Sign in to use this feature.

Years

Between: -

Subjects

remove_circle_outline
remove_circle_outline
remove_circle_outline
remove_circle_outline
remove_circle_outline
remove_circle_outline
remove_circle_outline
remove_circle_outline
remove_circle_outline

Journals

remove_circle_outline
remove_circle_outline
remove_circle_outline

Article Types

Countries / Regions

Search Results (329)

Search Parameters:
Keywords = Cave in rock

Order results
Result details
Results per page
Select all
Export citation of selected articles as:
22 pages, 14271 KB  
Article
Fracture Instability Law of Thick Hard Direct Covering Roof and Fracturing and Releasing Promotion Technology
by Xingping Lai, Chuan Ai, Helong Gu, Hao Wang and Chong Jia
Appl. Sci. 2026, 16(2), 806; https://doi.org/10.3390/app16020806 - 13 Jan 2026
Abstract
Because of its strong bearing capacity and large size, a thick and hard roof is the main source of strong ground pressure in a stope, and its breaking and migration mechanism and effective control are very important for realizing safe and efficient mining [...] Read more.
Because of its strong bearing capacity and large size, a thick and hard roof is the main source of strong ground pressure in a stope, and its breaking and migration mechanism and effective control are very important for realizing safe and efficient mining in coal mines. In this paper, by constructing a numerical model that fully considers the actual occurrence conditions of such a roof, the control law of the occurrence conditions of a thick and hard roof on its fracture law and strata behavior is systematically studied, and the control mechanism of the movement and hydraulic fracturing of this kind of roof is revealed. The results show that (1) the fracture process of a thick hard roof is characterized by three stages—crack initiation, extension, and overall instability—and the “pressure arch” structure formed by the overlying huge hard rock stratum is the fundamental force source leading to strong ground pressure; (2) the roof thickness and horizon significantly control the stress distribution and fracture behavior of coal and rock mass, and the peak stress of coal and rock mass is positively correlated with the roof thickness, but negatively correlated with its horizon; (3) with the increase in roof thickness, the dominant fracture mechanism changes from tension type to tension–shear composite type, which leads to a significant increase in fracture step. Hydraulic fracturing technology can effectively cut off the “pressure arch” structure and optimize the stress field of surrounding rock. After fracturing, the first weighting step and weighting strength are reduced by 36% and 38.1%, respectively. An industrial test shows that a fracturing treatment realizes timely and orderly roof caving and achieves the controllable weakening and safe promotion of the thick and hard roof. This study provides a solid theoretical basis and a successful engineering practice model for roof disaster prevention and control under similar geological conditions. Full article
(This article belongs to the Special Issue Advanced Technologies in Intelligent and Sustainable Coal Mining)
Show Figures

Figure 1

18 pages, 3417 KB  
Article
A Physical Modeling Method for the Bulking–Compaction Behavior of Rock Mass in the Caving Zone
by Xiaojun Chen, Wei Qin, Jialin Xu, Jian Li and Ruilin Yao
Appl. Sci. 2026, 16(1), 423; https://doi.org/10.3390/app16010423 - 30 Dec 2025
Viewed by 177
Abstract
Traditional physical similarity simulation methods struggle to replicate the cumulative unloading–expansion effect in overburden, particularly due to inherent limitations in representing the bulking–compaction behavior of fractured rock masses in the caving zone. This significantly hinders a deeper understanding of overburden movement mechanisms. To [...] Read more.
Traditional physical similarity simulation methods struggle to replicate the cumulative unloading–expansion effect in overburden, particularly due to inherent limitations in representing the bulking–compaction behavior of fractured rock masses in the caving zone. This significantly hinders a deeper understanding of overburden movement mechanisms. To address this technical challenge, this study innovatively proposes an experimental method designed to simulate the bulking–compaction process of rock masses in the caving zone. The method employs a composite of EPE and PP sheets. Through systematic uniaxial compression tests and orthogonal experimental design optimization, an optimal material mix ratio with superior performance was identified. Its stress–strain behavior was systematically analyzed, and its feasibility was comprehensively verified from the perspective of the synergistic evolution of displacement and stress fields. The results demonstrate that the stress–strain response of the new similar simulation material (SSM) aligns highly with the Salamon model. Furthermore, its load-bearing capacity exhibits a non-linear strengthening characteristic with increasing EPE thickness. Physical simulation validation tests, based on the engineering context of the Shilawusu Coal Mine, showed that all the relative error parameters were strictly controlled within 12%. The overall accuracy was significantly superior to existing simulation methods, achieving a substantial reduction in prediction errors for key parameters. Full article
Show Figures

