Sign in to use this feature.

Years

Between: -

Subjects

remove_circle_outline
remove_circle_outline
remove_circle_outline
remove_circle_outline
remove_circle_outline
remove_circle_outline
remove_circle_outline
remove_circle_outline
remove_circle_outline

Journals

remove_circle_outline
remove_circle_outline
remove_circle_outline
remove_circle_outline
remove_circle_outline
remove_circle_outline
remove_circle_outline
remove_circle_outline
remove_circle_outline
remove_circle_outline
remove_circle_outline
remove_circle_outline
remove_circle_outline
remove_circle_outline
remove_circle_outline
remove_circle_outline
remove_circle_outline

Article Types

Countries / Regions

remove_circle_outline
remove_circle_outline
remove_circle_outline
remove_circle_outline
remove_circle_outline
remove_circle_outline

Search Results (1,407)

Search Parameters:
Keywords = ESR1

Order results
Result details
Results per page
Select all
Export citation of selected articles as:
18 pages, 311 KB  
Article
Anticholinergic and Sedative Medication Burden in Croatian Older Adults: EuroAgeism Cohort Findings
by Margita Držaić, Iva Bužančić, Ingrid Kummer, Andrea Bošković, Dragan Glavaš, Maja Ortner Hadžiabdić, Jovana Brkić and Daniela Fialová
Pharmacy 2025, 13(5), 144; https://doi.org/10.3390/pharmacy13050144 - 6 Oct 2025
Abstract
Use of anticholinergic and sedative medications is potentially inappropriate in older adults due to associated adverse effects, including impaired cognitive and physical function. This study evaluated anticholinergic and sedative burden in Croatian community-dwelling older adults using the Drug Burden Index (DBI) and examined [...] Read more.
Use of anticholinergic and sedative medications is potentially inappropriate in older adults due to associated adverse effects, including impaired cognitive and physical function. This study evaluated anticholinergic and sedative burden in Croatian community-dwelling older adults using the Drug Burden Index (DBI) and examined its association with self-reported health and healthcare utilization over 12 months. This observational, cross-sectional study, part of the EuroAgeism H2020 ESR 7 project, included conveniently sampled adults ≥ 65 years from community pharmacies in three Croatian regions. Data were collected using a standardized research questionnaire. DBI was used to quantify exposure to anticholinergic and sedative medications. Multivariate regression analyses examined associations between DBI and health outcomes, using logistic regression for binary outcomes and linear regression for self-reported health. Among 388 participants (63.7% female, median age 73), most had multimorbidity (median five diagnoses) and polypharmacy (63.9%), while 57% used at least one DBI medication—most commonly diazepam (15.5%) and tramadol (14.7%). High DBI (≥1) independently predicted more emergency department (ED) visits (OR = 2.45) and worse self-rated health (B = −0.26), but not hospitalization. High DBI in older adults was associated with more ED visits and poorer self-rated health, highlighting the need for targeted interventions to reduce anticholinergic and sedative use in this vulnerable population. Full article
19 pages, 2024 KB  
Article
Immunoglobulin G Subclass-Specific Glycosylation Changes in Rheumatoid Arthritis
by Dániel Szabó, Balázs Gyebrovszki, Eszter Szarka, Felícia Auer, Bernadette Rojkovich, György Nagy, András Telekes, Károly Vékey, László Drahos, András Ács and Gabriella Sármay
Int. J. Mol. Sci. 2025, 26(19), 9626; https://doi.org/10.3390/ijms26199626 - 2 Oct 2025
Abstract
Rheumatoid arthritis (RA) is the most common inflammatory polyarthritis. In addition, 60–80% of patients express anti-citrullinated protein antibodies (ACPAs), which serve as a diagnostic marker for RA. The effector functions of these autoantibodies can be heavily affected by the N-glycosylation of their Fc [...] Read more.
Rheumatoid arthritis (RA) is the most common inflammatory polyarthritis. In addition, 60–80% of patients express anti-citrullinated protein antibodies (ACPAs), which serve as a diagnostic marker for RA. The effector functions of these autoantibodies can be heavily affected by the N-glycosylation of their Fc region. Here we present a comparison of the Fc N-glycosylation of ACPA IgG to that of non-ACPA IgG from the same patients, and of healthy controls, in an IgG isoform-specific manner. We isolated ACPA and normal serum IgG, digested by trypsin, and separated the resulting peptide mixture by a reversed-phase nanoLC coupled to a Bruker Maxis II Q-TOF, and determined the relative abundance of glycoforms. The paired analysis of galactosylation and sialylation of the IgG subclasses of ACPA and non-ACPA IgG has shown a significant, moderate negative correlation with the inflammatory markers, the level of C-reactive protein (CRP) and erythrocyte sedimentation rate (ESR), as well as with rheuma-factor (RF), but not with the disease activity score (DAS) or cyclic citrullinated peptide specific antibodies (anti-CCP). However, we detected a significant negative correlation between glycosylation and DAS in the non-ACPA IgG fractions. Furthermore, the isoform-specific analysis revealed additional insight into the changes of the glycosylation features of IgG in RA: changes in the frequencies of the bisecting GlcNAc unit between sample groups could be explained by only the IgG1 isoform; while invariance in fucosylation is the result of the superposition of two isoforms with opposite changes. These results highlight the importance of analyzing immunoglobulin glycosylation in an isoform-specific manner. Full article
Show Figures

