Next Article in Journal
Transport Properties of One-Dimensional van der Waals Heterostructures Based on Molybdenum Dichalcogenides
Previous Article in Journal
A Comprehensive Investigation of the Two-Phonon Characteristics of Heat Conduction in Superlattices
 
 
Font Type:
Arial Georgia Verdana
Font Size:
Aa Aa Aa
Line Spacing:
Column Width:
Background:
Article

Benzo[c]cinnolinium Trifluoromethanesulfonate Architectures Induced by Organotin(IV) Complexes

by
Hélène Cattey
* and
Laurent Plasseraud
*
ICMUB UMR CNRS 6302, UFR Sciences et Techniques, Université Bourgogne Europe (UBE), 9 Avenue Alain Savary, F-21078 Dijon, France
*
Authors to whom correspondence should be addressed.
Crystals 2025, 15(7), 655; https://doi.org/10.3390/cryst15070655
Submission received: 30 May 2025 / Revised: 11 July 2025 / Accepted: 11 July 2025 / Published: 17 July 2025
(This article belongs to the Section Macromolecular Crystals)

Abstract

Four novel crystalline architectures based on benzo[c]cinnolininium trifluoromethanesulonate salts, [C12H9N2]+[CF3SO3], have been isolated as single-crystals, and their structures have been determined by X-ray diffraction analysis. The formation of the new salts results from reactions involving the dimeric hydroxo di-n-butylstannane trifluoromethanesulfonato complex [n-Bu2Sn(OH)(H2O)(CF3SO3)]2 (1) and benzo[c]cinnoline (C12H8N2, BCC). Organic salts I, II, III, and IV were crystallized through slow evaporation at room temperature from a mixture of toluene/dichloromethane. The cystallographic structures of I, II, and IV exhibit the presence of monoprotonated benzo[c]cinnolinium cations in interactions with a free benzo[c]cinnoline molecule through N–H···N hydrogen bonding, while for salt III, the monoprotonated cation directly interacts with the CF3SO3 anion via an N–H···O interaction. For all four salts, aromatic π-π interactions involving rings of various components (free benzo[c]cinnoline molecule, benzo[c]cinnolinium cation, toluene molecule), combined with weak C–H···O and C–H···F interactions implying the trifluoromethanesulfonate anion, promote the solid-state self-assembly of supramolecular stacks. In parallel to the formation of benzo[c]cinnolinium based-salts, organotin(IV) 1 was converted into a distannoxane compound, 2{[n-Bu2(μ-OH)SnOSn(μ-η2-O3SCF3)n-Bu2]2[n-Bu2(η1-O3SCF3)SnOSn(μ-OH)n-Bu2]2} (3), which was also isolated as a single crystal and whose crystallographic structure was previously established by us.

1. Introduction

Benzo[c]cinnoline (BCC), also named 9,10-diazaphenanthrene consists of a nitrogen heterocyclic compound with a pyridazine ring fused to two benzene rings. Derivatives of cinnoline, and benzo[c]cinnoline in particular, are of great interest in medicinal chemistry due to their promising anticancer and antioxidant activity and their good pharmacological properties [1,2]. Benzo[c]cinnoline is also proving to be a suitable building block for the development of organic molecular materials for electronic applications, acting as a co-crystal and interacting through π-π stacking [3]. In the field of coordination chemistry, several crystallographic structures of metal complexes are already described in which BCC plays the role of a bidentate ligand, bridging two distinct metal atoms (μ) [4,5,6,7,8,9,10,11] or doubly bonded to the same metal atom (η2) [12,13,14,15]. Interestingly, there are a few cases where BCC also adopts a monodentate coordination mode (η1), only linked by one nitrogen atom to the metallic center [16,17,18]. In terms of synthesis, historically, the first reports mentioning BCC date back to the 1950s, and investigations have continued to the present day [19,20]. Recent studies have reported that benzo[c]cinnoline can be obtained by a one-pot protocol via the palladium-catalyzed reaction between aryl pyrazolidine-3,5-diones and aryl iodides [21], as well as through electrochemical reduction of 2,2′-dinitrobiphenyl (DNBP) in aprotic solvents with CO2 [22]. With regard to the synthesis of benzo[c]cinnolinium salts, the preparation methods described in the literature are relatively few and were achieved (i) from triphenyldiazenium [23], (ii) from arylamines and arylboronic acids [24], (iii) from the cyclization of azobenzenes with aryl iodonium salts [25]. Recently, Chuang and co-workers reported the efficient synthesis of benzo[c]cinnolinium salts by copper(II)-promoted or electrochemical oxidation [26]. In terms of applications, benzo[c]cinnoliniums are attracting interest as dyestuffs [27,28], as well as fluorescent dyes, in particular for cell imaging techniques [24]. The motivation and stakes for work on this family of salts are, therefore, twofold, both synthetic and applicative.
From a crystallographic point of view, van der Meer solved for the first time in 1972 the structure of benzo[c]cinnoline [29]. C12H8N2 grows as monoclinic crystals of space group P21/c. Since then, several binary co-crystal structures involving benzo[c]cinnoline have been reported, with 2,3-dichloro-5,6-dicyano-1,4-benzoquinone [30], chloranilic acid [31], and 1,4-diiodotetrafluorobenzene-1,2,4,5-tetracyanobenzene [3]. As far as benzo[c]cinnolinium salts are concerned, few structural data are available to our knowledge. A search on the CCDC base (on the date of 27 May 2025) revealed only one report corresponding to the perchlorate salt [C12H9N2][ClO4] [32]. In the past, as part of our work on organotin(IV) chemistry, we reported an unusual method for accessing organic salts of phenazinium, acridinium, and phenanthrolinium trifluoromethanesulfonate by reacting the organotin compound [n-Bu2Sn(OH)(H2O)(CF3SO3)]2 (1) at room temperature in the presence of phenazine (phz) [33,34], acridine (acr) [35], and 2,9-dimethyl-1,10-phenanthroline (dmphen) [36], respectively. Continuing to explore the reactivity of 1 toward nitrogen-containing heterocyclic compounds, we report herein four novel crystal structures of benzo[c]cinnolinium trifluoromethanesulfonates resulting from the reaction of 1 with BCC (Scheme 1).

