Sign in to use this feature.

Years

Between: -

Subjects

remove_circle_outline
remove_circle_outline
remove_circle_outline
remove_circle_outline

Journals

Article Types

Countries / Regions

Search Results (19)

Search Parameters:
Keywords = IFALD

Order results
Result details
Results per page
Select all
Export citation of selected articles as:
17 pages, 3619 KB  
Article
Nobiletin Attenuates Inflammation and Modulates Lipid Metabolism in an In Vitro Model of Intestinal Failure-Associated Liver Disease
by Marta Belka, Aleksandra Gostyńska-Stawna, Karina Sommerfeld-Klatta, Maciej Stawny and Violetta Krajka-Kuźniak
Pharmaceutics 2026, 18(1), 87; https://doi.org/10.3390/pharmaceutics18010087 - 9 Jan 2026
Viewed by 212
Abstract
Background: Intestinal failure-associated liver disease (IFALD) is a serious complication in patients receiving parenteral nutrition, often exacerbated by inflammation, lipid overload, and oxidative stress. Nobiletin (NOB), a polymethoxylated flavone, is known for its anti-inflammatory and lipid-regulating properties. Methods: We employed an [...] Read more.
Background: Intestinal failure-associated liver disease (IFALD) is a serious complication in patients receiving parenteral nutrition, often exacerbated by inflammation, lipid overload, and oxidative stress. Nobiletin (NOB), a polymethoxylated flavone, is known for its anti-inflammatory and lipid-regulating properties. Methods: We employed an in vitro model using THLE-2 human hepatocytes and primary human cholangiocytes exposed to Intralipid (INT) and lipopolysaccharide (LPS) to simulate IFALD conditions. NOB was tested at non-toxic concentrations (10 and 25 µM) to assess its protective effects. MTT viability assays, multiplex bead-based immunoassays (MAGPIX), RT-qPCR, and Western blotting were used to evaluate changes in inflammation markers, gene expression, and protein signaling. Moreover, ALT and AST activities were used to assess hepatocellular injury. Results: NOB maintained high cell viability in THLE-2 hepatocytes and cholangiocytes, confirming its low cytotoxicity. NOB normalized ALT and AST activities in both tested cell lines, but the effect reached statistical significance only for ALT in cholangiocytes. Under IFALD-like conditions (LPS+INT), NOB significantly preserved metabolic activity in both cell types. In THLE-2 and cholangiocytes, NOB markedly reduced the phosphorylation of pro-inflammatory proteins JNK, NF-κB, and STAT3, indicating a broad inhibition of inflammatory signaling. Moreover, in THLE-2 cells, NOB upregulated lipid metabolism-related genes (PRKAA2, CYP7A1, and ABCA1) and decreased oxidative stress, thereby enhancing the nuclear translocation of Nrf2 and increasing SOD1 level, which supports the activation of antioxidant defenses. Conclusions: NOB exhibits hepatoprotective properties under IFALD-like conditions in vitro, likely through modulation of inflammation-related signaling and lipid metabolism pathways. Full article
Show Figures

