Sign in to use this feature.

Years

Between: -

Subjects

remove_circle_outline
remove_circle_outline
remove_circle_outline
remove_circle_outline
remove_circle_outline
remove_circle_outline
remove_circle_outline
remove_circle_outline
remove_circle_outline

Journals

Article Types

Countries / Regions

remove_circle_outline
remove_circle_outline
remove_circle_outline
remove_circle_outline

Search Results (334)

Search Parameters:
Keywords = Envi-MET

Order results
Result details
Results per page
Select all
Export citation of selected articles as:
21 pages, 15591 KB  
Article
Assessing the Impact of Building Surface Materials on Local Thermal Environment Using Infrared Thermal Imagery and Microclimate Simulations
by Ryan Jonathan, Tao Lin, Isaac Lun, Samuel D. Widijatmoko and Yu-Ting Tang
Buildings 2026, 16(2), 334; https://doi.org/10.3390/buildings16020334 - 13 Jan 2026
Viewed by 131
Abstract
The built environment is responsible for 40% of global energy demand, and, in line with urbanisation and population growth, this demand is expected to increase steadily. Urban areas are mostly composed of materials that can absorb energy from solar radiation and dissipate the [...] Read more.
The built environment is responsible for 40% of global energy demand, and, in line with urbanisation and population growth, this demand is expected to increase steadily. Urban areas are mostly composed of materials that can absorb energy from solar radiation and dissipate the accumulated energy in the form of heat. This study integrates a UAV-based Zenmuse XT S IR camera and handheld FLIR C5 thermal camera with ENVI-met microclimate simulation, providing quantitative insights for sustainable urban planning. From the 24 h experiment results, the characteristics of building surface materials are profiled for lowering energy use for internal thermal control during the operation stage of buildings. This study shows that building surface materials with the lowest solar reflectance and highest specific heat capacity reached a peak surface temperature of 73.5 °C in Jakarta (tropical hot climate) and 44.3 °C in Xiamen (subtropical late winter climate). In contrast, materials with the highest solar reflectance and lowest specific heat only reach a peak surface temperature of 58.1 °C in Jakarta and 27.9 °C in Xiamen. The peak surface temperature occurs at 2 PM in the afternoon. Moreover, we demonstrate the capability of an infrared drone to identify the peak surface temperatures of 55.8 °C at 2 PM in the study area in Xiamen. In addition, the ENVI-met validated model shows satisfactory correlation values of R > 0.9 and R2 > 0.8. This result demonstrates UAV-IR and ENVI-met simulation integration as a scalable method for city-level UHI diagnostics and monitoring. Full article
(This article belongs to the Special Issue Advances in Urban Heat Island and Outdoor Thermal Comfort)
Show Figures

Figure 1

32 pages, 3689 KB  
Article
Impact of Urban Morphology on Microclimate and Thermal Comfort in Arid Cities: A Comparative Study and Modeling in Béchar
by Fatima Zohra Benlahbib, Djamel Alkama, Naima Hadj Mohamed, Zouaoui R. Harrat, Saïd Bennaceur, Ercan Işık, Fatih Avcil, Nahla Hilal, Sheelan Mahmoud Hama and Marijana Hadzima-Nyarko
Sustainability 2026, 18(2), 659; https://doi.org/10.3390/su18020659 - 8 Jan 2026
Viewed by 217
Abstract
Urban morphology plays a decisive role in regulating microclimate and outdoor thermal comfort in arid cities, where extreme heat and intense solar radiation amplify thermal stress. This study examines the influence of four contrasting urban fabrics in Béchar (Algerian Sahara): the vernacular Ksar, [...] Read more.
Urban morphology plays a decisive role in regulating microclimate and outdoor thermal comfort in arid cities, where extreme heat and intense solar radiation amplify thermal stress. This study examines the influence of four contrasting urban fabrics in Béchar (Algerian Sahara): the vernacular Ksar, the regular-grid colonial fabric, a modern large-scale residential estate, and low-density detached housing, on local microclimatic conditions. An integrated methodological framework is adopted, combining qualitative morphological analysis, quantitative indicators including density, porosity, height-to-width ratio, and sky view factor, in situ microclimatic measurements, and high-resolution ENVI-met simulations performed for the hottest summer day. Results show that compact urban forms, characterized by low sky view factor values, markedly reduce radiative exposure and improve thermal performance. The vernacular Ksar, exhibiting the lowest SVF, records the lowest mean radiant temperature (approximately 45 °C) and the most favorable average comfort conditions (PMV = 3.77; UTCI = 38.37 °C), representing a reduction of about 3 °C, while its high-thermal-inertia earthen materials ensure effective nocturnal thermal recovery (PMV ≈ 1.06; UTCI = 27.8 °C at 06:00). In contrast, more open modern fabrics, including the colonial grid, large-scale estates, and low-density housing, experience higher thermal stress, reflecting vulnerability to solar exposure and limited thermal inertia. Validation against field measurements confirms model reliability. These findings highlight the continued relevance of vernacular bioclimatic principles for sustainable urban design in arid climates. Full article
(This article belongs to the Section Green Building)
Show Figures