Figure 1

12 pages, 549 KB  
Article
Is the Development of Hypo-Gammaglobulinemia Associated with Better Treatment Response in Patients with Rheumatoid Arthritis Using Rituximab?
by Emine Gozde Aydemir Guloksuz, Serdar Sezer, Didem Sahin Eroglu, Sevgi Colak, Ayse Bahar Kelesoglu Dincer, Mucteba Enes Yayla, Emine Uslu, Mehmet Levent Yuksel, Recep Yilmaz, Elif Sinem Ates, Tahsin Murat Turgay, Gulay Kinikli and Askin Ates
J. Clin. Med. 2025, 14(19), 6967; https://doi.org/10.3390/jcm14196967 - 1 Oct 2025
Abstract
Objectives: To determine the frequency of development of hypogammaglobulinemia in rheumatoid arthritis (RA) patients receiving rituximab (RTX) and to examine the relation between the development of hypogammaglobulinemia and RTX treatment response. Methods: The data of 165 RA patients who applied to [...] Read more.
Objectives: To determine the frequency of development of hypogammaglobulinemia in rheumatoid arthritis (RA) patients receiving rituximab (RTX) and to examine the relation between the development of hypogammaglobulinemia and RTX treatment response. Methods: The data of 165 RA patients who applied to our outpatient clinic between January 2010 and June 2021, and who received at least 2 courses of RTX with an interval of 6 months, were retrospectively evaluated. The demographic, clinical, and laboratory data, as well as treatment characteristics, were collected. Results: Of 165 patients, 35 (21.2%) developed hypogammaglobulinemia. In the multivariable analysis examining the risk factors for the development of hypogammaglobulinemia in RA patients receiving RTX, it was determined that having pre-treatment IgG value below 10.5 g/l (OR= 4.24 (95% CI 1.69–10.66) and the increase in the number of RTX courses (OR= 1.1 (95% CI 1.01–1.22) were independently associated risk factors. During their follow-up, patients who developed hypogammaglobulinemia and those who did not were compared. No difference was observed between DAS28-ESR levels, but CRP levels were significantly lower in the group that developed hypogammaglobulinemia. Conclusions: In this study, there was no difference in DAS28-ESR levels between patients with and without hypogammaglobulinemia, although a difference was observed in acute phase reactants, which are more objective parameters. This may be due to subjective parameters in DAS28-ESR scoring or other concomitant conditions such as fibromyalgia. Therefore, additional objective findings or methods may guide the evaluation of treatment response. Full article
(This article belongs to the Special Issue Advances in Clinical Rheumatology)
Show Figures

Figure 1

14 pages, 3030 KB  
Article
Toward Social Disclosure Alignment: Evaluating the Interoperability of ISSB S2 with ESRS and GRI Standards
by Péter Molnár, Bence Lukács and Árpád Tóth
Societies 2025, 15(10), 273; https://doi.org/10.3390/soc15100273 - 28 Sep 2025
Abstract
The evolution of sustainability reporting has led to an increased emphasis on environmental disclosures, often at the expense of social and governance dimensions. While frameworks such as the International Sustainability Standards Board’s (ISSB) IFRS S2 standard offer important advances in climate-related transparency, they [...] Read more.
The evolution of sustainability reporting has led to an increased emphasis on environmental disclosures, often at the expense of social and governance dimensions. While frameworks such as the International Sustainability Standards Board’s (ISSB) IFRS S2 standard offer important advances in climate-related transparency, they insufficiently address the broader social aspects of corporate sustainability performance. In response to this gap, this study investigates the interoperability of social disclosures across three major frameworks: ISSB S2, the European Sustainability Reporting Standards (ESRS), and the Global Reporting Initiative (GRI) standards. Using a structured interoperability index, we systematically map and score the degree of thematic and structural alignment between these standards, focusing specifically on social disclosure topics. The analysis reveals moderate interoperability between ESRS and GRI social disclosures, but far lower alignment between ISSB S2 and either ESRS or GRI, confirming the ongoing underrepresentation of the social pillar within the ISSB framework. Connectivity ratios remain below 6% across all matrices, underscoring persistent fragmentation in global ESG reporting standards. These findings highlight the need for regulatory bodies and standard setters to advance harmonization efforts that equally prioritize environmental, social, and governance dimensions. By foregrounding the interoperability gaps in social disclosures, this study contributes to the academic debate on ESG convergence and informs policy discussions on developing multidimensional, stakeholder-responsive reporting architectures. Full article
Show Figures

