Sign in to use this feature.

Years

Between: -

Subjects

remove_circle_outline
remove_circle_outline
remove_circle_outline
remove_circle_outline
remove_circle_outline
remove_circle_outline
remove_circle_outline
remove_circle_outline
remove_circle_outline

Journals

remove_circle_outline
remove_circle_outline
remove_circle_outline
remove_circle_outline
remove_circle_outline
remove_circle_outline
remove_circle_outline
remove_circle_outline
remove_circle_outline
remove_circle_outline
remove_circle_outline

Article Types

Countries / Regions

remove_circle_outline
remove_circle_outline
remove_circle_outline
remove_circle_outline
remove_circle_outline

Search Results (552)

Search Parameters:
Keywords = M-Bus

Order results
Result details
Results per page
Select all
Export citation of selected articles as:
17 pages, 10360 KB  
Article
Optimization of Crowbar Resistance for Enhanced LVRT Capability in Wind Turbine Doubly Fed Induction Generator
by Mahmoud M. Elkholy and M. Abdelateef Mostafa
Appl. Syst. Innov. 2025, 8(6), 191; https://doi.org/10.3390/asi8060191 - 16 Dec 2025
Abstract
Recently, the installed generation capacity of wind energy has expanded significantly, and the doubly fed induction generator (DFIG) has gained a prominent position amongst wind generators owing to its superior performance. It is extremely vital to enhance the low-voltage ride-through (LVRT) capability for [...] Read more.
Recently, the installed generation capacity of wind energy has expanded significantly, and the doubly fed induction generator (DFIG) has gained a prominent position amongst wind generators owing to its superior performance. It is extremely vital to enhance the low-voltage ride-through (LVRT) capability for the wind turbine DFIG system because the DFIG is very sensitive to faults in the electrical grid. The major concept of LVRT is to keep the DFIG connected to the electrical grid in the case of an occurrence of grid voltage sags. The currents of rotor and DC-bus voltage rise during voltage dips, resulting in damage to the power electronic converters and the windings of the rotor. There are many protection approaches that deal with LVRT capability for the wind turbine DFIG system. A popular approach for DFIG protection is the crowbar technique. The resistance of the crowbar must be precisely chosen owing to its impact on both the currents of the rotor and DC-bus voltage, while also ensuring that the rotor speed does not exceed its maximum limit. Therefore, this paper aims to obtain the optimal values of crowbar resistance to minimize the crowbar energy losses and ensure stable DFIG operation during grid voltage dips. A recent optimization technique, the Starfish Optimization (SFO) algorithm, was used for cropping the optimal crowbar resistance for improving LVRT capability. To validate the accuracy of the results, the SFO results were compared to the well-known optimization algorithm, particle swarm optimizer (PSO). The performance of the wind turbine DFIG system was investigated by using Matlab/Simulink at a rated wind speed of 13 m/s. The results demonstrated that the increases in DC-link voltage and rotor speed were reduced by 42.5% and 45.8%, respectively. Full article
Show Figures

Figure 1

14 pages, 325 KB  
Study Protocol
Empowering Healthy Lifestyle Behavior Through Personalized Intervention Portfolios Using a Healthy Lifestyle Recommender System to Prevent and Control Obesity in Young Adults: Pilot Study Protocol from the HealthyW8 Project
by Silvia García, Marina Ródenas-Munar, Torsten Bohn, Astrid Kemperman, Daniela Rodrigues, Suzan Evers, Elsa Lamy, María Pérez-Jiménez, Sarah Forberger, Maria Giovanna Onorati, Andrea Devecchi, Tiziana De Magistris, Jihan Halimi, Yoanna Ivanova, Boyko Doychinov, Cristina Bouzas and Josep A. Tur
J. Pers. Med. 2025, 15(12), 625; https://doi.org/10.3390/jpm15120625 - 13 Dec 2025
Viewed by 156
Abstract
Background: Rising obesity rates among young adults increase long-term health risks, especially cardiometabolic conditions such as type 2 diabetes mellitus. Digital interventions can offer scalable solutions to promote and support healthy behaviors by integrating personalized diet, physical activity promotion, and behavioral support. Objective: [...] Read more.
Background: Rising obesity rates among young adults increase long-term health risks, especially cardiometabolic conditions such as type 2 diabetes mellitus. Digital interventions can offer scalable solutions to promote and support healthy behaviors by integrating personalized diet, physical activity promotion, and behavioral support. Objective: To assess the feasibility, user friendliness, adherence, and satisfaction of the Healthy Lifestyle Recommender System (HLRS). Secondary outcomes will include measures of metabolic health and obesity. Methods: A 3-month, single-arm pilot study conducted across European countries, including Bulgaria, Germany, Italy, Netherlands, Portugal, and Spain, enrolling 351 young adults (18–25 years old, BMI 18.5–29.9 kg/m2). The intervention includes a mobile app for meal planning (Nutrida v.1), gamified physical activity encouragement (GameBus), and real-time monitoring via a wearable smartwatch device. Primary outcomes are adherence and engagement, measured through app usage and participant feedback; secondary outcomes include anthropometry, physical activity, dietary patterns, psychological well-being, and selected biomarkers of metabolic health. Expected Outcomes: Improved engagement is expected to enhance lifestyle behaviors, supporting weight management and overall well-being. Findings will guide future large-scale interventions. Conclusions: This study will contribute to minimizing the impact of obesity in Europe. Full article
(This article belongs to the Section Personalized Preventive Medicine)
Show Figures

