Optimization of Thermal Comfort Evaluation for Elderly Individuals in Winter Urban Parks Based on Plant Elements Within Landscape Spaces—Taking Beijing Zizhuyuan and Taoranting Parks as Examples
Abstract
1. Introduction
2. Methods
2.1. Study Area
2.2. Data Acquisition
2.2.1. Meteorological Measurement
2.2.2. Questionnaire Investigation
2.2.3. Plant Community Space Observation
2.2.4. Thermal Comfort Index
2.3. Establishment of Evaluation System
2.3.1. Selection Criteria
2.3.2. Scoring System
3. Results
3.1. Meteorological Measurement
3.2. Respondents
3.3. Defining Plant Community Space with Structure Features
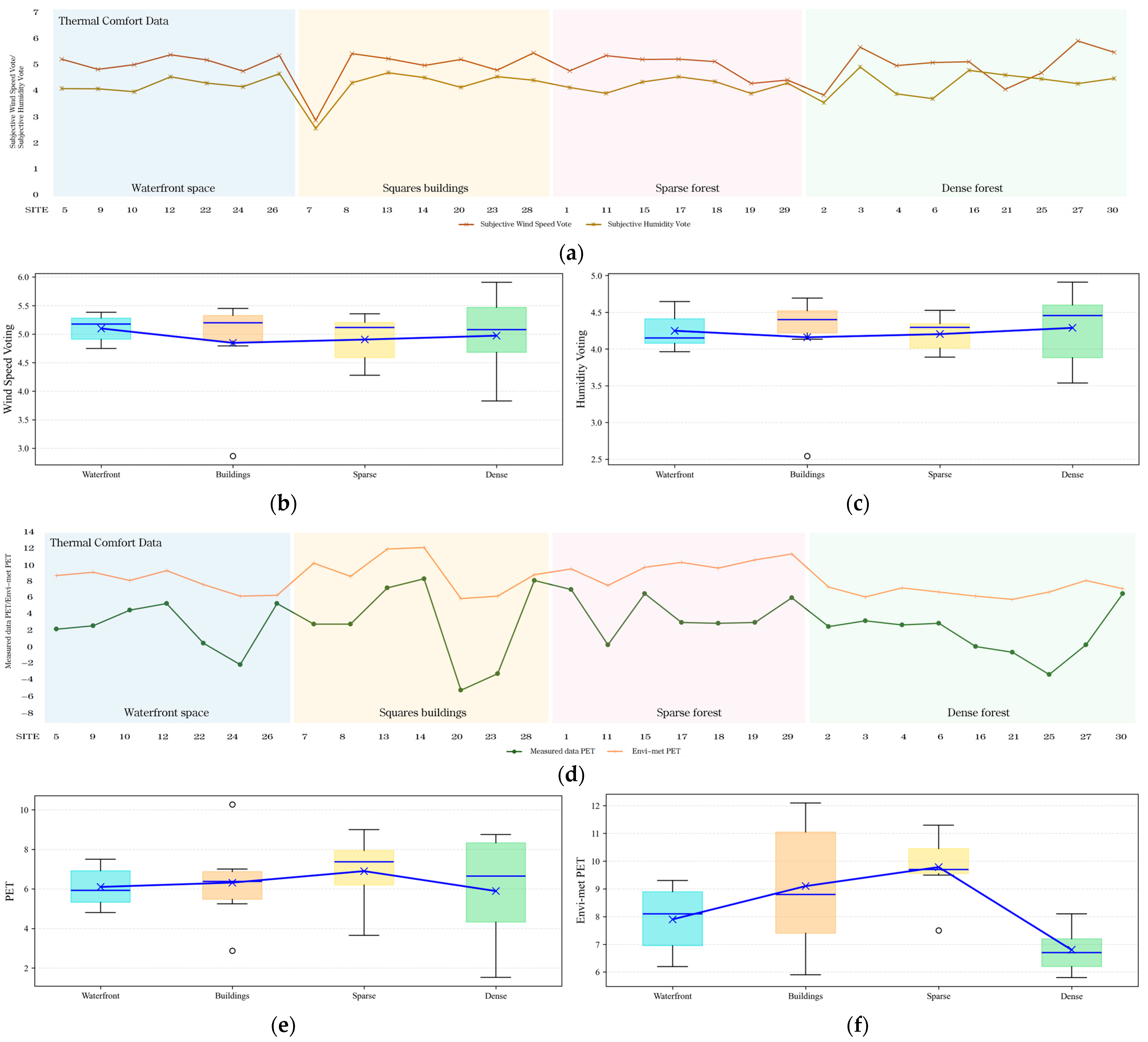
3.4. Outdoor Thermal Comfort Investigation in Different Spaces
3.4.1. PET Investigation in Different Spaces
3.4.2. Thermal Comfort Voting Investigation in Different Spaces
4. Discussion
4.1. Evaluation of the Thermal Comfort of the Space
4.1.1. Overall Thermal Comfort Performance
4.1.2. Envi-Met Indications
4.1.3. Plant Height and Crown Diameters
4.1.4. Wind and Humidity
4.2. Thermal Comfort Optimization of the Space
4.2.1. Choice of Different Types of Landscape Space
4.2.2. Optimization by Different Elements
4.2.3. Optimization by Different Elements
- (1)
- Assessment of correlation trends: Pearson correlation coefficients (r) between the scoring values and the thermal comfort indicators TSV, TCV and TAV were first calculated. The direction and magnitude of r were used to determine the general trend of thermal comfort as scores increase, thereby identifying potential positive or negative associations.
