Next Article in Journal
Application of the Self-Organizing Map (SOM) Algorithm to Identify Hydrochemical Characteristics and Genetic Mechanism of High-Nitrate Groundwater in Baoding Area, North China Plain
Previous Article in Journal
Hydrochemical Characteristics and Nitrate Health Risk Assessment in a Shallow Aquifer: Insights from a Typical Low-Mountainous Region
Previous Article in Special Issue
A Comparative Study of the Adsorption of Industrial Anionic Dyes with Bone Char and Activated Carbon Cloth
 
 
Font Type:
Arial Georgia Verdana
Font Size:
Aa Aa Aa
Line Spacing:
Column Width:
Background:
Article

Enhanced Adsorption–Photocatalytic Degradation of the Congo Red Dye in the Presence of the MOF/Activated Carbon Composite Catalysts

1
Department of Material Science, Vinča Institute of Nuclear Sciences—National Institute of the Republic of Serbia, University of Belgrade, Mike Petrovića Alasa 12-14, Vinča, 11000 Belgrade, Serbia
2
State Key Laboratory of Pollution Control and Resource Reuse, College of Environmental Science and Engineering, Tongji University, Shanghai 200092, China
3
Shanghai Institute of Pollution Control and Ecological Security, Shanghai 200092, China
4
Laboratoire SPMS, CentraleSupélec, Université Paris-Saclay, CNRS, 8-10 rue Joliot Curie, 91190 Gif-sur-Yvette, France
5
Center of Excellence “CEXTREME LAB”, Vinča Institute of Nuclear Sciences—National Institute of the Republic of Serbia, University of Belgrade, Mike Petrovića Alasa 12-14, Vinča, 11000 Belgrade, Serbia
*
Author to whom correspondence should be addressed.
Water 2025, 17(24), 3515; https://doi.org/10.3390/w17243515
Submission received: 31 October 2025 / Revised: 5 December 2025 / Accepted: 10 December 2025 / Published: 12 December 2025

Abstract

The extensive application of synthetic dyes in various industries and potential accidental uncontrolled discharge into natural water bodies have led to significant environmental challenges and a need for effective treatment. In this study, UiO-66 metal–organic framework/activated carbon (MOF/AC) composites were used to evaluate the photocatalytic degradation of Congo Red dye (CR) in aqueous solution under natural solar irradiation. The degradation efficiency of CR was determined using UV-Vis spectroscopy, while material characterization and additional insight into the reaction mechanism were obtained by XRD, FTIR, and Raman analysis. For a 50 ppm CR solution, within a 2 h reaction time, pure MOF achieved 57.2% and 26.3% degradation under solar irradiation and dark conditions, respectively, while the 75/25 MOF/AC composite reached 74% and 38.3% under the same conditions. These results confirm the synergistic interaction between MOF and AC, where AC acts as an electron sink, preventing charge recombination and enhancing photocatalytic activity. Chemisorption occurred simultaneously with photocatalytic degradation on the MOF surface. Reusability tests showed that pure MOF retained the highest stability over repeated cycles. Overall, the combination of MOF and AC enhances catalytic performance, which represents a sustainable approach for treating dye-contaminated wastewater under natural solar conditions.

1. Introduction

Water pollution caused by organic contaminants is one of the major environmental challenges of the modern world. Numerous studies have shown that anthropogenic activities, such as various industries, are primary sources of these pollutants, including pesticides, pharmaceuticals, antibiotics, and dyes [1,2]. These pollutants pose a significant risk to human health and the environment, and their increased concentration can lead to various negative effects, such as endocrine disruption, antibiotic resistance, and toxicity to aquatic life [1,3]. Dyes and pigment-related water pollution have been a well-researched subject with a vast number of research and review papers published in scientific literature over the past decade and beyond [4,5,6].
Particularly, synthetic dyes, used in various industries such as textiles, paper, and plastics, are persistent chemicals that are often discharged into natural water bodies excessively and without proper treatment [6]. The largest group, classified by chemical structure, is azo dyes (70%), which, upon reduction under anaerobic conditions, can produce aromatic amines that are toxic and potentially carcinogenic [3,7]. These dyes are typically toxic, resistant to degradation, and can accumulate in aquatic environments, where they reduce light penetration and affect photosynthesis [1]. Moreover, the presence of azo dyes in drinking water can lead to severe health consequences for humans, including allergic reactions and an increased risk of cancer. Azo dyes can undergo photo-oxidation under UV irradiation, resulting in the formation of less hazardous substances through the complete degradation or partial mineralisation. If the irradiation is sufficient, hydroxyl radicals (•OH) and superoxide radicals (•O2) generated at the interface of the semiconductor and electrolyte contribute to the mineralisation process [8]. In this research, the widely used synthetic azo dye Congo red (CR) was selected as a model pollutant. The structure is presented in Figure 1, and its general properties include toxicity, difficult degradation, the production of toxic by-products, and a negative effect on photosynthesis.
Considering the diversity in dye structures, various methods for their removal from aqueous solutions may be applied. Physical and chemical treatments are the most common methods used for dye degradation and in large-scale water treatment systems, but they often suffer from limitations such as high energy consumption, secondary pollution, or inefficiency in degrading complex dye molecules [1].
The usual treatments for CR-contaminated water, in laboratory-scale models, include adsorption on materials such as activated carbon [9], which can achieve high removal efficiencies (up to 90–100% for 50–100 mg L−1 CR at acidic pH), biosorbents such as modified Foeniculum vulgare seeds [10] or other materials [11]. However, these methods often face challenges related to regeneration and costs. A solution may lie in the application of advanced oxidation processes (e.g., electro-Fenton, photo-Fenton, photocatalysis) that generate reactive •OH radicals, which can degrade CR into less toxic intermediates and subsequently lead to complete mineralisation to H2O and CO2 [12,13].
Photocatalysis has emerged as a solution that enables the degradation of complex organic pollutants, including dyes, into less harmful or fully mineralised by-products using light-activated catalysts [14]. There are several advantages, including being environmentally friendly, highly efficient under ambient conditions, the potential for complete degradation of pollutants, and the reusability of catalysts, which may prevent the formation of secondary pollutants [14]. Despite significant progress in dye degradation using photocatalysis, many conventional materials such as TiO2, ZnO, and BiVO4 often have key limitations, including narrow light absorption ranges, high recombination rates of photoinduced charge carriers, and low efficiencies under natural sunlight [15,16,17]. Moreover, the synthesis methods for some high-performance photocatalysts often involve complex energy-consuming processes that restrict large-scale implementation. In many studies, simulated solar light is used under controlled laboratory conditions, which does not fully reflect the variability and intensity of real sunlight exposure [18,19]. The next step towards sustainability may be the application of natural sunlight instead of artificial light sources, though this approach has limitations due to variable sunlight intensity and dependence on weather conditions. Nonetheless, it remains an interesting option for the development of low-resource wastewater treatment systems. The efficiency of tungsten-doped TiO2 nanoparticles under natural sunlight irradiation was similar to the photodegradation of CR under UV light—after 55 min and 40 min, respectively, the photodegradation was almost complete, using 15 mg of catalyst and 30 ppm dye concentration at neutral pH conditions [20]. Similarly, Cd-sulphide decorated graphene aerogel systems (0.4 g L−1) degraded nearly 100% of 40 ppm CR within 60 min under the natural sunlight [21], while mesoporous BiZnO3/g-C3N4 nanocomposite (0.04 g L−1) achieved the same high efficiency in 20 ppm CR at pH 6, maintaining a high reusability rate over six consecutive cycles [22]. Other materials were also used in the sunlight degradation of multiple dyes in sunlight-driven photocatalysis, achieving efficiencies over 90%—nanocrystalline Zn2SnO4/SnO2, Ag/Ce-doped ZnO, doped SnO2/carbon hybrids and more [23,24,25,26].
Metal–organic frameworks (MOFs) are a class of crystalline materials composed of metal ions/clusters coordinated to organic ligands, which have a large surface area, tuneable porosity, and active sites suitable for catalysis [27,28]. Many types of MOFs exhibit semiconductor-like behaviour and can absorb UV light to generate electron–hole pairs [29]. Certain MOFs, such as UiO-66 (based on Zr clusters), have shown promising photocatalytic activity due to their structural stability and optical properties [27]. However, its relatively wide band gap (~3.60 eV) [30,31] indicates a need for combination with other materials in order to be more efficient, such as in Rhodamine B photodegradation, when 15 mg of UiO-66(Zr) coupled with Bi2MoO6 degraded 30 mL of 10 ppm dye solution [27]. Multiple review papers have been published in recent years that show the effective use of MOFs for the photocatalytic degradation of various dyes, including Congo Red, with reported degradation efficiencies reaching up to 100%, depending on factors such as dye concentration, MOF type, light irradiation, etc. [29,32,33]. For example, mechanosynthesised zinc-based MOFs have demonstrated high photocatalytic efficiency in degrading 100 ppm Congo Red under UV and visible light within 90 min [19]. Notably, synthetised TMU-6 material achieved complete decolourisation, with a COD reduction of 68.4% after 72 h, which has shown its potential for both colour removal and detoxification in textile wastewater treatment [19]. Also, ZIF-8/KI-doped TiO2 composite degraded a 20 ppm CR in 100 mL solution under UV light irradiation, achieving 97% degradation within 40 min using 20 mg of catalyst. The high degradation efficiency (76.42%) was maintained after four reuse cycles in a 30 ppm CR solution [34].
On the other hand, recently, carbonaceous materials, such as activated carbon (AC) and various other materials (carbon dots, carbon nanotubes/nanofibers, graphene, fullerene, and 3D carbon architectures), have been developed, in addition to sorption, as materials for photocatalysis [9,35,36]. ACs have a large surface area, high porosity, and surface functional groups, which, when combined with various photocatalytic materials, may enhance pollutant–catalyst interactions by posing as electron acceptors and making more electrons and holes available for photocatalysis [37]. TiO2/AC composites were obtained by ultrasonic impregnation and applied to the photocatalytic degradation of methylene blue dye. The degradation efficiency of 100 ppm methylene blue reached 99.6% in 100 min, while the high photocatalytic activity was retained over five reuse cycles [37].
Over the years, multiple studies have included AC composites with different materials for dye removal, including ZnO [38], the previously mentioned TiO2 [37,39], and MOFs [40,41]. MOF/AC composites also have the potential for this synergetic approach. Synergistic interaction may enhance both adsorption and degradation efficiency, which is necessary for future upscale applications. To our knowledge, no research regarding photocatalysis of Congo red dye via UiO-66/AC composite (derived from coconut shells) has been conducted to date.
A recent review by Ullah et al. provides an excellent overview of the current state of MOF/AC composites and their applications [40]. Most studies have focused on adsorption, gas storage, and other applications, while only a few have investigated the photocatalytic properties of MOF/AC composites. Among them, only one study examined the application of UiO-66 MOF/AC composite for the adsorptive removal of arsenic from aqueous solutions [42]. Other studies investigated the photocatalytic properties of MOF/AC composites for wastewater remediation, but focused on different types of MOFs instead of UiO-66. Compared to our study, the experimental conditions were completely different, and no one has investigated CR degradation. Mahmoodi et al. [43] applied an MIL-88(Fe)/AC composite for the removal of Reactive Red 198 dye under UV-light irradiation with the assistance of H2O2 and found that the composite exhibited higher removal efficiency than pure MIL-88(Fe) MOF and AC. Govindaraju et al. [44] utilised a Zn-MOF/AC composite for the removal of Methyl Orange and Brilliant Green dyes under UV-light irradiation. The composite demonstrated higher removal efficiencies (86.4% and 77.5%, respectively) than pure Zn-MOF and AC. Liu et al. [45] applied an MIL-125(Ti)/AC composite, made with nitrogen- and sulphur-co-doped activated carbon, to remove the antibiotic Tetracycline Hydrochloride using a Xe lamp as the irradiation source. They concluded that all composites showed higher removal efficiencies compared to pure MIL-125(Ti) MOF, achieving a maximum removal rate of 94.62%.
In this work, UiO-66 and activated carbon derived from coconut shells were combined by simple mixing in a mortar at different ratios. This approach was chosen to minimise structural alterations of the MOF during composite synthesis, such as pore destruction, which may occur during more complex synthesis procedures, like solvothermal or hydrothermal methods and to demonstrate that composites suitable for photocatalytic applications can be obtained with simpler processing techniques. Furthermore, this synthesis route offers advantages in terms of scalability and sustainability, as it avoids the use of high energy input, toxic solvents, or complex equipment, while also valorising waste-derived activated carbon as an additional functional material.
This study aims to evaluate the photocatalytic efficiency and reusability of UiO-66 MOF, activated carbon, and their composites for Congo Red dye removal under natural sunlight.