Figure 1

24 pages, 14114 KB  
Article
Sodium Butyrate Promotes In Vitro Development of Mouse Preantral Follicles and Improves Oocyte Quality by Regulating Steroidogenesis, Oxidative Stress, and Cytoskeleton Remodeling
by Xiaohuan Liu, Tuba Latif Virk, Mengdie Pi, Qi Liu, Sheng Yang, Zhiyu Ma, Yuguo Yuan and Fenglei Chen
Animals 2025, 15(24), 3567; https://doi.org/10.3390/ani15243567 - 11 Dec 2025
Viewed by 101
Abstract
Sodium butyrate (NaBu), a common feed additive, has been shown to enhance reproductive performance in livestock and poultry. However, whether NaBu exerts this effect by directly regulating follicular development remains unclear. In this study, a three-dimensional (3D) in vitro culture system of mouse [...] Read more.
Sodium butyrate (NaBu), a common feed additive, has been shown to enhance reproductive performance in livestock and poultry. However, whether NaBu exerts this effect by directly regulating follicular development remains unclear. In this study, a three-dimensional (3D) in vitro culture system of mouse preantral follicles was used to investigate the effects of NaBu on follicular growth, hormone secretion, maturation of oocytes, and subsequent embryonic development. Preantral follicles were treated with different doses of NaBu on the fourth day of culture. Subsequently, the mature oocytes (MII stage) were released from the follicles on the ninth day and subjected to parthenogenetic activation for developmental assessment. The results showed that 0.10 mM NaBu treatment could significantly promote follicular growth, antral formation, and oocyte maturation. Furthermore, NaBu also significantly increased estradiol (E2) secretion, improved follicular structure, and maintained cellular viability. qPCR analysis revealed that NaBu significantly increased the mRNA levels of STAR, CYP11A1, and CYP1B1. In addition, it significantly enhanced the distribution and organization of F-actin, with increases in the mRNA levels of GDF9, BMP15, and CX37. NaBu treatment significantly reduced intracellular ROS levels and increased the mRNA levels of NRF2 and SOD1, while SOD2 and GSR showed increasing trends without significant differences. NaBu significantly improved oocyte cytoskeletal organization and the morphology of the spindle, but it did not lead to a significant increase in the rates of cleavage and blastocyst formation after parthenogenetic activation. Collectively, these findings indicate that NaBu promotes follicular development and improves oocyte quality, at least partly, by enhancing steroidogenesis, alleviating oxidative stress, and maintaining cytoskeletal integrity, providing insight into its potential application for improving reproductive performance in livestock and poultry. Full article
Show Figures