Figure 1

29 pages, 3035 KB  
Article
A Pilot Study of Exploring miRNA–Protein Interaction Networks in Pancreatic Ductal Adenocarcinoma Patients: Implications for Diagnosis and Prognosis
by Sena Şen, Merve Çiğdem Özgel, Şeref Buğra Tunçer, Hamza Uğur Bozbey, Senem Karabulut and Didem Taştekin
Diagnostics 2025, 15(19), 2479; https://doi.org/10.3390/diagnostics15192479 - 27 Sep 2025
Abstract
Background: Pancreatic ductal adenocarcinoma (PDAC) is one of the most lethal malignancies for which there are few effective biomarkers for diagnosis, prognosis, and treatment monitoring. Given the paucity of data in the literature, this study aimed to evaluate the biomarker potential of selected [...] Read more.
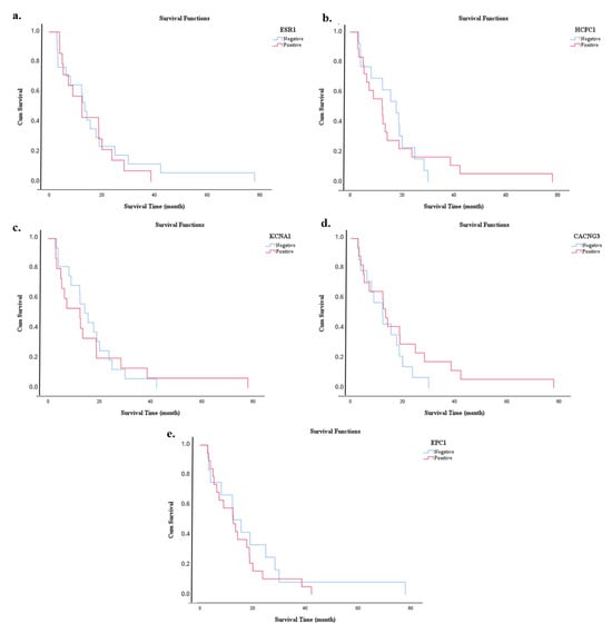
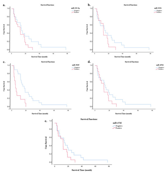
Background: Pancreatic ductal adenocarcinoma (PDAC) is one of the most lethal malignancies for which there are few effective biomarkers for diagnosis, prognosis, and treatment monitoring. Given the paucity of data in the literature, this study aimed to evaluate the biomarker potential of selected miRNAs (miR-222-3p, miR-3154, miR-3945, miR-4534, and miR-4742) and their protein targets in the context of PDAC. Methods: The expression levels of miRNA candidates were quantified by real-time quantitative PCR in lymphocyte samples from 46 PDAC patients and 50 healthy controls. In silico analyses were performed to identify potential target genes and proteins. ELISA was used to measure protein expression in both groups. Statistical analyses included ROC curve analysis, linear regression, and correlation analyses. In addition, correlations between miRNA/protein expression and clinicopathologic characteristics, including survival, were investigated. Results: miR-222-3p and miR-3154 were significantly downregulated in PDAC patients compared to controls (p < 0.001). Among the dual miRNA combinations, miR-222-3p and miR-4534 showed the highest discriminatory power (AUC = 0.629, p = 0.022). The miR-222-3p expression was significantly increased in patients with a history of alcohol consumption (p = 0.02). Significant correlations were observed between miR-3154 expression and T-stage (p = 0.01) and between perineural invasion and miR-222-3p levels (p = 0.02). Survival analysis showed that high miR-3945 expression was significantly associated with shorter overall survival (p = 0.001). Elevated levels of ESR1, HCFC1, and EPC1 were significantly associated with lymphatic invasion (p < 0.05), while high KCNA1 expression correlated with shorter survival (p = 0.006), indicating its potential as a negative prognostic biomarker. Linear regression analysis revealed a significant positive correlation between miR-3945 and KCNA1 expression (β = 0.259, p = 0.038), indicating a possible regulatory interaction. A borderline correlation was also found between miR-4742 and EPC1 expression (p = 0.055). Conclusions: This study identifies several miRNAs and associated proteins with diagnostic and prognostic significance in PDAC. The results emphasize the clinical relevance of integrating multi-layered analyses of miRNA–protein interactions. The observed associations highlight the role of these molecular markers in tumor progression and patient survival and offer promising opportunities for future research and clinical application in precision oncology. Full article
Show Figures