2. Materials and Methods

2.1. Materials and Composite Synthesis

Activated carbon (AC) was obtained from Trayal Corporation in Kruševac, Serbia. Congo red dye (CR), C32H22N6Na2O6S2, was obtained from Thermo Scientific (Waltham, MA, USA).
UiO-66 xerogel, denoted as MOF, was synthesised at room temperature by mixing terephthalic acid, zirconium oxychloride octahydrate, and methanol, followed by centrifugation of the resulting white suspension. The product was washed with N,N-dimethylformamide and methanol, then dried at room temperature overnight [46]. Prior to the experiments, AC was milled for 1 h in a high-energy ball mill with a ball-to-powder ratio of 3:1. MOF and AC were mixed in a porcelain mortar and carefully transferred to transparent glass reagent vessels. Ratios of MOF and AC used for composite synthesis, as well as denoted samples, are presented in Table 1.

2.2. Photocatalytic Experiments Under Solar Irradiation

Photocatalytic reactions were carried out in transparent glass vessels under natural sunlight. All experiments were done in the shortest possible timeframe (10–20 June), under clear weather conditions with no clouds, at the same time (12:00–14:00 h), to minimise uneven solar irradiation. Illuminance ranged from 120,000 to 160,000 Lux, in a 12:00–14:00 period, with a maximum at 13:00 h in Belgrade, Serbia (44°45′30″ N, 20°35′58″ E). MOF, AC or MOF/AC composite catalysts were mixed with Congo red (CR) dye aqueous solution in 25 mL transparent glass vessels, without further agitation. The solid-to-solution ratio was 1:2000. Prior to solar irradiation, the samples were kept in the dark for several minutes due to transport. As a control, all experiments were also performed in the dark chamber, without any light source. Depending on the experimental design, catalysts were kept in contact with the CR solution for 1, 2 or 4 h.
Initial and final pH were measured with a Hanna HI 2211 pH meter. Final pH prior to UV/Vis measurements was adjusted to approximately pH = 6.8–7, unless otherwise indicated.
Distilled water was used to dissolve CR and prepare various concentrations of aqueous solutions. The concentration of CR was determined by analysing its absorbance values at a specific wavelength (498 nm) using a Thermo Scientific MULTISKAN GO UV/Vis spectrometer. To generate a calibration curve, absorbance measurements were taken from a series of standard solutions with concentrations ranging from 0 to 50 ppm.
After photocatalytic degradation experiments, the samples were centrifuged at 12,000 rpm for 10 min to separate the catalysts, and the concentration of the remaining CR in the obtained clear solutions was then measured by UV/Vis. To assess the potential of MOF, AC and MOF/AC composites for CR degradation, the collected data were used for the calculation of removal efficiency RE (%), as given in Equation (1):
R E % = C i c C f C i 100 ,
where Ci is dye initial concentration (mg L−1) and Cf is dye residual concentration (mg L−1).

2.3. Reusability Experiments

The reusability of the catalysts was evaluated over multiple cycles using two methods. The first method (Method 1), commonly found in the literature, includes the following steps: at the end of each cycle, catalysts are separated from the solution, thoroughly washed with distilled water, dried at 100 °C, and then reused in a fresh CR solution. The second method (Method 2) was developed in this work to improve catalyst regeneration compared to Method 1. After separation from the CR solution, the samples were washed with distilled water, dried at 100 °C, and then left to stand in 10 mL of distilled water for about 15 days under solar irradiation. The indication that catalysts are regenerated was the moment when the sample of the pure MOF became white again, i.e., when all the CR that was adsorbed on the MOF surface probably decomposed. Catalysts regenerated in this way were then reused in a fresh CR solution.

2.4. Kinetic Experiments

Kinetic experiments were performed under controlled irradiation using a simulated solar light source (Osram Vitalux lamp, 300 W (OSRAM GmbH, Munich, Germany); UVB radiated power (280–315 nm): 3.0 W; UVA (315–400 nm): 13.6 W; remaining output in the visible and IR range). The measured illuminance was 35,000 Lux. Samples were continuously cooled so that the reaction solutions remained at 25 °C throughout the measurements. Before illumination, the catalyst (50/50 MOF/AC composite) was added in a 25 ppm CR solution and then kept in the dark for 30 min to reach adsorption–desorption equilibrium. The amount of dye adsorbed in this step was quantified spectrophotometrically and expressed as adsorbed mass per gram of catalyst (q, mg g−1), calculated using
q e = C 0 C t V m
where C0 is the initial dye concentration (mg L−1), Ct is the concentration after the dark adsorption period (mg L−1), V is the solution volume (L), and m is the catalyst mass (g).
Immediately after the 30-min dark step, illumination was initiated, and aliquots were collected at defined time intervals (5, 30, 60, 120 and 240 min) for UV–Vis analysis. The post-adsorption concentration (Ct) was used as C0 in kinetic modelling. Pseudo-first-order (Equation (3)) and pseudo-second-order (Equation (4)) kinetic models were evaluated based on the corresponding linearised forms:
l n C 0 C t = k 1 t
t C t = 1 k 2 C 0 2 + t C 0
where k1 and k2 are the apparent rate constants for the respective models.

2.5. Characterization of MOF, AC and Synthesised Composites

The microstructure of the MOF, AC and composites was analysed by X-ray diffraction (XRD) method—Rigaku Ultima IV diffractometer (Rigaku, Tokyo, Japan), with Cu Kα radiation (λ = 1, 4178 Å). The diffractograms were collected in the 2θ range from 5° to 90° with a scanning step size of 0.02 and at a scan rate of 5° min−1.
Infrared spectra were obtained by a Fourier transform infrared spectrophotometer (FTIR)—Spectrum Two Spectrometer (PerkinElmer Inc., Waltham, MA, USA) in the range 4000–450 cm−1, with a resolution of 4 cm−1. The diffuse reflectance infrared Fourier transform (DRIFT) method was used for the spectra recording.
Raman spectra were obtained using a Labram Soleil Raman instrument (Horiba scientific, Kyoto, Japan), with the laser excitation wavelength of 532 nm.

3. Results and Discussion

To gain deeper insight into the factors governing photocatalytic and sorption efficiencies, the structural, photocatalytic, and sorptive characteristics of the synthesised composites were systematically examined.

3.1. Photocatalytic Degradation of CR Under Solar Irradiation

3.1.1. Degradation of 10 ppm CR Aqueous Solution

The initial experiments for obtaining degradation/removal efficiency (RE) were conducted using 10 ppm CR aqueous solutions, and the results are presented in Figure 2a and Table A1. Additionally, the spectra of the initial 10 ppm CR solution, distilled water, and the solution remaining after the complete removal of CR with the 50/50 composite are shown in Figure 2b.
The results indicate that after 2 h of sun exposure, all catalysts were either completely efficient in removing CR from the aqueous solution or reached very high removal efficiencies. After just 1 h of solar irradiation, the 75/25 and 50/50 samples achieved 100% RE, while MOF and 25/75 samples also reached very high RE values (92.7% and 92.5%). The 75/25 and 50/50 samples achieved nearly 100% RE (99.7% and 98.1%) after 2 h in the dark, and very high RE (94.8% and 93.5%) after just 1 h in the dark.
Furthermore, there are more noteworthy observations, such as:
  • All examined materials were active in the dark conditions, but their activity is much higher when exposed to solar irradiation, which indicates the existence of a strong photo-effect;
  • The 75/25 and 50/50 samples possess the highest activities in both dark and sunny conditions, proving that a strong synergetic effect between MOF and AC exists and that it is dependent on the MOF/AC ratio;
  • A strong photo-effect exists even in the case of the pure AC, suggesting that AC is removing CR from the solution not only by adsorption, but also by photocatalysis.
The observed beneficial synergetic effect between the MOF and AC on the removal of the CR dye from aqueous solutions is most probably due to the possibility that AC serves as an “e-sink” for electrons released during the photocatalysis process, thus preventing the recombination of the photogenerated charge carriers and increasing the efficiency of the overall process [47,48]. Although activated carbon (AC) does not possess an ordered crystalline structure like graphite or graphene, its turbostratic structure still possesses ordered “graphite-like” micro-domains, which can serve as “wells” for electron withdrawal [47,48,49].
The reusability of all five catalysts in a 10 ppm CR aqueous solution was examined by Method 1, and the results, as well as CR concentration reduction after exposure to solar irradiation for 2 h, are shown in Figure 3.
When removing CR from a 10 ppm solution, pure MOF loses the least activity during cycling, while samples containing AC lose activity more significantly. With cycling, removal efficiency decreases as the AC content increases, most likely due to the saturation of the AC surface with adsorbed dye, since AC completely loses its activity after the second cycle. Although the samples were well washed with water between the cycles, a small quantity of adsorbed CR dye remained visible on the pure MOF sample. After several days of sun exposure, the surface of the MOF sample from the third cycle turned white again, indicating that all the adsorbed colour may have been decomposed.
Since the removal efficiencies for 10 ppm CR solutions were high, it was difficult to determine the most effective catalyst. Therefore, we conducted an additional set of experiments using a higher CR concentration (50 ppm) in aqueous solution, and the results are discussed below.