Figure 1

31 pages, 5126 KB  
Article
A Stochastic Multi-Objective Optimization Framework for Integrating Renewable Resources and Gravity Energy Storage in Distribution Networks, Incorporating an Enhanced Weighted Average Algorithm and Demand Response
by Ali S. Alghamdi
Sustainability 2025, 17(24), 11108; https://doi.org/10.3390/su172411108 - 11 Dec 2025
Viewed by 126
Abstract
This paper introduces a novel stochastic multi-objective optimization framework for the integration of gravity energy storage (GES) with renewable resources—photovoltaic (PV) and wind turbine (WT)—in distribution networks incorporating demand response (DR), addressing key gaps in uncertainty handling and optimization efficiency. The GES plays [...] Read more.
This paper introduces a novel stochastic multi-objective optimization framework for the integration of gravity energy storage (GES) with renewable resources—photovoltaic (PV) and wind turbine (WT)—in distribution networks incorporating demand response (DR), addressing key gaps in uncertainty handling and optimization efficiency. The GES plays a pivotal role in this framework by contributing to a techno-economic improvement in distribution networks through enhanced flexibility and a more effective utilization of intermittent renewable energy generation and economically viable storage capacity. The proposed multi-objective model aims to minimize energy losses, pollution costs, and investment and operational expenses. A new multi-objective enhanced weighted average algorithm integrated with an elite selection mechanism (MO-EWAA) is proposed to determine the optimal sizing and placement of PV, WT, and GES units. To address uncertainties in renewable generation and load demand, the two-point estimation method (2m + 1 PEM) is employed. Simulation results on a standard 33-bus test system demonstrate that the coordinated use of GES with renewables reduces energy losses and emission costs by 14.55% and 0.21%, respectively, compared to scenarios without storage, and incorporating the DR decreases the different costs. Moreover, incorporating the stochastic model increases the costs of energy losses, pollution, and investment and operation by 6.50%, 2.056%, and 3.94%, respectively, due to uncertainty. The MO-EWAA outperforms conventional MO-WAA and multi-objective particle swarm optimization (MO-PSO) in computational efficiency and solution quality, confirming its effectiveness for stochastic multi-objective optimization in distribution networks. Full article
Show Figures

Figure 1

20 pages, 2347 KB  
Article
Workload-Dependent Vulnerability of SDRAM Multi-Bit Upsets in a LEON3 Soft-Core Processor
by Afef Kchaou, Sehmi Saad and Hatem Garrab
Electronics 2025, 14(24), 4852; https://doi.org/10.3390/electronics14244852 - 10 Dec 2025
Viewed by 155
Abstract
Multi-bit upsets (MBUs) are a growing reliability threat in high-density SDRAM, particularly in radiation-prone embedded systems. This paper presents a large-scale FPGA-based fault injection (FI) study targeting external SDRAM in a cache-enabled LEON3 SPARC V8 processor, with over 300,000 dual-bit MBUs injected across [...] Read more.
Multi-bit upsets (MBUs) are a growing reliability threat in high-density SDRAM, particularly in radiation-prone embedded systems. This paper presents a large-scale FPGA-based fault injection (FI) study targeting external SDRAM in a cache-enabled LEON3 SPARC V8 processor, with over 300,000 dual-bit MBUs injected across three diverse workloads: Fast Fourier transform (FFT), matrix multiplication (MulMatrix), and advanced encryption standard (AES). Our results reveal a profound dependence of MBU manifestation on application semantics: memory-intensive benchmarks (FFT, MulMatrix) exhibit high fault detectability through data store and access exceptions, while the AES workload demonstrates exceptional intrinsic masking, with the vast majority of MBUs producing no observable effect. These results demonstrate that processor vulnerability to MBUs is not uniform but fundamentally shaped by workload characteristics, including memory access patterns, control flow regularity, and algorithmic redundancy. The study provides a hardware-validated foundation for designing workload-aware fault tolerance strategies in space-grade and safety-critical embedded platforms. Full article
Show Figures

Figure 1

20 pages, 2816 KB  
Article
Real-Time Reconstruction of the Temperature Field of NSRT’s Back-Up Structure Based on Improved RIME-XGBoost
by Shi-Jiao Zhang, Qian Xu, Hui Wang, Fei Xue, Fei-Long He and Xiao-Man Cao
Sensors 2025, 25(24), 7410; https://doi.org/10.3390/s25247410 - 5 Dec 2025
Viewed by 331
Abstract
Obtaining an antenna’s back-up structure (BUS) temperature field is an essential prerequisite for analyzing its thermal deformation. Thermodynamic simulation can obtain the structure’s thermal distribution, but it has low computational accuracy. There is a problem with cumbersome wiring and difficult maintenance of the [...] Read more.
Obtaining an antenna’s back-up structure (BUS) temperature field is an essential prerequisite for analyzing its thermal deformation. Thermodynamic simulation can obtain the structure’s thermal distribution, but it has low computational accuracy. There is a problem with cumbersome wiring and difficult maintenance of the temperature measurement system. This study developed an improved RIME-XGBoost model to realize the temperature prediction of the BUS of the Nanshan 26-m Radio Telescope (NSRT). The proposed model successfully predicts the NSRT’s BUS temperature distribution based solely on environmental sensing (ambient temperature, angle of solar radiation, antenna’s orientation, etc.). The relative prediction accuracy between the predicted and actual BUS temperature is 97.15%, and the predictive error is less than 0.897 K (root mean square error, RMSE). This research result provides an alternative method for the real-time reconstruction of the structure’s thermal distribution in large-aperture radio telescopes. Full article
(This article belongs to the Section Environmental Sensing)
Show Figures