Figure 1

30 pages, 34011 KB  
Article
The Impact of Plant Community Spatial Configurations on Summer Microclimate: A Simulation Study of Urban Parks in Zhejiang, China
by Jingshu Zhou, Linjia Zhou, Chaoyi Xu, Ying Huang, Xia Chen, Qianqian Wang, Xiangtao Zhu and Quanyu Dai
Forests 2026, 17(1), 71; https://doi.org/10.3390/f17010071 - 5 Jan 2026
Viewed by 254
Abstract
The intensifying Urban Heat Island (UHI) effect exacerbates urban heat stress. While vegetation is a key mitigation strategy, the quantitative effects of its spatial configuration are not fully understood. This study employed ENVI-met simulations to systematically evaluate how three design parameters—tree spacing (8–18 [...] Read more.
The intensifying Urban Heat Island (UHI) effect exacerbates urban heat stress. While vegetation is a key mitigation strategy, the quantitative effects of its spatial configuration are not fully understood. This study employed ENVI-met simulations to systematically evaluate how three design parameters—tree spacing (8–18 m), canopy structure (single/multi-layer, sparse/dense), and horizontal layout (enclosed, semi-enclosed, linear)—regulate summer microclimate in urban parks. Results demonstrated that reduced spacing and denser canopies significantly enhanced cooling and humidification. The multi-layer dense canopy and an enclosed “mouth-shaped” layout yielded the optimal performance, achieving a maximum daytime air temperature reduction and a corresponding humidity increase. Furthermore, layout orientation was identified as a critical modulating factor. Spatial configuration exerted a stronger influence on microclimate outcomes than structural complexity itself. This study provides a predictive, evidence-based framework for optimizing urban green space design. The framework and the derived design principles are directly transferable to other cities in humid subtropical climates, offering generalizable strategies to enhance microclimate regulation and climate resilience globally. Full article
Show Figures

Figure 1

35 pages, 1037 KB  
Review
A Structured Literature Review of the Application of Local Climate Zones (LCZ) in Urban Climate Modelling
by Tamás Gál, Niloufar Alinasab, Hawkar Ali Abdulhaq and Nóra Skarbit
Earth 2026, 7(1), 3; https://doi.org/10.3390/earth7010003 - 27 Dec 2025
Viewed by 584
Abstract
Local Climate Zones (LCZs) have become a foundational framework for urban climate modeling, yet their use across model families has not been systematically evaluated. Crucially, the LCZ framework itself has served as a developmental basis, revealing the progression of urban canopy parameterizations (UCP) [...] Read more.
Local Climate Zones (LCZs) have become a foundational framework for urban climate modeling, yet their use across model families has not been systematically evaluated. Crucially, the LCZ framework itself has served as a developmental basis, revealing the progression of urban canopy parameterizations (UCP) from early models to the diverse model families currently in use. This evolution is exemplified by systems like the Weather Research and Forecasting (WRF) model, where the application of LCZ has fundamentally shifted from an experimental add-on to a basic, built-in feature of its urban-modeling capabilities. This review synthesizes a decade of LCZ-based studies to clarify how LCZ improves surface representation, enhances comparability, and supports multiscale modeling workflows. It provides a comprehensive overview of peer-reviewed work up to the end of 2024, offering a baseline for understanding the field’s rapid recent growth. Using a structured evidence-mapping approach, we categorize applications into three maturity stages: testing and measurement, operational and planning-oriented applications, and expansions beyond urban climate to chemistry, hydrology, and Earth-system modeling. The assessment covers various iterations of mesoscale systems (WRF, SURFEX/TEB, COSMO), local-scale climatologies (MUKLIMO-3, UrbClim), microscale models (ENVI-met, CFD), and supporting tools including SUEWS, SOLWEIG, RayMan, VCWG, and CESM-CLMU. Results show clear divisions of labor: WRF and SURFEX/TEB anchor process-rich regional simulations; MUKLIMO-3 and UrbClim offer computationally efficient long-horizon or multi-city assessments; ENVI-met and CFD provide design-scale insight when parameterized with LCZ archetypes. Across all families, model skill is strongly constrained by LCZ data quality and by inconsistencies in LCZ to UCP translation. We conclude that advancing LCZ-based urban climate modeling will depend on improved LCZ products, standardized parameter libraries, and formalized cross-scale model couplings that allow existing tools to interoperate more reliably under growing urban-climate pressures. Full article
Show Figures

