Sign in to use this feature.

Years

Between: -

Subjects

remove_circle_outline
remove_circle_outline
remove_circle_outline
remove_circle_outline
remove_circle_outline
remove_circle_outline
remove_circle_outline
remove_circle_outline
remove_circle_outline

Journals

remove_circle_outline
remove_circle_outline
remove_circle_outline
remove_circle_outline
remove_circle_outline
remove_circle_outline
remove_circle_outline
remove_circle_outline
remove_circle_outline
remove_circle_outline
remove_circle_outline
remove_circle_outline

Article Types

Countries / Regions

remove_circle_outline
remove_circle_outline
remove_circle_outline
remove_circle_outline
remove_circle_outline

Search Results (2,480)

Search Parameters:
Keywords = MOF-520

Order results
Result details
Results per page
Select all
Export citation of selected articles as:
24 pages, 7749 KB  
Article
Synthesis of Aluminum-Based MOF and Cellulose-Modified Al-MOF for Enhanced Adsorption of Congo Red Dye
by Ceyda Duyar and Asgar Kayan
Inorganics 2026, 14(1), 6; https://doi.org/10.3390/inorganics14010006 (registering DOI) - 23 Dec 2025
Abstract
The synthesis of two novel materials, aluminum-based MOF (Al-MOF) and cellulose-modified MOF (Al-MOF@C), as adsorbents is presented. Al-MOF was synthesized from aluminum sec-butoxide and terephthalic acid in a 1:1 molar ratio using a solvothermal method. Al-MOF@C was synthesized under similar solvothermal conditions [...] Read more.
The synthesis of two novel materials, aluminum-based MOF (Al-MOF) and cellulose-modified MOF (Al-MOF@C), as adsorbents is presented. Al-MOF was synthesized from aluminum sec-butoxide and terephthalic acid in a 1:1 molar ratio using a solvothermal method. Al-MOF@C was synthesized under similar solvothermal conditions by reacting environmentally friendly starting materials such as aluminum sec-butoxide, terephthalic acid, and cellulose in a 1:1:1 molar ratio. The synthesized materials’ structural, morphological, and surface properties were thoroughly characterized using XRD, SEM, EDS, BET (with specific surface areas calculated as 563.9 m2/g for Al-MOF and 487.1 m2/g for Al-MOF@C), and FTIR analyses. Then they were utilized in the water treatment process to remove the highly toxic anionic Congo red (CR) dye. Dye adsorption studies were carried out using UV-Vis spectroscopy. Batch adsorption experiments showed that Al-MOF and Al-MOF@C materials adsorbed CR dye with removal efficiencies of 95.06% and 91.79% in just 4 min, respectively. The equilibrium adsorption isotherm data for Al-MOF and Al-MOF@C were best fitted by the Langmuir model, and the calculated maximum adsorption capacities were 80.64 mg/g and 68.96 mg/g, respectively. The adsorption kinetics exhibited an excellent correlation with the pseudo-second-order model (R2 = 0.9975 for Al-MOF and R2 = 0.9936 for Al-MOF@C). Measurements taken after the adsorption process showed that Al-MOFs synthesized using environmentally friendly chemicals retained their stable chemical structure in aqueous environments and thus did not create secondary pollution in the environment, highlighting the importance of this study. Chemically stable, thermodynamically favorable, and highly reusable Al-MOF adsorbents offer a promising solution for the advanced environmental remediation of hazardous dye contaminants. Full article
Show Figures