2. Materials and Methods

2.1. Materials

Organic solvents dichloromethane (Carlo Erba, Val-de-Reuil, France, 99.5% purity), toluene (Acros Organics, Geel, Belgium, 99.99%), and n-pentane (Carlo Erba, Val-de-Reuil, France, 99% purity) were refluxed over appropriate dessicants, distilled, and saturated with argon prior to use. Chemicals were purchased from Acros Organics (Geel, Belgium), and Riedel-de Haën (Seelze, Germany) and used without further purification. The starting compound [n-Bu2Sn(OH)(H2O)(CF3SO3)]2 (1) was synthesized from n-Bu2SnO (Acros Organics, Geel, Belgium, 98% purity) and trifluoromethanesulfonic acid (Fluka, Buchs, Switzerland, 98% purity) according to published methods [37,38]. FT-IR spectra were recorded on a Bruker Vector 22 equipped with a Specac (St. Paul’s Cray, UK) Golden GateTM ATR device.

2.2. Synthesis and Crystal Growth

2.2.1. Salts I and II

Three molar equivalents of benzo[c]cinnolin (C12H8N2, Acros Organics, Geel, Belgium, 99% purity) (0.135 g, 0.752 mmol) were added to a colorless solution of [n-Bu2Sn(OH)(H2O)(CF3SO3)]2 (1) (0.209 g, 0.250 mmol) in dichloromethane (15 mL) at room temperature. After stirring for two hours, fresh toluene (7.5 mL), used as a co-solvent for crystallization, was then introduced to the resulting yellow solution. After ten days at room temperature, yellow single crystals were first obtained. They were then filtered out, washed with portions of n-pentane, dried in air at room temperature, collected separately, and finally characterized as salt I. Afterward, the mother liquor was then stored and gradually turned greenish. Yellow-green needle-like crystals characterized as salt II then formed together with colorless crystals corresponding to organotin(IV) compound 2.
[C12H9N2][CF3SO3]·(C12H8N2) (I): FT-IR (ATR/cm−1): 3088 w, 3064 w, 1610 m, 1578 m, 1456 m, 1436 m, 1365 m, 1293 s, 1278 s, 1260 s, 1222 s, 1140 s, 1028 s, 939 m, 891 m, 760 s, 719 s, 712 s, 631 s, 608 s, and 530 s.
[C12H9N2][CF3SO3]·(C12H8N2)2 (II): FT-IR (ATR/cm−1): 3074 w, 2962 w, 1608 m, 1577 m, 1457 m, 1433 m, 1360 m, 1271 s, 1256 s, 1172 s, 1151 s, 1139 s, 1028 s, 977 m, 867 m, 755 s, 717 s, 635 s, 611 s, and 571 s.

2.2.2. Salts III and IV

Three molar equivalents of benzo[c]cinnolin (C12H8N2, Acros, 99% purity) (0.062 g, 0.345 mmol) and phenanthrene (C14H10, Riedel-de Haën, Seelze, Germany, 98% purity) (0.061 g, 0.345 mmol) were added to a colorless solution of [n-Bu2Sn(OH)(H2O)(CF3SO3)]2 (1) (0.097 g, 0.115 mmol) in dichloromethane (15 mL) at room temperature. After stirring for two hours, fresh toluene (8 mL), used as a co-solvent for crystallization, was then introduced to the resulting yellow solution. After three weeks at room temperature, the formation of yellow needle-shape single crystals were first observed. They were then filtered out, washed with portions of n-pentane, dried in air at room temperature, collected separately, and finally, characterized as salt III. Afterward, the mother liquor was then stored further at room temperature. In the following month, yellow, parallelepiped-shaped single crystals grew and were characterized as corresponding to salt IV.
[C12H9N2][CF3SO3]·(C7H8) (III): FT-IR (ATR/cm−1): 3086 w, 3066 w, 3027 w, 1654 m, 1609 m, 1576 m, 1477 m, 1455 m, 1437 m, 1362 m, 1259 s, 1221 s, 1172 m, 1139 s, 1028 s, 862 m, 753 s, 718 s, 634 s, 607 s, 567 s, and 516 s.
[C12H9N2][CF3SO3]·(C12H8N2) (IV): FT-IR (ATR/cm−1): 3401 w br, 3088 w, 2925 w, 2726 m br, 1606 m, 1576 m, 1528 m, 1495 m, 1457 m, 1437 m, 1290 s, 1239 s, 1223 s, 1178 s, 1163 s, 1145 s, 1112 s, 1026 s, 908 s, 763 s, 734 s, 717 s, 696 s, 626 s, 608 s, 604 s, 573 s, 549 s, and 514 s.

