Sign in to use this feature.

Years

Between: -

Subjects

remove_circle_outline
remove_circle_outline
remove_circle_outline
remove_circle_outline
remove_circle_outline
remove_circle_outline
remove_circle_outline
remove_circle_outline
remove_circle_outline

Journals

remove_circle_outline
remove_circle_outline
remove_circle_outline
remove_circle_outline
remove_circle_outline
remove_circle_outline
remove_circle_outline
remove_circle_outline
remove_circle_outline
remove_circle_outline
remove_circle_outline
remove_circle_outline
remove_circle_outline
remove_circle_outline

Article Types

Countries / Regions

remove_circle_outline
remove_circle_outline
remove_circle_outline
remove_circle_outline
remove_circle_outline
remove_circle_outline
remove_circle_outline

Search Results (1,550)

Search Parameters:
Keywords = BCC

Order results
Result details
Results per page
Select all
Export citation of selected articles as:
22 pages, 51561 KB  
Article
Effect of V Content on Microstructure and Properties of TiNbZrVx Medium-Entropy Alloy Coatings on TC4 Substrate by Laser Cladding
by Wen Zhang, Ying Wu, Chuan Yang, Yongsheng Zhao, Zhenhong Wang, Jia Yang, Wei Feng, Yang Deng, Junjie Zhang, Qingfeng Xian, Xingcheng Long, Zhirong Liang and Hui Chen
Coatings 2026, 16(1), 141; https://doi.org/10.3390/coatings16010141 - 22 Jan 2026
Abstract
In order to improve the wear resistance of titanium alloy and apply it to the high-speed train brake disc, TiNbZrVx (x = 0, 0.2, 0.4, 0.6, 0.8) refractory medium-entropy alloy coatings were prepared on Ti-6Al-4V (TC4) substrate. The effect of V content [...] Read more.
In order to improve the wear resistance of titanium alloy and apply it to the high-speed train brake disc, TiNbZrVx (x = 0, 0.2, 0.4, 0.6, 0.8) refractory medium-entropy alloy coatings were prepared on Ti-6Al-4V (TC4) substrate. The effect of V content on the microstructure, mechanical properties, and friction and wear properties of the coatings was studied. TiNbZrVx coatings achieved good metallurgical bonding with the substrate, forming BCC and B2 phases and AlZr3 intermetallic compound (IMC). From TiNbZr coating to TiNbZrV0.8 coating, V promotes element segregation and new phase formation, which decreased the average grain size from 85.055 μm to 56.515 μm, increased the average hardness from 265.5 HV to 343.4 HV, and reduced the room temperature (RT) wear rate by 97.8%. However, the ductility of the coatings decreased from 15.7% to 5.8% because the grain boundary precipitates changed the dislocation arrangement, and the tensile fracture mode changed from ductile fracture to brittle fracture. Abrasive wear was the main wear mode at RT, and adhesive wear and oxidation wear were the main wear modes at elevated temperature. The COF at elevated temperature was lower than that at RT, because a large number of friction pair components were transferred to the coating surface at high temperature and were repeatedly rolled to form a dense film, which played a certain lubricating role. Full article
(This article belongs to the Section Laser Coatings)
Show Figures