Graphical abstract

16 pages, 580 KB  
Review
Mechanistic Analysis of Fisetin in Liver Diseases and Its Potential Therapeutic Application in IFALD—A Review of In Vitro and In Vivo Studies
by Marta Belka, Maciej Stawny, Michal M. Masternak and Violetta Krajka-Kuźniak
Nutrients 2026, 18(1), 102; https://doi.org/10.3390/nu18010102 - 28 Dec 2025
Viewed by 585
Abstract
Fisetin (3,3′,4′,7-tetrahydroxyflavone) is a naturally occurring flavonol in fruits and vegetables. It exhibits diverse biological activities, including anti-inflammatory, antioxidant, senolytic, and lipid-lowering properties. This review explores the molecular mechanisms underlying fisetin’s hepatoprotective effects and evaluates its potential application in Intestinal Failure-Associated Liver Disease [...] Read more.
Fisetin (3,3′,4′,7-tetrahydroxyflavone) is a naturally occurring flavonol in fruits and vegetables. It exhibits diverse biological activities, including anti-inflammatory, antioxidant, senolytic, and lipid-lowering properties. This review explores the molecular mechanisms underlying fisetin’s hepatoprotective effects and evaluates its potential application in Intestinal Failure-Associated Liver Disease (IFALD), a severe complication associated with total parenteral nutrition (TPN). IFALD is characterized by inflammation, cholestasis, steatosis, oxidative stress, and dysregulated lipid and bile acid metabolism. Fisetin modulates several key signaling pathways, including NF-κB, Nrf2, AMPK, and SIRT1, leading to reduced inflammatory cytokine expression, enhanced antioxidant defenses, and improved lipid homeostasis. Fisetin shows potential anti-fibrotic and microbiota-modulating effects. More importantly, fisetin is recognized as a potent senolytic agent, selectively activating pro-apoptotic pathways in senescent cells, which are known sources of inflammation and tissue damage. However, despite its promising pharmacological profile, the poor bioavailability of fisetin remains a significant limitation, particularly for parenteral use. Emerging drug delivery systems such as liposomes and nanoparticles offer potential solutions. Given its broad spectrum of beneficial effects and favorable safety profile, fisetin represents a compelling candidate for future studies in the prevention and management of IFALD. Full article
(This article belongs to the Special Issue Phytonutrients in Diseases of Affluence)
Show Figures

Figure 1

36 pages, 1531 KB  
Review
Enteral Nutrition in Neonatal Cholestasis: An Up-to-Date Overview
by Elisa Cimadamore, Martina Palazzo, Maria Chiara Fioroni, Martina Cerverizzo, Alessio Correani, Ilaria Burattini and Chiara Biagetti
Nutrients 2025, 17(11), 1794; https://doi.org/10.3390/nu17111794 - 26 May 2025
Viewed by 7383
Abstract
Cholestasis is an uncommon but potentially life-threatening clinical condition in the neonatal period, leading to maldigestion/malabsorption of fats and fat-soluble components of the diet. Thus, nutritional management is crucial for the cholestatic newborn in order to sustain growth and development. Even if it [...] Read more.
Cholestasis is an uncommon but potentially life-threatening clinical condition in the neonatal period, leading to maldigestion/malabsorption of fats and fat-soluble components of the diet. Thus, nutritional management is crucial for the cholestatic newborn in order to sustain growth and development. Even if it can be recognized a wide variety of diseases underlying neonatal cholestasis, from a nutritional point of view, patients can be categorized into two main groups, according to their intestinal integrity in length and function, which influences the nutritional strategies to be used: patients with intestinal failure-associated liver disease (IFALD) and those suffering from liver dysfunction without intestinal impairment (NOT IFALD). For both groups, enteral nutrition is widely considered a cornerstone of their care. In this narrative review, we summarize the evidence that guides neonatologists in the complex management of enteral nutrition in a cholestatic newborn, such as the choice of type of milk to be used or of any supplementation needed, focusing on preventive and curative strategies including their effects on sustaining growth. Analyzing data published over a period of more than 50 years, despite the agreement of experts and societies in many aspects of management of both IFALD and NOT IFALD cholestatic newborns, we found that robust evidence behind clinical practice is still lacking. This underscores the urgent need for well-designed multicenter randomized controlled trials to optimize the nutritional care of this vulnerable patient population. Full article
(This article belongs to the Special Issue Nutritional Support for Gastrointestinal Diseases)
Show Figures