2.3. X-ray Crystallography

Diffraction data were collected from suitable crystals on a Bruker Nonius APEXII CCD (Mo-Kα radiation, λ = 0.71073 Å). The total number of runs and images was based on the strategy calculation from the program APEX2 (Bruker) [39]. Data were reduced using DENZO-SMN [40] software without applying absorption corrections; the missing absorption corrections were partially compensated by the data scaling procedure in the data reduction. The structures were solved using SHELXS-97 [41] and refined with full-matrix least-squares methods based on F2 (SHELXL 2019/3) [42,43,44] with the aid of the OLEX2 program [45]. All non-hydrogen atoms were refined with anisotropic thermal parameters and hydrogen atoms were included in their calculated positions and refined with a riding model. In resolving these structures, incomplete coverage of the diffraction pattern was observed for all scans and some data were rejected due to a saturated detector or some reflections may have been blocked by beam stopping. Programs used for the representation of the molecular and crystal structures: ORTEP [46,47], and MERCURY [48]. Crystallographic data and structure refinement details for I, II, III, and IV are summarized in Table 1.
CCDC 2449220 (I), 2449221 (II), 2449222 (III), and 2449223 (IV) contain the supplementary crystallographic data for this paper. These data can be obtained free of charge via www.ccdc.cam.ac.uk/data_request/cif (30 May 2025), or by e-mailing data_request@ccdc.cam.ac.uk, or by contacting The Cambridge Crystallographic Data Centre, 325 12 Union Road, Cambridge CB2 1EZ, UK.

2.4. Computational Study

Non-covalent interactions (NCI) were computed with IGMPlot-3.16.2 [49,50] on experimental X-ray geometries using the promolecular density. The NCI surfaces were plotted with VMD-2.0.0 [51,52] software.

3. Results and Discussion

The experimental protocol we previously designed involves treating a solution of the hydroxo di-n-butyltin trifluoromethanesulfonato dimer complex [n-Bu2Sn(μ-OH)(H2O)(CF3SO3)]2 (1) in dichloromethane with an excess of a nitrogenous heterocyclic compound (at three molar equivalents), specifically, benzo[c]cinnoline in this study. The synthesis and crystal structure of complex 1, used as organotin(IV) precursor, have been reported in the past by Otera and coworkers [37,38]. Complex 1 is obtained in good yield by treating a suspension of di-n-butyltin oxide in acetonitrile with a molar equivalent of trifluoromethanesulfonic acid, followed by crystallization in dichloromethane at low temperature. In the solid state, 1 is organized in a dimeric structure, with the two tin atoms linked by two hydroxo ligands, forming a planar Sn2O2 ring. Each tin atom bears one terminal trifluoromethanesulfonato ligand, O-coordinated, as well as one aqua ligand (Scheme 2). In the presence of nitrogen-containing heterocyclic compounds (phenazine, acridine, 2,9-dimethyl-1,10-phenanthroline), 1 gives rise to polynuclear organotin species of the distannoxane type, along with the crystallization of trifluoromethanesulfonate organic salts resulting from the monoprotonation of N-heterocycles [33,34,35,36]. Herein, benzo[c]cinnolinium trifluoromethanesulfonates are formed together with the organotin(IV) species of the distannoxane type, known as 2{[n-Bu2(μ-OH)SnOSn(μ-η2-O3SCF3)n-Bu2]2[n-Bu2(η1-O3SCF3)SnOSn(μ-OH)n-Bu2]2} (3), a polymorph of [n-Bu2(F3CSO3)SnOSn(OH)n-Bu2]2 [53], which crystallizes as cube-shaped colorless crystals [33]. Regarding the possible mechanism leading to the formation of [C12H9N2]+[CF3SO3] from 1, we formulate a possible pathway, illustrated in Scheme 2, in which benzo[c]cinnoline successively extracts protons from complex 1 and then from a trinuclear organotin(IV) species, 2, formed in situ. The trifluoromethanesulfonate anions compensating for the positive charge of benzo[c]cinnoliniums are also ejected from complexes 1 and 2. This mechanism is similar to that proposed in the past by us for the same reaction involving phenazine [34]. In support of this, the XRD structure of oxo-cluster 2 was determined, and its relationship with species 3 was also established by 119Sn NMR monitoring.

3.1. Reactivity of [n-Bu2Sn(μ-OH)(H2O)(CF3SO3)]2 (1) Toward Benzo[c]cinnoline

3.1.1. Crystal Structure of [C12H9N2][CF3SO3]·(C12H8N2) (I)

Salt I crystallizes in the monoclinic system with space group P21/c. It consists of a monoprotonated benzo[c]cinnolinium cation (BccH), where the positive charge is balanced by the presence of a surrounding trifluoromethanesulfonate anion. A free benzo[c]cinnoline molecule (Bcc), in interaction with BCCH, completes the crystal lattice. Planes containing BccH and Bcc, respectively, exhibit a deflection angle of 15°. Azo groups of each component face each other and interact through one N–H···N hydrogen bonding [N1···N3 = 2.721 (2) Å, N1–H···N3 = 168.34 (11)°]. This type of interaction is particularly known to play a key role in the structure of proteins, promoting their stability [54,55]. Intermolecular N–H···N hydrogen bonding was also observed in structures of organic molecules [56]. An ORTEP representation of I is shown in Figure 1. Selected bond lengths (A) and angles (°) are reported in Table 2. From a supramolecular point of view, salt I is organized into superimposed pleated sheets (Figure 2). This self-assembly is promoted by aromatic π-π interactions between the free Bcc molecules of two sheets. The centroid-to-centroid (C13C18C19C24N4N3/C13iv-C18iv) and the interplanar distances are 3.4718(9) and 3.3547(12) Å, respectively. The difference in these two distances indicates that the BCC and BCCH rings are slipped. The slip angle (the angle between the normal to the planes and the centroid–centroid vector) is 19.4° corresponding to a slip distance of 1.15 Å. In the literature, for such interactions, the distance between the arene planes is commonly found around 3.3–3.8 Å [57,58].
Interestingly, the trifluoromethanesulfonate anions are also implicated in the establishment of the supramolecular structure. They are directly involved in the formation of weak C–H···O and C–H···F interactions involving their SO3 and CF3 groups and surrounding BBC and BBCH, respectively. In the past, the predominant role of these interactions has been demonstrated to explain the supramolecular chirality of pyridinium trifluoromethanesulfonate [59]. All the hydrogen bonds and short contacts identified in I are summarized in Table 3. Thus, I displays three types of intermolecular non-covalent interactions (NCI), which are highlighted in Figure 3: π-π interactions (encircled with a light blue ring) between BCCH or BCC molecules, strong N−HN interactions (indicated by blue dashed lines), and weak C−HX (X=N, O or F) interactions (indicated by green dashed lines).