3.1.2. Degradation of 50 ppm CR Aqueous Solution

Effect of Solution pH on the Determination of Congo Red Concentration
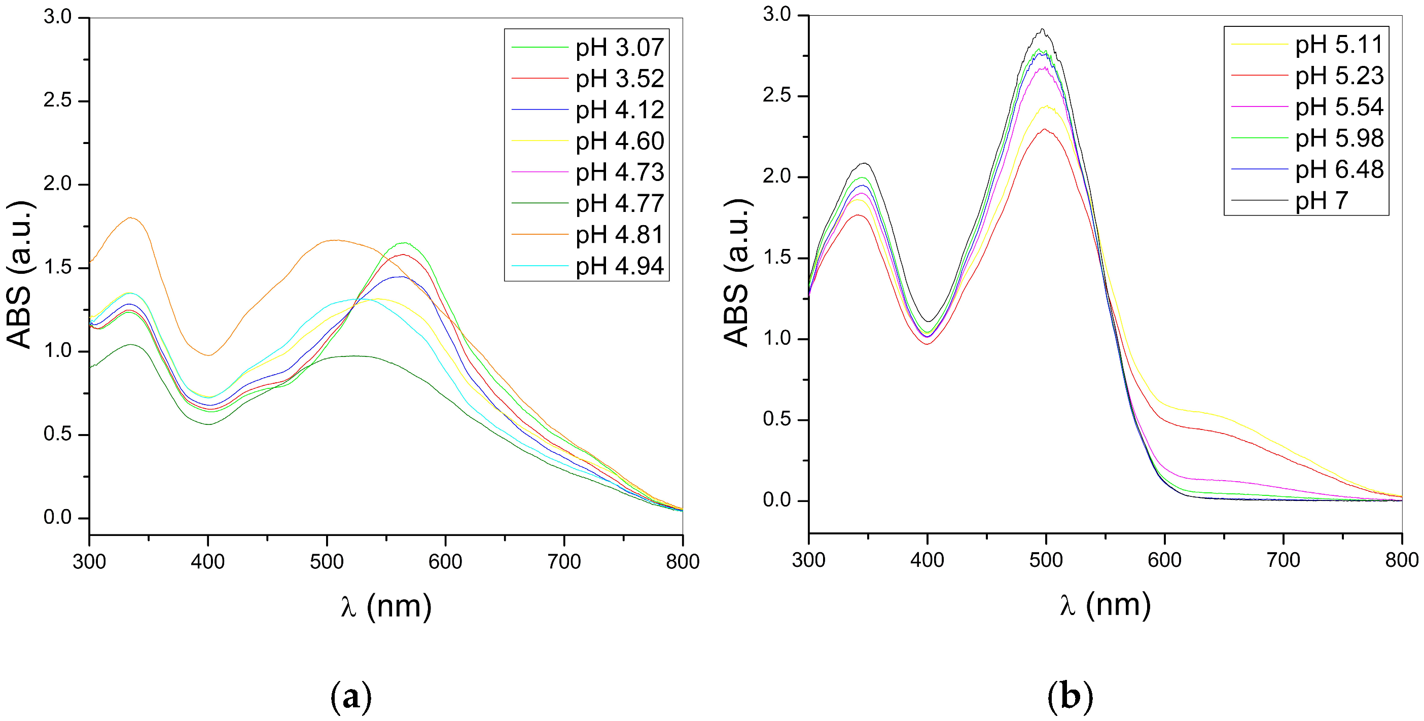
During initial experiments with a 50 ppm CR solution, it was observed that MOF and AC affect the pH of the CR solution and thus the appearance of the CR spectrum (Figure 4, Table 2).
Namely, the influence of pH on the position and, above all, on the intensity (ABS) of the 498 nm peak, which is used to determine the amount of CR present in the solution, is shown in Figure 5 and Figure 6 and in Table A2.
In principle, as the pH value decreases, the intensity (ABS) of the 498 nm peak decreases, and the peak itself shifts to the right (i.e., to a higher wavelength). However, there is no linear dependence between the intensity/position of the peak and the pH value, especially in the pH range where CR changes its colour from red to blue (pH = 4.5–5), and where even minor variations in the pH value cause significant differences in the position of the peak and its intensity. Even in the area where the pH is greater than 5, i.e., where the position of the peak is “correct” and does not change significantly, the pH still greatly affects the intensity (ABS) of the 498 nm peak.
A similar phenomenon was observed by Nadjia et al. [50], who examined the influence of pH on the appearance of the UV/Vis spectra of the 20 ppm CR aqueous solution in a wide range of pH values (pH = 2–12). Purkait et al. [9] described in detail the change in colour and structure of CR with varying pH levels, and how it affects the adsorption, i.e., removal efficiencies, of CR on activated carbon in aqueous solutions. The acidic pH of the UiO-66 suspensions in water was explained by Buzek et al. [51]. They observed the monocarboxylic acids in the solution (mainly acetic acid with some traces of formic acid), which lowered the pH value up to 3.8. After repeated washing of the UiO-66 for 5 times, the solution pH increased to 5.2.
The use of buffers in our CR solution was not considered as an option for two main reasons: (1) The introduction of additional chemical species, of which the buffers consist, was avoided to prevent the introduction of unknown factors into the system which is being examined; and (2) None of the commonly used buffers is chemically inert toward UiO-66, and leads to its, at least, partial decomposition [52].
In accordance with everything stated above, the pH of all solutions after catalyst separation was subsequently adjusted to pH 7, allowing the accurate measurement of the remaining CR by UV/Vis spectrophotometry.
Removal Efficiency of the Catalysts in 50 ppm CR Solutions
The activity of the catalysts was assessed after 2 h of contact with a 50 ppm CR solution, under solar irradiation. To further demonstrate the existence of the photocatalytic effect, an additional set of samples was kept in the dark for 2 h.
The removal efficiencies of all catalysts are presented in Figure 7 and in Table A3. The decomposition of the pure CR 50 ppm solutions under dark and solar irradiated conditions is practically negligible (1% and 2%, respectively). Similarly to the results previously observed with 10 ppm CR solutions, all catalysts enhanced the decomposition/removal of the CR, with much higher RE values under the solar irradiation.
The removal efficiency that originates from the photocatalytic effect (i.e., from the influence of the solar irradiation) is obtained using the following equation:
REphoto = REsun − REdark,
where REphoto represents photocatalytic effect induced removal efficiency, REsun is the removal efficiency after solar irradiation, and REdark is the removal efficiency in the dark. The results are shown in Figure 7 and Table A3.
REphoto was not calculated for the 10 ppm solution because both REsun and REdark had identical or very similar values (Table A1).
The activity of the catalysts (i.e., RE) decreases in the same order in both solar irradiation (REsun) and dark (REdark) conditions: 75/25 > MOF > 50/50 > 25/75 > AC.
All MOF-containing samples (100%, 75%, 50% and 25% of MOF) showed higher activities than pure AC. The 75/25 sample has shown the highest removal efficiencies in both solar irradiation (74%) and dark (38.3%) conditions, which greatly exceeded the activities of individual components, thus indicating the existence of a synergetic effect due to the MOF-AC interaction. Clear evidence of a strong photocatalytic effect is that all samples have shown significantly higher activity under solar irradiation than in the dark, which can be quantified using the REphoto values. The strength of the REphoto decreases in a similar order to REdark and REsun: 75/25 > MOF, 50/50 > 25/75, AC.
Overall, the results under dark conditions clearly indicate that a synergistic effect between MOF and AC exists, even without solar irradiation, with the 75/25 catalyst being the most active. Introducing solar irradiation enhances the activity of all catalysts, especially the 75/25 sample, as seen from REsun and REphoto values.
As already stated in the discussion of 10 ppm CR results, one of the possible explanations for the synergetic effect in MOF/AC composites is that AC can act as an “e-sink” for electrons. The fact that a synergetic effect exists even in the dark conditions, where there are no photo-generated carriers/electrons, implies that a type of redox reaction is occurring. This reaction involves the transfer of electrons between chemical species and is enhanced by solar irradiation.
Additionally, under both solar irradiation and dark conditions, the MOF and 50/50 samples exhibited nearly identical activities, i.e., MOF has shown slightly better RE values than the 50/50 sample. Furthermore, as the AC content increases, the removal efficiency of the catalysts decreases in the following order: 75/25 > MOF> 50/50 > 25/75 > AC.
To further clarify the observations mentioned above, reusability tests are also conducted for 50 ppm CR solutions.
Photocatalyst Reusability/Regeneration
The reusability of the photocatalysts was examined in 50 ppm CR solutions by both Method 1 and Method 2 procedures. The experiments were carried out over four consecutive days, exposing the samples to the sun for two hours in clear weather, at the same time, to minimise the influence of uneven solar irradiation. The results obtained by Method 1 are shown in Figure 8 and Table A4.
Similarly to the experiments with a 10 ppm CR solution, a certain amount of CR remains adsorbed on the MOF surface after each cycle, despite washing between cycle s. However, the results for reusability of the catalysts in a 50 ppm CR solution are somewhat different from those obtained for a 10 ppm CR solution, as described further in the text.
The results for dark conditions and the first cycle of solar irradiation are discussed in the chapter above.
In the second cycle of solar irradiation, the activity of the catalysts decreases as: MOF > 75/25 > 50/50 > AC > 25/75. Except for the pure MOF, all other samples have significantly lower activities. Considering that the pure MOF lost very little of its activity, the drastic drop in the activity of the rest of the samples, which all contain AC, can be attributed to the saturation of AC, which loses its photoactivity, adsorption capacity and, most likely, its “e-sink” capability as well. Proof that AC is losing its “e-sink” ability is reflected in the fact that after the second cycle, the 75/25 sample had drastically lower activity than pure MOF. Additionally, the pure AC in this cycle showed a higher activity than the 25/75, indicating that MOF has a decreasing effect on the activity of already saturated AC.
In the third cycle, the activity of the catalysts decreases in the following order: MOF > AC > 75/25 > 25/75 > 50/50. The MOF, 75/25, and 50/50 samples have drastically lower activity than in the second cycle, suggesting that MOF is also experiencing saturation. 25/75 and AC samples have almost the same activities as in the second cycle, indicating that they are completely saturated, i.e., that their activity has reached a minimum.
The pure AC exhibited low activity, still higher than for 75/25, 50/50 and 25/75 samples, which contain both MOF and AC, indicating that a kind of (photo)catalytic activity still exists in pure AC.
Both MOF and AC have a mutual negative effect on the overall colour removal process, i.e., there is an inverse synergetic effect, indicating that the nature of the MOF/AC is far more complex than it first appeared.
To improve the reusability of the catalysts, an alternative approach was applied. The results of the reusability test performed using Method 2 are presented in Figure 9 and Table A5.
Due to the expected low removal efficiency, the solar irradiation time was prolonged to 4 h. Since the regeneration process requires approximately 15 days per cycle under solar irradiation, the regenerated samples were prepared in advance and subsequently irradiated under identical conditions at the same time of the same day. Due to lower catalytic activity compared to the pure MOF, as well as the 75/25 and 50/50 samples, the composite 25/75 was excluded from this set of experiments.
In the first solar irradiation cycle, activity decreased in the following order: 75/25 > 50/50 > MOF, AC. The 75/25 and 50/50 composites showed very high and nearly identical removal efficiencies (95.3% and 93.7%, respectively), confirming a strong synergistic effect between MOF and AC, as their REs were much higher than those of the pure components.
In the second cycle, the activity followed the order: MOF > 75/25 > 50/50 > AC. As the MOF content decreased, so did the activity, with a sharp drop observed for pure AC (from 77% to 21%), likely due to saturation. All samples showed reduced performance except the pure MOF, which displayed slightly higher activity than in the first cycle (85%).
In the third cycle, activity again decreased in the order: MOF > 75/25 > 50/50 > AC. Lower activities of 75/25 (38.1%), 50/50 (33.8%), and AC (8.0%) confirmed the saturation of AC, while the pure MOF retained relatively high removal efficiency (71.7%) despite a moderate decline.
Overall, the regeneration procedure used in Method 2 proved more effective than the one used in Method 1. Unlike Method 1, in Method 2, the 75/25 and 50/50 composites maintained high activity in the second cycle, while the pure MOF remained active even in the third.
To clarify the unexpected increase in RE for the pure MOF in the second cycle, considering that UiO-66 lowered the pH of CR solutions, an additional set of experiments was conducted. The MOF was repeatedly washed with distilled water in several cycles until the final solution pH was 6.3, dried at 100 °C, and used to prepare new 75/25 and 50/50 composites. The results for washed (W) and non-washed (NW) samples are shown in Figure 10 and Table A6.
The order of activity was as follows: 75/25 (NW) > 50/50 (NW) > MOF (W) > 75/25 (W) > 50/50 (W) > MOF (NW). The washed MOF had higher activity (89.0%) than the non-washed (79.4%), confirming that neutral pH is favourable for CR degradation by the MOF. However, the non-washed 75/25 and 50/50 composites exhibited higher activity than washed samples, indicating that acidic pH enhances CR removal using MOF/AC composites, likely due to improved CR adsorption on AC [9]. Overall, while pH slightly affects the removal efficiency, it does not influence the relative activity order of the catalysts. Therefore, neutral pH is preferred for pure MOF, whereas acidic pH is more favourable for MOF/AC composites.
Since there are no studies in the literature that are at least approximately similar to ours, as explained in the Introduction, the only comparison possible with the literature data is that in both our and other studies [43,44,45], it was observed that MOF/AC composites demonstrate a higher activity than pure MOF and AC. This finding confirms the presence of a beneficial synergistic effect between MOF and AC in the composite, regardless of the synthesis method used. Explanations of the observed synergistic effects in the literature are similar to ours, i.e., AC serves as an “e-sink” for electrons, thereby hindering the recombination of electrons and holes and contributing to a higher catalytic activity of the composite.