Figure 1

15 pages, 3269 KB  
Article
Utilizing Network Toxicology and Molecular Dynamics Simulations to Efficiently Evaluate the Neurotoxicity and Underlying Mechanisms of the Endocrine-Disrupting Chemical Triclosan
by Hao Wang, Yunyun Du, Jin Ji, Chunyan Wang, Zexin Yu, Xianjia Li, Yueyi Lv and Suzhen Guan
Int. J. Mol. Sci. 2025, 26(19), 9458; https://doi.org/10.3390/ijms26199458 - 27 Sep 2025
Abstract
This study aims to elucidate the neurodevelopmental toxicity and molecular mechanisms of endocrine-disrupting chemicals (EDCs) in neurodevelopmental disorders (NDDs) through a network toxicology approach, using triclosan exposure as a case example. Potential targets of triclosan were identified via comparative analysis of toxicogenomics databases [...] Read more.
This study aims to elucidate the neurodevelopmental toxicity and molecular mechanisms of endocrine-disrupting chemicals (EDCs) in neurodevelopmental disorders (NDDs) through a network toxicology approach, using triclosan exposure as a case example. Potential targets of triclosan were identified via comparative analysis of toxicogenomics databases such as the Comparative Toxicogenomics Database (CTD), Similarity Ensemble Approach (SEA), SwissTargetPrediction, and TargetNet. NDD-related targets were retrieved from GeneCards, Disease Gene Network (DisGeNET), and Online Mendelian Inheritance in Man (OMIM), resulting in 633 overlapping genes associated with disease pathology and triclosan effectors. Protein–protein interaction networks were constructed using STRING and Cytoscape, applying median-based algorithms to identify six core genes: AKT1, TP53, EGFR, FN1, SRC, and ESR1. Gene Ontology (GO) and Kyoto Encyclopedia of Genes and Genomes (KEGG) enrichment analyses via Metascape revealed that triclosan-induced NDDs are primarily associated with endocrine signaling disruption and activation of the PI3K-Akt pathway. Molecular docking with CB-Dock2 demonstrated strong binding affinities between triclosan and the core targets, while YASARA molecular dynamics simulations confirmed stable interactions, notably with EGFR, exhibiting high binding stability. Collectively, these findings delineate the potential molecular mechanisms underlying triclosan-induced NDDs and underscore the utility of network toxicology, molecular docking, and molecular dynamics simulations in assessing neurotoxicity and related molecular pathways. This research provides novel insights for future investigations, enhances understanding of the potential impact of neurodevelopmental disorders on health, and lays a scientific foundation for the development of preventive and therapeutic strategies. Full article
(This article belongs to the Section Molecular Toxicology)
Show Figures

Figure 1

34 pages, 2111 KB  
Article
In Silico Characterization of Pathogenic ESR2 Coding and UTR Variants as Oncogenic Potential Biomarkers in Hormone-Dependent Cancers
by Hakeemah Al-Nakhle, Zainab Almoerifi, Layan Alharbi, Mashael Alayoubi and Rawan Alharbi
Genes 2025, 16(10), 1144; https://doi.org/10.3390/genes16101144 - 26 Sep 2025
Abstract
Background: The ESR2 gene encodes Estrogen Receptor-β1 (ERβ1), a putative tumor suppressor in hormone-dependent malignancies. Although ERβ biology has been studied extensively at the expression level, the functional impact of nonsynonymous SNPs (nsSNPs) and untranslated-region (UTR) variants in ESR2 remains underexplored. Methods [...] Read more.
Background: The ESR2 gene encodes Estrogen Receptor-β1 (ERβ1), a putative tumor suppressor in hormone-dependent malignancies. Although ERβ biology has been studied extensively at the expression level, the functional impact of nonsynonymous SNPs (nsSNPs) and untranslated-region (UTR) variants in ESR2 remains underexplored. Methods: We retrieved variants from Ensembl and performed an integrative in silico assessment using PredictSNP, I-Mutant, MUpro, HOPE, MutPred2, and CScape for pathogenicity, oncogenicity and structural stability; STRING/KEGG/GO for pathway context; RegulomeDB and polymiRTS for regulatory effects; and cBioPortal for pan-cancer clinical outcomes (breast (BRCA), endometrial (UCEC), and ovarian (OV)). We evaluated effects of nsSNPs on ERβ1 stability, ligand-binding/DNA-binding domains, co-factor recruitment, and post-transcriptional regulation. Results: Across tools, 93 missense nsSNPs were consistently predicted to be deleterious. Notably, several variants were found to destabilize ERβ1, particularly within the ligand-binding domains (LBD) and DNA-binding domains (DBD). Putative oncogenic drivers R198P and D154N showed high CScape scores and very low population frequencies, consistent with pathogenicity. Several substitutions were predicted to impair coactivator binding and disrupt interactions with key transcriptional partners, including JUN, NCOA1, and SP1. At the post-transcriptional level, rs139004885 was predicted to disrupt miRNA binding, while 3′UTR rs4986938 showed strong regulatory potential and comparatively high population frequency; by contrast, most other identified SNPs were rare. Clinically, pan-cancer survival analyses indicated worse overall survival (OS) in BRCA for ESR2-Altered cases (HR ≈ 2.25; q < 0.001), but better OS in UCEC (HR ≈ 0.24; q ≈ 0.014) and OV (HR ≈ 0.29; q < 0.001), highlighting a tumor-type-specific association. Conclusions: This integrative analysis prioritizes high-impact ESR2 variants that likely impair ERβ1 structure and shows context-dependent clinical effects. Despite their generally low frequency (except for rs4986938), prospective validation linking variant class to ERβ expression and survival outcomes is needed to support biomarker development and therapeutic applications. Full article
(This article belongs to the Special Issue Genetic Biomarkers in Cancer: From Discovery to Clinical Application)
Show Figures