3.1.2. Crystal Structure of [C12H9N2][CF3SO3]·(C12H8N2)2 (II)

After the crystallization and collection of I, new yellow-green needle-shape crystals subsequently appeared in the mother solution and were characterized as salt II, which crystallizes in the monoclinic C2 space group. The elementary cell consists of two free BCC molecules, a monoprotonated BCCH cation, and a trifluoromethanesulfonate anion. An ORTEP representation of II is shown in Figure 4. Selected bond lengths (A) and angles (°) are reported in Table 4. One of the two BCC molecules is in π-π interaction with the BCCH cation through two aromatic rings. The centroid-to-centroid distances are 3.6622 (16) [C20C19C24C23C22C21/C6C7C12N1N2C1] and 3.5245 (17) Å [C18C19C24N3N4C13/C5C6C1C2C3C4], respectively. Interestingly, the second free BCC molecule is positioned almost perpendicular to the first with a dihedral angle of 87.34 (4)°. Furthermore, the NH+ group of BBCH interacts with a BCC molecule via an intermolecular N–H···N hydrogen bonding [N1···N3 = 2.668 (3) Å, N1–H···N3 = 173.7 (2)°]. The plane containing the BCC molecule is inclined at 15.62 (4)° to the plane containing BCCH. the supramolecular organization of II can be seen as composed of alternating stacks of BCC/BCCHs along the b-axis, organized in pairs and separated by orthogonal BCC (Figure 5). Trifluoromethanesulfonate anions contribute to this organization by promoting weak C–H···F, C–H···O interactions, as well as short F···F contacts lower than the sums of the van der Waals radii (2.94 Å). The geometry of hydrogen bonds and short contacts for II are listed in Table 5. Salt II displays four types of intermolecular non-covalent interactions: π-π interactions (encircled by a light blue ring) between BCCH and BCC, CH-π interactions (encircled by a light brown ring) between the (C5-C8)–H of BCC and the perpendicular BCC molecule, strong N–HN interactions (indicated by blue dashed lines), and weak C–HX (X=N, O or F) interactions (indicated by green dashed lines) (Figure 6). The cooperative role of these interactions and their contribution to the stability of the crystal lattice has been highlighted in particular by Chopra and Guru Row [60].

3.2. Reactivity of [n-Bu2Sn(μ-OH)(H2O)(CF3SO3)]2 (1) Toward Benzo[c]cinnoline in the Presence of Phenanthrene

In the past, by mixing phenazine, anthracene, and complex 1, we demonstrated the possibility of accessing a sandwich-type architecture, based on the intercalation of an anthracene molecule between two phenazinium trifluoromethanesulfonate salts, promoted via π-π aromatic interactions [33]. Subsequently, a similar result was obtained when an equimolar mixture of acridine and anthracene reacted with 1, leading to the intercalation of an anthracene molecule between two acridinium triflate salts [34]. In order to reproduce the same approach here with the target reaction, the addition of phenanthrene to the reaction mixture (benzo[c]cinnoline and 1) was also investigated. Two new crystalline stacks, characterized as salts III and IV, were isolated, but the resolved structures did not reveal the presence of intercalated phenanthrene.

3.2.1. Crystal Structure of [C12H9N2][CF3SO3]·(C7H8) (III)

Salt III was isolated in the form of long yellow rods. It crystallizes in the triclinic space group P−1. The unit cell comprises one monoprotonated benzo[c]cinnolinium cation in hydrogen bonding interaction with one trifluoromethanesulfonate anion [N1···O3 = 2.6802 (14) Å, N1–H···O3 = 167.17 (8)°]. An ORTEP representation of III is shown in Figure 7. Selected bond lengths (A) and angles (°) are reported in Table 6. In addition, one toluene molecule (crystallization solvent) co-crystallizes with [C12H9N2][CF3SO3] and is positioned in π-π aromatic interaction with the central ring of BCCH. The centroid-to-centroid distance [C13C14C15C16C17C18(toluene)/C1C6C7C12N2N1(BCCH)] measures 3.561 (2) Å and the interplanar distance 3.395 Å indicating a slippage of 17.6° (1.1 Å). The crystal structure of III, illustrated in Figure 8, can be described as the intercalation of a toluene molecule between two BCCH salts, oriented head-to-tail and leading to a staircase stack. In addition to its involvement in the N1-H···O3 hydrogen bond, via one of its oxygen atoms, the trifluoromethanesulfonate anion takes part in several weak contacts, summarized in Table 7, which favor the solid-state organization of III. Therefore, four types of intermolecular non covalent interactions are involved in III and are highlighted in Figure 9: π-π interactions (encircled with a light blue ring) between BCCH and BCC molecules, CH-π interactions (encircled with a light brown ring) between the (C5-C8)-H of the BCC molecule and the perpendicular BCC molecule, strong N–HO interactions (indicated by blue dashed lines), and weak C–HX (X = N, O or F) interactions (indicated by green dashed lines).

