof Gwardys, Marcin Gołębiewski and Kamila Puppel
Int. J. Mol. Sci. 2025, 26(24), 11919; https://doi.org/10.3390/ijms262411919 - 10 Dec 2025
Viewed by 186
Abstract
Milk adulteration through centrifugation, which artificially reduces the somatic cell count (SCC), represents a significant challenge to food authenticity and public health. This fraudulent practice alters the native molecular architecture of milk, masking inflammatory conditions such as subclinical mastitis and distorting product quality. [...] Read more.
Milk adulteration through centrifugation, which artificially reduces the somatic cell count (SCC), represents a significant challenge to food authenticity and public health. This fraudulent practice alters the native molecular architecture of milk, masking inflammatory conditions such as subclinical mastitis and distorting product quality. Conventional analytical and microscopic techniques remain insufficiently sensitive to detect the subtle physicochemical changes associated with centrifugation, highlighting the need for molecular-level, data-driven diagnostics. The dataset included 128 paired raw milk samples and approximately 25,000 bright-field micrographs acquired across multiple microscopes, of which 95% were confirmed to be of high quality. In this study, advanced machine learning (ML) and deep learning (DL) approaches were applied to identify centrifugation-induced alterations in raw milk microstructure. Bright-field micrographs (pixel size 0.27 µm) of paired unprocessed and centrifuged samples were obtained under standardized optical conditions and analyzed using convolutional neural networks (ResNet-18/50, Inception-v3, Xception, NasNet-Mobile) and hybrid attention architectures (MaxViT, CoAtNet). Model performance was evaluated using the harmonic average of recalls across five micrographs per sample (HAR5). Human microscopy experts (n = 4) achieved only 18% classification accuracy—below the random baseline (25%)—confirming that centrifugation-induced modifications are not visually discernible. In contrast, DL architectures reached up to 97% accuracy (HAR5, Xception), successfully identifying subtle molecular cues. Class activation and sensitivity analyses indicated that models focused not on milk fat globule (MFG) boundaries but on high-frequency nanoscale variations related to the reorganization of casein micelles and solid non-fat fractions. The findings strongly suggest that centrifugation adulteration constitutes a molecular reorganization event rather than a morphological alteration. The integration of optical microscopy with AI-driven molecular analytics establishes deep learning as a precise and objective tool for detecting fraudulent milk processing and improving food integrity diagnostics. Full article
(This article belongs to the Special Issue Application of Artificial Intelligence in Molecular Sciences)
Show Figures

Figure 1

27 pages, 6913 KB  
Article
Stabilizing Effect of Polycrystalline Diamond on Graphite Anodes for Li Ion Batteries
by Julio Saldaña-Rivera, Enrique Quiroga-González, Daniel Villarreal, Orlando Auciello and Elida de Obaldía
Coatings 2025, 15(12), 1450; https://doi.org/10.3390/coatings15121450 - 8 Dec 2025
Viewed by 206
Abstract
Improving the interfacial stability of graphite anodes remains a major challenge for extending the lifetime of lithium-ion batteries. In this study, ultrananocrystalline diamond (UNCD) and nitrogen-incorporated UNCD (N-UNCD) coatings were employed as protective layers to enhance the electrochemical and mechanical robustness of graphite [...] Read more.
Improving the interfacial stability of graphite anodes remains a major challenge for extending the lifetime of lithium-ion batteries. In this study, ultrananocrystalline diamond (UNCD) and nitrogen-incorporated UNCD (N-UNCD) coatings were employed as protective layers to enhance the electrochemical and mechanical robustness of graphite electrodes. Half-cells were cycled for 60 charge–discharge cycles, and their behavior was examined through electrochemical impedance spectroscopy (EIS), Distribution of Relaxation Times (DRT), and Equivalent Circuit Modeling (ECM) to disentangle the characteristic relaxation processes. The potential–capacity profiles exhibited the typical LiC12–LiC6 transition plateaus without any additional features for the coated electrodes, confirming that the UNCD and N-UNCD films do not participate in lithium storage but serve as chemically inert and electrically stable interlayers. In contrast, the uncoated reference graphite anodes showed greater capacity fluctuations and increasing interfacial impedance. DRT and ECM analyses revealed four consistent relaxation processes—electronic transport (τ1), ionic transport through the electrolyte (τ2), Solid Electrolyte Interface (SEI) response (τ3), and lithium intercalation (τ4). The τ2 process remained invariant, whereas τ3 and τ4 were markedly stabilized by the UNCD and N-UNCD coatings. UNCD exhibited the lowest SEI-related resistance and the most stable charge-transfer kinetics, while N-UNCD displayed an initially higher τ3 resistance followed by progressive self-stabilization after 20 charge/discharge cycles, linked to reorganization of nitrogen-rich grain boundaries. Overall, polycrystalline diamond coatings—particularly UNCD—proved to be highly effective in suppressing SEI layer growth, minimizing impedance rise, and preserving lithium intercalation efficiency, leading to enhanced long-term electrochemical performance. These findings highlight the potential of diamond-based protective layers as a durable and scalable strategy for next-generation graphite anodes. Full article
Show Figures