- (2)
- Identification of the extremum in quadratic regression models: For each landscape type, a quadratic regression model was constructed between the scoring values and the thermal comfort indicators. The vertex of the model was taken as the theoretical point at which thermal comfort reaches its optimum within the corresponding score range. This extremum reflects the optimal or least favorable comfort tendency associated with score variation and serves as a key mathematical basis for determining the threshold. When the computed optimal score contained decimals, it was rounded to the nearest integer to maintain consistency with the integer-based scoring system.
- (3)
- Constraint based on the TSV = 4 (optimal thermal sensation): Since TSV = 4 represents the commonly accepted “optimal thermal sensation” under winter conditions, only the samples falling within the acceptable comfort interval (TSV ≈ 3–5) were considered as valid candidates for threshold determination. For TCV and TAV, the judgment followed their physical meaning, in which higher values indicate better subjective thermal comfort.
- (4)
- Restriction by the actual distribution of observed scores: To ensure that the resulting thresholds remain applicable and meaningful, the final thresholds were confined to the intersection between the model-derived vertex and the actual distribution range of observed scores within each landscape type. This avoids identifying theoretical optimal values that fall outside the empirical score range.
- Distinguish spatial types of plant communities.
- Conduct corresponding scoring.
- Compare assigned scores with target optimal scores:
- Qualified points: 0 ≤ absolute difference from optimal score ≤ 3
- Points requiring optimization: absolute difference from optimal score > 3
- Utilize scoring to quantify Excel spreadsheets and optimize site design in conjunction with CAD floor plans:
- Holistic approach: Macro-level control of crown density, enclosure ratio of planting/activity areas, and evergreen coverage across communities;
- Harmonize individual characteristics to meet site qualification standards (±3);
5. Conclusions
- SPLS offers optimal thermal comfort in both objective and subjective terms. SBLS provides good objective thermal comfort but poor subjective experience, while WFLS delivers better subjective experience but poorer objective comfort. DFLS performs poorly in both aspects.
- Wind speed and humidity significantly influence seniors’ subjective and objective thermal comfort. However, differing plant compositions across landscape types create variations in perceived wind speed and humidity, thereby affecting seniors’ thermal comfort perception.
- Each space type exhibits distinct optimal scoring thresholds: WFLS (74 points), SBLS (52 points), SFLS (61 points), and DFLS (88 points). This result means that differentiated optimal scoring thresholds across landscape types reveal that thermal comfort cannot be generalized through uniform design criteria. Winter plant configuration guidelines require landscape-type-specific calibration.
- Based on evaluation results and the scoring system, design guidelines for optimizing plant elements within landscape spaces are proposed. Designing sparse forest landscapes should be prioritized while reserving adequate WFLS and SBLS and reducing the number of DFLS. Considering the park’s ecology, it is recommended that the aforementioned design guidelines be applied in areas frequently used by the elderly to ensure their thermal comfort. Other areas should undergo planning for different scales and functions. Within each landscape space, first, the plant enclosure and shading conditions should be controlled; then, canopy closure and evergreen coverage should be regulated; and finally, individual plant characteristics should be coordinated to enhance winter thermal comfort for elderly people.
6. Limitations and Future Research Directions
- (1)
- First, although the selected parks effectively reflect the winter activity characteristics of older adults in Beijing, additional parks with high concentrations of elderly users should be included in future studies to further validate and strengthen the generalizability of the findings.