3.2. Kinetic Experiments Under Simulated Solar Irradiation

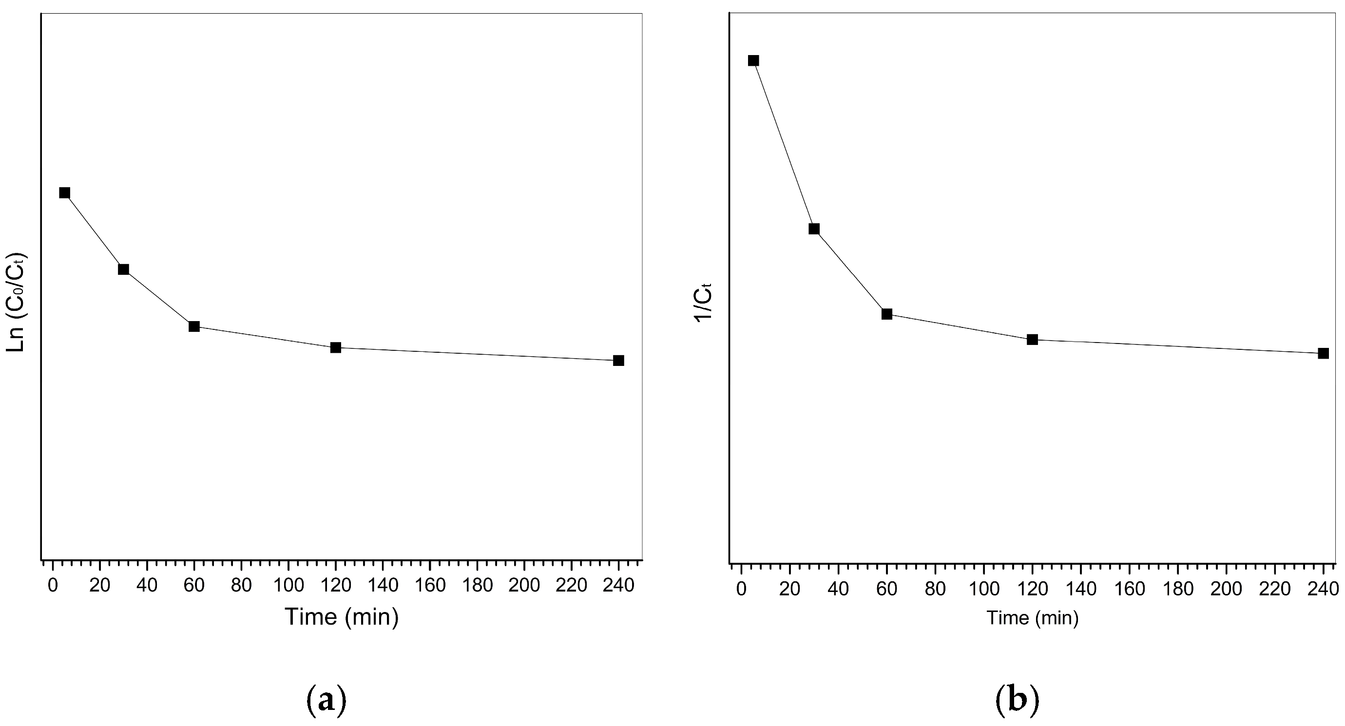
To separate the photocatalytic process from the adsorption process, the 50/50 sample was kept in a CR 25 ppm solution for 30 min in the dark. During that period, the adsorption of the dye onto the catalyst was observed, corresponding to approximately 32 mg of dye per g of catalyst. So, at the onset of the experiment, immediately before illumination, a substantial fraction of the dye (17 ppm, i.e., 68%) was removed from solution via adsorption (Figure 11). This leads to a significantly reduced available concentration in solution (8 ppm) at the start of the photoreaction. Although adsorption of the dye onto the catalyst surface is a prerequisite for the photocatalytic reaction, at high surface coverage, it can affect the overall reaction kinetics.
As shown in Figure 11, RE increases rapidly during the first 60 min of the photoreaction, and after that, the reaction enters a saturation regime in which RE increases very slowly with time.
Kinetic analysis of the photodegradation stage, using the concentration remaining after a 30-min dark adsorption step (8 ppm) as C0, revealed two kinetic regimes when plotting both the pseudo-first-order (ln(C0/Ct) vs. t) and the pseudo-second-order (1/Ct vs. t) representation. An initial fast decay was followed by a slower, nearly linear/horizontal regime (Figure 12a,b). This behaviour suggests that the early reaction is governed by the photocatalytic oxidation of dye molecules already adsorbed and occupying the most reactive and accessible sites. In contrast, the slower late-stage kinetics indicate increased surface coverage and active-site saturation, together with depletion of the CR dye solution.
Linear fits of the initial, fast decay time regimes (5–60 min) for both pseudo-first and pseudo-second order of the reaction are shown in Figure 13a,b.
Although both models give reasonably linear fits, observed R2 (coefficient of determination) values suggests that the pseudo-first-order model is a better choice to describe the photocatalytic reaction, which is also in accordance with a literature [50,53,54] for photodegradation of CR in a low concentration aqueous solutions (10–25 ppm).

3.3. Microstructural Characterization of MOF, AC and Synthesised Composites

The sample denoted as 50/50, due to the similar photocatalytic performance but lower price than that of the 75/25 sample, was taken as the representative material for microstructural characterization.

3.3.1. XRD

XRD patterns of our as-synthesised MOF and AC are shown in Figure 14a. Reflections of pure MOF are characteristic of UiO-66 [55,56,57]. Representative composite 50/50 was also presented in Figure 14a. Denoted MOF UiO-66 reflections appear in XRD patterns of the 50/50 composite, together with the amorphous background of the AC. Since all composites were prepared under mild conditions, by physically mixing the starting powders in a porcelain mortar, no additional reflections appeared in their XRD patterns. These results indicate the absence of a chemical reaction between the MOF and AC, as the MOF structure remained intact and without the formation of new crystalline phases.
XRD patterns of the 50/50 MOF/AC composite before and after 2 h in a CR aqueous solution (Figure 14b,c) show that the structure of the MOF also remained unaltered and that MOF is stable in the given experimental conditions. However, UiO-66 MOF undergoes a partial amorphization (Figure 14b,c) after being in contact with distilled water for a longer period of time (≈30 days), i.e., while undergoing the regeneration process twice (as described in Method 2), but still retained most of its photocatalytic ability, as can be seen from Figure 9 (Cycle III).