Figure 1

23 pages, 8309 KB  
Article
Study on the Mechanism of Intense Strata Behavior and Control Technology for Goaf-Side Roadway in Extra-Thick Coal Seam
by Shuai Yan, Yongjie Wang, Jianbiao Bai, Xiaolin Li and Qundi Qu
Appl. Sci. 2026, 16(1), 378; https://doi.org/10.3390/app16010378 - 29 Dec 2025
Viewed by 222
Abstract
With the depletion of shallow coal resources, deep extra-thick coal seam mining has become vital for energy security, yet fully mechanized top-coal caving (FMTC) goaf-side roadways face severe challenges of excessive advanced deformation and intense strata behavior. To address this gap, this study [...] Read more.
With the depletion of shallow coal resources, deep extra-thick coal seam mining has become vital for energy security, yet fully mechanized top-coal caving (FMTC) goaf-side roadways face severe challenges of excessive advanced deformation and intense strata behavior. To address this gap, this study took the 4301 tailgate of a coal mine in Shaanxi province as the engineering background, integrating field investigation, theoretical analysis, FLAC3D numerical simulation, and industrial tests. Guided by the key stratum theory, we systematically analyzed the influence of overlying key strata fracture on strata pressure. The results show three key strata: near-field secondary key strata (KS1, KS2) with “vertical O-X” fracturing and far-field main key stratum (MKS) with “horizontal O-X” fracturing. The radial extrusion force from MKS rotational blocks is the core cause of 200 m range advanced deformation. A collaborative control scheme of near-field key strata directional fracturing roof-cutting pressure relief and high-strength bolt-cable support was proposed. Industrial verification indicates roadway deformation was significantly reduced, with roof subsidence, floor heave, and rib convergence controlled within safe engineering limits. This study fills the gap of insufficient research on far-field key strata’s impact, providing a reliable technical solution for similar extra-thick coal seam FMTC goaf-side roadway surrounding rock control. Full article
Show Figures

Figure 1

19 pages, 5167 KB  
Article
Safety Support Design and Sustainable Guarantee Method for Gob-Side Roadway Along Thick Coal Seams
by Peng Huang, Bo Wu, Erkan Topal, Hu Shao, Zhenjiang You, Shuxuan Ma and Ruirui Chen
Sustainability 2026, 18(1), 346; https://doi.org/10.3390/su18010346 - 29 Dec 2025
Viewed by 230
Abstract
Maintaining the stability of the mine roadway is of paramount importance, as it is critical in ensuring the daily operational continuity, personnel safety, long-term economic viability, and sustainability of the entire mining operation. Significant instability can trigger serious disruptions—such as production stoppages, equipment [...] Read more.
Maintaining the stability of the mine roadway is of paramount importance, as it is critical in ensuring the daily operational continuity, personnel safety, long-term economic viability, and sustainability of the entire mining operation. Significant instability can trigger serious disruptions—such as production stoppages, equipment damage, and severe safety incidents—which ultimately compromise the project’s financial returns and future prospects. Therefore, the proactive assessment and rigorous control of roadway stability constitute a foundational element of successful and sustainable resource extraction. In China, thick and extra-thick coal seams constitute over 44% of the total recoverable coal reserves. Consequently, their safe and efficient extraction is considered vital in guaranteeing energy security and enhancing the efficiency of resource utilization. The surrounding rock of gob-side roadways in typical coal seams is often fractured due to high ground stress, intensive mining disturbances, and overhanging goaf roofs. Consequently, asymmetric failure patterns such as bolt failure, steel belt tearing, anchor cable fracture, and shoulder corner convergence are common in these entries, which pose a serious threat to mine safety and sustainable mining operations. This deformation and failure process is associated with several parameters, including the coal seam thickness, mining technology, and surrounding rock properties, and can lead to engineering hazards such as roof subsidence, rib spalling, and floor heave. This study proposes countermeasures against asymmetric deformation affecting gob-side entries under intensive mining pressure during the fully mechanized caving of extra-thick coal seams. This research selects the 8110 working face of a representative coal mine as the case study. Through integrated field investigation and engineering analysis, the principal factors governing entry stability are identified, and effective control strategies are subsequently proposed. An elastic foundation beam model is developed, and the corresponding deflection differential equation is formulated. The deflection and stress distributions of the immediate roof beam are thereby determined. A systematic analysis of the asymmetric deformation mechanism and its principal influencing factors is conducted using the control variable method. A support approach employing a mechanical constant-resistance single prop (MCRSP) has been developed and validated through practical application. The findings demonstrate that the frequently observed asymmetric deformation in gob-side entries is primarily induced by the combined effect of the working face’s front abutment pressure and the lateral pressure originating from the neighboring goaf area. It is found that parameters including the immediate roof thickness, roadway span, and its peak stress have a significant influence on entry convergence. Under both primary and secondary mining conditions, the maximum subsidence shows an inverse relationship with the immediate roof thickness, while exhibiting a positive correlation with both the roadway span and the peak stress. Based on the theoretical analysis, an advanced support scheme, which centers on the application of an MCRSP, is designed. Field monitoring data confirm that the peak roof subsidence and two-side closure are successfully limited to 663 mm and 428 mm, respectively. This support method leads to a notable reduction in roof separation and surrounding rock deformation, thereby establishing a theoretical and technical foundation for the green and safe mining of deep extra-thick coal seams. Full article
(This article belongs to the Special Issue Scientific Disposal and Utilization of Coal-Based Solid Waste)
Show Figures

