Designing for Cooler Street: Case Study of Van City
Abstract
1. Introduction
2. Materials and Methods
2.1. Study Area and Climatic Context
2.2. Microclimate Data Acquisition and Simulation Inputs
2.3. Simulating Climate Data Using ENVI-Met BIO + Science Software Version 5.7.2
2.4. Design Scenarios for Thermal Comfort Enhancement on Cumhuriyet Street
3. Results and Discussion
3.1. Microclimate Parameters in Different Scenarios
3.2. Temporal Analysis of Microclimate Parameters in Different Scenarios
3.3. Surface Material and Impact on Microclimate and Thermal Comfort
3.4. Roofs and Impact on Microclimate and Thermal Comfort
3.5. Vegetation Coverage and Impact on Microclimate and Thermal Comfort
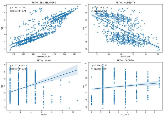
3.6. Microclimate Parameters and Their Correlation with PET
4. Conclusions
Author Contributions
Funding
Data Availability Statement
Acknowledgments
Conflicts of Interest
References
- Oke, T.R. The energetic basis of the urban heat island. Q. J. R. Meteorol. Soc. 1982, 108, 1–24. [Google Scholar] [CrossRef]
- Santamouris, M. Analyzing the heat island magnitude and characteristics in one hundred Asian and Australian cities and regions. Sci. Total Environ. 2015, 512–513, 582–598. [Google Scholar] [CrossRef]
- Saaroni, H.; Amorim, J.H.; Hiemstra, J.A.; Pearlmutter, D. Urban Green Infrastructure as a tool for urban heat mitigation: Survey of research methodologies and findings across different climatic regions. Urban Clim. 2018, 24, 94–110. [Google Scholar] [CrossRef]
- Matzarakis, A.; Mayer, H.; Iziomon, M.G. Applications of a universal thermal index: Physiological Equivalent Temperature. Int. J. Biometeorol. 1999, 43, 76–84. [Google Scholar] [CrossRef]
- Bowler, D.E.; Buyung-Ali, L.; Knight, T.M.; Pullin, A.S. Urban greening to cool towns and cities: A systematic review of the empirical evidence. Landsc. Urban Plan. 2010, 97, 147–155. [Google Scholar] [CrossRef]
- Gunawardena, K.R.; Wells, M.J.; Kershaw, T. Utilising green and bluespace to mitigate urban heat island intensity. Sci. Total Environ. 2017, 584–585, 1040–1055. [Google Scholar] [CrossRef]
- Zölch, T.; Maderspacher, J.; Wamsler, C.; Pauleit, S. Using green infrastructure for urban climate-proofing: An evaluation of heat mitigation measures at the micro-scale. Urban For. Urban Green. 2016, 20, 305–316. [Google Scholar] [CrossRef]
- Irmak, M.A.; Yilmaz, S.; Yilmaz, H.; Ozer, S.; Toy, S. Evaluation of different thermal conditions based on thi under different kind of tree types-as a specific case in ata botanic garden in eastern Turkey. Glob. Nest J. 2013, 15, 131–139. [Google Scholar]
- Fu, X.; Zhang, T.; Tao, Y. The impact of the three-dimensional greening index on pedestrian thermal comfort in summer street canyons. Build. Simul. 2025, 18, 641–661. [Google Scholar] [CrossRef]
- Perini, K.; Magliocco, A. Effects of vegetation, urban density, building height, and atmospheric conditions on local temperatures and thermal comfort. Urban For. Urban Green. 2014, 13, 495–506. [Google Scholar] [CrossRef]
- Taleghani, M. Outdoor thermal comfort by different heat mitigation strategies: A review. Renew. Sustain. Energy Rev. 2018, 81, 2011–2018. [Google Scholar] [CrossRef]