Figure 1

33 pages, 1998 KB  
Review
Curcumin: A Natural Warrior Against Inflammatory Liver Diseases
by Olga Obrzut, Aleksandra Gostyńska-Stawna, Karolina Kustrzyńska, Maciej Stawny and Violetta Krajka-Kuźniak
Nutrients 2025, 17(8), 1373; https://doi.org/10.3390/nu17081373 - 18 Apr 2025
Cited by 8 | Viewed by 13552
Abstract
Curcumin (CUR), a bioactive compound found in turmeric, has garnered attention for its potential anti-inflammatory properties and impact on liver health. Numerous studies suggest that CUR may be crucial in mitigating liver inflammation. The compound’s anti-inflammatory effects are believed to be attributed to [...] Read more.
Curcumin (CUR), a bioactive compound found in turmeric, has garnered attention for its potential anti-inflammatory properties and impact on liver health. Numerous studies suggest that CUR may be crucial in mitigating liver inflammation. The compound’s anti-inflammatory effects are believed to be attributed to its ability to modulate various molecular pathways involved in the inflammatory response. Research indicates that CUR may suppress the activation of inflammatory cells and the production of pro-inflammatory cytokines in the liver. Additionally, it has been observed to inhibit the activity of transcription factors that play a key role in inflammation. By targeting these molecular mechanisms, CUR may help alleviate the inflammatory burden on the liver. Moreover, CUR’s antioxidant properties are thought to contribute to its protective effects on the liver. Oxidative stress is closely linked to inflammation, and CUR’s ability to neutralize free radicals may further support its anti-inflammatory action. While the evidence is promising, it is essential to note that more research is needed to fully understand the precise mechanisms through which CUR influences liver inflammation. Nevertheless, these findings suggest that CUR could be a potential therapeutic agent in managing liver inflammatory conditions. In this review, we explore the potential impact of CUR on inflammation, highlighting the key mechanisms involved, as reported in the literature. Full article
Show Figures

Figure 1

23 pages, 1077 KB  
Review
Intestinal-Failure-Associated Liver Disease: Beyond Parenteral Nutrition
by Irene Mignini, Giulia Piccirilli, Federica Di Vincenzo, Carlo Covello, Marco Pizzoferrato, Giorgio Esposto, Linda Galasso, Raffaele Borriello, Maurizio Gabrielli, Maria Elena Ainora, Antonio Gasbarrini and Maria Assunta Zocco
Biomolecules 2025, 15(3), 388; https://doi.org/10.3390/biom15030388 - 8 Mar 2025
Viewed by 5123
Abstract
Short bowel syndrome (SBS), usually resulting from massive small bowel resections or congenital defects, may lead to intestinal failure (IF), requiring intravenous fluids and parenteral nutrition to preserve patients’ nutritional status. Approximately 15% to 40% of subjects with SBS and IF develop chronic [...] Read more.
Short bowel syndrome (SBS), usually resulting from massive small bowel resections or congenital defects, may lead to intestinal failure (IF), requiring intravenous fluids and parenteral nutrition to preserve patients’ nutritional status. Approximately 15% to 40% of subjects with SBS and IF develop chronic hepatic damage during their life, a condition referred to as intestinal-failure-associated liver disease (IFALD), which ranges from steatosis to fibrosis or end-stage liver disease. Parenteral nutrition has been largely pointed out as the main pathogenetic factor for IFALD. However, other elements, such as inflammation, bile acid metabolism, bacterial overgrowth and gut dysbiosis also contribute to the development of liver damage and may deserve specific treatment strategies. Indeed, in our review, we aim to explore IFALD pathogenesis beyond parenteral nutrition. By critically analyzing recent literature, we seek to delve with molecular mechanisms and metabolic pathways underlying liver damage in such a complex set of patients. Full article
(This article belongs to the Special Issue Liver Damage and Associated Metabolic Disorders)
Show Figures