Figure 1

13 pages, 238 KB  
Review
Microbial Landscape of Pharmaceutical Failures: A 21-Year Review of FDA Enforcement Reports
by Luis Jimenez
BioTech 2026, 15(1), 8; https://doi.org/10.3390/biotech15010008 - 18 Jan 2026
Viewed by 100
Abstract
By analyzing Food and Drug Administration (FDA) enforcement reports from 2004 to 2025, we can determine the incidence of microbial contamination in non-sterile and sterile drugs in the United States of America and, at the same time, compare the trends and patterns over [...] Read more.
By analyzing Food and Drug Administration (FDA) enforcement reports from 2004 to 2025, we can determine the incidence of microbial contamination in non-sterile and sterile drugs in the United States of America and, at the same time, compare the trends and patterns over a period of 21 years to determine the distribution and frequency of microbial contaminants. The most common microorganisms detected from 2019 to 2025 were the mold Aspergillus penicilloides, with 17 citations for sterile products, followed by 16 citations for non-sterile products of Burkholderia cepacia complex (BCC) bacteria. Analysis from the last 21 years revealed the dominant microbial contaminants belong to the BCC, reaching a maximum level between 2012 and 2019. Some of the previous microbial contaminants, such as Salmonella and Clostridium, decline in the 2019–2025 period, with no notifications issued. S. aureus and Pseudomonas contamination persisted through the years but at very low levels. Gram-negative bacteria contaminated non-sterile drugs more frequently than Gram-positive. A worrisome trend continued with unacceptable levels of enforcement reports not providing any information on the identity of the microbial contaminant. New species of Bacillus and Acetobacter nitrogenifigens were responsible for a significant increase in non-sterile drug recalls. The main driver for sterile product recalls over a 21-year period is the lack of assurance of sterility (LAS) where major failures in process design, control, and operational execution were not conducive to the control of microbial proliferation and destruction. Enforcement data analysis identified the problematic trends and patterns regarding microbial contamination of drugs, providing important information to optimize process control and provide a framework for optimizing risk mitigation. Although the 21-year landscape demonstrated that some microbial contaminants have been successfully mitigated, others remain resilient. The emergence of new contaminants highlights the evolving nature of microbial risk. The consistent problem with LAS is not only a major regulatory violation but also a potential catalyst for the next major healthcare-associated outbreak. Full article
(This article belongs to the Special Issue BioTech: 5th Anniversary)
15 pages, 13171 KB  
Article
Multi-Scale Modeling in Forming Limits Analysis of SUS430/Al1050/TA1 Laminates: Integrating Crystal Plasticity Finite Element with M–K Theory
by Xin Li, Chunguo Liu and Yunfeng Bai
Materials 2026, 19(2), 390; https://doi.org/10.3390/ma19020390 - 18 Jan 2026
Viewed by 191
Abstract
Numerical simulations of the forming limit diagram (FLD) for SUS430/Al1050/TA1 laminated metal composites (LMCs) are conducted through the crystal plasticity finite element (CPFE) model integrated with the Marciniak–Kuczyński (M–K) theory. Representative volume elements (RVEs) that reconstruct the measured crystallographic texture, as characterized by [...] Read more.
Numerical simulations of the forming limit diagram (FLD) for SUS430/Al1050/TA1 laminated metal composites (LMCs) are conducted through the crystal plasticity finite element (CPFE) model integrated with the Marciniak–Kuczyński (M–K) theory. Representative volume elements (RVEs) that reconstruct the measured crystallographic texture, as characterized by electron backscatter diffraction (EBSD), are developed. The optimal grain number and mesh density for the RVE are calibrated through convergence analysis by curve-fitting simulated stress–strain responses to the uniaxial tensile data. The established multi-scale model successfully predicts the FLDs of the SUS430/Al1050/TA1 laminated sheet under two stacking sequences, namely, the SUS layer or the TA1 layer in contact with the die. The Nakazima test results validate the effectiveness of the proposed model as an efficient and accurate predictive tool. This study extends the CPFE–MK framework to multi-layer LMCs, overcoming the limitations of conventional single-layer models, which incorporate FCC, BCC, and HCP crystalline structures. Furthermore, the deformation-induced texture evolution under different loading paths is analyzed, establishing the relationship between micro-scale deformation mechanisms and the macro-scale forming behavior. Full article
(This article belongs to the Section Metals and Alloys)
Show Figures