- Irmak, M.A.; Yilmaz, S.; Mutlu, E.; Yilmaz, H. Assessment of the effects of different tree species on urban microclimate. Environ. Sci. Pollut. Res. 2018, 25, 15802–15822. [Google Scholar] [CrossRef]
- Yilmaz, S.; Mutlu, B.E.; Aksu, A.; Mutlu, E.; Qaid, A. Street design scenarios using vegetation for sustainable thermal comfort in Erzurum, Turkey. Environ. Sci. Pollut. Res. 2021, 28, 3672–3693. [Google Scholar] [CrossRef] [PubMed]
- Ertem Mutlu, B.; Yılmaz, S. Determining the Effect of Different Green Space Ratios on Outdoor Thermal Comfort through ENVI-met Analysis: The Case of Erzurum. J. Adnan Menderes Univ. Agric. Fac. 2024, 21, 17–23. [Google Scholar]
- Sarı, E.N.; Nouri, A.S.; Ekşi, M.; Matzarakis, A. Assessing thermo-physiological effects of different tree species within the inner regions of the urban canyon; confronting in-situ extreme heat stress in Istanbul during the El-Niño summer of 2023. Int. J. Biometeorol. 2025, 69, 1663–1686. [Google Scholar] [CrossRef] [PubMed]
- Li, Y.; Liu, X.; Cheshmehzangi, A.; Zahed, L.M.; He, B.J. Multidimensional factors affecting tree-induced cooling benefits: A comprehensive review. Build. Environ. 2025, 282, 113242. [Google Scholar] [CrossRef]
- Toy, S.; Yilmaz, S. Evaluation of urban-rural bioclimatic comfort differences over a ten-year period in the sample of Erzincan city reconstructed after a heavy earthquake. Atmósfera 2010, 23, 387–402. [Google Scholar]
- Irmak, M.A.; Yilmaz, S.; Mutlu, E.; Yilmaz, H. Analysis of different urban spaces on thermal comfort in cold regions: A case from Erzurum. Theor. Appl. Climatol. 2020, 141, 1593–1609. [Google Scholar] [CrossRef]
- Yang, M.; Ye, P.; He, J. Green and Blue Infrastructure for Urban Cooling: Multi-Scale Mechanisms, Spatial Optimization, and Methodological Integration. Sustain. Cities Soc. 2025, 129, 106501. [Google Scholar] [CrossRef]
- Li, M.; Wang, C.; Wu, Y.; Santamouris, M.; Lu, S. Assessing spatial inequities of thermal environment and blue-green intervention for vulnerable populations in dense urban areas. Urban Clim. 2025, 59, 102328. [Google Scholar] [CrossRef]
- Yilmaz, S.; Menteş, Y.; Jamei, E. Investigating the Effect of Blue–Green Infrastructure on Thermal Condition—Case Study: Elazığ, Turkey. Land 2025, 14, 891. [Google Scholar] [CrossRef]
- Yilmaz, H.; Toy, S.; Irmak, M.A.; Yilmaz, S.; Bulut, Y. Determination of temperature differences between asphalt concrete, soil and grass surfaces of the City of Erzurum, Turkey. Atmósfera 2008, 21, 135–146. [Google Scholar]
- Takebayashi, H.; Moriyama, M. Study on the urban heat island mitigation effect achieved by converting to grass-covered parking. Sol. Energy 2009, 83, 1211–1223. [Google Scholar] [CrossRef]
- Lin, T.P.; Matzarakis, A.; Hwang, R.L.; Huang, Y.C. Effect of pavements albedo on long-term outdoor thermal comfort. Berichte Meteorol. Inst. Albert-Ludwigs-Universität Freiburg 2010, 497, 497–503. [Google Scholar]
- Chen, J.; Wang, H.; Zhu, H. Analytical approach for evaluating temperature field of thermal modified asphalt pavement and urban heat island effect. Appl. Therm. Eng. 2017, 113, 739–748. [Google Scholar] [CrossRef]
- Li, Q.; Zhang, X.; Hang, J. Numerical investigations of cool coatings on building envelopes for urban heat mitigation with various street aspect ratios. Sustain. Cities Soc. 2024, 107, 105410. [Google Scholar] [CrossRef]