Figure 1

23 pages, 3781 KB  
Article
The Development of Magnolol-Loaded Intravenous Emulsion with Low Hepatotoxic Potential
by Aleksandra Gostyńska, Joanna Czerniel, Joanna Kuźmińska, Izabela Żółnowska, Jakub Brzozowski, Violetta Krajka-Kuźniak and Maciej Stawny
Pharmaceuticals 2023, 16(9), 1262; https://doi.org/10.3390/ph16091262 - 6 Sep 2023
Cited by 8 | Viewed by 2249
Abstract
Intestinal failure-associated liver disease (IFALD) is a severe liver injury occurring due to factors related to intestinal failure and parenteral nutrition administration. Different approaches are studied to reduce the risk or ameliorate the course of IFALD, including providing omega-3 fatty acids instead of [...] Read more.
Intestinal failure-associated liver disease (IFALD) is a severe liver injury occurring due to factors related to intestinal failure and parenteral nutrition administration. Different approaches are studied to reduce the risk or ameliorate the course of IFALD, including providing omega-3 fatty acids instead of soybean oil-based lipid emulsion or administering active compounds that exert a hepatoprotective effect. This study aimed to develop, optimize, and characterize magnolol-loaded intravenous lipid emulsion for parenteral nutrition. The preformulation studies allowed for chosen oils mixture of the highest capacity of magnolol solubilization. Then, magnolol-loaded SMOFlipid was developed using the passive incorporation method. The Box–Behnken design and response surface methodology were used to optimize the entrapment efficiency. The optimal formulation was subjected to short-term stress tests, and its effect on normal human liver cells and erythrocytes was determined using the MTT and hemolysis tests, respectively. The optimized magnolol-loaded SMOFlipid was characterized by the mean droplet diameter of 327.6 ± 2.9 nm with a polydispersity index of 0.12 ± 0.02 and zeta potential of −32.8 ± 1.2 mV. The entrapment efficiency of magnolol was above 98%, and pH and osmolality were sufficient for intravenous administration. The magnolol-loaded SMOFlipid samples showed a significantly lower toxic effect than bare SMOFlipid in the same concentration on THLE-2 cells, and revealed an acceptable hemolytic effect of 8.3%. The developed formulation was characterized by satisfactory stability. The in vitro studies showed the reduced cytotoxic effect of MAG-SMOF applied in high concentrations compared to bare SMOFlipid and the non-hemolytic effect on human blood cells. The magnolol-loaded SMOFlipid is promising for further development of hepatoprotective lipid emulsion for parenteral nutrition. Full article
(This article belongs to the Section Pharmaceutical Technology)
Show Figures

Figure 1

22 pages, 414 KB  
Review
Current Insights Regarding Intestinal Failure-Associated Liver Disease (IFALD): A Narrative Review
by Marija Zafirovska, Aleksandar Zafirovski and Nada Rotovnik Kozjek
Nutrients 2023, 15(14), 3169; https://doi.org/10.3390/nu15143169 - 17 Jul 2023
Cited by 16 | Viewed by 5947
Abstract
Intestinal failure-associated liver disease (IFALD) is a spectrum of liver disease including cholestasis, biliary cirrhosis, steatohepatitis, and gallbladder disease in patients with intestinal failure (IF). The prevalence of IFALD varies considerably, with ranges of 40–60% in the pediatric population, up to 85% in [...] Read more.
Intestinal failure-associated liver disease (IFALD) is a spectrum of liver disease including cholestasis, biliary cirrhosis, steatohepatitis, and gallbladder disease in patients with intestinal failure (IF). The prevalence of IFALD varies considerably, with ranges of 40–60% in the pediatric population, up to 85% in neonates, and between 15–40% in the adult population. IFALD has a complex and multifactorial etiology; the risk factors can be parenteral nutrition-related or patient-related. Because of this, the approach to managing IFALD is multidisciplinary and tailored to each patient based on the etiology. This review summarizes the current knowledge on the etiology and pathophysiology of IFALD and examines the latest evidence regarding preventative measures, diagnostic approaches, and treatment strategies for IFALD and its associated complications. Full article
10 pages, 3212 KB  
Case Report
Improvement in Intestinal-Failure-Associated Liver Disease by Using Parenteral Fish Oil as Monotherapy: Case-Based Review of the Literature
by Smaragdi Fessatou, Afroditi Kourti, Nikolaos Zavras, Sofia Zouganeli, Niki Kouna, Eustathios Stefos and Ino Kanavaki
Reports 2023, 6(2), 28; https://doi.org/10.3390/reports6020028 - 12 Jun 2023
Viewed by 2992
Abstract
Intestinal-failure-associated liver disease (IFALD) is a common complication of prolonged parenteral nutrition (PN). Risk factors for IFALD include clinical features, as well as medical interventions, and its management was initially based on the decrease or interruption of parenteral nutrition while increasing enteral nutrition. [...] Read more.
Intestinal-failure-associated liver disease (IFALD) is a common complication of prolonged parenteral nutrition (PN). Risk factors for IFALD include clinical features, as well as medical interventions, and its management was initially based on the decrease or interruption of parenteral nutrition while increasing enteral nutrition. However, the tolerance of full enteral nutrition in children with intestinal failure may require prolonged intestinal rehabilitation over a period of years. As a consequence, infants unable to wean from PN are prone to develop end-stage liver disease. We describe the case of an infant receiving long-term PN who was diagnosed with IFALD wherein we were able to reverse IFALD by switching lipid emulsions to fish oil monotherapy. A systemic review of case reports and case series on reversing IFALD using fish oil lipid emulsion follows the case description. Full article
Show Figures