Figure 1

24 pages, 3841 KB  
Review
The Neglected Dimension in Pesticide Residues: Emerging Green and Enantioselective Strategies for the Analysis and Removal of Chiral Pesticides
by Binbin Liu, Ziyan Gong and Haixiang Gao
Separations 2026, 13(1), 4; https://doi.org/10.3390/separations13010004 (registering DOI) - 23 Dec 2025
Abstract
Chirality remains the most neglected axis of pesticide residue science. Many active ingredients are sold as racemates although their enantiomers differ in potency, persistence, transport, and toxicology; as a result, total concentration is a poor surrogate for risk. This review synthesizes green and [...] Read more.
Chirality remains the most neglected axis of pesticide residue science. Many active ingredients are sold as racemates although their enantiomers differ in potency, persistence, transport, and toxicology; as a result, total concentration is a poor surrogate for risk. This review synthesizes green and enantioselective strategies spanning the full analytical–remediation continuum. We survey solvent-minimized sample preparation approaches (SPME/TF-SPME, FPSE, µSPE, DLLME with DES/NADES), MS-compatible chiral separations (immobilized polysaccharide CSPs in LC and SFC, cyclodextrin-based selectors in GC, CE/CEC), and HRMS-enabled confirmation and suspect screening. Complex matrices (e.g., fermented beverages such as wine and high-sugar products) are critically discussed, together with practical matrix-tolerant workflows and the complementary role of chiral GC for hydrophobic residues. We then examine emerging enantioselective materials—MIPs, MOFs/COFs, and cyclodextrin-based sorbents—for extraction and preconcentration and evaluate stereoselective removal via adsorption, biodegradation, and chiral photocatalysis. Finally, we propose toxicity-weighted enantiomeric fraction (EF) metrics for decision-making, outline EF-aware green treatment strategies, and identify metrological and regulatory priorities (CRMs, ring trial protocols, FAIR data). Our thesis is simple: to reduce hazards efficiently and sustainably, laboratories and practitioners must measure—and manage—pesticide residues in the chiral dimension. Full article
(This article belongs to the Special Issue New Techniques for Extraction and Removal of Pesticide Residues)
Show Figures

Graphical abstract

21 pages, 2605 KB  
Review
Metal–Organic Frameworks as Synergistic Scaffolds in Biomass Fermentation: Evolution from Passive Adsorption to Active Catalysis
by Tao Liu, Chuming Wang, Haozhe Zhou and Wen Luo
Fermentation 2026, 12(1), 9; https://doi.org/10.3390/fermentation12010009 (registering DOI) - 22 Dec 2025
Abstract
Microbial fermentation stands as the foundational technology in modern biorefineries, yet its industrial scalability is critically constrained by product inhibition, prohibitive downstream separation costs, and substrate inhibition. Metal–organic frameworks (MOFs) offer a tunable material platform to address these challenges through rational design of [...] Read more.
Microbial fermentation stands as the foundational technology in modern biorefineries, yet its industrial scalability is critically constrained by product inhibition, prohibitive downstream separation costs, and substrate inhibition. Metal–organic frameworks (MOFs) offer a tunable material platform to address these challenges through rational design of pore size, shape, and chemical functionality. This review systematically chronicles the evolution of MOF applications in biomass fermentation across four generations, demonstrating a synergistic mapping where the core fermentation challenges—product toxicity, substrate toxicity, and separation energy intensity—align with the inherent MOF advantages of high adsorption capacity, programmable selectivity, and tunable functionality. The applications progress from first-generation passive adsorbents for in situ product removal, to second-generation protective agents for mitigating inhibitors, and third-generation immobilization scaffolds enabling continuous processing. The fourth-generation systems transcend passive scaffolding to position MOFs as active metabolic partners in microbe-MOF hybrids, driving cofactor regeneration and tandem biocatalysis. By synthesizing diverse research streams, ranging from defect engineering to artificial symbiosis, including defect engineering strategies, this review establishes critical design principles for the rational integration of programmable materials in next-generation biorefineries. Full article
(This article belongs to the Special Issue Women’s Special Issue Series: Fermentation)
Show Figures