- (2)
- Second, the study area should be extended beyond Beijing to cover larger regions, such as the broader North China area (e.g., Beijing–Tianjin–Hebei, the North China Plain), as well as other climatic zones in China and even around the world. Differences in winter climate conditions and vegetation composition may influence thermal comfort perceptions among older adults, making cross-regional comparative studies both meaningful and necessary.
- (3)
- Furthermore, although reliability and validity analyses confirmed the effectiveness of the questionnaire data, the overall sample size remains relatively limited. Since thermal comfort votes such as TSV, TCV, and TAV are highly subjective, some correlations did not reach statistical significance. Increasing the number of survey responses in future work will help improve statistical power and enhance the robustness of the results.
- (4)
- Lastly, the microclimate and thermal comfort measurements in this study were based on data collected during a single winter season. Future studies should incorporate multi-year and multi-period measurements to more comprehensively capture the mechanisms through which plant element characteristics influence the thermal comfort perceptions of older adults, thereby improving the stability and applicability of the model.
Supplementary Materials
Author Contributions
Funding
Institutional Review Board Statement
Data Availability Statement
Acknowledgments
Conflicts of Interest
References
- Yang, S.; Tu, J.; Zhang, L.; Wu, L.; Huang, H. Exploration of the Change of Aging Degree and Its Inflection Point Age of Residents in Some Communities in Jiangxi. Chin. J. Dis. Control Prev. 2023, 27, 1435–1441. [Google Scholar] [CrossRef]
- Xu, Q.; Shen, J.; Shi, R.; Xue, J. Risk Assessment and Analysis of Ischemic Cardiovascular Disease in Middle-Aged Community Populations. Chin. J. Gen. Med. 2015, 18, 2894–2902. [Google Scholar]
- Miao, Q.; Zheng, S.; Luo, Y.; Wang, M.; Zhu, W.; Shi, Q.; Bai, Y. Risk and Influencing Factors of Hypertension in Jinchang Cohort Population. Chin. J. Hypertens. 2020, 28, 953–959. [Google Scholar] [CrossRef]
- Xinhua News Agency. Decision of the Central Committee of the Communist Party of China on Further Comprehensively Deepening Reform and Advancing Chinese Modernization. People’s Government of the People’s Republic of China. 2025. Available online: https://www.gov.cn/zhengce/202407/content_6963770.htm (accessed on 10 June 2025).
- Xinhua News Agency. The Central Urban Work Conference Was Held in Beijing, Where Xi Jinping Delivered an Important Speech. People’s Government of the People’s Republic of China. 2025. Available online: https://www.gov.cn/yaowen/liebiao/202507/content_7032083.htm (accessed on 11 December 2025).
- Zhou, P.; Song, D.; Zhang, C. Visualization Analysis and Optimization Strategy of Thermal Landscape in Retrofitted Elderly Care Buildings: A Case Study in Shanghai. Indoor Built Environ. 2024, 34, 477–496. [Google Scholar] [CrossRef]
- Jin, H.; Wang, B.; Han, B. Study on Environment Regulation of Residential in Severe Cold Area of China in Winter: Base on Outdoor Thermal Comfort of the Elderly. Sustainability 2019, 11, 6509. [Google Scholar] [CrossRef]
- Wu, Y.; Zhang, Z.; Liu, H.; Li, B.; Chen, B.; Kosonen, R.; Jokisalo, J. Age Differences in Thermal Comfort and Physiological Responses in Thermal Environments with Temperature Ramp. Build. Environ. 2023, 228, 109887. [Google Scholar] [CrossRef]
- Ji, T.; Zhang, T.; Fukuda, H. Thermal Comfort Research on the Rural Elderly in the Guanzhong Region: A Comparative Analysis Based on Age Stratification of Residential Environments. Sustainability 2024, 16, 6101. [Google Scholar] [CrossRef]
- Lam, C.K.C.; Pan, H.; Nie, W.; Li, X.; Wu, J.; Yin, Z.; Han, J. Effects of Perceived Environmental Quality and Psychological Status on Outdoor Thermal Comfort: A Panel Study in Southern China. Sustain. Cities Soc. 2024, 112, 105578. [Google Scholar] [CrossRef]