Figure 1

25 pages, 12082 KB  
Article
Impacts of Open Spaces in Traditional Blocks on Human Thermal Comfort: Taking an Old Street in a Hot-Summer Cold-Winter Climate Region as an Example
by Yi-Pu Chen, Ran Hu, Komi Bernard Bedra and Qi-Meng Ning
Buildings 2026, 16(1), 136; https://doi.org/10.3390/buildings16010136 - 26 Dec 2025
Viewed by 232
Abstract
The microclimate of traditional blocks, a key component of urban fabric, directly affects the overall urban thermal environment. Creating a suitable microclimate is crucial for improving urban living quality. Field measurements, ENVI-met simulations, and the PET index were used to analyze the spatiotemporal [...] Read more.
The microclimate of traditional blocks, a key component of urban fabric, directly affects the overall urban thermal environment. Creating a suitable microclimate is crucial for improving urban living quality. Field measurements, ENVI-met simulations, and the PET index were used to analyze the spatiotemporal variations and core drivers of thermal comfort. Temporally, five open space types showed a unimodal “rise–stabilization–fall” PET curve, with peak heat stress occurring at 11:00–14:00. Courtyards heated fastest, but green spaces had the most stable thermal environment because trees provided shading and transpiration for gentle cooling. Spatially, thermal comfort varied significantly. For example, green spaces rich in trees performed best (PET 5–8 °C lower than pure grassland), while squares and courtyards faced severe midday heat stress (PET mostly moderate or above). Alley comfort depended on aspect ratio and orientation—north–south alleys with an aspect ratio > 2 were 2–3 °C cooler than open spaces, but east–west or narrower alleys (aspect ratio < 1.5) and low-enclosed courtyard control apply to southern Hunan’s hot-humid zone. However, the synergistic principles can be extended to similar southern regions, providing technical reference for traditional block livability and climate-resilient cities. Full article
(This article belongs to the Special Issue Advances in Urban Heat Island and Outdoor Thermal Comfort)
Show Figures