Graphical abstract

47 pages, 6936 KB  
Review
Research on Direct Air Capture: A Review
by Yiqing Zhao, Bowen Zheng, Jin Zhang and Hongyang Xu
Energies 2025, 18(24), 6632; https://doi.org/10.3390/en18246632 - 18 Dec 2025
Viewed by 444
Abstract
Direct Air Capture (DAC) technology plays a crucial role in reducing atmospheric CO2, but large-scale deployment faces challenges such as high energy consumption, operational costs, and slow material development. This study provides a comprehensive review of DAC principles, including chemical and [...] Read more.
Direct Air Capture (DAC) technology plays a crucial role in reducing atmospheric CO2, but large-scale deployment faces challenges such as high energy consumption, operational costs, and slow material development. This study provides a comprehensive review of DAC principles, including chemical and solid adsorption methods, with a focus on emerging technologies like Metal–Organic Frameworks (MOFs) and graphene aerogels. MOFs have achieved adsorption capacities up to 1.5 mmol/g, while modified graphene aerogels reach 1.3 mmol/g. Other advancing approaches include DAC with Methanation (DACM), variable-humidity adsorption, photo-induced swing adsorption, and biosorption. The study also examines global industrialization trends, noting a significant rise in DAC projects since 2020, particularly in the U.S., China, and Europe. The integration of DAC with renewable energy sources, such as photovoltaic/electrochemical regeneration, offers significant cost-reduction potential and can cut reliance on conventional heat by 30%. This study focuses on the integration of Artificial Intelligence (AI) for accelerating material design and system optimization. AI and Machine Learning (ML) are accelerating DAC R&D: high-throughput screening shortens material design cycles by 60%, while AI-driven control systems optimize temperature, humidity, and adsorption dynamics in real time, improving CO2 capture efficiency by 15–20%. The study emphasizes DAC’s future role in achieving carbon neutrality through enhanced material efficiency, integration with renewable energy, and expanded CO2 utilization pathways, providing a roadmap for scaling DAC technology in the coming years. Full article
Show Figures

Figure 1

23 pages, 4565 KB  
Article
Removal of Cr(VI) from an Aqueous Solution via a Metal Organic Framework (Ce-MOF-808)
by Hongfei Zhang, Ming Zou, Haixin Zhang, Naoto Miyamoto and Naoki Kano
Water 2025, 17(24), 3594; https://doi.org/10.3390/w17243594 - 18 Dec 2025
Viewed by 125
Abstract
Hexavalent chromium (Cr(VI)) is a carcinogenic and highly mobile pollutant in aquatic environments. In this study, three cerium-based metal–organic frameworks (Ce-UiO-66, Ce-UiO-66-NO2, and Ce-MOF-808) were synthesized and evaluated for their ability to remove Cr(VI) from aqueous solutions. Among the frameworks studied, [...] Read more.
Hexavalent chromium (Cr(VI)) is a carcinogenic and highly mobile pollutant in aquatic environments. In this study, three cerium-based metal–organic frameworks (Ce-UiO-66, Ce-UiO-66-NO2, and Ce-MOF-808) were synthesized and evaluated for their ability to remove Cr(VI) from aqueous solutions. Among the frameworks studied, Ce-MOF-808 exhibited the highest adsorption capacity and was selected for detailed investigation. To elucidate its structure and adsorption behavior, Ce-MOF-808 was characterized using XRD, FT-IR, SEM-EDS, TG-DTA, XPS, and Zeta potential analyses. The zeta potential results showed that the adsorbent surface remained positively charged in the pH range of 2.8–8.6, enabling electrostatic attraction toward anionic chromate species. XPS further revealed valence transitions between Ce3+/Ce4+ and Cr(VI)/Cr(III), demonstrating the occurrence of partial redox transformation during adsorption. Batch experiments showed that the adsorption was strongly pH-dependent and favored acidic conditions (pH 2). The kinetics followed the pseudo-second-order model, whereas the isotherm data were better described by the Langmuir model, yielding a maximum adsorption capacity of 42.74 mg/g. Thermodynamic analysis indicated a spontaneous and exothermic process. Moreover, Ce-MOF-808 maintained high Cr(VI) uptake in real water samples, demonstrating its environmental applicability. Overall, Ce-MOF-808 is a promising redox-active adsorbent for efficient Cr(VI) removal in water treatment applications. Full article
(This article belongs to the Special Issue Water Quality Engineering and Wastewater Treatment, 4th Edition)
Show Figures