Figure 1

12 pages, 979 KB  
Article
Home Parenteral Nutrition for Children: What Are the Factors Indicating Dependence and Mortality?
by Ying-Cing Chen, Chia-Man Chou, Sheng-Yang Huang and Hou-Chuan Chen
Nutrients 2023, 15(3), 706; https://doi.org/10.3390/nu15030706 - 30 Jan 2023
Cited by 3 | Viewed by 3759
Abstract
Parenteral nutrition (PN) in children with short bowel syndrome is crucial and lifesaving. Taking care of such patients requires interprofessional practice and multiple team resource management. Home PN (HPN) usage allows patients and families to live regular lives outside hospitals. We share our [...] Read more.
Parenteral nutrition (PN) in children with short bowel syndrome is crucial and lifesaving. Taking care of such patients requires interprofessional practice and multiple team resource management. Home PN (HPN) usage allows patients and families to live regular lives outside hospitals. We share our experiences for the last two decades and identify the risk factors for complications and mortality. A retrospective study of HPN patients was conducted between January 2000 and February 2022. Medical records of age, body weight, diagnosis, length of residual intestines, HPN period, central line attempts, complications, weaning, and survival were collected and analyzed. The patients were classified as HPN free, HPN dependent, and mortality groups. A total of 25 patients received HPN at our outpatient clinic, and one was excluded for the adult age of disease onset. There were 13 patients (54.1%) who were successfully weaned from HPN until the record-enroled date. The overall mortality rate was 20.8% (five patients). All mortality cases had prolonged cholestasis, Child Class B or C, and a positive Pediatric End-Stage Liver Disease (PELD) score. For HPN dependence, extended resection and multiple central line placement were two significant independent factors. Cholestasis, Child Class B or C, and positive PELD score were the most important risk factors for mortality. The central line-related complication rate was not different in all patient groups. The overall central line infection rate was 1.58 per 1000 catheter days. Caution should be addressed to prevent cholestasis and intestinal failure-associated liver disease during the HPN period, to prevent mortality. By understanding the risks of HPN dependence and mortality, preventive procedures could be addressed earlier. Full article
(This article belongs to the Special Issue Nutritional Management of Gastrointestinal Dysfunction in Children)
Show Figures