Figure 1

18 pages, 3688 KB  
Article
Assessing Artificial Shading and Evaporative Cooling for Enhanced Outdoor Thermal Comfort at the American University of Beirut
by Zahraa Diab, Hadi Kachmar and Nesreen Ghaddar
Sustainability 2025, 17(24), 11365; https://doi.org/10.3390/su172411365 - 18 Dec 2025
Viewed by 339
Abstract
Urban environments, particularly university campuses, are increasingly exposed to thermal discomfort due to the Urban Heat Island (UHI) effect and intense solar radiation. This study evaluates the effectiveness of passive and hybrid cooling strategies, specifically sun-sail shading and mist cooling, in enhancing outdoor [...] Read more.
Urban environments, particularly university campuses, are increasingly exposed to thermal discomfort due to the Urban Heat Island (UHI) effect and intense solar radiation. This study evaluates the effectiveness of passive and hybrid cooling strategies, specifically sun-sail shading and mist cooling, in enhancing outdoor thermal comfort (OTC) in a university courtyard. The Van Dyck courtyard at the American University of Beirut, located on the East Mediterranean coast, was selected due to its heavy use between 10 am and 2 pm during summer, when ambient temperatures ranged between 32 and 36 °C and relative humidity between 21 and 33%. Thermal variations across four seating areas were analyzed using ENVI-met, a high-resolution microscale model validated against on-site data, achieving Mean Absolute Percentage Errors of 4% for air temperature and 5.2% for relative humidity. Under baseline conditions, Physiological Equivalent Temperature (PET) exceeded 58 °C, indicating severe thermal stress. Several mitigation strategies were evaluated, including three shading configurations, two mist-cooling setups, and a combined system. Results showed that double-layer shading reduced PET by 17.1 °C, mist cooling by 1.2 °C, and the combined system by 20.7 °C. Shading minimized radiant heat gain, while mist cooling enhanced evaporative cooling, jointly bringing thermal sensations closer to slightly warm–comfortable conditions. These cooling interventions also have sustainability value by reducing dependence on mechanically cooled indoor spaces and lowering campus air-conditioning demand. As passive or low-energy measures, shading and mist cooling support climate-adaptive outdoor design in heat-stressed Mediterranean environments. Full article
Show Figures

Graphical abstract

25 pages, 6258 KB  
Article
Optimization of Thermal Comfort Evaluation for Elderly Individuals in Winter Urban Parks Based on Plant Elements Within Landscape Spaces—Taking Beijing Zizhuyuan and Taoranting Parks as Examples
by Yan Lu, Zirui Wang, Yiyang Li and Shuyi Yan
Land 2025, 14(12), 2440; https://doi.org/10.3390/land14122440 - 17 Dec 2025
Viewed by 396
Abstract
Against the backdrop of accelerating population aging, urban green spaces have become primary venues for elderly daily activities, with their winter thermal comfort emerging as a critical determinant of senior wellbeing. However, existing studies lack quantitative guidelines on how plant characteristics affect thermal [...] Read more.
Against the backdrop of accelerating population aging, urban green spaces have become primary venues for elderly daily activities, with their winter thermal comfort emerging as a critical determinant of senior wellbeing. However, existing studies lack quantitative guidelines on how plant characteristics affect thermal comfort, limiting age-friendly design. Thirty representative landscape space sites (waterfront, square, dense forest, and sparse forest) in Beijing’s Zizhuyuan and Taoranting Parks were analyzed through microclimate measurements, 716 questionnaires, and scoring evaluations, supplemented by PET field data and ENVI-met simulations. A scoring system was developed based on tree density, plant traits (height, crown spread), and spatial features (canopy closure, structure, enclosure, and evergreen coverage). Key findings: (1) Sparse forests showed the best overall thermal comfort. Square building spaces were objectively comfortable but subjectively poor, while waterfront spaces showed the opposite. Dense forests performed worst in both aspects. (2) Wind speed and humidity were key drivers of both subjective and objective thermal comfort, and differences in plant configurations and landscape space types shaped how these factors were perceived. (3) Differentiated optimal scoring thresholds exist across the four landscape space types: waterfront (74 points), square building (52 points), sparse forest (61 points), and dense forest (88 points). (4) The landscape space design prioritizes sparse forest spaces, with moderate retention of waterfront and square areas and a reduction in dense forest zones. Optimization should proceed by first controlling enclosure and shading, then adjusting canopy closure and evergreen ratio, and finally refining tree traits to improve winter thermal comfort for the elderly. This study provides quantitative evidence and optimization strategies for improving both subjective and objective thermal comfort under diverse plant configurations. Full article
Show Figures