- Zeren Cetin, I.; Adiguzel, F.; Sandal, E.K.; Dinc, Y. Enhancing bioclimatic conditions in urban open spaces through surface material selection: The case of Adan). Environ. Dev. Sustain. 2025, 1–16. [Google Scholar] [CrossRef]
- Jamei, E.; Thirunavukkarasu, G.; Chau, H.W.; Seyedmahmoudian, M.; Stojcevski, A.; Mekhilef, S. Investigating the cooling effect of a green roof in Melbourne. Build. Environ. 2023, 246, 110965. [Google Scholar] [CrossRef]
- Wai, C.Y.; Chau, H.W.; Paresi, P.; Muttil, N. Experimental Analysis of Cool Roof Coatings as an Urban Heat Mitigation Strategy to Enhance Thermal Performance. Buildings 2025, 15, 685. [Google Scholar] [CrossRef]
- Heschong, L. Thermal Delight in Architecture, 1st ed.; MIT Press: Cambridge, MA, USA, 1979. [Google Scholar]
- Zhang, X.; Zhang, Y.; Yun, J.; Yao, W. A systematic review of the anxiety-alleviation benefits of exposure to the natural environment. Rev. Environ. Health 2022, 38, 281–293. [Google Scholar] [CrossRef]
- De Luca, F. Advances in climatic form finding in architecture and urban design. Energies 2023, 16, 3935. [Google Scholar] [CrossRef]
- Jamei, E.; Rajagopalan, P. Effect of street design on pedestrian thermal comfort. Archit. Sci. Rev. 2018, 62, 92–111. [Google Scholar] [CrossRef]
- Janeka, P.; Föllmer, J.; Martinez, J.A.; Schrammeijer, E.A.; Hertig, E.; van Rompay, T.J.L.; Cerrone, D.; Sawungrana, A.R.; Anthonj, C. How green and blue spaces promote health among vulnerable urban populations facing climate hazards. A scoping review. Wellbeing Space Soc. 2025, 9, 100304. [Google Scholar] [CrossRef]
- Roy, T.B.; Middey, A.; Krupadam, R.J. Unveiling the microclimate: A comprehensive review of tools, techniques, and future directions for sustainable cities. Build. Environ. 2025, 274, 112726. [Google Scholar] [CrossRef]
- Xiao, Q.; Fan, X.; Guo, Y.; Li, S.; He, W.; Deng, Y.; Xiao, Z.; Wang, P.; Wu, C. Tree form characteristics as criteria for tree species selection to improve pedestrian thermal comfort in street canyons: Case study of a humid subtropical city. Sustain. Cities Soc. 2024, 105, 105339. [Google Scholar] [CrossRef]
- Cui, D.; Chen, Y.; Zhang, Y.; Li, X. A study on the effect of vertical greening on the thermal environment of street canyons based on ENVImet simulation. E3S Web Conf. 2024, 490, 03004. [Google Scholar] [CrossRef]
- Nady Faragallah, R.; Ragheb, R.A. Evaluation of thermal comfort and urban heat island through cool paving materials using ENVI-Met. Ain Shams Eng. J. 2022, 13, 101609. [Google Scholar] [CrossRef]
- Yılmaz, S.; Kurt, A.; Gölcü, M. Effects of Different Landscape Design Scenarios on Pedestrian Thermal Comfort Using ENVI-met Simulations: Haydar Aliyev Street. Yüzüncü Yıl Univ. J. Agric. Sci. 2023, 33, 338–353. [Google Scholar]
- Haeri, T.; Hassan, N.; Ghaffarianhoseini, A. Evaluation of microclimate mitigation strategies in a heterogenous street canyon in Kuala Lumpur from outdoor thermal comfort perspective using Envi-met. Urban Clim. 2023, 52, 101719. [Google Scholar] [CrossRef]
- Cortes, A.; Rejuso, A.J.; Santos, J.A.; Blanco, A. Evaluating mitigation strategies for urban heat island in Mandaue City using ENVI-met. J. Urban Manag. 2022, 11, 97–106. [Google Scholar] [CrossRef]