Graphical abstract

14 pages, 6663 KB  
Article
Study on the Diffusion and Atomic Mobility of Alloying Elements in the β Phase of the Ti-Cr-Nb Ternary System
by Danya Shen, Jingmin Liu, Wenqing Zhao, Junfeng Wu, Maohua Rong, Jiang Wang, Hongyu Zhang, Ligang Zhang and Libin Liu
Processes 2026, 14(2), 331; https://doi.org/10.3390/pr14020331 - 17 Jan 2026
Viewed by 109
Abstract
Diffusion-controlled processes play a critical role in the heat treatment and microstructural homogenization of β-titanium alloys containing multiple β-stabilizing elements. Adding β-phase stabilizing elements like Cr and Nb to titanium alloys can significantly improve the high-temperature strength and creep performance of the alloy. [...] Read more.
Diffusion-controlled processes play a critical role in the heat treatment and microstructural homogenization of β-titanium alloys containing multiple β-stabilizing elements. Adding β-phase stabilizing elements like Cr and Nb to titanium alloys can significantly improve the high-temperature strength and creep performance of the alloy. Their diffusion coefficients can be used to predict the risk of softening and creep failure in high-temperature components caused by diffusion. However, reliable diffusion kinetic data for the β phase in the Ti–Cr–Nb ternary system remain scarce, limiting quantitative process modeling and simulation. In this study, diffusion behavior in the BCC (β) region of the Ti–Cr–Nb system was investigated using diffusion couples combined with CALPHAD-based kinetic modeling. Twelve sets of diffusion couples were prepared and annealed at 1373 K for 48 h, 1423 K for 36 h, and 1473 K for 24 h. The corresponding composition–distance profiles were measured by electron probe microanalysis. Composition-dependent interdiffusion coefficients and atomic mobility parameters were determined using the numerical inverse method. The results revealed temperature and composition dependence of the main interdiffusion coefficients, with Nb exhibiting a stronger influence than Cr. The evaluated kinetic parameters provide an effective kinetic description for diffusion-controlled process simulations. Full article
(This article belongs to the Section Materials Processes)
Show Figures

Figure 1

15 pages, 4568 KB  
Article
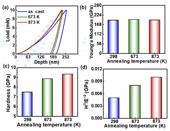
Influences of Annealing Treatment on Soft Magnetic Properties, Mechanical Properties and Microstructure of Fe24.94Co24.94Ni24.94Al24.94Si0.24 High-Entropy Alloy
by Shiqi Zhang, Pin Jiang, Xuanbo Shi, Xiaohua Tan and Hui Xu
Entropy 2026, 28(1), 110; https://doi.org/10.3390/e28010110 - 16 Jan 2026
Viewed by 80
Abstract
In order to meet the ever-growing demand in modern power electronics, the advanced soft magnetic materials (SMMs) are required to exhibit both excellent soft magnetic performance and mechanical properties. In this work, the effects of an annealing treatment on the soft magnetic properties, [...] Read more.
In order to meet the ever-growing demand in modern power electronics, the advanced soft magnetic materials (SMMs) are required to exhibit both excellent soft magnetic performance and mechanical properties. In this work, the effects of an annealing treatment on the soft magnetic properties, mechanical properties and microstructure of the Fe24.94Co24.94Ni24.94Al24.94Si0.24 high-entropy alloy (HEA) are investigated. The as-cast HEA consists of a body-centered cubic (BCC) matrix phase and spherical B2 nanoprecipitates with a diameter of approximately 5 nm, where a coherent relationship is established between the B2 phase and the BCC matrix. After annealing at 873 K, the alloy retains both the BCC and B2 phases, with their coherent relationship preserved; besides the spherical B2 nanoprecipitates, rod-shaped B2 nanoprecipitates are also observed. After the annealing treatment, the saturation magnetization (Ms) of the alloy varies slightly within the range of 103–113 Am2/kg, which may be induced by the precipitation of this rod-shaped nanoprecipitate phase in the alloy. The increase in the coercivity (Hc) of annealed HEA is due to the inhomogeneous grain distribution, increased lattice misfit and high dislocation density induced by the annealing. The nanoindentation result reveals that the hardness after annealing at 873 K exhibits a 25% improvement compared with the hardness of as-cast HEA, which is mainly due to dislocation strengthening and precipitation strengthening. This research finding can provide guidance for the development of novel ferromagnetic HEAs, so as to meet the demands for materials with excellent soft magnetic properties and superior mechanical properties in the field of sustainable electrical energy. Full article
(This article belongs to the Special Issue Recent Advances in High Entropy Alloys)
Show Figures