Figure 1

21 pages, 7118 KB  
Article
The Cooling Effects of Greening Strategies Within High-Density Urban Built-Up Areas in Coastal Slope Terrain
by Ying Zhang, Xulan Li, Shiyu Liu, Zhike Liu and Yanhua Li
Sustainability 2025, 17(24), 11054; https://doi.org/10.3390/su172411054 - 10 Dec 2025
Viewed by 276
Abstract
The intensification of urban heat islands in high-density coastal slope areas poses significant challenges to sustainable development. From the perspective of sustainable urban design, this study investigates adaptive greening strategies to mitigate thermal stress, aiming to elucidate the key microclimate mechanisms under the [...] Read more.
The intensification of urban heat islands in high-density coastal slope areas poses significant challenges to sustainable development. From the perspective of sustainable urban design, this study investigates adaptive greening strategies to mitigate thermal stress, aiming to elucidate the key microclimate mechanisms under the combined influence of sea breezes and complex terrain to develop sustainable solutions that synergistically improve the thermal environment and energy efficiency. Combining field measurements with ENVI-met numerical simulations, this research systematically evaluates the thermal impacts of various greening strategies, including current conditions, lawns, shrubs, and tree configurations with different canopy coverages and leaf area indexes. During summer afternoon heat episodes, the highest temperatures within the building-dense sites were recorded in unshaded open areas, reaching 31.6 °C with a UTCI of 43.95 °C. While green shading provided some cooling, the contribution of natural ventilation was more significant (shrubs and lawns reduced temperatures by 0.23 °C and 0.15 °C on average, respectively, whereas various tree planting schemes yielded minimal reductions of only 0.012–0.015 °C). Consequently, this study proposes a climate-adaptive sustainable design paradigm: in areas aligned with the prevailing sea breeze, lower tree coverage should be maintained to create ventilation corridors that maximize passive cooling through natural wind resources; conversely, in densely built areas with continuous urban interfaces, higher tree coverage is essential to enhance shading and reduce solar radiant heat loads. Full article
Show Figures

Figure 1

23 pages, 7562 KB  
Article
Improvement of Vernacular Building Spaces for Human Thermal Comfort in Hot Arid Climate of Egypt
by Amr Sayed Hassan Abdallah, Uthman Abdullah Alamri, Randa Mohamed Ahmed Mahmoud and Mohamed Hssan Hassan Abdelhafez
Buildings 2025, 15(24), 4450; https://doi.org/10.3390/buildings15244450 - 9 Dec 2025
Viewed by 492
Abstract
Inner courtyards have been traditionally used as passive strategy in vernacular buildings in desert climates. This paper presents a study conducted to investigate indoor and outdoor thermal comfort of two vernacular buildings in the hot arid climate of Upper Egypt and proposes an [...] Read more.
Inner courtyards have been traditionally used as passive strategy in vernacular buildings in desert climates. This paper presents a study conducted to investigate indoor and outdoor thermal comfort of two vernacular buildings in the hot arid climate of Upper Egypt and proposes an improved solution for courtyards to achieve sustainable development of current vernacular houses and apply the same in the arid climate zone of Egypt. The thermal comfort of vernacular building spaces was evaluated based on using field measurements during the hot season and improvement for courtyards based on ENVI-met V5.6.1 simulation model using three scenarios. Two vernacular buildings (Hassan Fathy and Nubian house) were selected to represent the traditional buildings south of Egypt. The study found that using adobe bricks with high thermal mass in vernacular buildings maintained lower indoor temperature with a range of 2.7 °C to 6.7 °C compared to outdoor temperature; this is considered effective thermal insulation. Meanwhile under extreme hot conditions, courtyard temperature inside the vernacular house was 0.3 K higher than the outdoor. This is not sufficient to maintain indoor thermal comfort without integrating passive solutions inside courtyards. In addition, applying the hybrid solution with big dense trees in the courtyards achieved a significant reduction in PET ranging from 4.2 °C and 5.7 °C; shading the widest area of courtyards and allowing for family activities. The study provided techniques and methodology for the middle courtyard of vernacular buildings, demonstrating how improvement achieves thermal comfort and sustainable development required in the 21st century in Upper Egypt, and can be applied to other vernacular houses in different desert cities in southern Egypt. Full article
Show Figures