3.3.2. FTIR

The FTIR spectra were firstly recorded for the pure MOF and for the MOF samples that had adsorbed CR after contact with the CR aqueous solution for 2 h under dark or solar irradiation conditions in order to elucidate the exact mechanism of CR-MOF interaction within the composite. The detailed FTIR results and band assignments for MOF are presented in Table 3.
The FTIR spectra of the pure MOF, pure CR and MOF with adsorbed CR are shown in Figure 15. The FTIR spectrum of the pure MOF exhibits the characteristic bands reported in the literature. The MOF samples after the reaction with CR in 10 ppm aqueous solutions for 2 h (in both dark and solar irradiated conditions) were thoroughly washed with H2O, and the CR that remained visibly adsorbed on the previously white surface of the MOF. This indicated that complete degradation of CR had not occurred. The samples were used again in a new photocatalytic cycle.
The CR bands that appear in the 1300–1650 cm−1 region overlap with strong MOF bands, so they cannot be observed in the spectra of the MOF + CR samples, since these samples contain a small amount of (adsorbed) CR dye [62,63,64]. Changes in FTIR spectra of MOF + CR samples upon MOF interaction with CR solutions were noticed in two regions: in the region from around 1050 cm−1 and in the low frequency region from 520 cm−1 to 400 cm−1.
Namely, the band at 1066 cm−1, which can be attributed to S=O symmetrical vibration in CR [62,63,64,65], is shifted in MOF + CR samples to 1045 cm−1 and appears as a new band. A similar shift (1044 cm−1) was observed by Kim and Choi [65] for CR adsorbed on Fe nanoparticles. Additionally, Sahar et al. reported a band at 1045 cm−1, attributed to the S=O stretching vibration after CR adsorption onto the graphene oxide surface [66]. Thus, the appearance of the 1045 cm−1 band in the MOF samples after sorption of CR may indicate a CR bonding place to the MOF surface. So, S=O stretching vibration assigned to the sulfonate groups from the dye confirmed its bonding to the UiO-66 framework. Concurrent shifts and intensity variations in MOF + CR in the low-frequency region (520–400 cm−1), corresponding to the Zr–O vibrations of the metal–oxo clusters, indicate that the dye perturbs the local coordination environment around the Zr nodes [30,55]. These correlated spectral changes suggest a coordination-type interaction, in which the oxygen atoms of the S=O groups act as electron donors toward the Lewis-acidic Zr centres. The resulting perturbation of the Zr–O bonds evidenced a chemisorptive binding mechanism rather than simple physisorption.
A similar spectral behaviour is observed for the MOF/AC 50/50 composite, implying that the presence of activated carbon does not alter the fundamental adsorption mechanism. In both materials, the interaction proceeds through donation of electron density from the dye’s S=O groups to the Zr–O clusters, confirming that coordination between the dye and the inorganic nodes governs the adsorption and consequently photocatalytic process.
Such coordination not only confirms the adsorption mechanism but also precedes and contributes to the photocatalytic degradation process, facilitating electron transfer at the Zr–O clusters.

3.3.3. Raman

Raman spectra of our as-synthesised MOF and 50/50 composite are shown in Figure 16. All bands observed in the Raman spectrum are characteristic of UiO-66 [61,67].
Minor discrepancies in band positions between this work and literature data are due to differences in excitation wavelengths, instrumentation, etc. [67]. Raman spectrum of 50/50 composite reveals only bands that originate from activated carbon, characterized by two broad bands: the D band (~1350 cm−1), associated with disordered carbon structures, and the G band (~1580 cm−1), corresponding to graphitic sp2 C=C vibrations, even with the relatively high content of MOF particles within the composite [68]. This occurred due to strong absorbance of activated carbon and embedment of MOF particles within the carbon phase, so the Raman laser primarily interacts with the carbon surface preventing detection of the MOF spectral features [68]. As a result, Raman spectroscopy cannot be effectively used to assess the structure of the MOF in this composite, since the intense and broad carbon bands completely obscure the characteristic vibrational modes of the framework.

3.4. Mechanism of the Photocatalytic Removal of CR from the Aqueous Solution in the Presence of MOF, AC and MOF/AC Composites

The system investigated in this paper consists of two catalysts (UiO-66 MOF and AC) and a dye (CR), which is present both in solution and adsorbed on the surface of the catalysts. Consequently, both catalysed photoreactions and sensitized photoreactions, as illustrated by Mohamed et al. 2012 [69], take place simultaneously. Although both MOF and AC have wide band gaps, namely 3.84 eV [31] and ≈3.6 eV [36,70], they act as photocatalysts under natural solar light as an irradiation source, which contains UVA radiation (315–400 nm), whose energy (3.1–3.94 eV) is high enough to excite an electron (e) from the valence band (VB) into the conduction band (CB), leaving a hole (h+) in the VB [69]. At the surface of the catalyst, photogenerated species (e and h+) can react in the following ways, producing highly reactive radical species [69,71,72]:
  • Electrons can react with O2 (adsorbed on the surface or dissolved in the solution) and produce a superoxide radical
e + O2 → •O2,
  • Holes can react with H2O and produce a hydroxyl radical:
h+ + H2O → •OH + H+,
Thus, the formed radicals can then react with a CR molecule, breaking it into the smaller fragments through several steps, until degradation to the final products [8,14,73,74]:
•O2 + •OH + CR → CO2 + H2O + NH4+ + NO3,
Since CR is also present as an adsorbed species on the surfaces of the MOF and AC, and since it absorbs in the visible part of the solar spectrum, photosensitised reaction also occurs [69]:
CR + hʋ → CR* + e,
CR absorbs a photon (hʋ) and the excited electron moves from the highest occupied molecular orbital into the lowest unoccupied molecular orbital, from where it is transferred into the catalyst’s CB, and then superoxide radical can be formed, as shown in Equation (6).

4. Conclusions

In summary, all components in the system (MOF, AC, and CR) can absorb the light to generate reactive radicals, which react with the CR dye molecules, decomposing them into less harmful and non-harmful products. FTIR analysis of a representative 50/50 composite revealed that Congo Red interacts with the Zr–O nodes of the UiO-66 and UiO-66/AC frameworks via its S=O groups. The electron density from the S=O bonds is partially transferred toward the zirconium oxide cluster node, perturbing the Zr–O vibrations and confirming a coordination-type (chemisorptive) interaction that contributes to the removal of CR from aqueous solutions.
In MOF/AC composites, such as the 75/25 sample, which showed the highest catalytic activity, up to 74% after 2 h of solar irradiation and 95% after 4 h, the AC also serves as an “e-sink” for electrons, preventing the recombination of the electron–hole pairs at the surface of the MOF catalyst, which consequently leads to an increase in the efficiency of the entire photocatalytic process.
However, the surface of the AC became saturated with adsorbed dye, while the pure MOF maintained superior stability and reusability, preserving more than 70% of its initial efficiency after three cycles. These findings highlight the importance of the MOF–AC interaction in improving photocatalytic degradation performance under natural solar irradiation and confirm that even simple composite preparation can yield effective and sustainable materials for dye-contaminated wastewater treatment.

Author Contributions

Conceptualization, D.P., L.M. and A.D.; methodology, M.E., L.M. and A.D.; validation, D.P., R.V. and A.D.; formal analysis, M.E., D.P., R.V., Y.-N.W., F.-T.L. and P.-E.J.; investigation, M.E., D.P., R.V., F.-T.L., P.-E.J., LM. and A.D.; writing—original draft preparation, M.E. and A.D.; writing—review and editing, M.E., Y.-N.W., P.-E.J., L.M. and A.D.; supervision, F.-T.L., L.M. and A.D. All authors have read and agreed to the published version of the manuscript.

Funding

This research was funded by The Ministry of Science, Technological Development and Innovation of the Republic of Serbia under registration number: 451-03-136/2025-03/200017.

Data Availability Statement

The original contributions presented in this study are included in the article. Further inquiries can be directed to the corresponding author.

Acknowledgments

The authors would like to thank Pascale Gemeiner (Université Paris-Saclay, CNRS, CentraleSupélec, Laboratoire SPMS, 91190 Gif-sur-Yvette, France) for conducting the Raman spectroscopy measurements.

Conflicts of Interest

The authors declare no conflicts of interest.

Abbreviations

The following abbreviations are used in this manuscript:
CRCongo red dye
MOFMetal–organic framework
ACActivated carbon
RERemoval efficiency
WWashed samples
NWNon-washed samples
VBValence band
CBConduction band

Appendix A

Table A1. Removal efficiencies for 10 ppm CR solution after 1 and 2 h of sun irradiation and in the dark.
Table A1. Removal efficiencies for 10 ppm CR solution after 1 and 2 h of sun irradiation and in the dark.
SampleDark 1 h RE (%)Sun 1 h RE (%)Dark 2 h RE (%)Sun 2 h RE (%)
MOF79.792.787.697.9
75/2594.810099.7100
50/5093.510098.1100
25/7559.692.577.7100
AC37.957.759.985.2
CR 10 ppm///1.5
Table A2. Influence of pH on the 498 nm peak position and intensity (from Figure 5 and Figure 6).
Table A2. Influence of pH on the 498 nm peak position and intensity (from Figure 5 and Figure 6).
pHλ (nm)ABS (a.u.)
3.075641.65
3.525641.58
4.125631.45
4.605441.32
4.735071.48
4.775230.97
4.815081.67
4.945281.32
5.115012.44
5.234992.30
5.544982.67
5.984962.78
6.484962.76
7.04972.92
Table A3. Removal efficiencies for the samples shown in Figure 7.
Table A3. Removal efficiencies for the samples shown in Figure 7.
SampleREdark (%)REsun (%)REphoto (%)
MOF26.357.230.9
75/2538.374.035.7
50/5024.254.230.0
25/7517.242.725.5
AC11.137.726.6
CR1.02.01.0
Table A4. Removal efficiencies for the samples shown in Figure 8.
Table A4. Removal efficiencies for the samples shown in Figure 8.
SampleREdark (%)REsun, I Cycle (%)REsun, II Cycle (%)REsun, III Cycle (%)
MOF26.357.247.426.4
75/2538.374.030.09.6
50/5024.254.214.61.1
25/7517.242.73.63.5
AC11.137.710.512.7
Table A5. Removal efficiencies for the samples shown in Figure 9.
Table A5. Removal efficiencies for the samples shown in Figure 9.
SampleREsun, I Cycle (%)REsun, II Cycle (%)REsun, III Cycle (%)
MOF74.585.071.7
75/2595.376.738.1
50/5093.769.533.8
AC7721.88.0
Table A6. Removal efficiencies for the samples shown in Figure 10.
Table A6. Removal efficiencies for the samples shown in Figure 10.
SampleREwashed (%)REnon-washed (%)
MOF89.079.4
75/2587.593.8
50/5086.189.8