Figure 1

34 pages, 11631 KB  
Article
Differential Karst Control of Carbonate Reservoirs: A Case Study of the Fourth Member of Sinian Dengying Formation in Gaoshiti-Moxi, Sichuan Basin, SW China
by Guoquan Nie, Dengfa He, Qingyu Zhang, Xiaopan Li, Shaocong Ji, Guochen Mo and Meng Zhang
Minerals 2025, 15(12), 1314; https://doi.org/10.3390/min15121314 - 16 Dec 2025
Viewed by 278
Abstract
The dolomite of the fourth member of Dengying Formation in Gaoshiti-Moxi area of central Sichuan Basin is rich in hydrocarbon resources. It has experienced superimposition-reformation of multistage karstification, and is the key target for studying deep ancient carbonate reservoirs. Exploration and development practices [...] Read more.
The dolomite of the fourth member of Dengying Formation in Gaoshiti-Moxi area of central Sichuan Basin is rich in hydrocarbon resources. It has experienced superimposition-reformation of multistage karstification, and is the key target for studying deep ancient carbonate reservoirs. Exploration and development practices show that there are great differences in the development of karst reservoirs of the fourth member of Dengying Formation between the platform margin and intraplatform in Gaoshiti-Moxi area. However, the differences in the genetic mechanism of karst reservoirs between these two zones are unclear. Therefore, based on an integrated analysis of core, thin section, drilling, logging, and geochemical test data, this study clarifies the differences in karstification between the platform margin and intraplatform and conducts a comparative analysis of the controlling factors for the differences in karst reservoirs. Results show that the fourth member of Dengying Formation experienced superimposition-reformation of four types of paleokarstification, including eogenetic meteoric water karst, supergene karst, coastal mixed water karst, and burial karst. Large-scale dissolved fractures and caves are mainly controlled by meteoric water karstification, primarily developing three types of reservoir space: vug type, fracture-vug type, and cave type. Dolomite and quartz fillings are mainly formed in the medium-deep burial period. Four types of paleokarstification are developed in the platform margin, while the coastal mixed water karst is not developed in the intraplatform. Eogenetic meteoric water karst and supergene karst in the platform margin are stronger than those in the intraplatform, while burial karst shows no notable difference between the two zones. The thickness of soluble rock (mound-shoal complex), karst paleogeomorphology, and different types of paleokarstification are the main controlling factors for the difference in karst reservoirs between the platform margin and the intraplatform. Full article
(This article belongs to the Section Mineral Exploration Methods and Applications)
Show Figures