Figure 1

22 pages, 9957 KB  
Article
Analysis of Cenozoic Structural Evolution and Basin Formation Models in the Nanpu Sag, Bohai Bay Basin, China
by Liangli Xiong, Han Yu, Junjie Xu, Rongwei Zhu, Zhangshu Lei and Wenbo Du
Geosciences 2025, 15(12), 466; https://doi.org/10.3390/geosciences15120466 - 8 Dec 2025
Viewed by 137
Abstract
Based on comprehensive interpretation of three-dimensional seismic data and quantitative analysis of basin-boundary fault activity in the Nanpu Sag, this study employs subsidence history backstripping and equilibrium profile techniques to reconstruct the structural evolution of the main profile. The results indicate that the [...] Read more.
Based on comprehensive interpretation of three-dimensional seismic data and quantitative analysis of basin-boundary fault activity in the Nanpu Sag, this study employs subsidence history backstripping and equilibrium profile techniques to reconstruct the structural evolution of the main profile. The results indicate that the Cenozoic evolution of the Nanpu Sag can be divided into a syn-rift stage and a post-rift stage, with the syn-rift stage further subdivided into Rift I and Rift II episodes. During Rift I, tectonic activity was primarily controlled by the NE- and NEE-trending Xinanzhuang Fault, Shabei Fault, and No. 2 Fault Zone, which formed under a NW–SE extensional stress regime and governed the development of NE- or NEE-trending faults and associated sedimentary subsidence centers. In Rift II, tectonic activity was dominated by a southward-curved normal fault system, composed of the Xinanzhuang, Gaoliu, and Baigezhuang faults, as well as the Shabei Fault, reflecting the influence of a near N–S ex-tensional stress field. The progressive southward migration of the Sag’s subsidence center over time—from the Linque sub-sag in the third section of the Shahe Formation to the Caofeidian sub-sag in the Dongying Formation—and noting, coupled with the pronounced left-lateral strike-slip characteristics of the Baigezhuang Fault and No. 4 Fault, and regional tectonic evolution analysis of the Bohai Bay Basin, support the proposal that a strike-slip extension mechanism—characterized by lateral strike-slip and forward extension—constitutes the fundamental developmental model of the Nanpu Sag. This study deepens the understanding of the tectonic evolution of the Nanpu Sag and provides new insights in-to the dynamic mechanisms governing the formation of similar Sags in the Bohai Bay Basin. Full article
Show Figures