Graphical abstract

16 pages, 2471 KB  
Article
Untargeted Metabolomics Reveal Parenteral Nutrition-Associated Alterations in Pediatric Patients with Short Bowel Syndrome
by Ying Wang, Yang Liu, Bei Gao, Junkai Yan, Wei Cai and Lu Jiang
Metabolites 2022, 12(7), 600; https://doi.org/10.3390/metabo12070600 - 27 Jun 2022
Cited by 6 | Viewed by 2656
Abstract
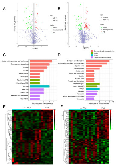
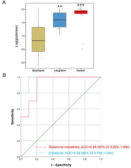
Short bowel syndrome (SBS) is a major cause of intestinal failure (IF) that may require long-term parenteral nutrition (PN) support. However, long-term PN is accompanied by severe complications such as catheter-related blood stream infection (CRBSI) and intestinal failure-associated liver disease (IFALD), and it [...] Read more.
Short bowel syndrome (SBS) is a major cause of intestinal failure (IF) that may require long-term parenteral nutrition (PN) support. However, long-term PN is accompanied by severe complications such as catheter-related blood stream infection (CRBSI) and intestinal failure-associated liver disease (IFALD), and it is associated with high healthcare costs. In this study, we characterized the plasma metabolomic profile and investigated the role of metabolism in predicting long-term PN in pediatric patients with SBS. Untargeted metabolomics was performed in plasma samples from 20 SBS patients with PN support: 6 patients had IFALD and 14 patients had no liver disease. As controls, 18 subjects without liver or intestinal diseases were included for the analysis. SBS patients had distinct plasma metabolomic signatures compared to controls, and several pathways associated with amino acid metabolism and cell death were significantly changed. The presence of IFALD in SBS was associated with alterations of metabolites mainly classified as “amino acids, peptides, and analogues” and “benzene and derivatives”. Serum direct bilirubin levels were negatively correlated with levels of uridine, skatole, and glabrol. Importantly, SBS patients with long-term PN showed significantly increased levels of glutamine compared to those in the short-term PN group. Finally, using multivariate logistic regression analysis, we developed a prediction model including glutamine and creatinine to identify pediatric SBS patients who need long-term PN support. These findings underscore the potential key role of the metabolome in SBS with IF and suggest that metabolomic profiles could be used in long-term PN assessment. Full article
(This article belongs to the Section Integrative Metabolomics)
Show Figures

Figure 1

6 pages, 562 KB  
Article
Bridging Liver Transplantation in the Treatment of Intestinal Failure Associated Liver Disease in Infants—A Bridge Too Far?
by Abubakar Sharif, Khalid Sharif, Darius F. Mirza and Girish L. Gupte
Children 2022, 9(5), 699; https://doi.org/10.3390/children9050699 - 10 May 2022
Cited by 1 | Viewed by 2103
Abstract
Infants with intestinal failure associated liver disease (IFALD) requiring liver and bowel transplant have a high mortality on the transplant waiting list due to the scarcity of the size-matched donor organs. Bridging liver transplantation has been used to allow the children to grow [...] Read more.
Infants with intestinal failure associated liver disease (IFALD) requiring liver and bowel transplant have a high mortality on the transplant waiting list due to the scarcity of the size-matched donor organs. Bridging liver transplantation has been used to allow the children to grow to a reasonable size so that a combined liver and small bowel transplant could be performed in the future. We report on two children with irreversible intestinal failure (ultra-short bowel syndrome secondary to gastroschisis and microvillous inclusion disease) with IFALD who underwent bridging liver transplantation at our institution. Both patients made a good recovery from their initial surgery. One patient died 6 months following surgery from generalized sepsis, and the other patient survived in good condition to undergo a combined liver and small bowel transplant but died a few days post-transplant. In the current era of scarcity of donor organs, this raises an ethical dilemma for the team involved regarding appropriate utilisation of a scarce resource. Full article
Show Figures