- Abdulateef, M.F.; Majeed, F.A.; Al-Alwan, H.A.; Qasim, M.B. Assessing canyon geometry effect on the thermal comfort in a hot semi-arid climate: Baghdad city as case study. Ain Shams Eng. J. 2025, 16, 103247. [Google Scholar] [CrossRef]
- Ramdiana, D.N.; Yola, L. The Effect of Vegetation and Water Body on Thermal Comfort in Banteng City Park, Jakarta. Plan. Malays. 2023, 21, 262–273. [Google Scholar] [CrossRef]
- Fahed, J.; Kinab, E.; Ginestet, S.; Adolphe, L. Impact of urban heat island mitigation measures on microclimate and pedestrian comfort in a dense urban district of Lebanon. Sustain. Cities Soc. 2020, 61, 102375. [Google Scholar] [CrossRef]
- Chen, Y.; Deng, S.; Hou, Y.; Yan, Q. Impact of environmental elements in classical Chinese gardens on microclimate and their optimization using ENVI-MET simulations. Energy Build. 2025, 329, 115238. [Google Scholar] [CrossRef]
- Zhang, J.; Li, Z.; Hu, D. Effects of urban morphology on thermal comfort at the micro-scale. Sustain. Cities Soc. 2022, 86, 104150. [Google Scholar] [CrossRef]
- Kamata, Y.; Kang, J.E. Effect of greening vacant houses on improvement in thermal environment using ENVI-met simulation: A case study on Busan metropolitan city. Environ. Plan. B Urban Anal. City Sci. 2024, 51, 1308–1321. [Google Scholar] [CrossRef]
- MGM. Turkish State Meteorological Service. Van Province Climate Data. 2023. Available online: https://mgm.gov.tr (accessed on 4 May 2025).
- Yuca, N. The Impact of Lakes on Urban Thermal Comfort: A Case Study of Lake Van. Ph.D. Thesis, Van Yüzüncü Yıl University, Van, Türkiye, 2025. Available online: https://tez.yok.gov.tr/UlusalTezMerkezi/ (accessed on 10 May 2025).
- Song, D.; Niu, S.; Chen, L.; Wang, A.; Shi, X.; Zhou, X.; Jin, X. Influence of historical city walls on the water cooling effects in summer. Urban Clim. 2025, 59, 102310. [Google Scholar] [CrossRef]
- Elraouf, R.A.; ELMokadem, A.; Megahed, N.; Eleinen, O.A.; Eltarabily, S. Evaluating urban outdoor thermal comfort: A validation of ENVI-met simulation through field measurement. J. Build. Perform. Simul. 2022, 15, 268–286. [Google Scholar] [CrossRef]
- Lin, C.; Yang, J.; Huang, J.; Zhong, R. Examining the Effects of Tree Canopy Coverage on Human Thermal Comfort and Heat Dynamics in Courtyards: A Case Study in Hot-Humid Regions. Atmosphere 2023, 14, 1389. [Google Scholar] [CrossRef]
- Liu, Z.; Cheng, W.; Jim, C.Y.; Morakinyo, T.E.; Shi, Y.; Ng, E. Heat mitigation benefits of urban green and blue infrastructures: Asystematic review of modeling techniques, validation and scenario simulation in ENVI-met V4. Build. Environ. 2021, 200, 107939. [Google Scholar] [CrossRef]
- Qaid, A.; Lamit, H.B.; Ossen, D.R.; Shahminan, R.N.R. Urban heat island and thermal comfort conditions at micro-climate scale in a tropical planned city. Energy Build. 2016, 133, 577–595. [Google Scholar] [CrossRef]
- Alzahrani, A.; Gadi, M. Assessment of Modeled Mean Radiant Temperature in Hot and Dry Environments: A Case Study in Saudi Arabia. Climate 2024, 12, 91. [Google Scholar] [CrossRef]
- Liu, S.; Middel, A.; Fang, X.; Wu, R. ENVI-met model performance evaluation for courtyard simulations in hot-humid climates. Urban Clim. 2024, 55, 101909. [Google Scholar] [CrossRef]
- Yilmaz, S.; Toy, S.; Demircioglu Yildiz, N.; Yilmaz, H. Human population growth and temperature increase along with the increase in urbanisation, motor vehicle numbers and green area amount in the sample of Erzurum city, Turkey. Environ. Monit. Assess. 2009, 148, 205–213. [Google Scholar] [CrossRef] [PubMed]