Figure 1

20 pages, 5137 KB  
Review
Recent Emerging MOF Textiles for Catalytic Degradation of Chemical Warfare Agents and Their Simulants
by Jia Liu, Yingqi Tang, Huijuan Zhao and Guodong Zhao
Coatings 2025, 15(12), 1495; https://doi.org/10.3390/coatings15121495 - 18 Dec 2025
Viewed by 199
Abstract
Chemical warfare agents (CWAs) threaten peace and global security due to their extreme toxicity and devastating effects. Prompt discovery and detoxification are imperative to protect ourselves from these perilous agents. Metal–organic frameworks (MOFs), characterized by high specific surface areas, tunable porosities, and chemical [...] Read more.
Chemical warfare agents (CWAs) threaten peace and global security due to their extreme toxicity and devastating effects. Prompt discovery and detoxification are imperative to protect ourselves from these perilous agents. Metal–organic frameworks (MOFs), characterized by high specific surface areas, tunable porosities, and chemical stability, have attracted growing interest for the catalytic degradation of CWAs. However, the powder form of MOFs hinders their application in protection, and it is challenging to combine them with flexible carriers to protect humans. In this context, we provide an update on the recent development of MOF textile materials for the efficient degradation of CWAs. The research progress on different technologies for the catalytic degradation of CWAs and their simulants in MOF textiles in recent years is presented. Furthermore, challenges in developing MOF textiles for the catalytic degradation of CWAs and their simulants are highlighted. It is expected that these useful insights will be beneficial in constructing relevant MOF textiles for the degradation of CWAs. Full article
(This article belongs to the Section Surface Characterization, Deposition and Modification)
Show Figures

Figure 1

16 pages, 3034 KB  
Article
Synthesis and CO2/N2 Separation Performance Analysis of Mixed Matrix Membrane (MMM) Based on Different Bimetallic Metal–Organic Frameworks (Ni-Cu-MOF-74, Ni-Co-MOF-74, and Ni-Zn-MOF-74)
by Shoaib Ahsan, Muhammad Ahsan, Tayyaba Noor, Sarah Farrukh and Humais Roafi
Membranes 2025, 15(12), 385; https://doi.org/10.3390/membranes15120385 - 18 Dec 2025
Viewed by 146
Abstract
Polydimethylsiloxane (PDMS) is commonly used in gas-separation studies because of its high CO2 permeability and stable mechanical properties. In this work, mixed matrix membranes (MMMs) were prepared by incorporating the bimetallic MOFs Ni-Cu-MOF-74, Ni-Co-MOF-74, and Ni-Zn-MOF-74 into a PDMS matrix. The membranes [...] Read more.
Polydimethylsiloxane (PDMS) is commonly used in gas-separation studies because of its high CO2 permeability and stable mechanical properties. In this work, mixed matrix membranes (MMMs) were prepared by incorporating the bimetallic MOFs Ni-Cu-MOF-74, Ni-Co-MOF-74, and Ni-Zn-MOF-74 into a PDMS matrix. The membranes were fabricated by solution casting and characterized by SEM, XRD, FT-IR, and BET analyses, which confirmed uniform filler dispersion and the successful incorporation of the MOF-74 structures. Single-gas permeation tests showed clear performance improvements with MOF loading. The best results were obtained for the membrane containing 1 wt.% Ni-Cu-MOF-74, which reached a CO2 permeability of 3188.25 Barrer and a CO2/N2 selectivity of 35.10. The improvement is attributed to the accessible metal sites and high surface area provided by the MOF-74 framework, which enhanced adsorption–diffusion pathways for CO2 transport. These results show that PDMS/MOF-74 mixed-matrix membranes are effective for CO2/N2 separation, with Ni-Cu-MOF-74 achieving the highest performance. Full article
(This article belongs to the Special Issue Composite Membranes for Gas and Vapor Separation)
Show Figures