Figure 1

17 pages, 4683 KB  
Article
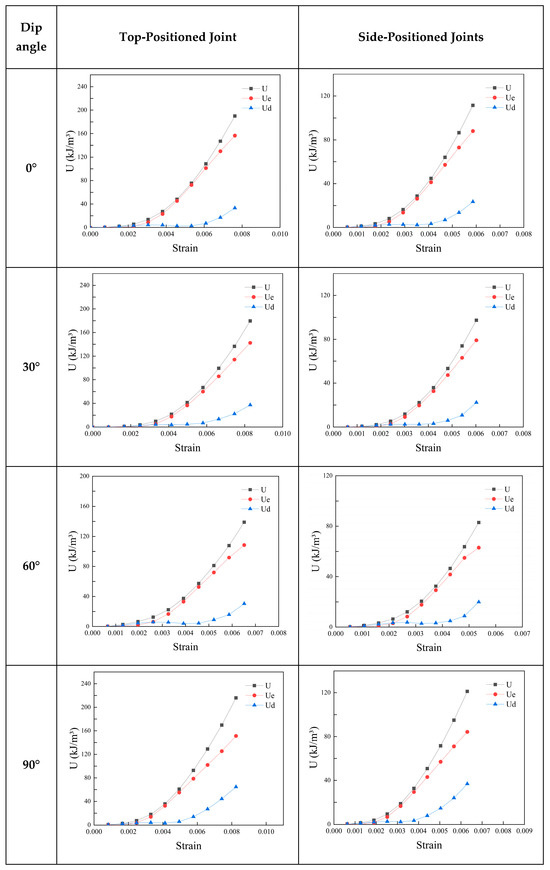
Uniaxial Compression Behavior of Large-Scale Jointed Rock Mass Containing Karst Caves Under Local Load of Pile Foundation
by Jianmin Guo, Songtao Zhang, Chunshan Yang, Eran Yang and Yadong Li
Buildings 2025, 15(24), 4527; https://doi.org/10.3390/buildings15244527 - 15 Dec 2025
Viewed by 189
Abstract
The stability of rock masses in karst regions is critically influenced by the coexistence of karst caves and joints. This study investigates the mechanical behavior, energy evolution, and failure modes of large-scale (1 m3) rock-like specimens containing a 30 cm karst [...] Read more.
The stability of rock masses in karst regions is critically influenced by the coexistence of karst caves and joints. This study investigates the mechanical behavior, energy evolution, and failure modes of large-scale (1 m3) rock-like specimens containing a 30 cm karst cave and joints at varying positions and dip angles (α). The results indicate that joint dip angles between 30° and 60° define a critical strength deterioration zone, with the minimum peak strength (44 MPa, 24.1% lower than the 0° specimen) occurring at α = 60°. Side-positioned joints induced greater strength weakening than top-positioned ones. Energy analysis revealed that α significantly governs energy accumulation and dissipation; the elastic energy minimum was also observed at α = 60°. Specimens with side-positioned joints exhibited higher energy dissipation efficiency, promoting extensive crack propagation. The research results suggest that in engineering, are as with joints inclined at 30–60° should be avoided as much as possible, and the energy-dissipating capacity of near-vertical (~90°) joints should be utilized to enhance the stability of the rock mass in karst tunnel engineering. Full article
Show Figures

Figure 1

22 pages, 6432 KB  
Article
Minerals as Windows into Habitability on Lava Tube Basalts: A Biogeochemical Study at Lava Beds National Monument, CA
by Dina M. Bower, Amy C. McAdam, Clayton S. C. Yang, Feng Jin, Maeva Millan, Clara Christiann, Mathilde Mussetta, Christine Knudson, Jamielyn Jarvis, Sarah Johnson, Zachariah John, Catherine Maggiori, Patrick Whelley and Jacob Richardson
Minerals 2025, 15(12), 1303; https://doi.org/10.3390/min15121303 - 14 Dec 2025
Viewed by 404
Abstract
Lava tubes on Earth provide unique hydrogeological niches for life to proliferate. Orbital observations of the Martian surface indicate the presence of lava tubes, which could hold the potential for extant life or the preservation of past life within a subsurface environment protected [...] Read more.
Lava tubes on Earth provide unique hydrogeological niches for life to proliferate. Orbital observations of the Martian surface indicate the presence of lava tubes, which could hold the potential for extant life or the preservation of past life within a subsurface environment protected from harsh conditions or weathering at the surface. Secondary minerals in lava tubes form as a combination of abiotic and biotic processes. Microbes colonize the surfaces rich in these secondary minerals, and their actions induce further alteration of the mineral deposits and host basalts. We conducted a biogeochemical investigation of basaltic lava tubes in the Medicine Lake region of northern California by characterizing the compositional variations in secondary minerals, organic compounds, microbial communities, and the host rocks to better understand how their biogeochemical signatures could indicate habitability. We used methods applicable to landed Mars missions, including Raman spectroscopy, X-ray diffraction (XRD), Laser-Induced Breakdown Spectroscopy (LIBS), and gas chromatography–mass spectrometry (GC-MS), along with scanning electron microscopy (SEM) and metagenomic DNA/RNA sequencing. The main secondary minerals, amorphous silicates, and calcite, formed abiotically from the cave waters. Two types of gypsum, large euhedral grains with halites, and cryptocrystalline masses near microbial material, were observed in our samples, indicating different formation pathways. The cryptocrystalline gypsum, along with clay minerals, was associated with microbial materials and biomolecular signatures among weathered primary basalt minerals, suggesting that their formation was related to biologic processes. Some of the genes and pathways observed indicated a mix of metabolisms, including those involved in sulfur and nitrogen cycling. The spatial relationships of microbial material, Cu-enriched hematite in the host basalts, and genetic signatures indicative of metal cycling also pointed to localized Fe oxidation and mobilization of Cu by the microbial communities. Collectively these results affirm the availability of bio-essential elements supporting diverse microbial populations on lava tube basalts. Further work exploring these relationships in lava tubes is needed to unravel the intertwined nature of abiotic and biotic interactions and how that affects habitability in these environments on Earth and the potential for life on Mars. Full article
(This article belongs to the Special Issue Exploring Novel Interactions Between Microbes and Minerals)
Show Figures