Figure 1

16 pages, 317 KB  
Review
Intravenous Lipid Emulsions in the Prevention and Treatment of Liver Disease in Intestinal Failure
by Fedja A. Rochling
Nutrients 2021, 13(3), 895; https://doi.org/10.3390/nu13030895 - 10 Mar 2021
Cited by 18 | Viewed by 5865
Abstract
The development of intestinal failure-associated liver disease (IFALD) in pediatric and adult patients on parenteral nutrition is usually multifactorial in nature due to nutritional and non-nutritional causes. The role of lipid therapy as a contributing cause is well-established with the pathophysiological pathways now [...] Read more.
The development of intestinal failure-associated liver disease (IFALD) in pediatric and adult patients on parenteral nutrition is usually multifactorial in nature due to nutritional and non-nutritional causes. The role of lipid therapy as a contributing cause is well-established with the pathophysiological pathways now better understood. The review focuses on risk factors for IFALD development, biological effects of lipids, lipid emulsions and the mechanisms of lipid toxicity observed in laboratory animals followed by a synopsis of clinical studies in pediatric and adult patients. The introduction of fish oil-based lipid emulsions that provide partial or complete lipid replacement therapy has resulted in resolution of IFALD that had been associated with soybean oil-based therapy. Based on case reports and cohort studies in pediatric and adult patients who were at risk or developed overt liver disease, we now have more evidence that an early switch to partial or complete fish oil–based lipid therapy should be implemented in order to successfully halt and reverse IFALD. Full article
10 pages, 741 KB  
Article
Fish Oil Monotherapy for Intestinal Failure-Associated Liver Disease on SMOFlipid in the Neonatal Intensive Care Unit
by Sanghoon Lee, Se In Sung, Hyo Jung Park, Yun Sil Chang, Won Soon Park and Jeong-Meen Seo
J. Clin. Med. 2020, 9(11), 3393; https://doi.org/10.3390/jcm9113393 - 23 Oct 2020
Cited by 9 | Viewed by 3154
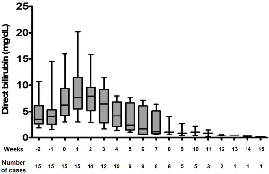
Abstract
Intestinal failure-associated liver disease (IFALD) is a life-threatening complication of parenteral nutrition (PN) and is most prevalent in the preterm neonatal population receiving long-term PN. In this study, we report the outcome of our experience with fish oil monotherapy for IFALD in a [...] Read more.
Intestinal failure-associated liver disease (IFALD) is a life-threatening complication of parenteral nutrition (PN) and is most prevalent in the preterm neonatal population receiving long-term PN. In this study, we report the outcome of our experience with fish oil monotherapy for IFALD in a fish oil-based combination lipid emulsion administered to preterm low birth weight infants. Fasting neonates were administered as PN according to our center’s nutrition protocol. A diagnosis of IFALD was made when the serum direct bilirubin levels were >2.0 mg/dL in two consecutive measurements that were more than one week apart, without evidence of intrinsic causes of liver dysfunction. The management of IFALD was conducted by switching the lipid emulsion from combination lipid emulsion to fish oil monotherapy at 1.0 g/kg/day, infused over 24 h. Fifteen infants met the criteria for IFALD and received fish oil monotherapy. The median gestational age was 27.5 weeks and the median birth weight was 862.5 g. IFALD was successfully reversed in 11 infants (11/15, 73.3%). The median duration of fish oil monotherapy was 39 days. Direct bilirubin values were initially elevated and then steadily declined from the third week of treatment onward. The enteral tolerance increased in varying degrees during the treatment period. The mean weight gain was 26.0 g/day during fish oil monotherapy. Omegaven® (Fresenius Kabi Austria Gmbh, Graz, Austria) at a dose of 1.0 g/kg/day was well tolerated, and no adverse events related to Omegaven use were seen. The reversal of IFALD in preterm infants on combination lipid emulsion containing fish oil was achieved by switching to fish oil monotherapy. Full article
(This article belongs to the Section Gastroenterology & Hepatopancreatobiliary Medicine)
Show Figures