Figure 1

15 pages, 2482 KB  
Article
Enhancement of the Peroxidase Activity of Metal–Organic Framework with Different Clay Minerals for Detecting Aspartic Acid
by Chen Tian, Lang Zhang, Yali Yu, Ting Liu, Jianwu Chen, Jie Peng, Chu Dai and Jinhua Gan
Catalysts 2025, 15(12), 1172; https://doi.org/10.3390/catal15121172 - 17 Dec 2025
Viewed by 229
Abstract
The strategic engineering of metal–organic frameworks (MOFs) through integration with clay minerals offers a promising route to tailor their functional properties and expand their application scope. In this study, a series of clay-MOF composites was constructed by introducing MOFs onto the surfaces of [...] Read more.
The strategic engineering of metal–organic frameworks (MOFs) through integration with clay minerals offers a promising route to tailor their functional properties and expand their application scope. In this study, a series of clay-MOF composites was constructed by introducing MOFs onto the surfaces of different clay minerals. By varying the type of clay mineral, the nature and strength of surface-active sites could be effectively modulated. Notably, the Kaolinite-based MOFs (Ka-MOF) composite exhibited superior sensitivity for the detection of aspartic acid (AA), outperforming other composite nanozymes using o-phenylenediamine (OPD) and hydrogen peroxide (H2O2) as substrates, with a linear detection range of 0–37.56 μM and a low detection limit of 55.7 nM. The enhanced peroxidase-like activity is attributed to the substitution of silicon in the kaolinite structure by MOF components, which increases the density of Lewis acid–base sites. These sites facilitate H2O2 adsorption and promote its decomposition to generate singlet oxygen (1O2), thereby enhancing the catalytic oxidation process. Furthermore, the probe yielded satisfactory recoveries of aspartic acid (94.2% to 98.5%) in different real water samples through spiking recovery experiments. This work not only elucidates the influence of crystal surface engineering on the optical and catalytic properties of nanozymes but also provides a robust platform for tracing amino acids and studying their environmental chemical behaviors. Full article
Show Figures

Figure 1

15 pages, 2753 KB  
Article
Boosting Photocatalysis: Cu-MOF Functionalized with g-C3N4 QDs for High-Efficiency Degradation of Congo Red
by Yuhao Wang, Yuan Yang, Xinyue Zhang, Yajie Shi, Qiang Liu and Keliang Wu
Catalysts 2025, 15(12), 1169; https://doi.org/10.3390/catal15121169 - 16 Dec 2025
Viewed by 268
Abstract
In recent years, organic dye contamination has posed a significant threat to water safety. This study presents a novel composite photocatalyst comprising graphitic carbon nitride quantum dots (g-C3N4QDs) supported on a copper-based metal–organic framework (Cu-MOF) for efficient visible-light degradation of organic pollutants. The [...] Read more.
In recent years, organic dye contamination has posed a significant threat to water safety. This study presents a novel composite photocatalyst comprising graphitic carbon nitride quantum dots (g-C3N4QDs) supported on a copper-based metal–organic framework (Cu-MOF) for efficient visible-light degradation of organic pollutants. The g-C3N4QDs were synthesized via a facile strategy and subsequently immobilized onto the Cu-MOF support. Comprehensive characterization including SEM, TEM, XRD, BET, UV-Vis DRS, PL, and EIS confirmed the successful formation of a heterostructure, revealing that an optimized loading of g-C3N4QDs significantly enhanced light absorption, facilitated charge separation, and increased the specific surface area, with the optimal composite exhibiting 273 m2/g compared to 112 m2/g for the pristine Cu-MOF. Electrochemical analyses indicated a 2.38-fold enhancement in photocurrent density and a reduced interfacial charge transfer resistance, reflecting superior electron–hole pair separation. Crucially, the optimized g-C3N4QDs/Cu-MOF composite demonstrated exceptional photocatalytic performance, achieving 96.6% degradation of Congo red (100 mg/L) within 30 min under visible light irradiation, substantially outperforming the 77.6% degradation attained by the pristine Cu-MOF. This enhancement is attributed to the synergistic effects of improved light harvesting, efficient interfacial charge transfer across the heterojunction, and an enlarged active surface area. The composite exhibits considerable potential as a high-performance and stable photocatalyst for purifying dye-contaminated wastewater. Full article
(This article belongs to the Section Catalytic Materials)
Show Figures