Figure 1

11 pages, 1880 KB  
Article
High-Frequency Ultrasound Assessment of Basal Cell Carcinoma: Correlations Between Histopathological Subtype, Vascularity, and Age/Sex Distribution
by Klára Szalai, Klaudia Tóth, Judit Hársing, Miklós Gyöngy and Péter Holló
Cancers 2026, 18(2), 274; https://doi.org/10.3390/cancers18020274 - 15 Jan 2026
Viewed by 126
Abstract
Background: High-frequency ultrasound (HFUS) has emerged as a valuable non-invasive imaging modality for the preoperative assessment of basal cell carcinoma (BCC). However, its ability to reliably differentiate between histopathological subtypes based on morphological and vascular characteristics requires further validation. Methods: Between January [...] Read more.
Background: High-frequency ultrasound (HFUS) has emerged as a valuable non-invasive imaging modality for the preoperative assessment of basal cell carcinoma (BCC). However, its ability to reliably differentiate between histopathological subtypes based on morphological and vascular characteristics requires further validation. Methods: Between January 2010 and December 2011, 320 patients with a total of 330 histologically confirmed BCC lesions were examined using HFUS (15–18 MHz linear transducer). Lesions were classified according to ultrasound contour (sharp vs. irregular) and vascularity (hypervascular vs. hypovascular) and correlated with histopathological subtype (solid vs. infiltrative). Postoperative ultrasound follow-up was performed in a subset of patients for recurrence detection. Results: Solid BCCs were predominantly characterised by sharp, well-defined margins, whereas infiltrative tumours more frequently exhibited irregular contours. This association was highly significant (χ2 = 24.7, df = 1, p < 0.001; OR = 71.9, 95% CI: 37.0–139.8). Vascularity patterns also differed significantly between subtypes: solid tumours were more likely to present with hypervascular features, while infiltrative tumours more frequently exhibited hypovascular patterns (χ2 = 23.8, df = 1, p < 0.001; OR = 3.24). No statistically significant associations were observed between ultrasound morphology and patient sex or age. Among patients who participated in postoperative HFUS follow-up, seven histologically confirmed recurrences were detected. Conclusions: HFUS provides reliable preoperative information on BCC morphology and vascularity, enabling accurate differentiation between solid and infiltrative subtypes. These findings support the role of HFUS as a valuable adjunct to dermatoscopy in treatment planning and postoperative surveillance of BCC. Full article
(This article belongs to the Section Methods and Technologies Development)
Show Figures

Figure 1

29 pages, 1083 KB  
Article
Regional Disparities in Artificial Intelligence Development and Green Economic Efficiency Performance Under Its Embedding: Empirical Evidence from China
by Ziyang Li, Ziqing Huang and Shiyi Zhang
Sustainability 2026, 18(2), 884; https://doi.org/10.3390/su18020884 - 15 Jan 2026
Viewed by 164
Abstract
This study analyzes artificial intelligence development and green economic efficiency across 31 Chinese provinces using 2019–2021 panel data. We apply the entropy weight TOPSIS method to measure AI development levels. The entropy weight TOPSIS method measures AI development levels, the DEA-BCC model assesses [...] Read more.
This study analyzes artificial intelligence development and green economic efficiency across 31 Chinese provinces using 2019–2021 panel data. We apply the entropy weight TOPSIS method to measure AI development levels. The entropy weight TOPSIS method measures AI development levels, the DEA-BCC model assesses green economic efficiency, and their coordination types are identified. Findings reveal a significant negative correlation between AI development and green economic efficiency. We explain this complex relationship through three mechanisms: short-term polarization effects, technology conversion lags, and spatial spillovers. Spatial analysis shows AI development forms high-high agglomerations in the Yangtze River Delta and Shandong. Green economic efficiency shows high-high clustering in the Beijing-Tianjin-Hebei region and selected western provinces. Using a “two-system” coupling framework, we identify four provincial categories. The “double-high” type should function as growth poles. The “high-low” type requires improved technology conversion efficiency. The “low-high” type can leverage ecological advantages. The “double-low” type needs enhanced factor inputs. We propose three targeted policy recommendations: establishing digital-green synergy platforms, implementing inter-provincial AI resource collaboration mechanisms, and developing locally adapted action plans. Full article
(This article belongs to the Special Issue Achieving Sustainability Goals Through Artificial Intelligence)
Show Figures