- Luo, M.; Cao, B.; Ji, W.; Ouyang, Q.; Lin, B.; Zhu, Y. The Underlying Linkage between Personal Control and Thermal Comfort: Psychological or Physical Effects? Energy Build. 2016, 111, 56–63. [Google Scholar] [CrossRef]
- He, L.; Pan, R.; Huang, Y. Study on the Correlation between Microclimate in Urban Parks and Activity Behavior of the Elderly: A Case of Luolong Park in Kunming. Urban Archit. 2020, 17, 121–126. [Google Scholar]
- Jin, H.; Qiao, L.; Cui, P. Research on Winter Thermal Comfort of Campus in Severe Cold Regions Based on Outdoor Activities. Build. Sci. 2021, 37, 87–103. [Google Scholar] [CrossRef]
- Santos Nouri, A.; Costa, J.P.; Santamouris, M.; Kolokotsa, D. Approaches to Outdoor Thermal Comfort Thresholds through Public Space Design: A Review. Atmosphere 2018, 9, 108. [Google Scholar] [CrossRef]
- Zhao, Q.; Lian, Z.; Lai, D. Thermal Comfort Models and Their Developments: A Review. Energy Built Environ. 2021, 2, 21–33. [Google Scholar] [CrossRef]
- Jamei, E.; Rajagopalan, P.; Seyedmahmoudian, M.; Jamei, Y. Review on the Impact of Urban Geometry and Pedestrian Level Greening on Outdoor Thermal Comfort. Renew. Sustain. Energy Rev. 2016, 54, 1002–1017. [Google Scholar] [CrossRef]
- Taleghani, M. Outdoor Thermal Comfort by Different Heat Mitigation Strategies—A Review. Renew. Sustain. Energy Rev. 2018, 81, 2011–2018. [Google Scholar] [CrossRef]
- Lin, J.; Brown, R.D. Integrating Microclimate into Landscape Architecture for Outdoor Thermal Comfort: A Systematic Review. Land 2021, 10, 196. [Google Scholar] [CrossRef]
- Hao, T.; Zhao, Q.; Huang, J. Optimization of tree locations to reduce human heat stress in an urban park. Urban For. Urban Green. 2023, 86, 128017. [Google Scholar] [CrossRef]
- Jiang, Y.; Li, C.; Li, X.; Li, X.; Song, T.; Liu, Y. Exploring the adaptive spatial patterns and impact factors for the cooling effect of park green spaces in riverfront area. Urban Clim. 2024, 55, 101900. [Google Scholar] [CrossRef]
- Xiao, J.; Yuizono, T.; Li, R. Synergistic Landscape Design Strategies to Renew Thermal Environment: A Case Study of a Cfa-Climate Urban Community in Central Komatsu City, Japan. Sustainability 2024, 16, 5582. [Google Scholar] [CrossRef]
- Srivanit, M.; Hokao, K. Evaluating the cooling effects of greening for improving the outdoor thermal environment at an institutional campus in the summer. Build. Environ. 2013, 66, 158–172. [Google Scholar] [CrossRef]
- Xiao, Q.; Fan, X.; Guo, Y.; Li, S.; He, W.; Deng, Y.; Xiao, Z.; Wang, P.; Wu, C. Tree form characteristics as criteria for tree species selection to improve pedestrian thermal comfort in street canyons: Case study of a humid subtropical city. Sustain. Cities Soc. 2024, 105, 105339. [Google Scholar] [CrossRef]
- Gomaa, M.M.; El Menshawy, A.; Nabil, J.; Ragab, A. Investigating the Impact of Various Vegetation Scenarios on Outdoor Thermal Comfort in Low-Density Residential Areas of Hot Arid Regions. Sustainability 2024, 16, 3995. [Google Scholar] [CrossRef]
- Wang, L.; Chen, T.; Yu, Y.; Wang, L.; Zang, H.; Cang, Y.; Zhang, Y.; Ma, X. Impacts of Vegetation Ratio, Street Orientation, and Aspect Ratio on Thermal Comfort and Building Carbon Emissions in Cold Zones: A Case Study of Tianjin. Land 2024, 13, 1275. [Google Scholar] [CrossRef]
- Liu, Z.; Li, J.; Xi, T. A Review of Thermal Comfort Evaluation and Improvement in Urban Outdoor Spaces. Buildings 2023, 13, 3050. [Google Scholar] [CrossRef]
- Lai, D.; Lian, Z.; Liu, W.; Guo, C.; Liu, W.; Liu, K.; Chen, Q. A comprehensive review of thermal comfort studies in urban open spaces. Sci. Total Environ. 2020, 742, 140092. [Google Scholar] [CrossRef]
- Mandić, L.; Đjukić, A.; Marić, J.; Mitrović, B. A Systematic Review of Outdoor Thermal Comfort Studies for the Urban (Re)Design of City Squares. Sustainability 2024, 16, 4920. [Google Scholar] [CrossRef]