3.2.2. Crystal Structure of [C12H9N2][CF3SO3]·(C12H8N2) (IV)

A few weeks after the formation of III, new yellow crystals of parallelepiped shape grew in the same solution, kept at room temperature. They were characterized as (C12H9N2][CF3SO3]·(C12H8N2) (IV), the unit cell comprising a monoprotonated benzo[c]cinnolinium cation (BccH), a surrounding trifluoromethanesulfonate anion and a free benzo[c]cinnoline molecule (Bcc). An ORTEP representation of IV is shown in Figure 10. Selected bond lengths (A) and angles (°) are reported in Table 8. Salt III crystallizes in the triclinic P−1 space group and is a polymorph of salt I. Similarly, the azo groups of BCC and BCCH face each other and interact via an N–H···N hydrogen bond [N1···N3 = 2.713 (2) Å, N1–H···N3 = 173.33 (10)°]. However, the two components can be considered to be in the same plane (measured deviation of less than 1.5°). From a supramolecular point of view, the organization of salt IV can be seen as based on alternating BCC and BCCH stacks, expanding along the a-axis, and driven by π-π aromatic interactions and weak contacts (Figure 11). The centroid-to-centroid distance [C1C6C7C12N2N1(BCCH)/C13C18C19C24N4N3(BCC)] measures 3.7194 (10) Å, and the interplanar distance 3.3369 (9) Å indicates a pronounced slippage of 26.2° (1.64 Å). Trifluromethanesulfonate anions are intercalated between BCC/BCCH stacks and contribute to the crystal packing cohesion via C–H···F and C–H···O weak interactions (Table 9). Figure 12 displays the three types of intermolecular non-covalent interactions involved in IV: π-π interactions (indicated by a light blue ring) between BCCH and BCC molecules, strong N–HN interactions (indicated by blue dashed lines), and weak C–HX (X=N, O or F) interactions (indicated by green dashed lines).

3.3. FT-IR Spectra (ATR Mode) of Salts IIV

The four benzo[c]cinnolinium salts were also characterized by FT-IR spectroscopy in ATR mode. The spectra are shown in Figure 13. Characteristic vibration bands of trifluoromethasulfonate anions, in particular ν(CF3) and ν(SO3) elongations, are observed in the stretching region between 1000 and 1300 cm−1 (outlined by a yellow banner in Figure 9). The intense absorptions related to BCCH rings and resulting from ν(C=C), ν(N=N), ν(C−N), between 1650 and 1300 cm−1, as well as γ(C–H aromatic rings), located around 850 cm−1, are highlighted by blue banners. The profiles of the four spectra are relatively similar, but each salt has its own infrared fingerprint. Changes in frequencies, relative intensities, and numbers of bands are clearly perceptible.
As previously mentioned, salts I and IV are polymorphic. Although they have the same chemical formula, they crystallize in two different space groups and present two distinct crystal packings. This is also reflected in their respective FT-IR spectra, showing distinct absorption bands for the anionic and cationic components of salts. These differences are also corroborated by powder X-ray diffraction simulations, presented below in Figure 14, which also reveals distinctive diffraction patterns for I and IV.

4. Conclusions

The strategy developed in the past based on the use of organotin(IV) complexes for designing organic salt triflate-based stacks from phenazine, acridine and 2,9-dimethyl-1,10-phenanthroline, was successfully applied this time to benzo[c]cinnoline, leading to the isolation of four distinct architectures of [C12H9N2]+[CF3SO3]. From a crystallographic point of view, and to our knowledge, the X-ray structures of salts I, II, III, and IV are novel, and thus complete the only example of benzo[c]cinnolinium reported to date as perchlorate salt. From a supramolecular point of view, this study confirms that nitrogen-containing heterocyclic compounds are well-suited synthons for designing stacks via aromatic π-π interactions and shows that the trifluoromethanesulfonate anion is also well suited for obtaining crystalline structures by promoting the diversity of stabilizing intermolecular contacts (C−H···O, C−H···F, F···F). In addition, the use of an organotin complex acting as a crystal engineering promoter is an unusual approach. Even with other types of organometallic complexes, this concept is fairly uncommon. In the future, further work will be carried out in this area, examining the use of additional aromatic synthons and other potentially effective metal complexes.

Author Contributions

Conceptualization, L.P. and H.C.; methodology, L.P. and H.C.; software, L.P. and H.C.; validation, L.P. and H.C.; formal analysis, L.P. and H.C.; investigation, L.P. and H.C.; resources, L.P. and H.C.; data curation, L.P. and H.C.; writing—original draft preparation, L.P.; writing—review and editing, L.P. and H.C.; visualization, L.P. and H.C.; supervision, L.P.; project administration, L.P.; funding acquisition, L.P. and H.C. All authors have read and agreed to the published version of the manuscript.

Funding

This research received no external funding.

Data Availability Statement

Data from the current study are available on request from the corresponding authors.

Acknowledgments

The authors are grateful for financial support from the Centre National de la Recherche Scientifique (CNRS-France) and the University of Bourgogne (Dijon-France). Thanks to three anonymous reviewers for their relevant suggestions and to Paul Fleurat-Lessard for the introduction to NCI calculations and his support with the calculations, which were carried out using the HPC resources from DSI-CCUB (Université Bourgogne Europe).

Conflicts of Interest

The authors declare no conflicts of interest.