Figure 1

21 pages, 2635 KB  
Article
Serum Scoring and Quantitative Magnetic Resonance Imaging in Intestinal Failure-Associated Liver Disease: A Feasibility Study
by Konstantinos C. Fragkos, María Claudia Picasso Bouroncle, Shankar Kumar, Lucy Caselton, Alex Menys, Alan Bainbridge, Stuart A. Taylor, Francisco Torrealdea, Tomoko Kumagai, Simona Di Caro, Farooq Rahman, Jane Macnaughtan, Manil D. Chouhan and Shameer Mehta
Nutrients 2020, 12(7), 2151; https://doi.org/10.3390/nu12072151 - 19 Jul 2020
Cited by 9 | Viewed by 4324
Abstract
(1) Background: Intestinal failure-associated liver disease (IFALD) in adults is characterized by steatosis with variable progression to fibrosis/cirrhosis. Reference standard liver biopsy is not feasible for all patients, but non-invasive serological and quantitative MRI markers for diagnosis/monitoring have not been previously validated. Here, [...] Read more.
(1) Background: Intestinal failure-associated liver disease (IFALD) in adults is characterized by steatosis with variable progression to fibrosis/cirrhosis. Reference standard liver biopsy is not feasible for all patients, but non-invasive serological and quantitative MRI markers for diagnosis/monitoring have not been previously validated. Here, we examine the potential of serum scores and feasibility of quantitative MRI used in non-IFALD liver diseases for the diagnosis of IFALD steatosis; (2) Methods: Clinical and biochemical parameters were used to calculate serum scores in patients on home parenteral nutrition (HPN) with/without IFALD steatosis. A sub-group underwent multiparameter quantitative MRI measurements of liver fat fraction, iron content, tissue T1, liver blood flow and small bowel motility; (3) Results: Compared to non-IFALD (n = 12), patients with IFALD steatosis (n = 8) demonstrated serum score elevations in Enhanced Liver Fibrosis (p = 0.032), Aspartate transaminase-to-Platelet Ratio Index (p < 0.001), Fibrosis-4 Index (p = 0.010), Forns Index (p = 0.001), Gamma-glutamyl transferase-to-Platelet Ratio Index (p = 0.002) and Fibrosis Index (p = 0.001). Quantitative MRI scanning was feasible in all 10 sub-group patients. Median liver fat fraction was higher in IFALD steatosis patients (10.9% vs 2.1%, p = 0.032); other parameter differences were non-significant; (4) Conclusion: Serum scores used for non-IFALD liver diseases may be useful in IFALD steatosis. Multiparameter MRI is feasible in patients on HPN. Full article
(This article belongs to the Special Issue Intestinal Failure and Home Parenteral Nutrition)
Show Figures

Figure 1

16 pages, 1141 KB  
Article
Assessing Non-Invasive Liver Function in Patients with Intestinal Failure Receiving Total Parenteral Nutrition—Results from the Prospective PNLiver Trial
by Elisabeth Blüthner, Ulrich-Frank Pape, Martin Stockmann, Mirjam Karber, Sebastian Maasberg, Sophie Pevny, Undine Gerlach-Runge, Andreas Pascher, Johann Pratschke, Frank Tacke and Jan Bednarsch
Nutrients 2020, 12(5), 1217; https://doi.org/10.3390/nu12051217 - 26 Apr 2020
Cited by 11 | Viewed by 3894
Abstract
Liver abnormalities in intestinal failure (IF) patients receiving parenteral nutrition (PN) can progress undetected by standard laboratory tests to intestinal failure associated liver disease (IFALD). The aim of this longitudinal study is to evaluate the ability of non-invasive liver function tests to assess [...] Read more.
Liver abnormalities in intestinal failure (IF) patients receiving parenteral nutrition (PN) can progress undetected by standard laboratory tests to intestinal failure associated liver disease (IFALD). The aim of this longitudinal study is to evaluate the ability of non-invasive liver function tests to assess liver function following the initiation of PN. Twenty adult patients with IF were prospectively included at PN initiation and received scheduled follow-up assessments after 6, 12, and 24 months between 2014 and 2019. Each visit included liver assessment (LiMAx [Liver Maximum Capacity] test, ICG [indocyanine green] test, FibroScan), laboratory tests (standard laboratory test, NAFLD [non-alcoholic fatty liver disease] score, FIB–4 [fibrosis-4] score), nutritional status (bioelectrical impedance analysis, indirect calorimetry), and quality of life assessment. The patients were categorized post-hoc based on their continuous need for PN into a reduced parenteral nutrition (RPN) group and a stable parenteral nutrition (SPN) group. While the SPN group (n = 9) had significantly shorter small bowel length and poorer nutritional status at baseline compared to the RPN group (n = 11), no difference in liver function was observed between the distinct groups. Over time, liver function determined by LiMAx did continuously decrease from baseline to 24 months in the SPN group but remained stable in the RPN group. This decrease in liver function assessed with LiMAx in the SPN group preceded deterioration of all other investigated liver function tests during the study period. Our results suggest that the liver function over time is primarily determined by the degree of intestinal failure. Furthermore, the LiMAx test appeared more sensitive in detecting early changes in liver function in comparison to other liver function tests. Full article
(This article belongs to the Special Issue Contemporary Issues in Nutrition Research)
Show Figures

Figure 1

Back to TopTop