Figure 1

20 pages, 1390 KB  
Article
Evaluation of Inflammatory Markers in Perception Disorders in Major Psychiatric Pathology
by Laura-Maria Segarceanu, Andrei-Gabriel Zanfir, Dana Galieta Minca and Simona Trifu
Int. J. Mol. Sci. 2025, 26(19), 9299; https://doi.org/10.3390/ijms26199299 - 23 Sep 2025
Viewed by 207
Abstract
This study investigates the role of inflammatory markers in perception disorders associated with major psychiatric pathology, focusing on schizophrenia and acute psychotic disorder. Guided by the vulnerability–stress–inflammation model, this research explores how genetic predispositions, maternal immune activation, and chronic low-grade neuroinflammation contribute to [...] Read more.
This study investigates the role of inflammatory markers in perception disorders associated with major psychiatric pathology, focusing on schizophrenia and acute psychotic disorder. Guided by the vulnerability–stress–inflammation model, this research explores how genetic predispositions, maternal immune activation, and chronic low-grade neuroinflammation contribute to disease onset and progression. A sample of 135 patients (69 with schizophrenia and 66 with acute psychotic disorder) admitted to a psychiatric hospital between October 2024 and February 2025 was analyzed. Demographic and clinical data, along with biological markers—such as white blood cells, neutrophil-to-lymphocyte ratio (NLR), monocyte-to-lymphocyte ratio (MLR), platelet-to-lymphocyte ratio (PLR), systemic immune–inflammation index (SII), C-reactive protein (CRP), and erythrocyte sedimentation rate (ESR)—were assessed. Results indicated elevated median values for SII, CRP, and MLR, with statistically significant differences compared to normal reference ranges, suggesting persistent systemic inflammation in psychotic disorders. While acute psychotic disorders showed wider value ranges, schizophrenia patients demonstrated higher median levels, consistent with chronic inflammation. No significant differences were observed between the two groups after Bonferroni correction, though CRP values suggested a trend toward greater inflammation in schizophrenia. These findings reinforce the inflammatory hypothesis of psychosis and highlight the potential of biomarkers to refine diagnosis, guide treatment strategies, and support future research into immunomodulatory therapies. Full article
(This article belongs to the Section Molecular Neurobiology)
Show Figures

Figure 1

12 pages, 391 KB  
Article
Global Disease Control in Inflammatory Arthritis Patients with Fibromyalgia Multi-Failure to Biologic Drugs: Short-Term Impact of Target Therapies on Both Disease Courses
by Cinzia Rotondo, Silvia Stefania, Luigi Nardella, Ripalta Colia, Nicola Maruotti, Valeria Rella, Giuseppe Busto, Raffaele Barile, Francesco Paolo Cantatore and Addolorata Corrado
J. Clin. Med. 2025, 14(19), 6703; https://doi.org/10.3390/jcm14196703 - 23 Sep 2025
Viewed by 72
Abstract
Background: Fibromyalgia syndrome (FS) is one of the most common causes of chronic generalised pain and often complicates the therapeutic management of inflammatory chronic arthritis (ICA), negatively impacting both the real assessment of disease activity and the perception of response. Our study [...] Read more.
Background: Fibromyalgia syndrome (FS) is one of the most common causes of chronic generalised pain and often complicates the therapeutic management of inflammatory chronic arthritis (ICA), negatively impacting both the real assessment of disease activity and the perception of response. Our study aims to evaluate in a group of patients with ICA, multi-resistant to biologic/target synthetic disease-modifying antirheumatic drugs (b/ts-DMARDs), both the impact of FS on the possibility of achieving low disease activity (LDA) or remission (REM) and the possible improvement in the severity of FS symptoms, after starting b/ts-DMARDs with different a mechanism of action (MoA). Methods: A prospective study was conducted, from January 2023 to December 2024, on patients who fulfil the classification criteria for psoriatic arthritis (PsA) or fulfil the 2010 American College of Rheumatology criteria for RA. Results: Sixty-four Caucasian patients with ICA, of which 47 with FS, were enrolled in the study. At the baseline visit, FS patients had a significantly shorter ICA disease duration, worse fibromyalgia symptom-related indices (such as Fibromyalgia Severity Scale (FSS), Widespread Pain Index (WPI), and Symptom Severity Scale (SSS)) and functional and disability scores (such as health assessment questionnaire (HAQ) and Functional Assessment of Chronic Illness Therapy (FACIT)), and a higher basal value of Disease Activity in Psoriatic Arthritis (DAPSA) score compared to patients without FS. After 6 months of starting b/ts-DMARDs, no differences in severity of arthritis clinimetric indices (disease activity score (DAS) 28 (erythrocyte sedimentation (ESR)) and DAPSA) and Visual Analogue Scale (VAS) pain were found between the patients with FS compared to those without. At the follow-up visit, 36% of the whole group of patients were in LDA (36% ICA patients with FS vs. 35% of ICA patients without FS; p = 0.080), while 17% of patients reached REM (11% ICA with FS vs. 35% ICA without FS patients; p = 0.031). The FS presence appeared to be a factor associated with failure to reach REM (OR 4.5 (95%CI: 1.1–17.8), p = 0.028), but not for achieving LDA (OR 2.7 (95%CI: 0.8–8.9), p = 0.099). The overall retention rate at 6 months was 79%; in particular, 11 patients discontinued treatment with b/ts-DMARD, 69% of whom belonged to the FS group (p = 0.489). Among the group of patients with ICA and FS, patients in LDA/REM presented an important improvement in FSS, SSS, and VAS pain, with the best percentage variation from the baseline of these indices compared to patients who did not achieve the LDA/REM. Of note, sixteen patients with FS at the baseline no longer met the diagnostic criteria for FS after 6 months of follow-up. Conclusions: The presence of FS seems to negatively impact the achievement of REM, but not LDA, in both RA and PsA patients, even in b/ts-DMARDs patients with multi-failure of at least two different MOAs. Only a cluster of patients with FS, presumably those with FS triggered and/or amplified by the chronic joint inflammatory process, appear to improve their perception of FS severity by achieving ICA LDA/REM. However, these findings require further supporting data for more accurate validation. Full article
(This article belongs to the Special Issue Arthritis: From Diagnosis to Treatment)
Show Figures