Figure 1

24 pages, 14631 KB  
Article
Influences of (Al, Si) Equi-Molar Co-Addition on Microstructure, Mechanical Properties and Corrosion Resistance of Co-Free Fe-Rich High Entropy Alloys
by Shufeng Xie, Ziming Chen, Chuanming Qiao, Wanwan Sun, Yanzhe Wang, Junyang Zheng, Xiaoyu Wu, Lingjie Chen, Bin Kong, Chen Chen, Kangwei Xu and Jiajia Tian
Metals 2026, 16(1), 92; https://doi.org/10.3390/met16010092 - 14 Jan 2026
Viewed by 192
Abstract
In this paper, a series of Co-free FeCr0.6Ni0.6(AlSi)x (x = 0, 0.1, 0.12, 0.14, 0.16) high-entropy alloys (HEAs) were designed and fabricated by suction casting, and the effects of equi-molar (Al, Si) co-addition in these Fe-rich Fe-Cr-Ni-based HEAs [...] Read more.
In this paper, a series of Co-free FeCr0.6Ni0.6(AlSi)x (x = 0, 0.1, 0.12, 0.14, 0.16) high-entropy alloys (HEAs) were designed and fabricated by suction casting, and the effects of equi-molar (Al, Si) co-addition in these Fe-rich Fe-Cr-Ni-based HEAs on microstructure, mechanical properties, and corrosion resistance were systematically investigated. It is found that equi-molar (Al, Si) co-addition could cause the phase formation from FCC to FCC + BCC, while the morphologies of the phases change from dendrite-type to sideplate-type. Moreover, trade-off between strength and plasticity occurs with the increase in (Al, Si) co-addition, and the production of ultimate tensile strength and plasticity reaches the highest value when x = 0.12, while there exists a narrow region for x values to realize excellent comprehensive mechanical properties. In addition, similar corrosion resistance in 3.5 wt.% NaCl solution higher than 316L stainless steel could be realized in the HEAs with x = 0.12 and 0.14, while the latter one is slightly lower in pitting corrosion and the width of passive region, which is possibly caused by the increase in the density of phase boundaries. This work provides a novel insight on designing high-performance cost-effective Fe-rich and (Al, Si)-containing (Fe-Cr-Ni)-based HEAs combining high mechanical properties and corrosion resistance. Full article
(This article belongs to the Section Entropic Alloys and Meta-Metals)
Show Figures

Figure 1

14 pages, 5733 KB  
Article
Immunohistochemical Pattern of CD34 Distribution in Different Types of Basal Cell Carcinoma and in Peritumoral Skin
by Vladimir Petrovic, Aleksandar Petrovic, Ivan R. Nikolic, Nataša Vidovic, Tijana Dencic, Ilija Golubovic, Miroslav Milic and Aleksandra Antovic
Medicina 2026, 62(1), 158; https://doi.org/10.3390/medicina62010158 - 13 Jan 2026
Viewed by 165
Abstract
Background and Objectives: Basal cell carcinoma (BCC) is the most common skin carcinoma, mainly occurring in older individuals. The aim of this study was to document the immunohistochemical distribution of CD34 in different histopathological types of BCC, as well as in the [...] Read more.
Background and Objectives: Basal cell carcinoma (BCC) is the most common skin carcinoma, mainly occurring in older individuals. The aim of this study was to document the immunohistochemical distribution of CD34 in different histopathological types of BCC, as well as in the peritumoral and uninvolved skin of biopsy samples. Materials and Methods: Excisional biopsies of skin BCCs were routinely processed into paraffin blocks, and microtome sections were stained immunohistochemically for CD34. Results: A consistent finding in skin samples containing BCC was the absence of CD34 in the following extravascular structures: neoplastic cells, epidermis and its derivatives (except for the cells of the isthmic part of the outer hair follicle sheath), fibroblast-like cells of BCC tumor stroma, as well as in the papillary dermis in the tumor region. Fibroblast-like cells of the tumor stroma were variably CD34 immunopositive only in the nodular type of BCC. In all examined biopsies, part of the dermis adjacent to the BCC tumor mass (juxtatumoral zone) was characterized by pronounced CD34 immunopositivity. In the transitional zone of peritumoral skin and in marginal skin, CD34-positive connective tissue cells were observed in the periadnexal dermis around: sebaceous gland lobules, the secretory coils of eccrine sweat glands, the pilosebaceous canal, as well as in the perimysium of the arrector pili muscle. Fibrocytes of fibrous sheaths encasing the isthmic part of hair follicles were CD34 negative, interposed between highly positive epithelial cells of the outer hair follicle sheath and the fibroblasts of the local reticular dermis. The transitional zone and uninvolved skin contained CD34-positive fibroblast-like cells situated between secondary bundles of reticular dermis, as well as CD34-positive cell processes within these bundles. Conclusions: The observed pattern of CD34 positivity within the examined regions shows a specific distribution, providing insight into the adaptive responses of the skin to the tumoral process. Full article
(This article belongs to the Section Oncology)
Show Figures