References

  1. Lewgowd, W.; Stanczak, A. Cinnoline Derivatives with Biological Activity. Arch. Pharm. Chem. Life Sci. 2007, 340, 65–80. [Google Scholar] [CrossRef] [PubMed]
  2. Szumilak, M.; Stanczak, A. Cinnoline Scaffold-A Molecular Heart of Medicinal Chemistry? Molecules 2019, 24, 2271. [Google Scholar] [CrossRef] [PubMed]
  3. Bhowal, R.; Biswas, S.; Thumbarathil, A.; Koner, A.L.; Chopra, D. Solid-State Photophysical Properties of Organic Co-Crystals. J. Phys. Chem. C 2019, 123, 9311–9322. [Google Scholar] [CrossRef]
  4. Bellows, S.M.; Arnet, N.A.; Gurubasavaraj, P.M.; Brennessel, W.W.; Bill, E.; Cundari, T.R.; Holland, P.L. The Mechanism of N–N Double Bond Cleavage by an Iron (II) Hydride Complex. J. Am. Chem. Soc. 2016, 138, 12112–12123. [Google Scholar] [CrossRef] [PubMed]
  5. Toth, A.; Floriani, C.; Chiesi-Villa, A.; Guastini, C. Dinuclear copper(I) benzoato complexes binding isocyanides and azo compounds. Inorg. Chem. 1987, 26, 236–241. [Google Scholar] [CrossRef]
  6. Whittemore, T.; Xue, C.; Huang, J.; Gallucci, J.; Turro, C. Single-chromophore single-molecule photocatalyst for the production of dihydrogen using low-energy light. Nat. Chem. 2020, 12, 180–185. [Google Scholar] [CrossRef] [PubMed]
  7. Fortunato, M.T.; Moore, C.E.; Turro, C. Ligand-Centered Photocatalytic Hydrogen Production in an Axially Capped Rh2(II,II) Paddlewheel Complex with Red Light. J. Am. Chem. Soc. 2023, 145, 27348–27357. [Google Scholar] [CrossRef] [PubMed]
  8. Rasika Dias, H.V.; Palehepitiya Gamage, C.S.; Jayaratna, N.B.; Hettiarachchi, C.V. Mixed ligand complexes of silver(i) supported by highly fluorinated pyrazolates, and chelating and bridging N-heterocycles. New J. Chem. 2020, 44, 17079–17087. [Google Scholar] [CrossRef]
  9. Huang, J.; Gallucci, J.C.; Turro, C. Panchromatic dirhodium photocatalysts for dihydrogen generation with red light. Chem. Sci. 2020, 11, 9775–9783. [Google Scholar] [CrossRef] [PubMed]
  10. Rasika Dias, H.V.; Diyabalanage, H.V.K.; Palehepitiya Gamage, C.S. Neutral Cu4N12 and Ag4N12 metallacycles with a para-cyclophane framework assembled from copper(i) and silver(i) pyrazolates and pyridazine. Chem. Commun. 2005, 1619–1621. [Google Scholar] [CrossRef] [PubMed]
  11. Klein, H.-F.; Helwig, M.; Koch, U.; Florke, U.; Haupt, H.-J. Coordination and Reactions of Diazenes in Trimethylphosphinecobalt (I) Complexes—Syntheses and Structures of Complexes Containing μ2-(N,N’)-Benzo[c]cinnoline and η2-Azobenzene Ligands. Z. Naturforsch. B Chem. Sci. 1993, 48, 778–784. [Google Scholar] [CrossRef]
  12. Laskar, P.; Yamamoto, K.; Nishi, K.; Ikeda, H.; Tsurugi, H.; Mashima, K. Cβ–Cβ Bond Fission of Metallacyclopentadiene over a Low-Valent Ditantalum Scaffold. Organometallics 2019, 38, 722–729. [Google Scholar] [CrossRef]
  13. Mei, Y.; Wu, D.-J.; Borger, J.E.; Grützmacher, H. Simple Synthesis of Functionalized 2-Phosphanaphthalenes. Angew. Chem. Int. Ed. 2018, 57, 5512–5515. [Google Scholar] [CrossRef] [PubMed]
  14. Klein, H.-F.; Helwig, M.; Karnop, M.; Konig, H.; Hammerschmitt, B.; Cordier, G.; Florke, U.; Haupt, H.-J. Tris(trimethylphosphine)cobalt (0) Compounds Containing Azaolefinic LigandsSyntheses and Structures of Benzo[c]cinnoline and Phenylisocyanate Complexes. Z. Naturforsch. B Chem. Sci. 1993, 48, 785–793. [Google Scholar] [CrossRef]
  15. Li, S.; Schröder, M.; Shi, X.; Spannenberg, A.; Fischer, J.; Corzilius, B.; Reiß, F.; Beweries, T. Reactions of Titanium- and Zirconium-Based 1-Metallacyclobuta-2,3-diene Complexes with Diazenes: N=N Bond Cleavage versus N–C Bond Formation and Dearomatization. Organometallics 2024, 43, 3153–3162. [Google Scholar] [CrossRef]
  16. Plasseraud, L.; Schreurer, A.; Hampel, F. Self-assembly of 1D- and 3D-Networks Through Non-coordination Intermolecular Forces: Synthesis and Crystal Structures of Copper(I) Complexes Based on Pyridazine-type Ligands. Z. Naturforsch. B Chem. Sci. 2007, 62, 799–806. [Google Scholar] [CrossRef]
  17. Dehghanpour, S.; Afshariazar, F.; Assoud, J. Reduction of 2,2′-dinitrobiphenyl with hydrazine hydrate catalyzed by Pd/C: Cobalt (II), zinc (II) and mercury (II) complexes with benzo[c]cinnoline and N2,N2′-bis(3-phenylallylidene)biphenyl-2,2′-diamine. Polyhedron 2012, 35, 69–76. [Google Scholar] [CrossRef]