Figure 1

19 pages, 3490 KB  
Article
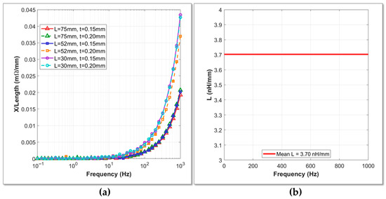
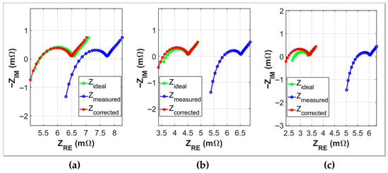
Development of a Correction Algorithm for Structural Elements to Enhance EIS Measurement Reliability in Battery Modules
by Seon-Woong Kim and In-Ho Cho
Energies 2025, 18(23), 6300; https://doi.org/10.3390/en18236300 - 29 Nov 2025
Viewed by 203
Abstract
With the increasing demand for electric vehicles (EVs) and energy storage systems, electrochemical impedance spectroscopy (EIS) has emerged as a promising method for battery pack diagnostics. However, existing EIS research has been predominantly limited to single cells, presenting challenges for practical implementation in [...] Read more.
With the increasing demand for electric vehicles (EVs) and energy storage systems, electrochemical impedance spectroscopy (EIS) has emerged as a promising method for battery pack diagnostics. However, existing EIS research has been predominantly limited to single cells, presenting challenges for practical implementation in actual battery pack systems. In real battery packs, structural elements such as bus plates introduce additional impedance artifacts into measurement data. This parasitic impedance becomes more pronounced as the number of parallel-connected cells increases, degrading measurement reliability. This study presents a systematic analysis of bus plate effects on EIS measurements of parallel battery modules and develops a correction algorithm to extract pure module impedance. Standalone bus plate EIS measurements were conducted to establish geometry-based impedance prediction formulas, and correction factors accounting for current distribution and frequency dependence were derived. The algorithm was validated on 2P-4P parallel modules of NCA and LFP batteries, achieving RMSE reduction from 1.18–2.65 mΩ to 0.10–0.17 mΩ, corresponding to an 88–96% error reduction. These results demonstrate that the proposed algorithm effectively improves module-level EIS measurement reliability regardless of battery chemistry and parallel configuration. Full article
Show Figures

Figure 1

23 pages, 3011 KB  
Article
Fare Elasticity of Passengers in Mountainous Urban Rail Transit Considering Station Heterogeneity
by Qingru Zou, Yi Yang, Xinchen Ran, Jiaxiao Feng and Yue Xia
Sustainability 2025, 17(23), 10530; https://doi.org/10.3390/su172310530 - 24 Nov 2025
Viewed by 300
Abstract
Promoting sustainable mobility and socio-economic sustainability through demand management is critical for mountainous urban rail systems. This study investigates urban rail transit in mountainous cities, focusing on how passenger travel behavior responds to time-based pricing policies across different station types, with the aim [...] Read more.
Promoting sustainable mobility and socio-economic sustainability through demand management is critical for mountainous urban rail systems. This study investigates urban rail transit in mountainous cities, focusing on how passenger travel behavior responds to time-based pricing policies across different station types, with the aim of informing differentiated fare policy design. Using Chongqing—a city with pronounced mountainous terrain—as a case study, we classified stations into 12 categories based on 11 indicators, including road slope, bus transfer density, average housing price, and peak-hour train crowding within a 500 m radius. This classification was then combined with questionnaire data to quantify fare elasticity of departure time. The results show that high-value bus-transfer congested stations are concentrated in central urban clusters with dense bus networks, mitigating terrain constraints and encouraging active travel. In contrast, low-value pedestrian-transfer comfort-oriented stations are predominantly located on the urban periphery, where sparse road networks and steep terrain exert greater influence. Low-value pedestrian-transfer congested stations exhibit the highest fare elasticity across all periods, indicating greater sensitivity to fare changes, while high-value bus-transfer comfort-oriented stations demonstrate the lowest elasticity, with passengers more likely to maintain existing travel patterns. Multiple linear regression identifies six significant determinants of fare elasticity, including section-level passenger crowding, average housing price, and bus route density. Sensitivity analysis using multinomial logistic regression further reveals that increasing bus route availability enhances the stability of low-value balanced-transfer comfort-oriented stations, whereas improving walkability can shift stations toward pedestrian-transfer types. By tailoring time-of-day pricing to station heterogeneity, policymakers can achieve equitable and environmentally friendly demand management, enhance operational efficiency and support sustainable urban development in mountainous regions. Full article
Show Figures