- Shooshtarian, S.; Lam, C.K.C.; Kenawy, I. Outdoor thermal comfort assessment: A review on thermal comfort research in Australia. Build. Environ. 2020, 177, 106917. [Google Scholar] [CrossRef]
- Elnabawi, M.H.; Hamza, N. Review on Gaps and Challenges in Prediction Outdoor Thermal Comfort Indices: Leveraging Industry 4.0 and ‘Knowledge Translation’. Buildings 2024, 14, 879. [Google Scholar] [CrossRef]
- Ma, T.; Zhang, J. Integrating thermal perception and public space use—An experimental outdoor comfort study in cold winter-hot summer zone: Beijing, China. Urban Clim. 2024, 58, 102138. [Google Scholar] [CrossRef]
- Wu, Z.; Wagner, A. Thermal comfort of students in naturally ventilated secondary schools in countryside of hot summer cold winter zone, China. Energy Build. 2024, 305, 113891. [Google Scholar] [CrossRef]
- Jiang, J.; Pan, W.; Zhang, R.; Hong, Y.; Wang, J. Thermal comfort study of urban waterfront spaces in cold regions: Waterfront skyline control based on thermal comfort objectives. Build. Environ. 2024, 256, 111515. [Google Scholar] [CrossRef]
- Han, Q.; Nan, X.; Wang, H.; Hu, Y.; Bao, Z.; Yan, H. Optimizing the Surrounding Building Configuration to Improve the Cooling Ability of Urban Parks on Surrounding Neighborhoods. Atmosphere 2023, 14, 914. [Google Scholar] [CrossRef]
- Xu, M.; Hong, B.; Jiang, R.; An, L.; Zhang, T. Outdoor thermal comfort of shaded spaces in an urban park in the cold region of China. Build. Environ. 2019, 155, 408–420. [Google Scholar] [CrossRef]
- Chun, B.; Guldmann, J.-M. Impact of Greening on the Urban Heat Island: Seasonal Variations and Mitigation Strategies. Comput. Environ. Urban Syst. 2018, 71, 165–176. [Google Scholar] [CrossRef]
- Chen, D.; Zhang, F.; Zhang, M.; Meng, Q.; Jim, C.Y.; Shi, J.; Tan, M.L.; Ma, X. Landscape and Vegetation Traits of Urban Green Space Can Predict Local Surface Temperature. Sci. Total Environ. 2022, 825, 154006. [Google Scholar] [CrossRef]
- Chen, J.; Zhan, W.; Jin, S.; Han, W.; Du, P.; Xia, J.; Lai, J.; Li, J.; Liu, Z.; Li, L.; et al. Separate and Combined Impacts of Building and Tree on Urban Thermal Environment from Two- and Three-Dimensional Perspectives. Build. Environ. 2021, 194, 107650. [Google Scholar] [CrossRef]
- Zhou, S.-Q.; Yu, Z.-W.; Ma, W.-Y.; Yao, X.-H.; Xiong, J.-Q.; Ma, W.-J.; Xiang, S.-Y.; Yuan, Q.; Hao, Y.-Y.; Xu, D.-F.; et al. Vertical Canopy Structure Dominates Cooling and Thermal Comfort of Urban Pocket Parks during Hot Summer Days. Landsc. Urban Plan. 2025, 254, 105242. [Google Scholar] [CrossRef]
- Cao, B.; Luo, M.; Li, M.; Zhu, Y. Too cold or too warm? A winter thermal comfort study in different climate zones in China. Energy Build. 2016, 133, 469–477. [Google Scholar] [CrossRef]
- Lai, D.; Guo, D.; Hou, Y.; Lin, C.; Chen, Q. Studies of outdoor thermal comfort in northern China. Build. Environ. 2014, 77, 110–118. [Google Scholar] [CrossRef]
- Qi, L.; Li, T.; Chang, B.; Xiong, W. Research on Thermal Comfort Evaluation and Optimization of Green Space in Beijing Dashilar Historic District. Buildings 2024, 14, 3121. [Google Scholar] [CrossRef]
- Wang, K.; Fang, X.; Ma, Y.; Xue, S.; Yin, S. Assessing Effects of Urban Greenery on the Regulation Mechanism of Microclimate and Outdoor Thermal Comfort during Winter in China’s Cold Region. Land 2022, 11, 1442. [Google Scholar] [CrossRef]
- Wang, Q.; Liu, S.; Qian, J. A Simulation Approach to Assessing Vegetation Configuration Effects on Thermal Comfort in Cold Region Pocket Parks. Sci. Rep. 2025, 15, 28809. [Google Scholar] [CrossRef] [PubMed]
- Peel, M.C.; Finlayson, B.L.; McMahon, T.A. Updated world map of the Köppen-Geiger climate classification. Hydrol. Earth Syst. Sci. 2007, 11, 1633–1644. [Google Scholar] [CrossRef]
- Beijing Association for the Aged. Report on the Development of Elderly Care Services in Beijing (2024). Beijing Municipal Civil Affairs Bureau. 2025. Available online: https://mzj.beijing.gov.cn/art/2025/9/17/art_4490_746228.html (accessed on 10 June 2025).