References

  1. Al-Tohamy, R.; Ali, S.S.; Li, F.; Okasha, K.M.; Mahmoud, Y.A.G.; Elsamahy, T.; Jiao, H.; Fu, Y.; Sun, J. A Critical Review on the Treatment of Dye-Containing Wastewater: Ecotoxicological and Health Concerns of Textile Dyes and Possible Remediation Approaches for Environmental Safety. Ecotoxicol. Environ. Saf. 2022, 231, 113160. [Google Scholar] [CrossRef]
  2. Islam, A.; Teo, S.H.; Taufiq-Yap, Y.H.; Ng, C.H.; Vo, D.-V.N.; Ibrahim, M.L.; Hasan, M.M.; Khan, M.A.R.; Nur, A.S.M.; Awual, M.R. Step towards the Sustainable Toxic Dyes Removal and Recycling from Aqueous Solution—A Comprehensive Review. Resour. Conserv. Recycl. 2021, 175, 105849. [Google Scholar] [CrossRef]
  3. Ismail, M.; Akhtar, K.; Khan, M.I.; Kamal, T.; Khan, M.A.; Asiri, A.M.; Seo, J.; Khan, S.B. Pollution, Toxicity and Carcinogenicity of Organic Dyes and Their Catalytic Bio-Remediation. Curr. Pharm. Des. 2019, 25, 3653–3671. [Google Scholar] [CrossRef]
  4. Ashraf, R.S.; Abid, Z.; Shahid, M.; Rehman, Z.U.; Muhammad, G.; Altaf, M.; Raza, M.A. Methods for the Treatment of Wastewaters Containing Dyes and Pigments. In Water Pollution and Remediation: Organic Pollutants; Environmental Chemistry for a Sustainable World; Inamuddin, Ahamed, M.I., Lichtfouse, E., Eds.; Springer: Cham, Switzerland, 2021; pp. 597–661. ISBN 978-3-030-52395-4. [Google Scholar]
  5. Roy, M.; Saha, R. Dyes and Their Removal Technologies from Wastewater: A Critical Review. In Intelligent Environmental Data Monitoring for Pollution Management; Bhattacharyya, S., Mondal, N.K., Platos, J., Snášel, V., Krömer, P., Eds.; Academic Press: Cambridge, MA, USA, 2021; pp. 127–160. ISBN 9780128196717. [Google Scholar]
  6. Singh, K.; Arora, S. Removal of Synthetic Textile Dyes From Wastewaters: A Critical Review on Present Treatment Technologies. Crit. Rev. Environ. Sci. Technol. 2011, 41, 807–878. [Google Scholar] [CrossRef]
  7. Drumond Chequer, F.M.; Junqueira, D.; de Oliveira, D.P. Azo Dyes and Their Metabolites: Does the Discharge of the Azo Dye into Water Bodies Represent Human and Ecological Risks? In Advances in Treating Textile Effluent; Hauser, P., Ed.; InTech: London, UK, 2011; pp. 27–48. [Google Scholar] [CrossRef]
  8. Merrad, S.; Abbas, M.; Brahimi, R.; Trari, M. Study of Congo Red Removal from Aqueous Solution by Using the Deficient Perovskite SrTiO3-δ under Solar Light. J. Mol. Struct. 2022, 1265, 133349. [Google Scholar] [CrossRef]
  9. Purkait, M.K.; Maiti, A.; DasGupta, S.; De, S. Removal of Congo Red Using Activated Carbon and Its Regeneration. J. Hazard. Mater. 2007, 145, 287–295. [Google Scholar] [CrossRef]
  10. AL-Aoh, H.A. Removal of the Pigment Congo Red from Synthetic Wastewater with a Novel and Inexpensive Adsorbent Generated from Powdered Foeniculum Vulgare Seeds. Processes 2023, 11, 446. [Google Scholar] [CrossRef]
  11. Karadayı, M.; Güllüce, E.; Gülşahin, Y.; Çolak, İ.; Karadayı, G.; Aksu, Ş.; Güllüce, M. Molecular Docking Assisted Toxicity Assessment of Congo Red and Detoxification Potential of Fraxinus excelsior L. (Oleaceae) Biosorbent Application. Biomass Convers. Biorefinery 2025, 15, 25253–25272. [Google Scholar] [CrossRef]
  12. Mansour, D.; Alblawi, E.; Alsukaibi, A.K.D.; Al Shammari, B. Removal of Congo Red Dye by Electrochemical Advanced Oxidation Process: Optimization, Degradation Pathways, and Mineralization. Sustain. Water Resour. Manag. 2024, 10, 41. [Google Scholar] [CrossRef]
  13. Rauf, M.A.; Ashraf, S.S. Fundamental Principles and Application of Heterogeneous Photocatalytic Degradation of Dyes in Solution. Chem. Eng. J. 2009, 151, 10–18. [Google Scholar] [CrossRef]
  14. Haleem, A.; Ullah, M.; Rehman, S.u.; Shah, A.; Farooq, M.; Saeed, T.; Ullah, I.; Li, H. In-Depth Photocatalytic Degradation Mechanism of the Extensively Used Dyes Malachite Green, Methylene Blue, Congo Red, and Rhodamine B via Covalent Organic Framework-Based Photocatalysts. Water 2024, 16, 1588. [Google Scholar] [CrossRef]
  15. Malathi, A.; Madhavan, J.; Ashokkumar, M.; Arunachalam, P. A Review on BiVO4 Photocatalyst: Activity Enhancement Methods for Solar Photocatalytic Applications. Appl. Catal. A Gen. 2018, 555, 47–74. [Google Scholar]
  16. Bhapkar, A.R.; Bhame, S. A Review on ZnO and Its Modifications for Photocatalytic Degradation of Prominent Textile Effluents: Synthesis, Mechanisms, and Future Directions. J. Environ. Chem. Eng. 2024, 12, 112553. [Google Scholar] [CrossRef]
  17. Dong, H.; Zeng, G.; Tang, L.; Fan, C.; Zhang, C.; He, X.; He, Y. An Overview on Limitations of TiO2-Based Particles for Photocatalytic Degradation of Organic Pollutants and the Corresponding Countermeasures. Water Res. 2015, 79, 128–146. [Google Scholar] [CrossRef]
  18. Jo, W.-K.; Kumar, S.; Isaacs, M.A.; Lee, A.F.; Karthikeyan, S. Cobalt Promoted TiO2/GO for the Photocatalytic Degradation of Oxytetracycline and Congo Red. Appl. Catal. B Environ. 2017, 201, 159–168. [Google Scholar] [CrossRef]
  19. Masoomi, M.Y.; Bagheri, M.; Morsali, A. High Efficiency of Mechanosynthesized Zn-Based Metal–Organic Frameworks in Photodegradation of Congo Red under UV and Visible Light. RSC Adv. 2016, 6, 13272–13277. [Google Scholar] [CrossRef]
  20. Ullah, I.; Haider, A.; Khalid, N.; Ali, S.; Ahmed, S.; Khan, Y.; Ahmed, N.; Zubair, M. Tuning the Band Gap of TiO2 by Tungsten Doping for Efficient UV and Visible Photodegradation of Congo Red Dye. Spectrochim. Acta Part A Mol. Biomol. Spectrosc. 2018, 204, 150–157. [Google Scholar] [CrossRef] [PubMed]
  21. Kaushik, J.; Himanshi; Kumar, V.; Tripathi, K.M.; Sonkar, S.K. Sunlight-Promoted Photodegradation of Congo Red by Cadmium-Sulfide Decorated Graphene Aerogel. Chemosphere 2022, 287, 132225. [Google Scholar] [CrossRef] [PubMed]
  22. Bhoi, B.; Chandra, V. Highly Efficient Degradation of Toxic Congo Red Dye under Sunshine Using a Mesoporous BiZnO3/g-C3N4 Nanocomposite. ACS Sustain. Resour. Manag. 2025, 2, 744–754. [Google Scholar] [CrossRef]
  23. Nikolic, M.V.; Vasiljevic, Z.Z.; Dimitrijevic, M.; Radmilovic, N.; Vujancevic, J.; Tanovic, M.; Tadic, N.B. Natural Sunlight Driven Photocatalytic Degradation of Methylene Blue and Rhodamine B over Nanocrystalline Zn2SnO4/SnO2. Nanomaterials 2025, 15, 1138. [Google Scholar] [CrossRef]
  24. Fathy, N.; Fathy, S.; Ali, F.; Mousa, S. Effective Sunlight Photodegradation of Methylene Blue Dye Using Zinc Oxide Doped with Mono- and Bi-Metals of Ag and Ce. Desalin. Water Treat. 2024, 320, 100595. [Google Scholar] [CrossRef]
  25. Bano, K.; Mittal, S.K.; Singh, P.P.; Kaushal, S. Sunlight Driven Photocatalytic Degradation of Organic Pollutants Using a MnV2O6/BiVO4 Heterojunction: Mechanistic Perception and Degradation Pathways. Nanoscale Adv. 2021, 3, 6446–6458. [Google Scholar] [CrossRef]
  26. Kaur, M.; Prasher, D.; Sharma, A.; Ghosh, D.; Sharma, R. Natural Sunlight Driven Photocatalytic Dye Degradation by Biogenically Synthesized Tin Oxide (SnO2) Nanostructures Using Tinospora Crispa Stem Extract and Its Anticancer and Antibacterial Applications. Environ. Sci. Pollut. Res. 2023, 30, 38869–38885. [Google Scholar] [CrossRef]
  27. Ding, J.; Yang, Z.; He, C.; Tong, X.; Li, Y.; Niu, X.; Zhang, H. UiO-66(Zr) Coupled with Bi2MoO6 as Photocatalyst for Visible-Light Promoted Dye Degradation. J. Colloid Interface Sci. 2017, 497, 126–133. [Google Scholar] [CrossRef]
  28. Dhakshinamoorthy, A.; Li, Z.; Garcia, H. Catalysis and Photocatalysis by Metal Organic Frameworks. Chem. Soc. Rev. 2018, 47, 8134–8172. [Google Scholar] [CrossRef] [PubMed]
  29. Deng, X.; Li, Z.; García, H. Visible Light Induced Organic Transformations Using Metal-Organic-Frameworks (MOFs). Chem. Eur. J. 2017, 23, 11189–11209. [Google Scholar] [CrossRef] [PubMed]
  30. Wang, Y.L.; Zhang, S.; Zhao, Y.F.; Bedia, J.; Rodriguez, J.J.; Belver, C. UiO-66-Based Metal Organic Frameworks for the Photodegradation of Acetaminophen under Simulated Solar Irradiation. J. Environ. Chem. Eng. 2021, 9, 106087. [Google Scholar] [CrossRef]
  31. Zhang, Y.; Zhou, J.; Feng, Q.; Chen, X.; Hu, Z. Visible Light Photocatalytic Degradation of MB Using UiO-66/g-C3N4 Heterojunction Nanocatalyst. Chemosphere 2018, 212, 523–532. [Google Scholar] [CrossRef]
  32. Khan, M.S.; Li, Y.; Li, D.-S.; Qiu, J.; Xu, X.; Yang, H.Y. A Review of Metal–Organic Framework (MOF) Materials as an Effective Photocatalyst for Degradation of Organic Pollutants. Nanoscale Adv. 2023, 5, 6318–6348. [Google Scholar] [CrossRef]
  33. Mahmoudi, F.; Bachas, L.G. Application of Metal–Organic Framework-Based Composite Materials for Photodegradation of Dye Pollutants in Wastewater. Water 2024, 16, 3051. [Google Scholar] [CrossRef]
  34. Liu, Z.; Zhang, W.; Zhao, X.; Sheng, X.; Hu, Z.; Wang, Q.; Chen, Z.; Wang, S.; Zhang, X.; Wang, X. Efficient Adsorption-Assisted Photocatalysis Degradation of Congo Red through Loading ZIF-8 on KI-Doped TiO2. Materials 2022, 15, 2857. [Google Scholar] [CrossRef] [PubMed]
  35. Ge, J.; Zhang, Y.; Park, S.-J. Recent Advances in Carbonaceous Photocatalysts with Enhanced Photocatalytic Performances: A Mini Review. Materials 2019, 12, 1916. [Google Scholar] [CrossRef]
  36. Velo-Gala, I.; López-Peñalver, J.J.; Sánchez-Polo, M.; Rivera-Utrilla, J. Role of Activated Carbon Surface Chemistry in Its Photocatalytic Activity and the Generation of Oxidant Radicals under UV or Solar Radiation. Appl. Catal. B Environ. 2017, 207, 412–423. [Google Scholar] [CrossRef]
  37. Yue, Y.; Yue, X.; Tang, X.; Han, L.; Wang, J.; Wang, S.; Du, C. Synergistic Adsorption and Photocatalysis Study of TiO2 and Activated Carbon Composite. Heliyon 2024, 10, e30817. [Google Scholar] [CrossRef]
  38. Machrouhi, A.; Khiar, H.; Elhalil, A.; Sadiq, M.; Abdennouri, M.; Barka, N. Synthesis, Characterization, and Photocatalytic Degradation of Anionic Dyes Using a Novel ZnO/Activated Carbon Composite. Watershed Ecol. Environ. 2023, 5, 80–87. [Google Scholar] [CrossRef]
  39. Rajendran, R.; Rojviroon, O.; Arumugam, P.; Ramasamy, G.; Paramasivam, S.; Rojviroon, T. Synergistic Effects of Activated Carbon-Supported TiO2/ZnO Nanocomposites for Photocatalytic Dye Degradation and Antibacterial Activity. J. Mol. Liq. 2025, 433, 127792. [Google Scholar] [CrossRef]
  40. Ullah, S.; Rehman, A.u.; Najam, T.; Hossain, I.; Anjum, S.; Ali, R.; Shahid, M.U.; Shah, S.S.A.; Nazir, M.A. Advances in Metal-Organic Framework@activated Carbon (MOF@AC) Composite Materials: Synthesis, Characteristics and Applications. J. Ind. Eng. Chem. 2024, 137, 87–105. [Google Scholar] [CrossRef]
  41. Liu, X.-W.; Sun, T.-J.; Hu, J.-L.; Wang, S.-D. Composites of Metal–Organic Frameworks and Carbon-Based Materials: Preparations, Functionalities and Applications. J. Mater. Chem. A 2016, 4, 3584–3616. [Google Scholar] [CrossRef]
  42. Pandi, K.; Lee, D.; Choi, J. Facile Synthesis of Zirconium-Organic Frameworks@biomass-Derived Porous Graphitic Nanocomposites: Arsenic Adsorption Performance and Mechanism. J. Mol. Liq. 2020, 314, 113552. [Google Scholar] [CrossRef]
  43. Mahmoodi, N.M.; Abdi, J.; Taghizadeh, M.; Taghizadeh, A.; Hayati, B.; Shekarchi, A.A.; Vossoughi, M. Activated Carbon/Metal-Organic Framework Nanocomposite: Preparation and Photocatalytic Dye Degradation Mathematical Modeling from Wastewater by Least Squares Support Vector Machine. J. Environ. Manag. 2019, 233, 660–672. [Google Scholar] [CrossRef] [PubMed]
  44. Govindaraju, S.; Arumugasamy, S.K.; Chellasamy, G.; Yun, K. Zn-MOF Decorated Bio Activated Carbon for Photocatalytic Degradation, Oxygen Evolution and Reduction Catalysis. J. Hazard. Mater. 2022, 421, 126720. [Google Scholar] [CrossRef]
  45. Liu, Z.; Li, Y.; Li, C.; Thummavichai, K.; Feng, C.; Li, Z.; Liu, S.; Zhang, S.; Wang, N.; Zhu, Y. MOF-Derived Biochar Composites for Enhanced High Performance Photocatalytic Degradation of Tetracycline Hydrochloride. RSC Adv. 2022, 12, 31900–31910. [Google Scholar] [CrossRef]
  46. Li, F.; Wu, Y. Zirconium-Based Metal-Organic Framework Material UiO-66(Zr), Rapid Room-Temperature Preparation Method and Application Thereof. U.S. Patent 11111255B1, 7 September 2021. filed 21 July 2020. [Google Scholar]
  47. Karmegam, P.M.; Natarajan, P.; Somasundaram, S. Effect of Activating Agents on the Photocatalytic Activity of Chromium Oxide Based Porous Carbon Photocatalysts Derived from Chrome-Tanned Leather Buffing Dust Waste for the Degradation of 2-Chlorophenol. Chem. Eng. J. 2023, 451, 138553. [Google Scholar] [CrossRef]
  48. Azami, M.; Haghighi, M.; Allahyari, S. Sono-Precipitation of Ag2CrO4-C Composite Enhanced by Carbon-Based Materials (AC, GO, CNT and C3N4) and Its Activity in Photocatalytic Degradation of Acid Orange 7 in Water. Ultrason. Sonochem. 2018, 40, 505–516. [Google Scholar] [CrossRef]