Figure 1

16 pages, 1135 KB  
Article
Pharmacological Potential of Peruvian Eustephia Species (Amaryllidaceae): Alkaloid Diversity, Cholinesterase Inhibition, and Anti-Trypanosoma cruzi Activity
by Olimpia Llalla-Cordova, Javier E. Ortiz, Mauricio Piñeiro, Luciana R. Tallini, Laura Torras-Claveria, Hibert Huaylla, Ana María Mejía-Jaramillo, Omar Triana-Chávez, Edison Osorio, Lorena Celina Luna and Gabriela E. Feresin
Plants 2025, 14(22), 3510; https://doi.org/10.3390/plants14223510 - 18 Nov 2025
Viewed by 469
Abstract
The Amaryllidaceae family represents a prolific source of pharmacologically active compounds, boasting over 700 diverse alkaloids identified to date. However, the genus Eustephia (Amaryllidoideae subfamily) remains largely unexplored. This study focused on the alkaloid profiles and pharmacological potential of bulb and leaves extracts [...] Read more.
The Amaryllidaceae family represents a prolific source of pharmacologically active compounds, boasting over 700 diverse alkaloids identified to date. However, the genus Eustephia (Amaryllidoideae subfamily) remains largely unexplored. This study focused on the alkaloid profiles and pharmacological potential of bulb and leaves extracts from three Peruvian Eustephia species (E. coccinea, E. darwinii, and E. hugoei). The phenolic and flavonoid levels as well as the antioxidant activity of the methanolic extracts, were determined. Twenty-six alkaloids were identified in the alkaloid-enriched extracts (AEEs). Homolycorine-type alkaloids predominated in E. darwinii and E. hugoei, whereas E. coccinea displayed greater chemical diversity showing assoanine as the main detected alkaloid. In addition, candimine was widely distributed across species. AEEs showed stronger enzyme inhibition of acetylcholinesterase (AChE) compared to butyrylcholinesterase (BuChE). Notably, the AEE from E. coccinea leaves showed the highest AChE inhibition (IC50 = 1.82 μg/mL), while the AEE from bulbs exhibited the strongest BuChE inhibitory activity (IC50 = 61.22 μg/mL). Regarding anti-T. cruzi effect, the E. darwinii bulbs AEE was most potent and selective against amastigote forms (IC50 = 2.1 μg/mL; SI = 8.83). These findings underscore the potential of Peruvian Eustephia species as promising sources of pharmacologically relevant alkaloids, with possible applications in neurodegenerative disorders and Chagas disease. Full article
(This article belongs to the Section Phytochemistry)
Show Figures