Figure 1

40 pages, 10216 KB  
Article
Blue–Green Infrastructure Strategies for Improvement of Outdoor Thermal Comfort in Post-Socialist High-Rise Residential Areas: A Case Study of Niš, Serbia
by Ivana Bogdanović Protić, Ljiljana Vasilevska and Nemanja Petrović
Sustainability 2025, 17(23), 10876; https://doi.org/10.3390/su172310876 - 4 Dec 2025
Viewed by 637
Abstract
Urban densification in post-socialist cities has drastically reduced open and green spaces in high-rise housing areas (HRHAs), intensifying heat stress and degrading outdoor thermal comfort (OTC). These neighborhoods—shaped by socialist-era planning and, later, market-led infill—combine high built density, low greenery, and limited ventilation, [...] Read more.
Urban densification in post-socialist cities has drastically reduced open and green spaces in high-rise housing areas (HRHAs), intensifying heat stress and degrading outdoor thermal comfort (OTC). These neighborhoods—shaped by socialist-era planning and, later, market-led infill—combine high built density, low greenery, and limited ventilation, making them critical testbeds for climate-adaptive regeneration. This study presents the first empirically validated ENVI-met assessment of blue–green infrastructure (BGI) performance in a post-socialist HRHA, using a representative courtyard in Niš, Serbia, during the 14 August 2024 heatwave. A 24 h field campaign (air temperature, humidity, wind speed, and mean radiant temperature) validated the model with high accuracy (R2 = 0.92, RMSE = 1.1 °C for air temperature; R2 = 0.88, RMSE = 3.5 K for Physiological Equivalent Temperature (PET). Four retrofit scenarios were simulated: S0 (existing), S1 (grass), S2 (grass + trees), and S3 (S2 + shallow pool). Across all scenarios, daytime PET indicated strong–extreme heat stress, peaking at 61.9 °C (16:00 h). The best configuration (S3) reduced PET by 2.68 °C (10:00 h) but <1 °C at peak hours, with acceptable comfort limited to 04:00–07:00 h. The results confirm that small-scale surface-level greening provides negligible thermal relief under a dense HRHA morphology. Urban morphological reform—optimizing height, spacing, ventilation, and integrated greening—is more effective for heat mitigation. Future work should include multi-seasonal field monitoring and human thermal-perception surveys to link microclimate improvement with exposure and health risk. Full article
(This article belongs to the Special Issue A Systems Approach to Urban Greenspace System and Climate Change)
Show Figures

Figure 1

44 pages, 7311 KB  
Article
Digital Twin–Based Simulation and Decision-Making Framework for the Renewal Design of Urban Industrial Heritage Buildings and Environments: A Case Study of the Xi’an Old Steel Plant Industrial Park
by Yian Zhao, Kangxing Li and Weiping Zhang
Buildings 2025, 15(23), 4367; https://doi.org/10.3390/buildings15234367 - 2 Dec 2025
Viewed by 1076
Abstract
In response to the coexistence of multi-objective conflicts and environmental complexity in the renewal of contemporary urban industrial heritage, this study develops a simulation and decision-making methodology for architectural and environmental renewal based on a digital twin framework. Using the Xi’an Old Steel [...] Read more.
In response to the coexistence of multi-objective conflicts and environmental complexity in the renewal of contemporary urban industrial heritage, this study develops a simulation and decision-making methodology for architectural and environmental renewal based on a digital twin framework. Using the Xi’an Old Steel Plant Industrial Heritage Park as a case study, a community-scale digital twin model integrating multiple dimensions—architecture, environment, population, and energy systems—was constructed to enable dynamic integration of multi-source data and cross-scale response analysis. The proposed methodology comprises four core components: (1) integration of multi-source baseline datasets—including typical meteorological year data, industry standards, and open geospatial information—through BIM, GIS, and parametric modeling, to establish a unified data environment for methodological validation; (2) development of a high-performance dynamic simulation system integrating ENVI-met for microclimate and thermal comfort modeling, EnergyPlus for building energy and carbon emission assessment, and AnyLogic for multi-agent spatial behavior simulation; (3) establishment of a comprehensive performance evaluation model based on Multi-Criteria Decision Analysis (MCDA) and the Analytic Hierarchy Process (AHP); (4) implementation of a visual interactive platform for design feedback and scheme optimization. The results demonstrate that under parameter-calibrated simulation conditions, the digital twin system accurately reflects environmental variations and crowd behavioral dynamics within the industrial heritage site. Under the optimized renewal scheme, the annual carbon emissions of the park decrease relative to the baseline scenario, while the Universal Thermal Climate Index (UTCI) and spatial vitality index both show significant improvement. The findings confirm that digital twin-driven design interventions can substantially enhance environmental performance, energy efficiency, and social vitality in industrial heritage renewal. This approach marks a shift from experience-driven to evidence-based design, providing a replicable technological pathway and decision-support framework for the intelligent, adaptive, and sustainable renewal of post-industrial urban spaces. The digital twin framework proposed in this study establishes a validated paradigm for model coupling and decision-making processes, laying a methodological foundation for future integration of comprehensive real-world data and dynamic precision mapping. Full article
(This article belongs to the Section Architectural Design, Urban Science, and Real Estate)
Show Figures