Figure 1

25 pages, 2667 KB  
Article
Dual-Attention EfficientNet Hybrid U-Net for Segmentation of Rheumatoid Arthritis Hand X-Rays
by Madallah Alruwaili, Mahmood A. Mahmood and Murtada K. Elbashir
Diagnostics 2025, 15(24), 3105; https://doi.org/10.3390/diagnostics15243105 - 6 Dec 2025
Viewed by 192
Abstract
Background: Accurate segmentation in radiographic imaging remains difficult due to heterogeneous contrast, acquisition artifacts, and fine-scale anatomical boundaries. Objective: This paper presents a Hybrid Attention U-Net, which paired an EfficientNet-B3 encoder with a decoder that is both lightweight, featuring CBAM and [...] Read more.
Background: Accurate segmentation in radiographic imaging remains difficult due to heterogeneous contrast, acquisition artifacts, and fine-scale anatomical boundaries. Objective: This paper presents a Hybrid Attention U-Net, which paired an EfficientNet-B3 encoder with a decoder that is both lightweight, featuring CBAM and SCSE modules, and complementary for channel-wise and spatial-wise recalibration of sharper boundary recovery. Methods: The preprocessing phase uses percentile windowing, N4 bias compensation, per-image normalization, and geometric standardization as well as sparse geometric augmentations to reduce domain shift and make the pipeline viable. Results: For hand X-ray segmentation, the model achieves results with Dice = 0.8426, IoU around 0.78, pixel accuracy = 0.9058, ROC-AUC = 0.9074, and PR-AUC = 0.8452, and converges quickly at the early stages and remains steady at late epochs. Controlled ablation shows that the main factor of overlap quality of EfficientNet-B3 and that smaller batches (bs = 16) are always better at gradient noise and implicit regularization than larger batches. The qualitative overlays are complementary to quantitative gains that reveal more distinct cortical profiles and lower background leakage. Conclusions: It is computationally moderate, end-to-end trainable, and can be easily extended to multi-class problems through a softmax head and class-balanced objectives, rendering it a powerful, deployable option for musculoskeletal radiograph segmentation as well as an effective baseline in future clinical translation analyses. Full article
(This article belongs to the Section Machine Learning and Artificial Intelligence in Diagnostics)
Show Figures

Figure 1

21 pages, 21928 KB  
Article
HieraEdgeNet: A Multi-Scale Edge-Enhanced Framework for Automated Pollen Recognition
by Yuchong Long, Wen Sun, Ningxiao Sun, Wenxiao Wang, Chao Li and Shan Yin
Agriculture 2025, 15(23), 2518; https://doi.org/10.3390/agriculture15232518 - 4 Dec 2025
Viewed by 256
Abstract
Automated pollen recognition is a foundational tool for diverse scientific domains, including paleoclimatology, biodiversity monitoring, and agricultural science. However, conventional methods create a critical data bottleneck, limiting the temporal and spatial resolution of ecological analysis. Existing deep learning models often fail to achieve [...] Read more.
Automated pollen recognition is a foundational tool for diverse scientific domains, including paleoclimatology, biodiversity monitoring, and agricultural science. However, conventional methods create a critical data bottleneck, limiting the temporal and spatial resolution of ecological analysis. Existing deep learning models often fail to achieve the requisite localization accuracy for microscopic pollen grains, which are characterized by their minute size, indistinct edges, and complex backgrounds. To overcome this, we introduce HieraEdgeNet, a novel object detection framework. The core principle of our architecture is to explicitly extract and hierarchically fuse multi-scale edge information with deep semantic features. This synergistic approach, combined with a computationally efficient large-kernel operator for fine-grained feature refinement, significantly enhances the model’s ability to perceive and precisely delineate object boundaries. On a large-scale dataset comprising 44,471 annotated microscopic images containing 342,706 pollen grains from 120 classes, HieraEdgeNet achieves a mean Average Precision of 0.9501 (mAP@0.5) and 0.8444 (mAP@0.5:0.95), substantially outperforming state-of-the-art models such as YOLOv12n and the Transformer-based RT-DETR family in terms of the accuracy–efficiency trade-off. This work provides a powerful computational tool for generating the high-throughput, high-fidelity data essential for modern ecological research, including tracking phenological shifts, assessing plant biodiversity, and reconstructing paleoenvironments. At the same time, we acknowledge that the current two-dimensional design cannot directly exploit volumetric Z-stack microscopy and that strong domain shifts between training data and real-world deployments may still degrade performance, which we identify as key directions for future work. By also enabling applications in precision agriculture, HieraEdgeNet contributes broadly to advancing ecosystem monitoring and sustainable food security. Full article
(This article belongs to the Section Artificial Intelligence and Digital Agriculture)
Show Figures

Figure 1

Back to TopTop