Figure 1

28 pages, 16583 KB  
Article
Investigation of Overburden Fracture Evolution and Feasibility of Upward Mining in Shallow-Buried Coal Seams
by Baoming Fang, Fuhai Wang, Fan Wang, Haibo Liu, Xuming Guo and Wen Wang
Appl. Sci. 2025, 15(24), 13028; https://doi.org/10.3390/app152413028 - 10 Dec 2025
Viewed by 293
Abstract
Taking Yujialiang Coal Mine as the engineering background, aiming at the actual demand of 5-2 coal seam mining and 4-4 coal seam upward mining, the temporal evolution and spatial distribution characteristics of overburden failure height after 5-2 coal seam mining are systematically investigated [...] Read more.
Taking Yujialiang Coal Mine as the engineering background, aiming at the actual demand of 5-2 coal seam mining and 4-4 coal seam upward mining, the temporal evolution and spatial distribution characteristics of overburden failure height after 5-2 coal seam mining are systematically investigated by using multi-source field detection technology such as ground drilling, logging, and borehole peeping, combined with a numerical simulation method. The field detection results show that after the 5-2 coal seam is mined, the development height of the water-conducting fracture zone (WCFZ) is 116.25–129.92 m, and the height of the caving zone is 9.32–21.56 m. The 4-4 coal seam is located within the fracture zone, 15.99–22.88 m above the caving zone. The strength of the 4-4 coal seam and its surrounding rock affected by mining is reduced, with a more significant decrease in the middle of the goaf. The numerical simulation further reveals the law of overburden movement and deformation. After the 5-2 coal seam mining, the maximum subsidence of the 4-4 coal seam floor reaches 4.57 m, and there is stress concentration above the remaining coal pillars. The maximum vertical stress after mining all three working faces (52,204, 52,205, 52,206) is 4.10 MPa, and the stress environment above the goaf is better. The results show that the average distance between the 4-4 coal seam and 5-2 coal seam is about 39.45 m, and the upward mining is feasible, but the stability of the rock strata in the fracture zone should be paid more attention to. Based on the movement law of overlying strata and the characteristics of stress distribution, it is suggested that the mining gateway of the 4-4 coal seam should be arranged in the middle of the remaining coal pillar of the 5-2 coal seam or the corresponding area in the middle of the goaf so as to ensure the stability of the roadway surrounding the rock during mining. The research results provide a reliable theoretical basis and technical support for the upward mining design of the 4-4 coal seam in Yujialiang Coal Mine and have important reference value for the upward mining projects of coal mines under similar conditions. Full article
(This article belongs to the Special Issue Mining-Induced Rock Strata Damage and Mine Disaster Control)
Show Figures