  18. Pham, E.K.; McElwee-White, L. Structure of (benzo[c]cinnoline-N’)pentacarbonyltungsten. Acta Crystallogr. Sect. C 1992, 48, 1120–1121. [Google Scholar] [CrossRef]
  19. Badger, G.M.; Seidler, J.H.; Thomson, B. Polynuclear Heterocyclic Systems. Part III. The 3 : 4-Benxacridine-5 : 10-Dihydro-3 : 4-benzacridine Complex. J. Chem. Soc. 1951, 3207–3211. [Google Scholar] [CrossRef]
  20. Yabe, A.; Honda, K. Photolysis of 2,2′-diazidobiphenyl. Tetraedron Lett. 1975, 16, 1079–1082. [Google Scholar] [CrossRef]
  21. Li, H.; Zhao, J.; Yi, S.; Hu, K.; Feng, P. Consequent Construction of C–C and C–N Bonds via Palladium-Catalyzed Dual C–H Activation: Synthesis of Benzo[c]cinnoline Derivatives. Organometallics 2021, 40, 880–889. [Google Scholar] [CrossRef]
  22. Meng, R.; Li, F.; Li, D.; Jin, B. A Green and Efficient Synthesis Method of Benzo[c]cinnolines: Electrochemical Reduction of 2,2′-Dinitrobiphenyl in the Presence of CO2. ChemElectroChem 2022, 9, e202101381. [Google Scholar] [CrossRef]
  23. Cauquis, G.; Reverdy, G. Etude électrochimique de la cyclodéshydrogénation photochimique du cation triphényldiazénium. Tetrahedron Lett. 1977, 18, 3267–3270. [Google Scholar] [CrossRef]
  24. Shen, Y.; Shang, Z.; Yang, Y.; Zhu, S.; Qian, X.; Shi, P.; Zheng, J.; Yang, Y. Structurally Rigid 9-Amino-benzo[c]cinnoliniums Make Up a Class of Compact and Large Stokes-Shift Fluorescent Dyes for Cell-Based Imaging Applications. J. Org. Chem. 2015, 80, 5906–5911. [Google Scholar] [CrossRef] [PubMed]
  25. Liu, Z.; Xian, Y.; Lan, J.; Luo, Y.; Ma, W.; You, J. Fusion of Aromatic Ring to Azoarenes: One-Pot Access to 5,6-Phenanthroliniums for Mitochondria-Targeted Far-Red/NIR Fluorescent Probes. Org. Lett. 2019, 21, 1037–1041. [Google Scholar] [CrossRef] [PubMed]
  26. Hsiao, H.-C.; Li, M.-C.; Vedarethinam, G.; Chen, P.-L.; Chuang, S.-C. Synthesis of Benzo[c]cinnolinium Salts from 2-Azobiaryls by Copper(II) or Electrochemical Oxidation. Org. Lett. 2024, 26, 1694–1698. [Google Scholar] [CrossRef] [PubMed]
  27. Kalk, W.; Schundehutte, K.H. (Bayer Aktiengesellschaft, Leverkusen, Fed. Rep. Of Germany). Kationische Farbstoffe. German Patent DE2060598 A, 29 August 1972. [Google Scholar]
  28. Kalk, W.; Schundehutte, K.H. (Bayer Aktiengesellschaft, Leverkusen, Fed. Rep. Of Germany). Benzo-[c]-cinnolinium dyestuffs. USA Patent 4,139,530, 13 February 1979. [Google Scholar]
  29. van der Meer, H. The Crystal Structure of 9,10-Diazaphenanthrene. Acta Crystallogr. Sect. B 1972, 28, 367–370. [Google Scholar] [CrossRef]
  30. Shaanan, B.; Shmueli, U.; Colapietro, M. Structure and Packing Arrangement of Molecular Compounds. X. 9,10-Diazaphenanthrene-2,3-Dichloro-5,6-dicyano-1,4-benzoquinone (2:1). Acta Crystallogr. Sect. B 1982, 38, 818–824. [Google Scholar] [CrossRef]
  31. Molčanov, K.; Kojić-Prodić, B. Salts and co-crystals of chloranilic acid with organic bases: Is it possible to predict a salt formation? CrystEngComm 2010, 12, 925–939. [Google Scholar] [CrossRef]
  32. Mariappan, K.; Caple, G.; Basa, P.N.; Sykes, A.G. Preparation of onium salts of a reduced anthracenone crown ether macrocycle: A reactivity series involving pyridine, phosphine, thiophene, nitrile and primary amide nucleophiles. J. Phys. Org. Chem. 2012, 25, 686–692. [Google Scholar] [CrossRef]
  33. Plasseraud, L.; Cattey, H.; Richard, P.; Ballivet-Tkatchenko, D. A novel two-dimensional organostannoxane coordination network promoted by phenazine: Synthesis, characterization and X-ray structure of 2{[n-Bu2(μ-OH)SnOSn(μ-η2-O3SCF3)n-Bu2]2 [n-Bu2(η1-O3SCF3)SnOSn(η-OH)n-Bu2]2}. J. Organomet. Chem. 2009, 694, 2386–2394. [Google Scholar] [CrossRef]
  34. Plasseraud, L.; Therrien, B.; Růžička, A.; Cattey, H. Organotin (IV) trifluoromethanesulfonates chemistry: Isolation and characterization of a new di-n-butyl derivative presenting a Sn3O3 core. Inorg. Chim. Acta 2012, 380, 50–56. [Google Scholar] [CrossRef]
  35. Plasseraud, L.; Cattey, H. New acridinium trifluoromethanesulfonate stacks induced in the presence of organotin (IV) complexes. Comptes Rendus Chim. 2013, 16, 613–620. [Google Scholar] [CrossRef]