Figure 1

2 pages, 129 KB  
Abstract
Assessing Artificial Shading and Evaporative Cooling for Enhanced Outdoor Thermal Comfort at the American University of Beirut
by Zahraa Abdullah Diab, Hadi Hasan Kachmar and Nessreen Ghaddar
Proceedings 2025, 131(1), 45; https://doi.org/10.3390/proceedings2025131045 - 25 Nov 2025
Viewed by 222
Abstract
Urban environments, especially university campuses, are increasingly exposed to thermal discomfort due to the Urban Heat Island (UHI) effect and extensive solar radiation [...] Full article
(This article belongs to the Proceedings of The 11th World Sustainability Forum (WSF11))
24 pages, 7853 KB  
Article
Designing for Cooler Street: Case Study of Van City
by Nursevil Yuca, Şevket Alp, Sevgi Yilmaz, Elmira Jamei and Adeb Qaid
Land 2025, 14(12), 2313; https://doi.org/10.3390/land14122313 - 25 Nov 2025
Viewed by 613
Abstract
In the context of global climate change and rapid urbanization, the Urban Heat Island (UHI) effect has become a pressing environmental and public health concern, particularly in semiarid regions. This study evaluates the microclimatic performance of various urban design strategies aimed at enhancing [...] Read more.
In the context of global climate change and rapid urbanization, the Urban Heat Island (UHI) effect has become a pressing environmental and public health concern, particularly in semiarid regions. This study evaluates the microclimatic performance of various urban design strategies aimed at enhancing thermal comfort along a densely built-up street in Van, a medium-sized city located in Turkey’s semiarid climate zone. Using ENVI-met 5.7.2, nine alternative scenarios were simulated, incorporating different configurations of vegetation cover (0%, 25%, 50%, 75%), ground surface materials, and green roof applications (0%, 25%, 50%, 75%). Physiological Equivalent Temperature (PET) and other thermal comfort indicators were assessed at multiple time intervals on the hottest summer day. Results indicate that increasing vegetation cover substantially reduces PET values, with a maximum reduction of 3.0 °C observed in the 75% vegetation scenario. While the scenario with no vegetation but light-colored pavements achieved a 1.8 °C reduction in air temperature at 2:00 p.m., the maximum PET value remained unchanged. Conversely, using dark-colored asphalt decreased the average air temperature by 1 °C and improved the thermal comfort level by reducing the PET by 0.4 °C compared to a non-vegetated scenario. The scenario with the highest overall greenery led to a 2.9 °C drop in air temperature and a 12.8 °C reduction in average PET at 2:00 p.m. compared to other scenarios. The study provides evidence-based recommendations for human-centered urban planning and advocates for the integration of microclimate simulation tools in the early stages of urban development. Full article
(This article belongs to the Special Issue Morphological and Climatic Adaptations for Sustainable City Living)
Show Figures