Figure 1

25 pages, 5227 KB  
Article
Analysis of the Influence of Underlying Karst Caves on the Stability of Pipe Jacking Construction Based on the Finite Element Method
by Duozhi Wang, Jianbin Xie, Kewen Liu, Zan Xu, He Zhan and Haonan Zhang
Eng 2025, 6(12), 334; https://doi.org/10.3390/eng6120334 - 23 Nov 2025
Viewed by 331
Abstract
To investigate the impact of subsurface karst cavities on the stability of pipe jacking construction, this study utilizes the Yunnan Central Water Diversion Project as a real-world case. Employing ABAQUS finite element software to establish a numerical model, it systematically analyzes construction stability [...] Read more.
To investigate the impact of subsurface karst cavities on the stability of pipe jacking construction, this study utilizes the Yunnan Central Water Diversion Project as a real-world case. Employing ABAQUS finite element software to establish a numerical model, it systematically analyzes construction stability under the specific condition of “karst cavities present ahead of the excavation direction” in karst formations. The research focuses on examining the effects of four key scenarios on the displacement and stress response of surrounding rock and pipe segments. These conditions specifically include the following: tunnel burial depth (10 m, 15 m, 20 m, 25 m), cavity diameter beneath the tunnel (1–4 m), cavity filling status, and distance between the cavity and the tunnel (1–4 m). The study reveals that in composite stratum tunnel construction, when cavities exist in the strata ahead, multi-area displacements increase progressively with cavity size. Displacement changes accelerate and magnify when the cutting face of the jacking machine approaches within approximately 2.5 m of the cavity. However, no significant difference is observed between soft plastic clay reinforcement and slurry reinforcement effects. When composite stratum tunnels traverse beneath karst caves, the maximum upward bulge at tunnel bases occurs at 1-meter diameter caves, reaching approximately 2.5 mm. When the diameter of the cave increases to 4 m, the arching settles to a maximum. As tunnel burial depth increases, the arch base rises while the crown sinks, with settlement magnitude exceeding bulge amount. The displacement and stress fields from the initial excavation phase become disturbed, intensify, and then stabilize. When the jacking machine reaches directly above the cavern, stress at the crown base increases while stress at the crown top decreases. The pipe bottom exhibits uplift, and the pipe top shows reduced settlement directly above the cavern. Cavern filling has a minor effect on pipe-segment displacement, with segments deforming into an approximate elliptical shape. At the completion stage of excavation, the maximum Mises stress occurs at the top of the launch-end pipe segment. While cavern-related factors have a limited influence on the pipe-segment Mises stress, this stress gradually increases as excavation progresses. Full article
(This article belongs to the Special Issue Advanced Numerical Simulation Techniques for Geotechnical Engineering)
Show Figures

Figure 1

25 pages, 9232 KB  
Article
Distributed Fiber Optic Sensing for Monitoring Mining-Induced Overburden Deformation
by Shunjie Huang, Xiangrui Meng, Guangming Zhao, Xiang Cheng, Xiangqian Wang and Kangshuo Xia
Coatings 2025, 15(11), 1317; https://doi.org/10.3390/coatings15111317 - 11 Nov 2025
Viewed by 764
Abstract
The accurate real-time delineation of overburden failure zones, specifically the caved and water-conducted fracture zones, remains a significant challenge in longwall mining, as conventional monitoring methods often lack the spatial continuity and resolution for precise, full-profile strain measurement. Based on the hydrogeological data [...] Read more.
The accurate real-time delineation of overburden failure zones, specifically the caved and water-conducted fracture zones, remains a significant challenge in longwall mining, as conventional monitoring methods often lack the spatial continuity and resolution for precise, full-profile strain measurement. Based on the hydrogeological data of the E9103 working face in Hengjin Coal Mine, a numerical calculation model for the overburden strata of the E9103 working face was established to simulate and analyze the stress distribution, failure characteristics, and development height of the water-conducting fracture zones in the overburden strata of the working face. To address this problem, this study presents the application of a distributed optical fiber sensing (DOFS) system, centering on an innovative fiber installation technology. The methodology involves embedding the sensing fiber into boreholes within the overlying strata and employing grouting to achieve effective coupling with the rock mass, a critical step that restores the in situ geological environment and ensures measurement reliability. Field validation at the E9103 longwall face successfully captured the dynamic evolution of the strain field during mining. The results quantitatively identified the caved zone at a height of 13.1–16.33 m and the water-conducted fracture zone at 58–60.6 m. By detecting abrupt strain changes, the system enables the back-analysis of fracture propagation paths and the identification of potential seepage channels. This work demonstrates that the proposed DOFS-based monitoring system, with its precise spatial resolution and real-time capability, provides a robust scientific basis for the early warning of roof hazards, such as water inrushes, thereby contributing to the advancement of intelligent and safe mining practices. Full article
Show Figures