Graphical abstract

23 pages, 3607 KB  
Article
Dynamic Average-Value Modeling and Stability of Shipboard PV–Battery Converters with Curve-Scanning Global MPPT
by Andrei Darius Deliu, Emil Cazacu, Florențiu Deliu, Ciprian Popa, Nicolae Silviu Popa and Mircea Preda
Electricity 2025, 6(4), 66; https://doi.org/10.3390/electricity6040066 - 12 Nov 2025
Viewed by 353
Abstract
Maritime power systems must reduce fuel use and emissions while improving resilience. We study a shipboard PV–battery subsystem interfaced with a DC–DC converter running maximum power point tracking (MPPT) and curve-scanning GMPPT to manage partial shading. Dynamic average-value models capture irradiance steps and [...] Read more.
Maritime power systems must reduce fuel use and emissions while improving resilience. We study a shipboard PV–battery subsystem interfaced with a DC–DC converter running maximum power point tracking (MPPT) and curve-scanning GMPPT to manage partial shading. Dynamic average-value models capture irradiance steps and show GMPPT sustains operation near the global MPP without local peak trapping. We compare converter options—conventional single-port stages, high-gain bidirectional dual-PWM converters, and three-level three-port topologies—provide sizing rules for passives, and note soft-switching in order to limit loss. A Fourier framework links the switching ripple to power quality metrics: as irradiance falls, the current THD rises while the PCC voltage distortion remains constant on a stiff bus. We make the loss relation explicit via Irms2R scaling with THDi and propose a simple reactive power policy, assigning VAR ranges to active power bins. For AC-coupled cases, a hybrid EMT plus transient stability workflow estimates ride-through margins and critical clearing times, providing a practical path from modeling to monitoring. Full article
Show Figures

Figure 1

14 pages, 2711 KB  
Article
Mechanistic Insights into Radical-Mediated Moxifloxacin Degradation Using Ultrasound-Assisted Persulfate Activation by Iron-Rich Soil
by Mahamadou Kamagate, Fekri Abdulraqeb Ahmed Ali, Traore Lancine, Coulibaly Gnougon Nina, Amine Aymen Assadi, Coulibaly Lacina, Goné Droh Lanciné and Oussama Baaloudj
Catalysts 2025, 15(11), 1056; https://doi.org/10.3390/catal15111056 - 5 Nov 2025
Viewed by 539
Abstract
Fluoroquinolones are a major issue in aquatic ecosystems due to their persistence, potential to induce antibiotic resistance, and inability to be effectively removed using conventional treatment methods. Several advanced oxidation processes have been studied for their degradation; however, there is still a lack [...] Read more.
Fluoroquinolones are a major issue in aquatic ecosystems due to their persistence, potential to induce antibiotic resistance, and inability to be effectively removed using conventional treatment methods. Several advanced oxidation processes have been studied for their degradation; however, there is still a lack of knowledge about their degradation mechanisms and the precise roles played by reactive species. In this context, the study investigated the heterogeneous activation of persulfate (PS) to degrade fluoroquinolones (FQs), such as moxifloxacin (MFX), in iron-rich soil (Cat) under ultrasound irradiation (US). The analysis of the soil catalyst revealed the presence of quartz (35%), iron oxides (33%), and alumina (26%) as the predominant constituents of the sample. The mineral phase analysis indicated the presence of magnetite, hematite, and alumina. Then, the outcomes of the specific surface area, micropore volume, and total pore volume were determined to be 19 m2 g−1, 6 m3 g−1 and 9.10 m3 g−1, respectively. The MFX/PS/US/Cat system demonstrated 89% degradation and 56% mineralization after 300 min. However, the optimized concentrations of i-PrOH, t-BuOH, and CHCl3 were 50, 100, and 50 mM, respectively, in order to trap the radicals SO4•−, OH, and O2•−. The study examined the individual contributions of SO4•−, OH, and O2•− radicals to the overall process of MFX degradation. The results indicated that SO4•− was the primary radical, with a contribution of 52%, followed by OH with 43%, and O2•− with 5%. Finally, the investigation revealed that laterite exhibited both good catalytic activity and reusability over several cycles. The development of this new process could stimulate the creation of cost-effective technology for water remediation through the effective removal of fluoroquinolones. Full article
(This article belongs to the Collection Catalysis in Advanced Oxidation Processes for Pollution Control)
Show Figures