Figure 1

29 pages, 2942 KB  
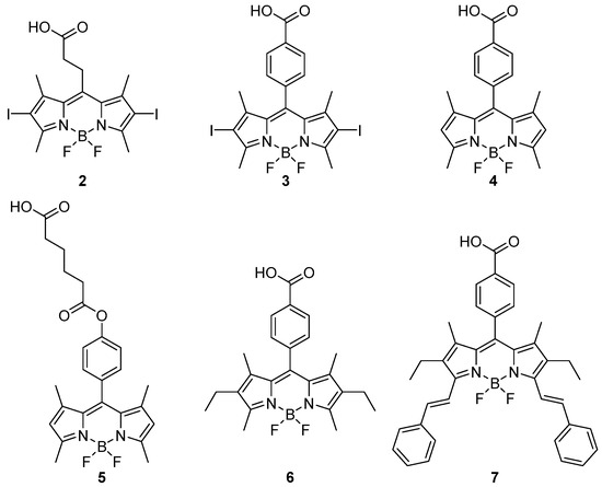
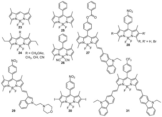
Review
Synthesis of BODIPY@MOFs as Hybrid Materials for Emerging Applications: A Review
by Louise Bureller, Clément Michelin and Federico Cisnetti
Molecules 2025, 30(24), 4790; https://doi.org/10.3390/molecules30244790 - 16 Dec 2025
Viewed by 199
Abstract
This review explores the integration of Boron-Dipyrromethene (BODIPY) dyes within Metal–Organic Frameworks (MOFs), highlighting their combined potential in various applications. MOFs, with their high porosity and structural versatility, provide an ideal platform to enable applications with BODIPYs, which otherwise remain challenging in the [...] Read more.
This review explores the integration of Boron-Dipyrromethene (BODIPY) dyes within Metal–Organic Frameworks (MOFs), highlighting their combined potential in various applications. MOFs, with their high porosity and structural versatility, provide an ideal platform to enable applications with BODIPYs, which otherwise remain challenging in the solid state. The article discusses different strategies for incorporating BODIPYs into MOFs, including their use as monodentate, bidentate, and tridentate ligands, as well as covalent attachment and non-coordinating encapsulation. The resulting hybrid materials exhibit enhanced properties suitable for applications in the luminescent materials/light harvesting, photodynamic therapy, sensing, and photocatalysis areas. The review emphasizes the importance of synthetic conditions, characterization techniques, and the quantification of BODIPY loading to ensure the integrity and functionality of the MOF structures. Full article
(This article belongs to the Special Issue BODIPYs: State of the Art and Future Perspectives)
Show Figures

Graphical abstract

16 pages, 277 KB  
Review
Curcumin-Loaded Nanoscale Metal–Organic Frameworks for Therapeutic Applications in Cancer
by Helda Tutunchi, Hafezeh Nabipour and Sohrab Rohani
Nanomaterials 2025, 15(24), 1869; https://doi.org/10.3390/nano15241869 - 12 Dec 2025
Viewed by 326
Abstract
Curcumin is a naturally occurring polyphenol that has gained attention in cancer research due to its anti-inflammatory, antioxidant, and anticancer properties. However, its clinical use is limited due to poor water solubility, rapid degradation, and low bioavailability, which reduce its therapeutic effectiveness. To [...] Read more.
Curcumin is a naturally occurring polyphenol that has gained attention in cancer research due to its anti-inflammatory, antioxidant, and anticancer properties. However, its clinical use is limited due to poor water solubility, rapid degradation, and low bioavailability, which reduce its therapeutic effectiveness. To overcome these issues, curcumin has been combined with other agents, including chemotherapeutic drugs, photothermal materials, and metal-based compounds, to improve stability and antitumor activity. Biocompatible drug-delivery systems that allow controlled or sustained release are particularly valuable in oncology, as they can minimize side effects and improve treatment efficiency. Among these carriers, metal–organic frameworks (MOFs) have emerged as promising platforms due to their porous structure, tunable chemistry, and high loading capacity. This review focuses on the potential of MOFs as nanocarriers for curcumin, emphasizing their ability to enhance stability, increase bioavailability, improve therapeutic outcomes, and deliver the drug selectively to tumor sites. Full article
(This article belongs to the Section Inorganic Materials and Metal-Organic Frameworks)
15 pages, 2079 KB  
Article
Superior Oxidase-Mimetic Activity of Co-MOF Nanozyme for Smartphone-Based Visually Colorimetric Assay of Mancozeb
by Shuyue Pang, Lina Chen, Yangyuxin Liu, Xiuting Lu, Hongfei Liu, Yuting Shu, Helong Bai, Jing Wang and Dongfang Shi
Molecules 2025, 30(24), 4758; https://doi.org/10.3390/molecules30244758 - 12 Dec 2025
Viewed by 217
Abstract
Mancozeb (MCZ), a widely used fungicide in agricultural production, has been reported as an environmental endocrine disruptor, posing serious risks to ecosystems and human health. In this work, multivalent Co-MOF nanozymes (MVCM) with excellent oxidase-like activity were synthesized, which can promote the oxidation [...] Read more.
Mancozeb (MCZ), a widely used fungicide in agricultural production, has been reported as an environmental endocrine disruptor, posing serious risks to ecosystems and human health. In this work, multivalent Co-MOF nanozymes (MVCM) with excellent oxidase-like activity were synthesized, which can promote the oxidation of 2,2′-azino-bis-(3-ethylbenzothiazoline-6-sulfonic acid) (ABTS) into a blue oxidative product (ABTS•+), with an obvious absorption peak at 415 nm. With the addition of MCZ, the ABTS•+ was reduced to colorless ABTS through the REDOX reactions between MCZ and ABTS•+. Based on the unique reducing behavior of MCZ, a nanozyme-based colorimetric detection platform was proposed for the detection of MCZ, with a linear range of 3–27 μM and a detection limit (LOD) of 0.15 μM. Furthermore, the sensor was integrated with smartphones and test strips, establishing a portable smartphone-based platform for the real-time, on-site, and visual quantitative detection of MCZ. The detection concentration range was 15–90 μM, with LOD as low as 15 μM. The assay exhibited high adaptability in practical applications. In summary, this work provided a simple, accurate, and low-cost approach for visual determination of MCZ without complicated instruments and procedures. Full article
Show Figures