Figure 1

27 pages, 5944 KB  
Article
Street Canyon Microclimate Effect on Thermal Comfort at Entrances and Exits of Underground Commercial Streets: Measured and ENVI-Met Simulation
by Dongqing Zhong, Yancui Gao, Lingxiang Wei, Xingqing Gu, Tian Li, Jingnan Xu, Lei Yao and Ziye Liu
Buildings 2025, 15(22), 4147; https://doi.org/10.3390/buildings15224147 - 18 Nov 2025
Viewed by 997
Abstract
In response to the demand for high-density urban renewal and quality enhancement, the microclimate of street canyon spaces has become a critical factor influencing pedestrian experience and public space vitality. As key nodes connecting above-ground and underground spaces, the entrances and exits of [...] Read more.
In response to the demand for high-density urban renewal and quality enhancement, the microclimate of street canyon spaces has become a critical factor influencing pedestrian experience and public space vitality. As key nodes connecting above-ground and underground spaces, the entrances and exits of underground commercial streets are particularly sensitive to temperature, humidity, and wind conditions. This study examined a semi-open street canyon adjacent to Entrance No. 11 of the Jianjun Road Underground Commercial Street in Yancheng City as a case study. Through continuous field measurements and numerical simulations using ENVI-met v5.5.1, we conducted a comprehensive analysis. Five monitoring points were established at a height of 1.5 m to simultaneously record the air temperature, relative humidity, wind speed, and thermal radiation images. The results indicate that ventilation acceleration zones form near openings and channel constrictions, whereas leeward sides and corners are prone to stagnant airflow and heat accumulation. During afternoon periods with strong solar radiation and low wind speeds, the predicted mean vote (PMV) values near the entrance increased significantly. The simulation results were in good agreement with the field observations in terms of both the trend and spatial distribution. On the basis of these findings, optimization strategies are proposed including controlling enclosure ratios and local height-to-width ratios, utilizing ventilation corridors and side openings to guide airflow, and incorporating shading devices and low-emissivity materials to improve pedestrian thermal comfort and accessibility. Full article
(This article belongs to the Special Issue Built Environment and Thermal Comfort)
Show Figures

Figure 1

20 pages, 7968 KB  
Article
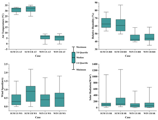
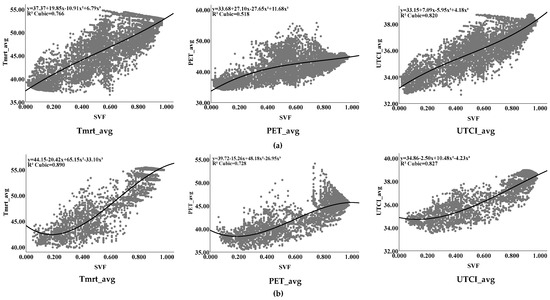
Impact of Sky View Factor on Seasonal Microclimate and Thermal Comfort Variability Across Urban Campus Streets and Buildings
by Zhengyang Yao, Penghui Wang, Yunxi Tian, Yichuan Zhang, Qingjiao Zhang, Xiaobing Wang, Ping Wang and Qisheng Han
Buildings 2025, 15(22), 4121; https://doi.org/10.3390/buildings15224121 - 15 Nov 2025
Viewed by 641
Abstract
University campuses feature spatially diverse environments where thermal performance varies seasonally and spatially. In this study, we integrate field measurements with ENVI-met simulations to evaluate how sky view factor (SVF) influences microclimate and outdoor thermal comfort-quantified via air temperature (Ta), mean radiant temperature [...] Read more.
University campuses feature spatially diverse environments where thermal performance varies seasonally and spatially. In this study, we integrate field measurements with ENVI-met simulations to evaluate how sky view factor (SVF) influences microclimate and outdoor thermal comfort-quantified via air temperature (Ta), mean radiant temperature (Tmrt), wind speed (WS), relative humidity (RH), physiologically equivalent temperature (PET), and the Universal Thermal Climate Index (UTCI)-within urban street and urban building spaces on a temperate Chinese campus. The results reveal contrasting thermal responses: in summer, low-SVF urban street spaces (SVF_avg 0.075) exhibit moderate heat stress (PET_avg 34.5–39.5 °C) due to radiative trapping and limited ventilation, whereas high-SVF urban building spaces (SVF_avg 0.159) face greater heat load and stronger thermal stress, with peak PET exceeding 49.9 °C. In winter, high-SVF urban building spaces benefit from solar gain, improving thermal comfort. Statistical analyses indicate non-linear threshold effects of SVF on comfort indices, with summer comfort positively correlated at SVF > 0.2, and winter comfort negatively associated at SVF ≤ 0.4. These findings identify SVF as a key geometric predictor of seasonal thermal comfort in distinct campus spatial types, provide quantitative thresholds to guide climate-resilient campus planning in warm temperate zone. Full article
Show Figures

Figure 1

Back to TopTop