Graphical abstract

17 pages, 606 KB  
Article
The Muscle-Bone Unit in Male Elite Soccer Players Aged 14–19
by Valentina Cavedon, Carlo Zancanaro and Chiara Milanese
J. Funct. Morphol. Kinesiol. 2025, 10(4), 432; https://doi.org/10.3390/jfmk10040432 - 5 Nov 2025
Viewed by 476
Abstract
Background: Muscle and bone show reciprocal interactions and are associated in a muscle-bone unit. The muscle-bone unit has been investigated to a very limited extent in soccer players. The objective of this work was to investigate in detail the muscle-bone unit in [...] Read more.
Background: Muscle and bone show reciprocal interactions and are associated in a muscle-bone unit. The muscle-bone unit has been investigated to a very limited extent in soccer players. The objective of this work was to investigate in detail the muscle-bone unit in male youth elite soccer players. Methods: Bone mineral and lean mass were measured with dual-energy X-ray absorptiometry (DXA). The functional muscle-bone unit (fMBU) and the muscle-to-bone ratio (MBR) were calculated from the DXA output in a sample of players aged 14–19 (n = 193) playing in the youth squads of an Italian Serie A team. Results: Statistically significant (p < 0.05) correlations were found between lean mass variables and bone mineral content and density, also after adjusting for age, body mass, stature, maturity, and ethnicity (White/Black). fMBU and MBR were statistically significantly associated with age, body mass, stature, maturity, and ethnicity. Linear regression showed that body lean mass was the strongest predictor for bone mineral content and density. Age was a statistically significant predictor for fMBU and MBR. Playing position did not show any statistically significant relationship with bone mineral content and density, as well as fMBU or MBR. Centiles for fMBU and MBR were calculated as a reference. Conclusions: This work is the first detailed characterization of the muscle-to-bone relationship in soccer players. It is expected to be of use for sport scientists and the wide community of sportsmen and professionals involved in soccer. Full article
(This article belongs to the Special Issue Body Composition Assessment: Methods, Validity, and Applications)
Show Figures

Figure 1

20 pages, 3945 KB  
Article
Ozone-Assisted Green Upgrading of Lactuca sativa Oil: Characterization and Bioactivity for Clean-Label Functional Applications
by Abdulrahman S. Bazaid, Sulaiman A. Alsalamah, Waleed Hakami, Mohammed Ibrahim Alghonaim, Amro Duhduh and Husam Qanash
Foods 2025, 14(20), 3458; https://doi.org/10.3390/foods14203458 - 10 Oct 2025
Viewed by 608
Abstract
Ozonation is an emergent green technology that modifies the chemical composition and bioactivity of natural oils, creating new opportunities for functional and biomedical use. In this study, the chemical changes and in vitro activities of lettuce (Lactuca sativa) oil before and [...] Read more.
Ozonation is an emergent green technology that modifies the chemical composition and bioactivity of natural oils, creating new opportunities for functional and biomedical use. In this study, the chemical changes and in vitro activities of lettuce (Lactuca sativa) oil before and after ozonation were evaluated. Gas chromatography–mass spectrometry (GC–MS) revealed an increase in both the number and diversity of constituents in ozonated oil, with (Z)-13-docosenamide and trans-13-octadecenoic acid as predominant components. Fourier-transform infrared (FTIR) spectra showed overall similarity between native and ozonated oils, but with three additional characteristic bands in the ozonated sample. Bioassays demonstrated that ozonation enhanced anti-Helicobacter pylori activity (inhibition zone 21.3 ± 0.3 mm), supported bactericidal effects, and improved antibiofilm and antihemolytic properties. The antioxidant capacity of ozonated oil was modestly increased (IC50 = 3.95 ± 0.4 µg/mL), while butyrylcholinesterase inhibition was more markedly enhanced (IC50 = 2.58 ± 0.6 µg/mL), compared to that of the non-ozonated oil (IC50 = 6.14 ± 0.3 µg/mL and IC50 = 4.38 ± 0.4 µg/mL, respectively). Molecular docking suggested strong interactions of major ozonation-derived compounds with human BuChE and H. pylori urease, providing mechanistic support for the observed activities. Overall, these results indicate that ozonation modestly but consistently enhances the biological potential of lettuce oil through compositional shifts, highlighting its promise for development as a safe functional food ingredient with possible biomedical applications. Full article
Show Figures