Figure 1

21 pages, 4794 KB  
Article
Heat Transfer and Mechanical Performance Analysis and Optimization of Lattice Structure for Electric Vehicle Thermal Management
by Xiaokang Ye, Xiaoxia Sun, Zhixuan Liang, Ran Tian, Mingshan Wei, Panpan Song and Lili Shen
Electronics 2026, 15(2), 347; https://doi.org/10.3390/electronics15020347 - 13 Jan 2026
Viewed by 147
Abstract
With the trend toward integrated development in electric vehicles, thermal management components are becoming more compact and highly integrated. This evolution, however, leads to complex spatial layouts of high- and low-temperature fluid circuits, causing localized heat accumulation and unintended heat transfer between channels, [...] Read more.
With the trend toward integrated development in electric vehicles, thermal management components are becoming more compact and highly integrated. This evolution, however, leads to complex spatial layouts of high- and low-temperature fluid circuits, causing localized heat accumulation and unintended heat transfer between channels, which compromises cooling efficiency. Concurrently, these compact components must possess sufficient mechanical strength to withstand operational loads such as vibration. Therefore, designing structures that simultaneously suppress heat transfer and ensure mechanical intensity presents a critical challenge. This study introduces Triply Periodic Minimal Surface (TPMS) and Body-Centered Cubic (BCC) lattice structures as multifunctional solutions to address the undesired heat transfer and mechanical support requirements. Their thermal and mechanical performances are analyzed, and a feedforward neural network model is developed based on CFD simulations to map key structural parameters to thermal and mechanical outputs. A dual-objective optimization approach is then applied to identify optimal structural parameters that balance thermal and mechanical requirements. Validation via CFD confirms that the neural network-based optimization effectively achieves a trade-off between heat transfer suppression and structural strength, providing a reliable design methodology for integrated thermal management systems. Full article
Show Figures

Figure 1

20 pages, 2214 KB  
Article
Fungal Pectinolytic Enzyme System for the Production of Long- and Short-Chain Pectin-Derived Oligosaccharides (POS) from Pomelo Albedo and Their Prebiotic Potential
by Katesuda Aiewviriyasakul, Worawat Surarit, Pawadee Methacanon, Hataikarn Lekakarn, Chonchanok Buathongjan, Chaiwut Gamonpilas, Wipawee Sritusnee, Thanaporn Laothanachareon, Duriya Chantasingh, Verawat Champreda and Benjarat Bunterngsook
Catalysts 2026, 16(1), 85; https://doi.org/10.3390/catal16010085 - 11 Jan 2026
Viewed by 526
Abstract
Pectin-derived oligosaccharides (POS) are emerging as promising functional prebiotics with growing industrial interest. This study reports a synergistic fungal pectinolytic biocatalytic system comprising endopolygalacturonase (EndoPG) and pectin methylesterase (PET11) from Aspergillus aculeatinus BCC 17849 for the controlled depolymerization of pomelo (Citrus maxima [...] Read more.
Pectin-derived oligosaccharides (POS) are emerging as promising functional prebiotics with growing industrial interest. This study reports a synergistic fungal pectinolytic biocatalytic system comprising endopolygalacturonase (EndoPG) and pectin methylesterase (PET11) from Aspergillus aculeatinus BCC 17849 for the controlled depolymerization of pomelo (Citrus maxima) albedo pectin. PET11-mediated demethylation increased substrate accessibility, thereby enhancing EndoPG-catalyzed hydrolysis and resulting in higher POS yields than those obtained with single-enzyme systems. The highest production of short-chain POS, comprising GalA, di-GalA, and tri-GalA (681 mg/g substrate), was achieved at an EndoPG:PET11 dosage ratio of 15:5. The resulting POS fraction significantly promoted the growth of five probiotic strains, including Lactobacilli and Bifidobacteria species, and enhanced probiotic adherence to intestinal epithelial cells. In particular, Lactobacillus acidophilus TBRC 5030 exhibited the highest adhesion level (35.24 ± 6.43%) in the presence of 2.0 mg/mL POS. Overall, this work demonstrated that enzyme-assisted demethylation coupled with targeted endo-hydrolysis enables effective tailoring of POS chain length, providing a promising biocatalytic strategy for pectin valorization into prebiotic ingredients. Full article
(This article belongs to the Section Biocatalysis)
Show Figures