- Chinese Meteorological Administration. Cold Wave Warning Issued for Multiple Regions. CMA Official Website. Available online: https://www.cma.gov.cn/2011xwzx/2011xmtjj/202411/t20241112_6688112.html (accessed on 10 June 2025).
- Mao, H.; Yu, H.; Tang, Y.; Weng, Q.; Zhang, K. Age differences in thermal comfort and sensitivity under contact local body cooling. Build. Environ. 2025, 268, 112355. [Google Scholar] [CrossRef]
- Chen, M.; Younes, J.; Velashjerdi Farahani, A.; Kilpeläinen, S.; Kosonen, R.; Ghaddar, N.; Melikov, A.K. Local thermal response differences due to sex and BMI among older adults in warm environments. Build. Environ. 2025, 282, 113275. [Google Scholar] [CrossRef]
- Qin, H.; Ma, Y.; Niu, J.; Huo, J.; Wei, X.; Yan, J.; Han, G. Investigating differences of outdoor thermal comfort for the elderly among genders across seasons: A case study in Chongqing, China. Urban Clim. 2025, 61, 102398. [Google Scholar] [CrossRef]
- Qin, Z.; Lu, B.; Jing, W.; Yin, Y.; Zhang, L.; Wang, X.; Luo, W.; Zhang, J.; Qiu, J.; Dong, Y. Creating comfortable outdoor environments: Understanding the intricate relationship between sound, humidity, and thermal comfort. Urban Clim. 2024, 55, 101967. [Google Scholar] [CrossRef]
- Nafiz, M.; Zaki, S.A.; Nadarajah, P.D.; Singh, M.K. Influence of psychological and personal factors on predicting individual’s thermal comfort in an office building using linear estimation and machine learning model. Adv. Build. Energy Res. 2024, 18, 105–125. [Google Scholar] [CrossRef]
- Liu, K.; Lian, Z.; Dai, X.; Lai, D. Comparing the effects of sun and wind on outdoor thermal comfort: A case study based on longitudinal subject tests in cold climate region. Sci. Total Environ. 2022, 825, 154009. [Google Scholar] [CrossRef]
- Rupp, R.F.; Vásquez, N.G.; Lamberts, R. A Review of Human Thermal Comfort in the Built Environment. Energy Build. 2015, 105, 178–205. [Google Scholar] [CrossRef]
- Potchter, O.; Cohen, P.; Lin, T.-P.; Matzarakis, A. Outdoor human thermal perception in various climates: A comprehensive review of approaches, methods and quantification. Sci. Total Environ. 2018, 631–632, 390–406. [Google Scholar] [CrossRef]
- Epstein, Y.; Moran, D.S. Thermal comfort and the heat stress indices. Ind. Health 2006, 44, 388–398. [Google Scholar] [CrossRef]
- Bröde, P.; Fiala, D.; Błażejczyk, K.; Havenith, G.; Epstein, Y.; Psikuta, A.; Kuklane, K. Deriving the operational procedure for the Universal Thermal Climate Index (UTCI). Int. J. Biometeorol. 2012, 56, 481–494. [Google Scholar] [CrossRef]
- Lai, D.; Liu, W.; Gan, T.; Liu, K.; Chen, Q. A review of mitigating strategies to improve the thermal environment and thermal comfort in urban outdoor spaces. Sci. Total Environ. 2019, 661, 337–353. [Google Scholar] [CrossRef] [PubMed]
- Binarti, F.; Koerniawan, M.D.; Triyadi, S.; Utami, S.S.; Matzarakis, A. A review of outdoor thermal comfort indices and neutral ranges for hot-humid regions. Urban Clim. 2020, 31, 100531. [Google Scholar] [CrossRef]
- Taleghani, M.; Kleerekoper, L.; Tenpierik, M.; van den Dobbelsteen, A. Outdoor thermal comfort within five different urban forms in the Netherlands. Build. Environ. 2015, 83, 65–78. [Google Scholar] [CrossRef]
- Lin, T.-P.; Matzarakis, A.; Hwang, R.-L. Shading effect on long-term outdoor thermal comfort. Build. Environ. 2010, 45, 213–221. [Google Scholar] [CrossRef]
- Hwang, R.-L.; Lin, T.-P.; Matzarakis, A. Seasonal effects of urban street shading on long-term outdoor thermal comfort. Build. Environ. 2011, 46, 863–870. [Google Scholar] [CrossRef]