Figure 1

20 pages, 3137 KB  
Article
HX-Linear and Nonlinear Optical Responsiveness of Rationally Designed Heteroleptic d8-Metallo-dithiolene Complexes
by Salahuddin S. Attar, Flavia Artizzu, Luca Pilia, Angela Serpe, Alessia Colombo, Claudia Dragonetti, Francesco Fagnani, Dominique Roberto, Daniele Marinotto and Paola Deplano
Molecules 2025, 30(19), 4004; https://doi.org/10.3390/molecules30194004 - 7 Oct 2025
Viewed by 553
Abstract
This work presents the HX-responsiveness of the following heteroleptic donor–M–acceptor dithiolene complexes: Bu4N[MII(L1)(L2)] [M = Ni(1), Pd(2), Pt(3)], where L1 is the chiral acceptor ligand [(R)-α-MBAdto = chiral (R)-(+)α-methylbenzyldithio-oxamidate] and L2 is the donor ligand (tdas = [...] Read more.
This work presents the HX-responsiveness of the following heteroleptic donor–M–acceptor dithiolene complexes: Bu4N[MII(L1)(L2)] [M = Ni(1), Pd(2), Pt(3)], where L1 is the chiral acceptor ligand [(R)-α-MBAdto = chiral (R)-(+)α-methylbenzyldithio-oxamidate] and L2 is the donor ligand (tdas = 1,2,5-thiadiazole-3,4-dithiolato). Addition of hydrohalic acids induces a strong bathochromic shift and visible color change, which is fully reversed by ammonia (NH3). Moreover, the sensing capability of 1 was further evaluated by deposition on a cellulose substrate. Exposure to HCl vapors induces an evident color change from purple to green, whereas successive exposure to NH3 vapors fully restores the purple color. Remarkably, cellulose films of 1 were revealed to be excellent optical sensors against the response to triethylamine, which is a toxic volatile amine. Moreover, the HCl-responsiveness of the nonlinear optical properties of complexes 1, 2, and 3 embedded into a poly(methyl methacrylate) poled matrix was demonstrated. Reversible chemical second harmonic generation (SHG) switching is achieved by exposing the poled films to HCl vapors and then to NH3 vapors. The SHG response ratio HCl–adduct/complex is significant (around 1.5). Remarkably, the coefficients of the susceptibility tensor for the HCl–adduct films are always larger than those of the respective free-complex films. Density Functional Theory (DFT) and time-dependent DFT calculations help in highlighting the structure–properties relationship. Full article
(This article belongs to the Special Issue Functional Coordination Compounds: Design, Synthesis and Applications)
Show Figures

Graphical abstract

23 pages, 2485 KB  
Article
Ultrasound-Assisted Green Natural Deep Eutectic Solvent Extraction of Flavonoids from Wild Blueberry: Process Optimization, Composition Identification, and Antioxidant Activity
by Le Ouyang, Weiwei Liang, Chun Bian, Yi Shan and Shumei Wang
Foods 2025, 14(19), 3325; https://doi.org/10.3390/foods14193325 - 25 Sep 2025
Viewed by 1200
Abstract
To improve the deep processing and utilization of wild blueberries, this study presents a green and highly efficient method for extracting flavonoids from blueberries. The approach combines natural deep eutectic solvents (NADESs) with ultrasound-assisted extraction. Among the 22 tested NADES, Betaine/urea (BU), was [...] Read more.
To improve the deep processing and utilization of wild blueberries, this study presents a green and highly efficient method for extracting flavonoids from blueberries. The approach combines natural deep eutectic solvents (NADESs) with ultrasound-assisted extraction. Among the 22 tested NADES, Betaine/urea (BU), was the most effective solvent for extracting flavonoids from blueberries. The extraction parameters of ultrasound-assisted betaine/urea (UABU) were optimized using a response surface methodology (RSM). This optimization procedure yielded the optimized conditions outlined below: a molar ratio of urea to betaine of 3.3:1, a water content of 60% (m/v), an ultrasonic power of 330 W, a solid-to-liquid ratio of 1:30, an extraction temperature of 50 °C, and an ultrasonic extraction duration of 30 min. Under these conditions, the total flavonoid content (TFC) extracted using UABU reached 6.06 ± 0.024 mg_RE/g_DW, a 1.44-fold increase compared to ultrasound-assisted 70% (v/v) ethanol (UAE). Liquid Chromatography–Tandem Mass Spectrometry (LC-MS/MS) nontargeted metabolomics analysis revealed that the flavonoids extracted by UABU had highly relative content (RC) of Oenin, 3′-methoxy-4′,5,7-trihydroxyflavonol, Isorhamnetin-3-O-glucoside and Isoquercitrin. Significant disparities exist regarding the types and RC of flavonoids obtained via UAE. Results from in vitro antioxidant assays demonstrated that UABU has superior antioxidant activity relative to UAE. This study demonstrated the feasibility of using NADESs, specifically BU, as an efficient and eco-friendly extraction medium for flavonoids from wild blueberries. The yield of flavonoids was increased by this method, and bioactive compounds were also protected—findings that underscore the potential of green solvents for application in the food industry. Full article
(This article belongs to the Section Food Biotechnology)
Show Figures

Figure 1

Back to TopTop