Graphical abstract

14 pages, 4978 KB  
Article
Pressure Dependence of Pure Zirconium Liquid–Solid Phase Transition
by Lin Lang, Zhiyuan Xu, Kun Qian, Chang Li and Zhuoliang Yu
Metals 2026, 16(1), 78; https://doi.org/10.3390/met16010078 - 10 Jan 2026
Viewed by 178
Abstract
Molecular dynamics simulations were conducted at a cooling rate of 1.0 × 1011 K/s to investigate the solidification mechanism of zirconium (Zr) under high pressure. Three distinct pressure-dependent regimes are identified: crystallization into a body-centered cubic (BCC) phase below 27.5 GPa, vitrification [...] Read more.
Molecular dynamics simulations were conducted at a cooling rate of 1.0 × 1011 K/s to investigate the solidification mechanism of zirconium (Zr) under high pressure. Three distinct pressure-dependent regimes are identified: crystallization into a body-centered cubic (BCC) phase below 27.5 GPa, vitrification between 27.5 and 65 GPa, and crystallization into an A15 phase above 65 GPa. The volume change during crystallization is found to reverse at critical pressures of 5 and 103 GPa, and anomalous behavior is observed at the phase boundaries: at 27.5 and 65 GPa, the volume varies continuously despite a sharp drop in potential energy, whereas at 65 GPa, the volume decreases abruptly while the energy changes smoothly. Structural analysis indicates that evolution in the low-pressure regime is governed by atomic configurations extending to the second-neighbor shell, while at high pressures, nearest-neighbor interactions become dominant. This work clarifies the microstructure–pressure relationship during metallic solidification, providing insights into controlling phase transitions under extreme conditions. Full article
(This article belongs to the Special Issue Phase Transformations in Metals and Alloys)
Show Figures

Figure 1

23 pages, 65931 KB  
Article
Numerical Investigation of the Fatigue Behavior of Lattice Structures Under Compression–Compression Loading
by Matthias Greiner, Andreas Kappel, Marc Röder and Christian Mittelstedt
J. Compos. Sci. 2026, 10(1), 28; https://doi.org/10.3390/jcs10010028 - 7 Jan 2026
Viewed by 340
Abstract
Recent years have shown that additive manufacturing is able to significantly increase the potential for enhancing lightweight structural design. In particular, strut-based lattices have attracted considerable research interest due to their promising mechanical performance in lightweight engineering applications. While the quasi-static properties of [...] Read more.
Recent years have shown that additive manufacturing is able to significantly increase the potential for enhancing lightweight structural design. In particular, strut-based lattices have attracted considerable research interest due to their promising mechanical performance in lightweight engineering applications. While the quasi-static properties of such lattices are relatively well established, their fatigue behavior remains insufficiently understood. This work presents a numerical investigation of the fatigue life of laser powder bed-fused strut-based lattices using the finite element method (FEM). Periodic AlSi10Mg lattice structures with two different unit cells, bcc and f2ccz, and three different aspect ratios were analyzed under uniaxial compression–compression loading. The stress-life approach was used to model the fatigue failure of the representative unit cells in the high-cycle fatigue region. The numerical predictions were compared with experimental results, showing good agreement between simulations and physical tests. The findings highlighted that the fatigue response was primarily governed by aspect ratio, unit cell topology, bulk material properties, and mean stress imposed by the load ratio. Moreover, stress concentrations arising from notch effects in the nodal regions were identified as critical fatigue crack initiation sites. Full article
(This article belongs to the Special Issue Lattice Structures)
Show Figures