Figure 1

14 pages, 1413 KB  
Article
Inflammatory Profile and Risk of Post-Intervention Infection in Relation to Myocardial Necrosis Markers
by Alexandra Manuela Buzle, Larisa Renata Pantea-Roșan, Mădălina Ioana Moisi, Priscilla Matache, Marc Cristian Ghitea, Evelin Claudia Ghitea, Maria Flavia Gîtea, Timea Claudia Ghitea and Mircea Ioachim Popescu
Healthcare 2025, 13(18), 2371; https://doi.org/10.3390/healthcare13182371 - 21 Sep 2025
Viewed by 221
Abstract
Background: Post-procedural infection worsens outcomes in acute coronary syndrome (ACS). High-sensitivity cardiac troponin (hs-cTn) reflects myocardial injury, but its utility for infection risk prediction after percutaneous coronary intervention (PCI) is uncertain. Objective: This study aimed to evaluate whether high-sensitivity troponin (hs-cTn) levels are [...] Read more.
Background: Post-procedural infection worsens outcomes in acute coronary syndrome (ACS). High-sensitivity cardiac troponin (hs-cTn) reflects myocardial injury, but its utility for infection risk prediction after percutaneous coronary intervention (PCI) is uncertain. Objective: This study aimed to evaluate whether high-sensitivity troponin (hs-cTn) levels are associated with the risk of infection and systemic inflammation. Methods: We performed an exploratory pilot study of consecutive ACS patients undergoing PCI (n = 181) at a tertiary interventional cardiology unit in Romania. Herein, hs-cTn was measured at 24- and 48-h post-PCI. The primary outcome was in-hospital infection (clinical and/or microbiological documentation), with the acknowledgment that nearly half were clinically diagnosed without microbiological confirmation. We assessed discrimination for hs-cTn48h using ROC analysis and explored associations with systemic markers (CRP, ESR, and leukocytes) and NT-proBNP using Spearman correlations. Results: Infections occurred in 9/181 patients (5.0%; 95% CI, 2.6–9.2). Notably, hs-cTn48h showed AUC = 0.49 (approx. 95% CI, 0.30–0.68) for infection discrimination. Correlations between hs-cTn48h and inflammatory markers were weak and non-significant (CRP ρ = 0.126, p = 0.091; ESR ρ = 0.119, p = 0.111; fibrinogen ρ = 0.134, p = 0.073), whereas hs-cTn48h correlated modestly with NT-proBNP (ρ = 0.232, p = 0.002). Conclusions: In this cohort, hs-cTn48h did not predict in-hospital infection after PCI in ACS. These negative findings highlight that troponin should be interpreted primarily as a marker of myocardial necrosis, not infectious risk. Larger multicenter studies with microbiological adjudication and broader biomarker panels are warranted. Full article
Show Figures

Figure 1

13 pages, 728 KB  
Article
Serum Galectin-3 and Presepsin Levels in Pediatric Familial Mediterranean Fever Patients During Remission: A Prospective Study
by Seyda Dogantan, Peren Perk, Arzu Sekerci Yuksel, Rahime Koc and Adem Keskin
Diagnostics 2025, 15(18), 2403; https://doi.org/10.3390/diagnostics15182403 - 21 Sep 2025
Viewed by 202
Abstract
Background/Objectives: Familial Mediterranean fever (FMF) is the most common hereditary autoinflammatory syndrome, characterized by recurrent fever attacks and serositis. Galectin-3, a β-galactoside-binding lectin involved in inflammation and fibrosis, and presepsin, an established biomarker for bacterial infection and sepsis, have emerged as potential biomarkers [...] Read more.
Background/Objectives: Familial Mediterranean fever (FMF) is the most common hereditary autoinflammatory syndrome, characterized by recurrent fever attacks and serositis. Galectin-3, a β-galactoside-binding lectin involved in inflammation and fibrosis, and presepsin, an established biomarker for bacterial infection and sepsis, have emerged as potential biomarkers for improving diagnostic and prognostic accuracy in autoinflammatory diseases. However, their use in FMF patients is not sufficiently evaluated. This study aims to compare serum galectin-3 and presepsin levels in children with FMF and healthy controls and assess their correlations with conventional acute-phase reactants. Methods: This prospective cross-sectional study included 74 children with confirmed FMF during attack-free periods and 67 age- and gender-matched healthy controls. Clinical and genetic characteristics, complete blood count, C-reactive protein (CRP), serum amyloid-A (SAA), and erythrocyte sedimentation rate (ESR) were recorded. Serum galectin-3 and presepsin levels were measured. Group comparisons and correlation analyses were performed using appropriate statistical tests. Results: Median serum galectin-3 and presepsin was significantly higher in FMF patients than controls (p < 0.001). ESR was significantly higher in FMF patients (p < 0.001), while CRP and SAA showed no significant differences. Correlation analysis revealed a strong positive correlation between galectin-3 and presepsin (r = 0.860, p < 0.001) in FMF patients, with neither correlating with other acute-phase reactants. Conclusions: Galectin-3 and presepsin were found to serve as novel biomarkers reflecting alternative inflammatory pathways in FMF, even during remission. These results, obtained during the attack-free period, indicate the need for further studies to determine the relationship between galectin-3 and presepsin levels and disease activity in FMF. Full article
(This article belongs to the Section Clinical Laboratory Medicine)
Show Figures