- Battista, G.; Carnielo, E.; Vollaro, R.D.L. Thermal impact of a redeveloped area on localized urban microclimate: A case study in Rome. Energy Build. 2016, 133, 446–454. [Google Scholar] [CrossRef]
- Li, J.; Liu, N. The perception, optimization strategies and prospects of outdoor thermal comfort in China: A review. Build. Environ. 2020, 170, 106614. [Google Scholar] [CrossRef]
- Chan, S.Y.; Chau, C.K. On the study of the effects of microclimate and park and surrounding building configuration on thermal comfort in urban parks. Sustain. Cities Soc. 2021, 64, 102512. [Google Scholar] [CrossRef]
- Ren, Z.; Nikolopoulou, M.; Mills, G.; Pilla, F. Evaluating the influence of urban trees and microclimate on residential energy consumption in Dublin neighbourhoods. Build. Environ. 2025, 269, 112441. [Google Scholar] [CrossRef]
- Irmak, M.A.; Yilmaz, S.; Dursun, D. Effect of different pavements on human thermal comfort conditions. Atmósfera 2017, 30, 355–366. [Google Scholar] [CrossRef]
- Bozdogan Sert, E.; Kaya, E.; Adiguzel, F.; Cetin, M.; Gungor, S.; Zeren Cetin, I.; Dinc, Y. Effect of the surface temperature of surface materials on thermal comfort: A case study of Iskenderun (Hatay, Turkey). Theor. Appl. Climatol. 2021, 144, 103–113. [Google Scholar] [CrossRef]
- Garshasbi, S.; Feng, J.; Paolini, R.; Duverge, J.J.; Bartesaghi-Koc, C.; Arasteh, S.; Santamouris, M. On the energy impact of cool roofs in Australia. Energy Build. 2023, 278, 112577. [Google Scholar] [CrossRef]
- Jamei, E.; Chau, H.W.; Seyedmahmoudian, M.; Stojcevski, A. Review on the cooling potential of green roofs in different climates. Sci. Total Environ. 2021, 791, 148407. [Google Scholar] [CrossRef]
- Norouzi, M.; Chau, H.W.; Jamei, E. Design and Site-Related Factors Impacting the Cooling Performance of Urban Parks in Different Climate Zones: A Systematic Review. Land 2024, 13, 2175. [Google Scholar] [CrossRef]
- Zhou, K.; Zhong, L.; Liu, J.; Wang, Z.; Liu, J. Unveiling the Role of Western Pacific Subtropical High in Urban Heat Islands Using Local Climate Zones Coupled WRF-BEP/BEM. Earth Syst. Environ. 2025, 1–28. [Google Scholar] [CrossRef]
- Menteş, Y.; Yilmaz, S.; Qaid, A. The cooling effect of different scales of urban parks on land surface temperatures in cold regions. Energy Build. 2024, 308, 113954. [Google Scholar] [CrossRef]
- Qaid, A.; Ossen, D.R. Effect of asymmetrical street aspect ratios on microclimates in hot, humid regions. Int. J. Biometeorol. 2015, 59, 657–677. [Google Scholar] [CrossRef] [PubMed]
- Bruse, M.; Fleer, H. Simulating surface–plant–air interactions inside urban environments with a threedimensional Numerical model. Environ. Model. Softw. 1998, 13, 373–384. [Google Scholar] [CrossRef]
- Krelling, A.F.; Lamberts, R.; Malik, J.; Zhang, W.; Sun, K.; Hong, T. Defining weather scenarios for simulation-based assessment of thermal resilience of buildings under current and future climates: A case study in Brazil. Sustain. Cities Soc. 2024, 107, 105460. [Google Scholar] [CrossRef]
- Wai, C.Y.; Tariq, M.A.U.R.; Chau, H.W.; Muttil, N.; Jamei, E. A Simulation-Based Study on the Impact of Parametric Design on Outdoor Thermal Comfort and Urban Overheating. Land 2024, 13, 829. [Google Scholar] [CrossRef]