Figure 1

15 pages, 1819 KB  
Article
Development of a High-Sensitivity Humidity Sensor Using Fiber Bragg Grating Coated with LiCl@UIO-66-Doped Hydrogel
by Binxiaojun Liu, Zelin Gao, Runqi Yao, Liyun Ding and Xusheng Xia
Materials 2025, 18(24), 5587; https://doi.org/10.3390/ma18245587 - 12 Dec 2025
Viewed by 224
Abstract
Humidity monitoring is essential in industrial and scientific scenarios, yet remains challenging for compact EMI (electromagnetic interference)-immune sensors with high sensitivity and robust stability. A novel fiber Bragg grating (FBG) humidity sensor was developed, which incorporated LiCl@UIO-66 microfillers within a poly(N-isopropylacrylamide) (PNIPAM) hydrogel [...] Read more.
Humidity monitoring is essential in industrial and scientific scenarios, yet remains challenging for compact EMI (electromagnetic interference)-immune sensors with high sensitivity and robust stability. A novel fiber Bragg grating (FBG) humidity sensor was developed, which incorporated LiCl@UIO-66 microfillers within a poly(N-isopropylacrylamide) (PNIPAM) hydrogel matrix. Structural characterization using X-ray diffraction (XRD), scanning electron microscopy (SEM), energy-dispersive X-ray spectroscopy (EDS), and Fourier-transform infrared (FTIR) spectroscopy confirms that LiCl is confined or nanodispersed within intact UIO-66, and that interfacial ion–dipole/hydrogen-bonding exists between the composite and water. Systematic variation in coating time (30–720 min) reveals monotonic growth of the total wavelength shift with diminishing returns. A coating time of 4 h was found to yield a wavelength shift of approximately 0.38–0.40 nm, representing about 82% of the maximum shift observed at 12 h, while maintaining good quasi-linearity and favorable kinetics. Calibration demonstrates sensitivities of 6.7 pm/%RH for LiCl@UIO-66_33 and 10.6 pm/%RH for LiCl@UIO-66_51 over ~0–95%RH. Stepwise tests show response times t90 of ≈14 min for both composites, versus ≈30 min for UIO-66 and ≈55 min for neat PNIPAM. Long-term measurements on the 51 wt.% device are stable over the first ~20 days, with only slow drift thereafter, and repeated humidity cycling is reversible. The wavelength decreases monotonically during drying while settling time increases toward low RH. The synergy of hydrogel–MOF–salt underpins high sensitivity, accelerated transport, and practical stability, offering a scalable route to high-performance optical humidity sensing. Full article
(This article belongs to the Special Issue Reinforced Polymer Composites with Natural and Nano Fillers)
Show Figures