Figure 1

20 pages, 1266 KB  
Review
Research Trends and Challenges of Integrated Constant On-Time (COT) Buck Converters
by Seok-Tae Koh and Sunghyun Bae
Electronics 2025, 14(18), 3721; https://doi.org/10.3390/electronics14183721 - 19 Sep 2025
Viewed by 320
Abstract
Constant on-time (COT) buck converters offer fast transient responses and a simple architecture but face challenges like switching frequency variation, instability with low-equivalent series resistance (ESR) capacitors, and DC output voltage offset. This paper reviews advanced COT control techniques developed to overcome these [...] Read more.
Constant on-time (COT) buck converters offer fast transient responses and a simple architecture but face challenges like switching frequency variation, instability with low-equivalent series resistance (ESR) capacitors, and DC output voltage offset. This paper reviews advanced COT control techniques developed to overcome these limitations. We examine methods for frequency stabilization (e.g., adaptive on-time, phase-locked loop), stability with low-ESR capacitors (e.g., passive and active ripple injection, virtual inductor current), and improved DC regulation (e.g., offset cancellation). This review also covers techniques for optimizing transient response and multiphase architectures for high-current applications. Full article
(This article belongs to the Section Circuit and Signal Processing)
Show Figures

Figure 1

26 pages, 5539 KB  
Article
Exploring the Therapeutic Potential of Epigallocatechin-3-gallate (Green Tea) in Periodontitis Using Network Pharmacology and Molecular Modeling Approach
by Balu Kamaraj
Int. J. Mol. Sci. 2025, 26(18), 9144; https://doi.org/10.3390/ijms26189144 - 19 Sep 2025
Viewed by 196
Abstract
Periodontitis is a common inflammatory disease affecting the supporting structures of teeth. Epigallocatechin-3-gallate (EGCG), a polyphenol found in green tea, is known for its therapeutic properties in various diseases, including periodontitis. This study aims to identify the gene targets of EGCG and investigate [...] Read more.
Periodontitis is a common inflammatory disease affecting the supporting structures of teeth. Epigallocatechin-3-gallate (EGCG), a polyphenol found in green tea, is known for its therapeutic properties in various diseases, including periodontitis. This study aims to identify the gene targets of EGCG and investigate its potential in modulating molecular pathways associated with periodontitis. The potential gene targets of EGCG were obtained from the traditional Chinese medicine systems pharmacology database and analysis platform (TCMSP) and SwissTargetPrediction databases, while genes associated with periodontitis were sourced from GeneCards and Gene Expression Omnibus (GEO) datasets. By overlapping the two datasets, ten common target genes were identified. To explore their functional relevance, enrichment analyses such as Gene Ontology (GO) and REACTOME pathway mapping were conducted. Protein–protein interaction (PPI) networks were then generated, and further analyses involving molecular docking and molecular dynamics (MD) simulations were carried out to evaluate the binding affinity and structural stability of EGCG with the selected target proteins. Ten common genes (MMP2, MMP14, BCL2, STAT1, HIF1A, MMP9, MMP13, VEGFA, ESR1, and PPARG) were identified. PPI network and GO and pathway analyses identified the promising hub genes as ESR1, MMP2, MMP9, MMP13, and STAT1 and which highlighted roles in tissue development, extracellular matrix remodeling, and signaling pathways such as interleukin and matrix metalloproteinase activities. Molecular docking and MD simulations revealed strong binding interactions between EGCG and key proteins (ESR1, MMP2, MMP9, MMP13, and STAT1), with favorable binding energies and stable complexes. Among these, ESR1 and MMP13 exhibited the most favorable docking scores and stability in molecular dynamics simulations and MM–PBSA calculations. This study provides valuable insights into the molecular mechanisms of EGCG in periodontitis treatment. The findings suggest that ESR1 and MMP13 are the most promising targets for EGCG, supported by strong binding interactions and stable conformations in simulations. These results offer a foundation for further experimental studies and potential therapeutic applications of EGCG in managing periodontitis. Full article
(This article belongs to the Section Molecular Pharmacology)
Show Figures