Figure 1

29 pages, 14729 KB  
Article
A Hybrid Approach to Geomechanical Modeling of Mining Excavation Loads: Integration of Influence Function Model into FDM Simulations
by Roman Ścigała and Marek Jendryś
Appl. Sci. 2025, 15(21), 11804; https://doi.org/10.3390/app152111804 - 5 Nov 2025
Viewed by 383
Abstract
This paper presents a hybrid methodology for predicting rock mass deformation and roadway loads induced by longwall mining. The approach combines the classical Budryk–Knothe influence function model with numerical simulations in the FLAC3D finite difference environment. Instead of explicitly reproducing large-scale excavation and [...] Read more.
This paper presents a hybrid methodology for predicting rock mass deformation and roadway loads induced by longwall mining. The approach combines the classical Budryk–Knothe influence function model with numerical simulations in the FLAC3D finite difference environment. Instead of explicitly reproducing large-scale excavation and caving, the impact of mining is introduced through analytically derived displacement boundary conditions applied to the numerical model. This allows detailed analyses of the rock mass deformation state while significantly reducing computational effort compared with conventional geomechanical models. The methodology involves deriving displacement components from the Budryk–Knothe influence function, implementing them through Python 3.6.1 scripts in FLAC3D 7.00, and performing stepwise simulations of longwall advance. Results show that the proposed approach reduces the number of finite difference zones by nearly an order of magnitude, achieving more than a tenfold decrease in computation time. At the same time, the displacement and stress distributions obtained remain consistent with both the analytical Budryk–Knothe solution and those from the classical numerical model. The study demonstrates that this methodology provides a reliable and efficient tool for assessing stress redistribution and deformation around roadway excavations influenced by mining. Its application enhances the accuracy of deformation predictions, supports support system design, and improves safety and efficiency in underground mining operations. Full article
Show Figures

Figure 1

20 pages, 6906 KB  
Article
Physical–Digital Integration-Based Study on Strong Mine Pressure Formation Mechanism Under Dynamic Chain Effect from Multi-Layer Control
by Chaowen Hu, Xiaojie Yang, Bo Pan, Yichao Li, Fulong Sun and Yang Jiao
Processes 2025, 13(11), 3378; https://doi.org/10.3390/pr13113378 - 22 Oct 2025
Viewed by 368
Abstract
To alleviate strong strata-pressure bursts during ultra-thick coal extraction, we selected the 26 m number five seam of the Chenjiagou Coal Mine as a full-scale prototype. Three objectives were pursued: (1) elucidate the initiation mechanism of high-energy roof failures under top-coal caving (TCC); [...] Read more.
To alleviate strong strata-pressure bursts during ultra-thick coal extraction, we selected the 26 m number five seam of the Chenjiagou Coal Mine as a full-scale prototype. Three objectives were pursued: (1) elucidate the initiation mechanism of high-energy roof failures under top-coal caving (TCC); (2) quantitatively link the failure sequence of key strata to burst intensity; and (3) deliver field-oriented prevention criteria. A 1:300 physical similarity model and UDEC plane-strain simulations were combined to monitor roof deformation, stress evolution and dynamic response during extraction. Results demonstrate that pressure bursts are driven by abrupt kinematics of the overburden, triggered by sequential breakage of key horizons: the secondary key stratum collapsed at 130 m face advance, followed by the main-key stratum at 360 m. Their combined rupture generated a violent energy release, with roof displacement accelerating markedly after the main horizon failed. We therefore propose two dimensionless indices—the dynamic load factor (DLF) and stress concentration factor (SCF)—to characterize burst severity; peak values reached 1.62 and 2.43, respectively, while pronounced stress accumulation was localized 6–15 m ahead of the face. These metrics furnish a theoretical basis for early warning systems and control strategies aimed at intense rock burst. Full article
Show Figures

Figure 1

16 pages, 1912 KB  
Article
Some Like It Rock ‘N’ Cold: Speleomycology of Ravništarka Cave (Serbia)
by Miloš Stupar, Željko Savković, Marija Pećić, Dragana Jerinkić, Olga Jakovljević and Slađana Popović
J. Fungi 2025, 11(10), 706; https://doi.org/10.3390/jof11100706 - 29 Sep 2025
Cited by 1 | Viewed by 803
Abstract
Caves and other subterranean ecosystems are characterized by stable, low temperatures, high humidity, and limited nutrient input, creating unique environments for extremophilic microorganisms. Among them, fungi play key roles in organic matter degradation, mineral interactions, and biogeochemical cycling, yet the diversity and adaptations [...] Read more.
Caves and other subterranean ecosystems are characterized by stable, low temperatures, high humidity, and limited nutrient input, creating unique environments for extremophilic microorganisms. Among them, fungi play key roles in organic matter degradation, mineral interactions, and biogeochemical cycling, yet the diversity and adaptations of cold-adapted fungi in cave habitats remain insufficiently explored. This study investigated psychrophilic and psychrotolerant fungi inhabiting the stone surfaces of Ravništarka Cave in Eastern Serbia. Biofilm samples were collected from nine sites and analyzed using culture-based isolation on both nutrient-rich and diluted media, followed by incubation at 10 °C, 25 °C, and 37 °C. Fungal identification combined morphological characteristics with molecular analyses of the ITS region and BenA gene, while ecological roles were assigned using FUNGuild. A total of 41 fungal species were documented, spanning Ascomycota (53.1%), Basidiomycota (43.7%), and Mortierellomycota (3.1%) phyla. The genus Penicillium exhibited the greatest species richness, with 14 taxa documented, including P. chrysogenum, P. glandicola, and P. solitum, all previously associated with cold or oligotrophic environments. The psychrotolerant species Mortierella alpina was the only representative of Mortierellomycota. Ecological guild assignment revealed fungi functioning at different trophic levels, highlighting their multifunctional ecological roles in extreme subterranean habitats. Full article
(This article belongs to the Section Environmental and Ecological Interactions of Fungi)
Show Figures