Figure 1

19 pages, 6887 KB  
Article
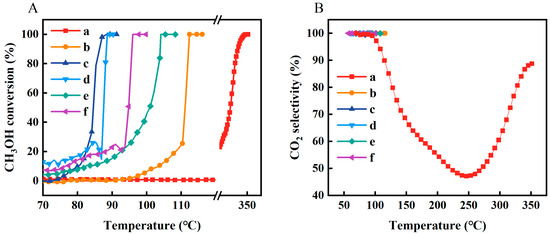
Influence of Ag/CeO2-Supported Catalysts Derived from Ce-MOFs on Low-Temperature Oxidation of Unregulated Methanol Emissions from Methanol Engines
by Zhongqiang Bao, Zhenguo Li, Hao Chen, Peng Zhang, Kaifeng Wang, Ding Luo, Limin Geng and Zhanming Chen
Catalysts 2025, 15(12), 1165; https://doi.org/10.3390/catal15121165 - 12 Dec 2025
Viewed by 368
Abstract
Methanol fuel engines can effectively reduce emissions of carbon monoxide and particulate matter, but they cause a substantial increase in emissions of unregulated pollutants like methanol and formaldehyde. In this study, Ag/CeO2 catalysts were prepared from metal–organic framework (MOF) and silver acetate [...] Read more.
Methanol fuel engines can effectively reduce emissions of carbon monoxide and particulate matter, but they cause a substantial increase in emissions of unregulated pollutants like methanol and formaldehyde. In this study, Ag/CeO2 catalysts were prepared from metal–organic framework (MOF) and silver acetate precursors using different methods and applied to the deep oxidation of methanol. The influence of preparation conditions on the types of active oxygen, surface chemical state, and oxygen vacancies was revealed by changing the calcination conditions and compared with the Ag/CeO2 catalyst prepared by traditional methods. At the same time, the low-temperature reaction pathway of methanol was explored. The results showed that calcination conditions greatly affected the structure of the catalyst. Among them, Ag/CeO2-A500 obtained by calcining Ag/Ce BTC in air at 500 °C had the best catalytic performance for methanol oxidation. The surface chemical state, overall oxygen vacancies, and the proportion of metallic silver may be key factors for its superior catalytic performance. Full article
(This article belongs to the Section Environmental Catalysis)
Show Figures

Graphical abstract

24 pages, 14098 KB  
Article
Enhanced Adsorption–Photocatalytic Degradation of the Congo Red Dye in the Presence of the MOF/Activated Carbon Composite Catalysts
by Marija Egerić, Djordje Petrović, Radojka Vujasin, Yi-nan Wu, Fengting Li, Pierre-Eymeric Janolin, Ljiljana Matović and Aleksandar Devečerski
Water 2025, 17(24), 3515; https://doi.org/10.3390/w17243515 - 12 Dec 2025
Viewed by 422
Abstract
The extensive application of synthetic dyes in various industries and potential accidental uncontrolled discharge into natural water bodies have led to significant environmental challenges and a need for effective treatment. In this study, UiO-66 metal–organic framework/activated carbon (MOF/AC) composites were used to evaluate [...] Read more.
The extensive application of synthetic dyes in various industries and potential accidental uncontrolled discharge into natural water bodies have led to significant environmental challenges and a need for effective treatment. In this study, UiO-66 metal–organic framework/activated carbon (MOF/AC) composites were used to evaluate the photocatalytic degradation of Congo Red dye (CR) in aqueous solution under natural solar irradiation. The degradation efficiency of CR was determined using UV-Vis spectroscopy, while material characterization and additional insight into the reaction mechanism were obtained by XRD, FTIR, and Raman analysis. For a 50 ppm CR solution, within a 2 h reaction time, pure MOF achieved 57.2% and 26.3% degradation under solar irradiation and dark conditions, respectively, while the 75/25 MOF/AC composite reached 74% and 38.3% under the same conditions. These results confirm the synergistic interaction between MOF and AC, where AC acts as an electron sink, preventing charge recombination and enhancing photocatalytic activity. Chemisorption occurred simultaneously with photocatalytic degradation on the MOF surface. Reusability tests showed that pure MOF retained the highest stability over repeated cycles. Overall, the combination of MOF and AC enhances catalytic performance, which represents a sustainable approach for treating dye-contaminated wastewater under natural solar conditions. Full article
Show Figures

Figure 1

Back to TopTop