Figure 1

15 pages, 10716 KB  
Article
Three-Dimensional Reconstruction of Basal Cell and Squamous Cell Carcinomas: Noninvasive Evaluation of Cancerous Tissue Cross Sections and Margins
by Frederick H. Silver, Tanmay Deshmukh and Gayathri Kollipara
Onco 2026, 6(1), 3; https://doi.org/10.3390/onco6010003 - 5 Jan 2026
Viewed by 202
Abstract
Background: There are approximately 5.4 M basal cell (BCC) and squamous cell (SCC) carcinomas diagnosed each year, and the number is increasing. Currently, the gold standard for skin cancer diagnosis is histopathology, which requires the surgical excision of the tumor followed by pathological [...] Read more.
Background: There are approximately 5.4 M basal cell (BCC) and squamous cell (SCC) carcinomas diagnosed each year, and the number is increasing. Currently, the gold standard for skin cancer diagnosis is histopathology, which requires the surgical excision of the tumor followed by pathological evaluation of a tissue biopsy. The three-dimensional (3D) nature of human tissue suggests that two-dimensional (2D) cross sections may be insufficient in some cases to represent the complex structure due to sampling bias. There is a need for new techniques that can be used to classify skin lesion types and margins noninvasively. Methods: We use optical coherence tomography volume scan images and AI to noninvasively create 3D images of basal cell and squamous cell carcinomas. Results: Three-dimensional optical coherence tomography images can be broken down into a series of cross sections that can be classified as benign or cancerous using convolutional neural network models developed in this study. These models can identify cancerous regions as well as clear edges. Cancerous regions can also be verified based on visual review of the color-coded images and the loss of the green and blue subchannel pixel intensities. Conclusions: Three-dimensional optical coherence tomography cross sections of cancerous lesions can be collected noninvasively, and AI can be used to classify skin lesions and detect clear lesion edges. These images may provide a means to speed up treatment and promote better patient screening, especially in older patients who will likely develop several lesions as they age. Full article
Show Figures

Figure 1

14 pages, 4712 KB  
Article
Surface Engineering of Non-Equiatomic TiZrNbTaMo HEA by MAO Treatment in a Cu-Rich Electrolyte for Biomedical Applications
by Samuel P. Bonetti, Jhuliene E. M. Torrento, Carlos R. Grandini, Tiago dos S. P. de Sousa, Gerson S. de Almeida, Willian F. Zambuzzi and Diego R. N. Correa
Materials 2026, 19(1), 174; https://doi.org/10.3390/ma19010174 - 3 Jan 2026
Viewed by 254
Abstract
This study evaluated the surface functionalization of a non-equiatomic TiZrNbTaMo high-entropy alloy (HEA) by micro-arc oxidation (MAO) in Cu-rich electrolytes to tailor its performance for biomedical implants. The Cu content was varied, and the resulting coatings were investigated for their morphology, phase constitution, [...] Read more.
This study evaluated the surface functionalization of a non-equiatomic TiZrNbTaMo high-entropy alloy (HEA) by micro-arc oxidation (MAO) in Cu-rich electrolytes to tailor its performance for biomedical implants. The Cu content was varied, and the resulting coatings were investigated for their morphology, phase constitution, chemical structure, wettability, and cytocompatibility. X-ray diffraction (XRD) measurements of the substrate indicated a body-centered cubic (BCC) matrix with minor HCP features, while the MAO-treated samples depicted amorphous halo with sparse reflections assignable to CaCO3, CaO, and CaPO4. Chemical spectroscopic analyses identified the presence of stable oxides (TiO2, ZrO2, Nb2O5, Ta2O5, MoO3) and the successful incorporation of bioactive elements (Ca, P, Mg) together with traces of Cu, mainly as Cu2O. MAO treatment increased surface roughness and rendered a hydrophilic behavior, which are features typically favorable to osseointegration process. In vitro cytotoxic assays with MC3T3-E1 cells (24 h) showed that Cu addition did not induce harmful effects, maintaining or improving cell viability and adhesion compared to the controls. Collectively, MAO in Cu-rich electrolyte yielded porous, bioactive, and Cu-incorporated oxide coatings on TiZrNbTaMo HEA, preserving cytocompatibility and supporting their potential for biomedical applications like orthopedic implants and bone-fixation devices. Full article
(This article belongs to the Special Issue New Advances in High Entropy Alloys)
Show Figures

Graphical abstract

Back to TopTop