  49. Rodriguez-Reinoso, F.; Linares-Solano, A. Chemistry and Physics of Carbon; Thrower, P.A., Ed.; Marcel Dekker Inc.: New York, NY, USA, 1989; Volume 21, ISBN 0-8247-7939-8. [Google Scholar]
  50. Nadjia, L.; Abdelkader, E.; Ahmed, B. Photodegradation Study of Congo Red in Aqueous Solution Using ZnO/UV-A: Effect of PH and Band Gap of Other Semiconductor Groups. J. Chem. Eng. Process Technol. 2011, 2, 108. [Google Scholar] [CrossRef]
  51. Bůžek, D.; Demel, J.; Lang, K. Zirconium Metal−Organic Framework UiO-66: Stability in an Aqueous Environment and Its Relevance for Organophosphate Degradation. Inorg. Chem. 2018, 57, 14290−14297. [Google Scholar] [CrossRef]
  52. Bůžek, D.; Adamec, S.; Lang, K.; Demel, J. Metal–Organic Frameworks vs. Buffers: Case Study of UiO-66 Stability. Inorg. Chem. Front. 2021, 8, 720–734. [Google Scholar] [CrossRef]
  53. Li, Z.; Chen, X.; Wang, M.; Zhang, X.; Liao, L.; Fang, T.; Li, B. Photocatalytic Degradation of Congo Red by Using the Cu2O/α-Fe2O3 Composite Catalyst. Desalin. Water Treat. 2021, 215, 222–231. [Google Scholar] [CrossRef]
  54. Thattil, P.P.; Leema Rose, A. Photodegradation of Congo Red Dye via Simple and Effective Air Oxidation Using Copper(II) Chloride and Sunlight. Nat. Environ. Pollut. Technol. 2019, 18, 1243–1248. [Google Scholar]
  55. Cavka, J.H.; Jakobsen, S.; Olsbye, U.; Guillou, N.; Lamberti, C.; Bordiga, S.; Lillerud, K.P. A New Zirconium Inorganic Building Brick Forming Metal Organic Frameworks with Exceptional Stability. J. Am. Chem. Soc. 2008, 130, 13850–13851. [Google Scholar] [CrossRef] [PubMed]
  56. Valenzano, L.; Civalleri, B.; Chavan, S.; Bordiga, S.; Nilsen, M.H.; Jakobsen, S.; Lillerud, K.P.; Lamberti, C. Disclosing the Complex Structure of UiO-66 Metal Organic Framework: A Synergic Combination of Experiment and Theory. Chem. Mater. 2011, 23, 1700–1718. [Google Scholar] [CrossRef]
  57. Xi, F.G.; Yang, Y.; Liu, H.; Yao, H.F.; Gao, E.Q. Different Acidity and Additive Effects of Zirconium Metal-Organic Frameworks as Catalysts for Cyanosilylation. RSC Adv. 2015, 5, 79216–79223. [Google Scholar] [CrossRef]
  58. Balasubramanian, S.; Kulandaisamy, A.J.; Rayappan, J.B.B. Engineering the Defects of UiO-66 MOF for an Improved Catalytic Detoxification of CWA Simulant: Methyl Paraoxon. RSC Adv. 2024, 14, 31535–31548. [Google Scholar] [CrossRef]
  59. Faria, R.G.; Julião, D.; Balula, S.S.; Cunha-Silva, L. Hf-Based UiO-66 as Adsorptive Compound and Oxidative Catalyst for Denitrogenation Processes. Compounds 2021, 1, 3–14. [Google Scholar] [CrossRef]
  60. Iqbal, Z.; Shamair, Z.; Usman, M.; Gilani, M.A.; Yasin, M.; Saqib, S.; Khan, A.L. One Pot Synthesis of UiO-66@IL Composite for Fabrication of CO2 Selective Mixed Matrix Membranes. Chemosphere 2022, 303, 135122. [Google Scholar] [CrossRef]
  61. Butova, V.V.; Budnyk, A.P.; Charykov, K.M.; Vetlitsyna-Novikova, K.S.; Bugaev, A.L.; Guda, A.A.; Damin, A.; Chavan, S.M.; Øien-Ødegaard, S.; Lillerud, K.P.; et al. Partial and Complete Substitution of the 1,4-Benzenedicarboxylate Linker in UiO-66 with 1,4-Naphthalenedicarboxylate: Synthesis, Characterization, and H2-Adsorption Properties. Inorg. Chem. 2019, 58, 1607–1620. [Google Scholar] [CrossRef] [PubMed]
  62. Bessaha, F.; Marouf-Khelifa, K.; Batonneau-Gener, I.; Khelifa, A. Characterization and Application of Heat-Treated and Acid-Leached Halloysites in the Removal of Malachite Green: Adsorption, Desorption, and Regeneration Studies. Desalin. Water Treat. 2016, 57, 14609–14621. [Google Scholar] [CrossRef]
  63. Bessaha, F.; Mahrez, N.; Marouf-Khelifa, K.; Çoruh, A.; Khelifa, A. Removal of Congo Red by Thermally and Chemically Modified Halloysite: Equilibrium, FTIR Spectroscopy, and Mechanism Studies. Int. J. Environ. Sci. Technol. 2019, 16, 4253–4260. [Google Scholar] [CrossRef]
  64. Zainudin, N.F.; Sam, S.T.; Wong, Y.S.; Ismail, H.; Walli, S.; Inoue, K.; Kawamura, G.; Tan, W.K. Degradation of Diazo Congo Red Dye by Using Synthesized Poly-Ferric-Silicate-Sulphate through Co-Polymerization Process. Polymers 2023, 15, 237. [Google Scholar] [CrossRef] [PubMed]
  65. Kim, S.-H.; Choi, P.-P. Enhanced Congo Red Dye Removal from Aqueous Solutions Using Iron Nanoparticles: Adsorption, Kinetics, and Equilibrium Studies. Dalt. Trans. 2017, 46, 15470–15479. [Google Scholar] [CrossRef]
  66. Sahar, J.; Naeem, A.; Farooq, M.; Zareen, S.; UrRahman, A. Thermodynamic Studies of Adsorption of Rhodamine B and Congo Red on Graphene Oxide. Desalin. Water Treat. 2019, 164, 228–239. [Google Scholar] [CrossRef]
  67. Hadjiivanov, K.I.; Panayotov, D.A.; Mihaylov, M.Y.; Ivanova, E.Z.; Chakarova, K.K.; Andonova, S.M.; Drenchev, N.L. Power of Infrared and Raman Spectroscopies to Characterize Metal-Organic Frameworks and Investigate Their Interaction with Guest Molecules. Chem. Rev. 2020, 121, 1286–1424. [Google Scholar] [CrossRef]
  68. Shimodaira, N.; Masui, A. Raman Spectroscopic Investigations of Activated Carbon Materials. J. Appl. Phys. 2002, 92, 902–909. [Google Scholar] [CrossRef]
  69. Mohamed, H.H.; Bahnemann, D.W. The Role of Electron Transfer in Photocatalysis: Fact and Fictions. Appl. Catal. B Environ. 2012, 128, 91–104. [Google Scholar] [CrossRef]
  70. Velo-Gala, I.; López-Peñalver, J.J.; Sánchez-Polo, M.; Rivera-Utrilla, J. Surface Modifications of Activated Carbon by Gamma Irradiation. Carbon 2014, 67, 236–249. [Google Scholar] [CrossRef]
  71. Jasrotia, R.; Jaswal, N.; Prakash, J.; Kit, C.C.; Singh, J.; Kandwal, A. Photocatalytic Application of Magnesium Spinel Ferrite in Wastewater Remediation: A Review. J. Magnes. Alloys 2024, 12, 490–505. [Google Scholar] [CrossRef]
  72. Rajbongshi, B.M. Photocatalyst: Mechanism, Challenges, and Strategy for Organic Contaminant Degradation. In Handbook of Smart Photocatalytic Materials; Elsevier: Amsterdam, The Netherlands, 2020; pp. 127–149. ISBN 9780128190494. [Google Scholar]
  73. Thomas, M.; Naikoo, G.A.; Sheikh, M.U.D.; Bano, M.; Khan, F. Effective Photocatalytic Degradation of Congo Red Dye Using Alginate/Carboxymethyl Cellulose/TiO2 Nanocomposite Hydrogel under Direct Sunlight Irradiation. J. Photochem. Photobiol. A Chem. 2016, 327, 33–43. [Google Scholar] [CrossRef]
  74. Alshabanat, M.N.; AL-Anazy, M.M. An Experimental Study of Photocatalytic Degradation of Congo Red Using Polymer Nanocomposite Films. J. Chem. 2018, 2018, 9651850. [Google Scholar] [CrossRef]
Figure 1. Structure of Congo Red (CR) dye.
Figure 1. Structure of Congo Red (CR) dye.
Water 17 03515 g001
Figure 2. Removal efficiencies for 10 ppm CR solution after 1 and 2 h of sun irradiation and in the dark (a) and spectra of the initial 10 ppm CR solution, distilled water and the solution remaining after the complete removal of CR with 50/50 composite (b).
Figure 2. Removal efficiencies for 10 ppm CR solution after 1 and 2 h of sun irradiation and in the dark (a) and spectra of the initial 10 ppm CR solution, distilled water and the solution remaining after the complete removal of CR with 50/50 composite (b).
Water 17 03515 g002
Figure 3. Reusability of catalysts for CR removal from 10 ppm aqueous solutions (Method 1) and CR concentration reduction after exposure to solar irradiation for 2 h.
Figure 3. Reusability of catalysts for CR removal from 10 ppm aqueous solutions (Method 1) and CR concentration reduction after exposure to solar irradiation for 2 h.
Water 17 03515 g003
Figure 4. UV/Vis spectra of the initial 50 ppm CR samples before and after reaction with catalysts.
Figure 4. UV/Vis spectra of the initial 50 ppm CR samples before and after reaction with catalysts.
Water 17 03515 g004
Figure 5. Influence of pH on the appearance of the UV/Vis spectrum of pure CR 50 ppm solutions at (a) pH 3–5 and (b) pH 5–7.
Figure 5. Influence of pH on the appearance of the UV/Vis spectrum of pure CR 50 ppm solutions at (a) pH 3–5 and (b) pH 5–7.
Water 17 03515 g005
Figure 6. Influence of pH on the (a) maximum peak position and (b) intensity (ABS) of the CR 498 nm peak.
Figure 6. Influence of pH on the (a) maximum peak position and (b) intensity (ABS) of the CR 498 nm peak.
Water 17 03515 g006
Figure 7. Removal efficiencies of the CR from the 50 ppm aqueous solutions after 2 h.
Figure 7. Removal efficiencies of the CR from the 50 ppm aqueous solutions after 2 h.
Water 17 03515 g007
Figure 8. Reusability of catalysts for the removal of CR in 50 ppm solutions (Method 1).
Figure 8. Reusability of catalysts for the removal of CR in 50 ppm solutions (Method 1).
Water 17 03515 g008
Figure 9. Comparison of the freshly made samples and regenerated samples (Method 2).
Figure 9. Comparison of the freshly made samples and regenerated samples (Method 2).
Water 17 03515 g009
Figure 10. Comparison of the pre-washed and non-washed samples (Method 2).
Figure 10. Comparison of the pre-washed and non-washed samples (Method 2).
Water 17 03515 g010
Figure 11. Removal efficiency of the CR from the 25 ppm solution under the solar irradiation (Time = 0 min <=> after 50/50 sample being kept in CR, in dark, for 30 min).
Figure 11. Removal efficiency of the CR from the 25 ppm solution under the solar irradiation (Time = 0 min <=> after 50/50 sample being kept in CR, in dark, for 30 min).
Water 17 03515 g011
Figure 12. Kinetic analysis using (a) the pseudo-first-order and (b) the pseudo-second-order model.
Figure 12. Kinetic analysis using (a) the pseudo-first-order and (b) the pseudo-second-order model.
Water 17 03515 g012
Figure 13. Linear fit of the initial, fast decay regime for (a) pseudo-first-order model of reaction and (b) pseudo-second-order model of reaction (kapp—apparent constant rate; R2—coefficient of determination).
Figure 13. Linear fit of the initial, fast decay regime for (a) pseudo-first-order model of reaction and (b) pseudo-second-order model of reaction (kapp—apparent constant rate; R2—coefficient of determination).
Water 17 03515 g013
Figure 14. XRD patterns of (a) UiO-66 MOF, AC and 50/50 MOF/AC composite; (b) the 50/50 MOF/AC composite before and after 2 h in a CR aqueous solution MOF and (c) 50/50 MOF/AC composite, before and after contact with 50 ppm CR aqueous solutions for 2 h (red curves) and with distilled water for ≈30 days (blue curves).
Figure 14. XRD patterns of (a) UiO-66 MOF, AC and 50/50 MOF/AC composite; (b) the 50/50 MOF/AC composite before and after 2 h in a CR aqueous solution MOF and (c) 50/50 MOF/AC composite, before and after contact with 50 ppm CR aqueous solutions for 2 h (red curves) and with distilled water for ≈30 days (blue curves).
Water 17 03515 g014
Figure 15. FTIR spectra of CR and pure MOF before and after reaction with CR.
Figure 15. FTIR spectra of CR and pure MOF before and after reaction with CR.
Water 17 03515 g015
Figure 16. The Raman spectra of the as-synthesised UiO-66 MOF and the 50/50 composite.
Figure 16. The Raman spectra of the as-synthesised UiO-66 MOF and the 50/50 composite.
Water 17 03515 g016
Table 1. Different ratios of MOF and AC in prepared composites.
Table 1. Different ratios of MOF and AC in prepared composites.
SampleMOF75/2550/5025/75AC
MOF wt%1007550250
AC wt%0255075100
Table 2. Measured pH values for the samples shown in Figure 4.
Table 2. Measured pH values for the samples shown in Figure 4.
SamplepH
MOF4.4
75/254.8
50/505.7
25/756.5
AC7.4
CR7.0
Table 3. Position and assignment of the bands in the UiO-66 FTIR spectrum.
Table 3. Position and assignment of the bands in the UiO-66 FTIR spectrum.
Wavenumber (cm−1)AssignationReferences
~3400O–H stretching; Broad band from adsorbed water or –OH groups[27,30,58]
1656C=O stretching; Weak band indicating synthesis solvent, terephthalic acid’s remnants[59,60]
1583O–C–O asymmetric stretching in the terephthalic ligand[27,30]
1506C=C stretching; band from benzene ring[30,59]
1404O–C–O symmetric stretching in the terephthalic ligand[27,30,61]
746O–Zr–O symmetric stretching; confirmation of formation of the Zr6(OH)4O4 clusters[58]
666O–Zr–O asymmetric stretching; confirmation of formation of the Zr6(OH)4O4 clusters[58]
552Zr–(OC) asymmetric stretching vibration; metal cluster bonding[30]
482Zr–Oμ3-OH stretching vibration of bonds of the Zr6 cluster[30]
Disclaimer/Publisher’s Note: The statements, opinions and data contained in all publications are solely those of the individual author(s) and contributor(s) and not of MDPI and/or the editor(s). MDPI and/or the editor(s) disclaim responsibility for any injury to people or property resulting from any ideas, methods, instructions or products referred to in the content.