Figure 1

26 pages, 6020 KB  
Article
Exploring the Interface Between Orality, Text and Images: An Interplay of Black Drawings and Unfired Clay Figures Within the Depths of the Sierra Mixe of Oaxaca, Mexico
by Leslie F. Zubieta Calvert
Arts 2025, 14(5), 114; https://doi.org/10.3390/arts14050114 - 23 Sep 2025
Viewed by 1526
Abstract
Drawing on archaeological evidence, early ethnographic accounts, and historical documents, this article offers initial reflections on the possible past uses and meanings of a set of black drawings found deep within a cave in what is now known as the Sierra Mixe of [...] Read more.
Drawing on archaeological evidence, early ethnographic accounts, and historical documents, this article offers initial reflections on the possible past uses and meanings of a set of black drawings found deep within a cave in what is now known as the Sierra Mixe of Oaxaca, Mexico. Following this investigative approach, it explores the role of rock art as an interface between orality, imagery, and text in the context of ancient Mesoamerica. To understand the possible ontological perceptions of the creators of these images in the past, it is suggested that this imagery functioned as inscriptions in a dialogue with spatially related unfired figures modelled in clay, which are exceptionally well-preserved in this subterranean space. An interplay of media on various supports is proposed, wherein two-dimensional images and three-dimensional figures may have been used as a combined system for transmitting and circulating intergenerational cultural knowledge, serving as an anchor for collective memory. In this context, rock imagery played a role in a broader communication system in Mesoamerica. Full article
(This article belongs to the Special Issue Advances in Rock Art Studies)
Show Figures

Figure 1

18 pages, 5696 KB  
Article
Impact of Microbiological Activity and Moisture on the Surface pH of Rock Art Sites: Cueva del Ratón, Baja California Sur, Mexico and Other Sites
by Ian Donald MacLeod and Valerie Magar
Heritage 2025, 8(9), 371; https://doi.org/10.3390/heritage8090371 - 9 Sep 2025
Viewed by 647
Abstract
This paper reviews the apparent impact of how changes in nitrate, sulphate activities, and moisture affect the surface pH of rock art paintings at Cueva del Ratón, in the Sierra de San Francisco in Baja California Sur, Mexico. The data was collected after [...] Read more.
This paper reviews the apparent impact of how changes in nitrate, sulphate activities, and moisture affect the surface pH of rock art paintings at Cueva del Ratón, in the Sierra de San Francisco in Baja California Sur, Mexico. The data was collected after atypical weather events caused rain and mist in this normally arid area. The rock art paintings had been previously examined over several years and observed the unexpected formation of silica skins over some surfaces; such coatings are not often experienced in arid environments. The local geology of the cave and the availability of moisture can dramatically alter the microbiological activity on faecal material and development of surface acidity from such reactions which interacts with both the host rock and the pigments. Through a series of surface pH measurements and localised measurements on chloride, sulphate and nitrate it appears that both nitrate and sulphate concentrations have a significant impact on the surface pH, which is controlled by a diffusion-based movement of moisture from the closed to the open end of the shelter. The exfoliation of the rock surface and formation of the silica skins involves chemical reactions as contrasted with diffusion-controlled reactions which distribute the metabolites of the yeasts, moulds and bacteria, which are dominated by the availability of water through drip lines. The results are particularly relevant due to changing weather patterns in the last decade, caused by climate change, with an increase in hurricanes directly affecting the Baja California peninsula. The use of disposable test strips for semi-quantitative assessment of how these major anions impact on the decay mechanisms was a novel response to budget constraints and the remoteness of the location. Full article
Show Figures

Figure 1

Back to TopTop