- Zhou, J. Visual Landscape Study of Plant Communities in Hangzhou West Lake Huanhu Park. Master’s Thesis, Zhejiang A&F University, Hangzhou, China, 2024. [Google Scholar] [CrossRef]
- Jiang, Y. Characteristics and Optimization of Plant Community Structure of Woody Summer Flowers in Urban Green Space in Shanghai. Master’s Thesis, Central South University of Forestry and Technology, Changsha, China, 2022. [Google Scholar] [CrossRef]
- Pan, J.; Shi, C.; Huang, T.; Zhu, D. Spatial Differences in Human Body Thermal Comfort in Green Space in Beijing Olympic Forest Park. Landsc. Archit. 2023, 30, 114–120. [Google Scholar]
- Hong, B.; Hu, L.H.; Qu, Y.J. Numerical Simulation Studies of Plant Communities’ Effects on Outdoor Wind Environment in Residential District. Adv. Mater. Res. 2012, 610–613, 1218–1222. [Google Scholar] [CrossRef]
- Li, T.; Gao, Q.; Sun, M.; Liu, X.; Jia, Y. Effect of evergreen tree planting patterns on the winter microclimate and thermal comfort in residential areas: A study in Tai’an. Urban Clim. 2025, 61, 102458. [Google Scholar] [CrossRef]
- Riaz, H.; Arif, S.; Yousuf, S.; Bashir, M.N.; Ali, M.M.; Badruddin, I.A. Thermal comfort model for classrooms using occupant-centered approach. Case Stud. Therm. Eng. 2025, 73, 106589. [Google Scholar] [CrossRef]
- Li, Z.; Fan, Z.; Shen, S. Urban Green Space Suitability Evaluation Based on the AHP-CV Combined Weight Method: A Case Study of Fuping County, China. Sustainability 2018, 10, 2656. [Google Scholar] [CrossRef]
- Oumelkheir, B.; Nadia, D. Assessment process in the delimitation of historic urban landscape of Algiers by AHP. Misc. Geogr. 2021, 25, 110–126. [Google Scholar] [CrossRef]
- Banerjee, S.; Pek, R.X.Y.; Yik, S.K.; Ching, G.N.; Ho, X.T.; Dzyuban, Y.; Crank, P.J.; Acero, J.A.; Chow, W.T.L. Assessing Impact of Urban Densification on Outdoor Microclimate and Thermal Comfort Using ENVI-met Simulations for Combined Spatial-Climatic Design (CSCD) Approach. Sustain. Cities Soc. 2024, 105, 105302. [Google Scholar] [CrossRef]
- Kotharkar, R.; Dongarsane, P. Investigating Outdoor Thermal Comfort Variations across Local Climate Zones in Nagpur, India, Using ENVI-met. Build. Environ. 2024, 249, 111122. [Google Scholar] [CrossRef]
- Tousi, E.; Mela, A.; Tseliou, A. Nature-Based Urbanism for Enhancing Senior Citizens’ Outdoor Thermal Comfort in High-Density Mediterranean Cities: ENVI-met Findings. Urban Sci. 2025, 9, 152. [Google Scholar] [CrossRef]
- Salata, F.; Golasi, I.; de Lieto Vollaro, R.; de Lieto Vollaro, A. Urban Microclimate and Outdoor Thermal Comfort: A Proper Procedure to Fit ENVI-met Simulation Outputs to Experimental Data. Sustain. Cities Soc. 2016, 26, 318–343. [Google Scholar] [CrossRef]
- Park, M.; Hagishima, A.; Tanimoto, J.; Narita, K.I. Effect of Urban Vegetation on Outdoor Thermal Environment: Field Measurement at a Scale Model Site. Build. Environ. 2012, 56, 38–46. [Google Scholar] [CrossRef]
- Gachkar, D.; Taghvaei, S.H.; Norouzian-Maleki, S. Outdoor Thermal Comfort Enhancement Using Various Vegetation Species and Materials: Case Study of Delgosha Garden, Iran. Sustain. Cities Soc. 2021, 75, 103309. [Google Scholar] [CrossRef]
- Afshar, N.K.; Karimian, Z.; Doostan, R.; Nokhandan, M.H. Influence of Planting Designs on Winter Thermal Comfort in an Urban Park. J. Environ. Eng. Landsc. Manag. 2018, 26, 232–240. [Google Scholar] [CrossRef]