Share and Cite

MDPI and ACS Style

Egerić, M.; Petrović, D.; Vujasin, R.; Wu, Y.-N.; Li, F.-T.; Janolin, P.-E.; Matović, L.; Devečerski, A. Enhanced Adsorption–Photocatalytic Degradation of the Congo Red Dye in the Presence of the MOF/Activated Carbon Composite Catalysts. Water 2025, 17, 3515. https://doi.org/10.3390/w17243515

AMA Style

Egerić M, Petrović D, Vujasin R, Wu Y-N, Li F-T, Janolin P-E, Matović L, Devečerski A. Enhanced Adsorption–Photocatalytic Degradation of the Congo Red Dye in the Presence of the MOF/Activated Carbon Composite Catalysts. Water. 2025; 17(24):3515. https://doi.org/10.3390/w17243515

Chicago/Turabian Style

Egerić, Marija, Djordje Petrović, Radojka Vujasin, Yi-Nan Wu, Feng-Ting Li, Pierre-Eymeric Janolin, Ljiljana Matović, and Aleksandar Devečerski. 2025. "Enhanced Adsorption–Photocatalytic Degradation of the Congo Red Dye in the Presence of the MOF/Activated Carbon Composite Catalysts" Water 17, no. 24: 3515. https://doi.org/10.3390/w17243515

APA Style

Egerić, M., Petrović, D., Vujasin, R., Wu, Y.-N., Li, F.-T., Janolin, P.-E., Matović, L., & Devečerski, A. (2025). Enhanced Adsorption–Photocatalytic Degradation of the Congo Red Dye in the Presence of the MOF/Activated Carbon Composite Catalysts. Water, 17(24), 3515. https://doi.org/10.3390/w17243515

Note that from the first issue of 2016, this journal uses article numbers instead of page numbers. See further details here.

Article Metrics

Back to TopTop