Figure 1

21 pages, 5069 KB  
Article
Integrated miRNA-mRNA Analyses of Triple-Negative Breast Cancer in Black and White Patients with or Without Obesity
by Fokhrul Hossain, Martha I. Gonzalez-Ramirez, Jone Garai, Diana Polania-Villanueva, Li Li, Farzeen Nafees, Md Manirujjaman, Bolin Liu, Samarpan Majumder, Xiao-Cheng Wu, Chindo Hicks, Luis Del Valle, Denise Danos, Augusto Ochoa, Lucio Miele and Jovanny Zabaleta
Int. J. Mol. Sci. 2025, 26(18), 9101; https://doi.org/10.3390/ijms26189101 - 18 Sep 2025
Viewed by 240
Abstract
Triple-negative breast cancer (TNBC) is an aggressive, heterogeneous subtype of breast cancer. miRNAs play an essential role in TNBC pathogenesis and prognosis. Obesity is linked with an increased risk for several cancers, including breast cancer. Obesity is also related to the dysregulation of [...] Read more.
Triple-negative breast cancer (TNBC) is an aggressive, heterogeneous subtype of breast cancer. miRNAs play an essential role in TNBC pathogenesis and prognosis. Obesity is linked with an increased risk for several cancers, including breast cancer. Obesity is also related to the dysregulation of miRNA expression in adipose tissues. However, there is limited knowledge about race- and obesity-specific differential miRNA expression in TNBC. We performed miRNA sequencing of 48 samples (24 tumor and 24 adjacent non-tumor tissues) and RNA sequencing of 24 tumors samples from Black (AA) and White (EA) TNBC patients with or without obesity. We identified 55 miRNAs exclusively associated with tumors in obese EA patients and 33 miRNAs in obese AA patients, each capable of distinguishing tumor tissues from obese from lean individuals within their respective racial groups. In EA, we detected 41 significant miRNA–mRNA correlations. Notably, miR-181b-5p and miR-877-5p acted as negative regulators of tumor-suppressor genes (e.g., HEY2, MCL2, HAND2), while miR-204-5p and miR-143-3p appeared to indirectly target oncogenes (e.g., RAB10, DR1, PTBP3, NCBP1). Among AA patients, we found 28 significant miRNA–mRNA interactions. miR-195-5p, miR-130a-3p, miR-130a-5p, miR-424-5p, miR-148a-3p, miR-374-5p, and miR-30a-5p each potentially downregulated two or more genes (e.g., CLCN4, PLCB1, CDC25B, AEBP2, ERBB4). Pathway enrichment analysis highlighted KRAS, ESR1, ESR2, RAB10, TNRC6C, and NCAN as the most commonly differentially expressed in EA, whereas ERBB4, PLCB1, and SERPINE1 were most frequently in AA. These findings highlight the importance of considering race-specific miRNA–mRNA signatures in understanding TNBC in the context of obesity, offering insights into biomarker-driven patient stratification for targeted therapeutic strategies. Full article
(This article belongs to the Special Issue Molecular Genetics of Breast Cancer—Recent Progress)
Show Figures

Figure 1

9 pages, 873 KB  
Review
Extended Color Doppler Ultrasound in the Diagnosis of Giant Cell Arteritis: Clinical Insights and Literature Review with Emphasis on Posterior Circulation Involvement
by Ivan Privitera, Luca Costanzo, Paola Magnano San LIo, Raffaella Romano, Salvatore Piro and Marcello Romano
J. Vasc. Dis. 2025, 4(3), 37; https://doi.org/10.3390/jvd4030037 - 18 Sep 2025
Viewed by 247
Abstract
Background: Giant cell arteritis (GCA) is a systemic granulomatous vasculitis affecting large and medium-sized arteries, predominantly in individuals over 50 years. While it traditionally involves cranial branches of the external carotid artery, particularly the temporal arteries, growing evidence underscores frequent extracranial involvement, especially [...] Read more.
Background: Giant cell arteritis (GCA) is a systemic granulomatous vasculitis affecting large and medium-sized arteries, predominantly in individuals over 50 years. While it traditionally involves cranial branches of the external carotid artery, particularly the temporal arteries, growing evidence underscores frequent extracranial involvement, especially in the supra-aortic trunks. Objective: We aimed to critically review the diagnostic utility of extended Color Doppler Ultrasound (CDUS) in GCA, with a focus on vertebrobasilar involvement and current international imaging guidelines. Methods: Taking inspiration from a representative case of extracranial GCA with vertebrobasilar ischemic events, the current literature and international recommendations (e.g., EULAR, ACR, BSR and SIR) were reviewed. Results: Diagnostic accuracy significantly improves when CDUS is extended to include carotid, vertebral, subclavian and axillary arteries. Elevated inflammatory markers such as erythrocyte sedimentation rate (ESR) and C-reactive protein (CRP) correlate with large-vessel involvement and support the use of extended scanning protocols. International guidelines vary in their emphasis on extended CDUS, but consensus is growing toward ultrasound imaging-first strategies in expert hands. Conclusion: Extended CDUS is a sensitive, non-invasive first-line diagnostic tool for GCA. In patients with symptoms of the posterior cerebral circulation and elevated inflammatory indices, early comprehensive vascular imaging reduces diagnostic delay and may obviate the need for temporal artery biopsy. Full article
(This article belongs to the Section Peripheral Vascular Diseases)
Show Figures

Figure 1

Back to TopTop