| References | City | Date | Micro Scale | Key Finding |
|---|---|---|---|---|
| [37] | Shenzhen, China | 10 Jun 2019 | 300 × 300 m | This study created twelve different scenarios for the study area, Kanyon Street. The study found that the scenario with intensive greenery on the facades near pedestrian level had PET values between −3.15 and 0.12 °C. |
| [38] | El Mosheir Alexandria | 8 Aug 2020 | 60 × 100 m | Different pavements affect urban thermal conditions, with basalt reducing temperature by 3 °C and a basalt–granite combination lowering it by 3.5 °C. |
| [39] | Erzurum, Turkey | Aug, Jan, 2021 | 90 × 100 m | Four landscape scenarios were tested, showing that adding plants reduced summer temperatures by 0.2 °C, deciduous trees improved, and inactive water increased wind speed up to 1.3 m/s. |
| [36] | Wuhan, China | Jun–Aug | 240 × 240 m | It has been demonstrated that the thermal comfort performance of trees varies among different street canyons depending on their morphology and planting location. |
| [40] | Kuala Lumpur | 16–20 Aug | 255 × 270 m | The study revealed that as a result of replacing facades with high albedo materials and afforestation, there were decreases in air temperature and Tmrt values, and the PET value worsened. |
| [41] | Mandaue City | 26 Sep 2020 | 526 × 464 m 560 × 310 m | When a combination of trees, grasses and green roof is used, air temperature could be decreased by ENVI-met an average range of 0.1–0.3 °C. |
| [42] | Baghdad | 13 Aug 2023 | 50 × 140 × 10050 × 50 × 25 | The thermal comfort of a street in semi-arid climate Baghdad was analyzed using ENVI-met 5.6.1. |
| [43] | Jakarta | Aug 2023 | Park area | This study used ENVI-met 3.1 simulations, showing that vegetation lowers air temperature and shades pavements, while water bodies cool the area by increasing humidity. |
| [21] | Elazığ, Turkey | 11 Aug, 8 Jan, 2023 and 2024 | 41 × 39 m | In August, vegetation cooled the area by 0.8 °C, while adding grass, trees, water surfaces, and roof gardens increased the total cooling to 1.5 °C through combined blue-green infrastructure. |
| [44] | Beirut | 9–10 Jul | 210 × 350 m | ENVI-met simulations showed that water features can reduce ambient temperature by up to 5 °C. |
| [45] | Nanjing, China | 13–15 Jul 2019 | 82 × 110 m | The study found that increasing water area from 5% to 25% can reduce UTCI by more than 0.5 °C, while increasing afforestation from 18% to 70% can reduce UTCI by approximately 3.0 °C. |
| [46] | Beijing | 7 Jun 2020 | 318 × 318 × 240 | Using ENVI-met V4.6.2, the study found that 3D urban indicators correlate more strongly with local outdoor thermal comfort than 2D indicators at pedestrian height. |
| [47] | Busan Metropolitan City | 6 Aug 2021 | 50 × 30 m | The ENVI-met analysis showed that the tree scenario provided the most significant improvement, reducing the average temperature, Tmrt, and PET by 0.03 °C, 1.66 °C, and 0.65 °C, respectively. |
| Location | Van Center |
|---|---|
| Climate Type | Urban Ecosystem |
| Simulation Time | 20 August 2024 |
| Total Simulation Time | 24 h for 1 alternative |
| Spatial Resolution | 1 m × 1 m × 1 m |
| Field Size | 170 m × 100 m × 42 m |