| Evaluation Characteristics | Evaluation Indicators | Specific Rules and Regulations | Corresponding Score |
|---|---|---|---|
| Individual characteristics | Tree height | 10~15 m | +2 (Maximum 20 points) |
| Crown spread of individual trees | 5~9 m | +2 (Maximum 20 points) | |
| Overall characteristics | Crown Density | 0~25% | +10 |
| 25~50% | +20 | ||
| 50~75% | +10 | ||
| 75~100% | +4 | ||
| The degree to which plantings enclose the activity area 1 | 1 | +5 | |
| −1 | +10 | ||
| 2 | +20 | ||
| 0 | +15 | ||
| Evergreen coverage | 0~30% | +10 | |
| 30~45% | +20 | ||
| 45~55% | +10 | ||
| Over 55% | +0 |
| Questionnaire Variables | CITC | Cronbach’s α After Item Deletion | Cronbach’s α |
|---|---|---|---|
| Thermal Sensation Vote (TSV) | 0.354 | 0.779 | 0.762 |
| Humidity Sensation Vote (HSV) | 0.359 | 0.771 | |
| Wind Speed Vote (WSV) | 0.620 | 0.685 | |
| Thermal Comfort Vote (TCV) | 0.711 | 0.648 | |
| Thermal Acceptance Vote (TAV) | 0.641 | 0.685 |
| Evaluation Characteristics | Evaluation Indicators | Specific Rules and Regulations | WFLS | SBLS | SFLS | DFLS |
|---|---|---|---|---|---|---|
| Individual characteristics | Tree height | 10~15 m | 14 ± 3 | 17 ± 3 | 11 ± 3 | 28 ± 3 |
| Crown spread of individual trees | 5~9 m | |||||
| Overall characteristics | Crown Density | 0~25% | 20 | 10 | 20 | 20 |
| 25~50% | ||||||
| 50~75% | ||||||
| 75~100% | ||||||
| The degree to which plantings enclose the activity area | 1 | 20 | 15 | 20 | 20 | |
| −1 | ||||||
| 2 | ||||||
| 0 | ||||||
| Evergreen coverage | 0~30% | 20 | 10 | 10 | 20 | |
| 30~45% | ||||||
| 45~55% | ||||||
| Over 55% | ||||||
| Final Score | 74 | 52 | 61 | 88 | ||
Disclaimer/Publisher’s Note: The statements, opinions and data contained in all publications are solely those of the individual author(s) and contributor(s) and not of MDPI and/or the editor(s). MDPI and/or the editor(s) disclaim responsibility for any injury to people or property resulting from any ideas, methods, instructions or products referred to in the content. |
© 2025 by the authors. Licensee MDPI, Basel, Switzerland. This article is an open access article distributed under the terms and conditions of the Creative Commons Attribution (CC BY) license (https://creativecommons.org/licenses/by/4.0/).
Share and Cite
Lu, Y.; Wang, Z.; Li, Y.; Yan, S. Optimization of Thermal Comfort Evaluation for Elderly Individuals in Winter Urban Parks Based on Plant Elements Within Landscape Spaces—Taking Beijing Zizhuyuan and Taoranting Parks as Examples. Land 2025, 14, 2440. https://doi.org/10.3390/land14122440
Lu Y, Wang Z, Li Y, Yan S. Optimization of Thermal Comfort Evaluation for Elderly Individuals in Winter Urban Parks Based on Plant Elements Within Landscape Spaces—Taking Beijing Zizhuyuan and Taoranting Parks as Examples. Land. 2025; 14(12):2440. https://doi.org/10.3390/land14122440
Chicago/Turabian StyleLu, Yan, Zirui Wang, Yiyang Li, and Shuyi Yan. 2025. "Optimization of Thermal Comfort Evaluation for Elderly Individuals in Winter Urban Parks Based on Plant Elements Within Landscape Spaces—Taking Beijing Zizhuyuan and Taoranting Parks as Examples" Land 14, no. 12: 2440. https://doi.org/10.3390/land14122440
APA StyleLu, Y., Wang, Z., Li, Y., & Yan, S. (2025). Optimization of Thermal Comfort Evaluation for Elderly Individuals in Winter Urban Parks Based on Plant Elements Within Landscape Spaces—Taking Beijing Zizhuyuan and Taoranting Parks as Examples. Land, 14(12), 2440. https://doi.org/10.3390/land14122440