| Basic Meteorological Input | Unshaded |
| Wind speed (m/s) | 2.66 |
| Wind Direction (°) | 176.2 |
| 24 Hour Air Temperature Avg. | 24.5 °C |
| 24 Hour Relative Humidity Avg. | 41.6% |
| Lowest Air Temperature (°C) | 17.9 °C/06:00 |
| Highest Air Temperature (°C) | 29.6 °C/14:00 |
| Lowest Humidity (%) | 33%/12:00, 13:00, 18:00 |
| Maximum Humidity (%) | 62%/06:00 |
| Time/Hour | Air Temperature (°C) | Relative Humidity (%) | Wind Speed (m/s) |
|---|---|---|---|
| 00.00 | 21.6 | 46 | 1.6 |
| 01.00 | 20.7 | 50 | 1.6 |
| 02.00 | 19.7 | 57 | 0.0 |
| 03.00 | 19.9 | 54 | 1.6 |
| 04.00 | 19.3 | 56 | 1.6 |
| 05.00 | 18.9 | 59 | 1.6 |
| 06.00 | 17.9 | 62 | 0.0 |
| 07.00 | 20.6 | 53 | 0.0 |
| 08.00 | 21.9 | 48 | 0.0 |
| 09.00 | 25.4 | 39 | 1.6 |
| 10.00 | 27.0 | 40 | 3.2 |
| 11.00 | 28.0 | 38 | 3.2 |
| 12.00 | 29.3 | 33 | 3.2 |
| 13.00 | 29.2 | 33 | 3.2 |
| 14.00 | 29.6 | 38 | 4.8 |
| 15.00 | 28.7 | 38 | 4.8 |
| 16.00 | 27.6 | 42 | 3.2 |
| 17.00 | 27.9 | 35 | 3.2 |
| 18.00 | 27.7 | 33 | 3.2 |
| 19.00 | 26.4 | 35 | 3.2 |
| 21.00 | 25.8 | 35 | 3.2 |
| 21.00 | 25.6 | 35 | 4.8 |
| 22.00 | 25.2 | 36 | 4.8 |
| 23.00 | 24.3 | 39 | 6.4 |
| Scenarios | Features |
|---|---|
| Current Situation | Status quo condition with minimal vegetation and mixed paving. |
| Scenario A | Complete removal of vegetation (0% coverage) to simulate worst-case exposure. |
| Scenario B | Surface entirely covered with light-colored stone paving (higher albedo). |
| Scenario C | Surface entirely paved with dark asphalt (low albedo). |
| Scenario D | Green roof on adjacent buildings (extensive system, 25% coverage). |
| Scenario E | Green roof on adjacent buildings (extensive system, 50% coverage). |
| Scenario F | Green roof on adjacent buildings (extensive system, 75% coverage). |
| Scenario G | Significant vegetation increase (25% coverage). |
| Scenario H | Significant vegetation increase (50% coverage). |
| Scenario I | Significant vegetation increase (75% coverage). |
Disclaimer/Publisher’s Note: The statements, opinions and data contained in all publications are solely those of the individual author(s) and contributor(s) and not of MDPI and/or the editor(s). MDPI and/or the editor(s) disclaim responsibility for any injury to people or property resulting from any ideas, methods, instructions or products referred to in the content. |
© 2025 by the authors. Licensee MDPI, Basel, Switzerland. This article is an open access article distributed under the terms and conditions of the Creative Commons Attribution (CC BY) license (https://creativecommons.org/licenses/by/4.0/).
Share and Cite
Yuca, N.; Alp, Ş.; Yilmaz, S.; Jamei, E.; Qaid, A. Designing for Cooler Street: Case Study of Van City. Land 2025, 14, 2313. https://doi.org/10.3390/land14122313
Yuca N, Alp Ş, Yilmaz S, Jamei E, Qaid A. Designing for Cooler Street: Case Study of Van City. Land. 2025; 14(12):2313. https://doi.org/10.3390/land14122313
Chicago/Turabian StyleYuca, Nursevil, Şevket Alp, Sevgi Yilmaz, Elmira Jamei, and Adeb Qaid. 2025. "Designing for Cooler Street: Case Study of Van City" Land 14, no. 12: 2313. https://doi.org/10.3390/land14122313
APA StyleYuca, N., Alp, Ş., Yilmaz, S., Jamei, E., & Qaid, A. (2025). Designing for Cooler Street: Case Study of Van City. Land, 14(12), 2313. https://doi.org/10.3390/land14122313