  36. Plasseraud, L.; Cattey, H. Organotin (IV) trifluoromethanesulfonate chemistry: Isolation and characterization of novel 1,10-phenanthroline-based derivatives. Comptes Rendus Chim. 2024, 27 (Suppl. 1), 17–34. [Google Scholar] [CrossRef]
  37. Sakamoto, K.; Hamada, Y.; Akashi, H.; Orita, A.; Otera, J. Novel Dimeric Organotin Cations: Highly Effective Alcohol Acetylation Catalysts. Organometallics 1999, 18, 3555–3557. [Google Scholar] [CrossRef]
  38. Sakamoto, K.; Ikeda, H.; Akashi, H.; Fukuyama, T.; Orita, A.; Otera, J. Synthesis and structural studies on Dimeric Organotin Cations. Organometallics 2000, 19, 3242–3248. [Google Scholar] [CrossRef]
  39. Bruker AXS Inc. APEX2 (Bruker); Bruker AXS Inc.: Madison, WI, USA, 2014. [Google Scholar]
  40. Otwinowski, Z.; Minor, W. Processing of X-ray Diffraction Data Collected in Oscillation Mode. Methods Enzymol. 1997, 276, 307–326. [Google Scholar]
  41. Sheldrick, G.M. Phase annealing in SHELX-90: Direct methods for larger structures. Acta Crystallogr. Sect. A 1990, 46, 467–473. [Google Scholar] [CrossRef]
  42. Sheldrick, G.M. A short history of SHELX. Acta Crystallogr. Sect. A 2008, 64, 112–122. [Google Scholar] [CrossRef] [PubMed]
  43. Sheldrick, G.M. SHELXT-Integrated space-group and crystal-structure determination. Acta Crystallogr. Sect. A 2015, 71, 3–8. [Google Scholar] [CrossRef] [PubMed]
  44. Sheldrick, G.M. Crystal structure refinement with SHELXL. Acta Crystallogr. Sect. C 2015, 71, 3–8. [Google Scholar] [CrossRef] [PubMed]
  45. Dolomanov, O.V.; Bourhis, L.J.; Gildea, R.J.; Howard, J.A.K.; Puschmann, H. OLEX2: A complete structure solution, refinement and analysis program. J. Appl. Cryst. 2009, 42, 339–341. [Google Scholar] [CrossRef]
  46. Johnson, C.K.; Burnett, M.N. ORTEP-III, Rep. ORNL-6895, Oak Ridge National Laboratory, Oak Ridge, TN (USA) 1996; Farrugia, L.J., Ed.; University of Glasgow: Glasgow, UK, 1999. [Google Scholar]
  47. Farrugia, L.J. ORTEP-3 for Windows—A version of ORTEP-III with a Graphical User Interface (GUI). J. Appl. Crystallogr. 1997, 30, 565. [Google Scholar] [CrossRef]
  48. Macrae, C.F.; Bruno, I.J.; Chisholm, J.A.; Edgington, P.R.; McCabe, P.; Pidcock, E.; Rodriguez-Monge, L.; Taylor, R.; Van de Streek, J.; Wood, P.A. Mercury CSD 2.0—New features for the visualization and investigation of crystal structures. J. Appl. Cryst. 2008, 41, 466–470. [Google Scholar] [CrossRef]
  49. Lefebvre, C.; Rubez, G.; Khartabil, H.; Boisson, J.-C.; Contreras-García, J.; Hénon, E. Accurately Extracting the Signature of Intermolecular Interactions Present in the NCI Plot of the Reduced Density Gradient versus Electron Density. Phys. Chem. Chem. Phys. 2017, 19, 17928–17936. [Google Scholar] [CrossRef] [PubMed]
  50. Lefebvre, C.; Khartabil, H.; Boisson, J.-C.; Contreras-Garcia, J.; Piquemal, J.-P.; Hénon, E. IGMPlot: A program to identify, characterize, and quantify molecular interactions. J. Comp. Chem. 2023, 44, 1750–1766. [Google Scholar] [CrossRef] [PubMed]
  51. Humphrey, W.; Dalke, A.; Schulten, K. VMD: Visual molecular dynamics. J. Mol. Graph. 1996, 14, 33–38. [Google Scholar] [CrossRef] [PubMed]
  52. Available online: http://www.ks.uiuc.edu/Research/vmd/ (accessed on 23 June 2025).
  53. Orita, A.; Xiang, J.; Sakamoto, K.; Otera, J. Synthesis and characterization of organotin triflate clusters. J. Organomet. Chem. 2001, 624, 287–293. [Google Scholar] [CrossRef]
  54. Deepak, R.N.V.K.; Sankararamakrishnan, R. N–H···N Hydrogen Bonds Involving Histidine Imidazole Nitrogen Atoms: A New Structural Role for Histidine Residues in Proteins. Biochemistry 2016, 55, 3774–3783. [Google Scholar] [CrossRef] [PubMed]
  55. Deepak, R.N.V.K.; Sankararamakrishnan, R. Unconventional N-H…N Hydrogen Bonds Involving Proline Backbone Nitrogen in Protein Structures. Biophys. J. 2016, 110, 1967–1979. [Google Scholar] [CrossRef] [PubMed]
  56. Shazia, A.; Shahid, H.; Nawaz, T.M.; Moazzam, N.M. Molecular duplexes featuring NH···N, CH···O and CH···π interactions in solid-state self-assembly of triazine-based compounds. R. Soc. Open Sci. 2022, 9, 220603. [Google Scholar]
  57. Hunter, C.A.; Sanders, J.K.M. The nature of π-π interactions. J. Am. Chem. Soc. 1990, 112, 5525–5534. [Google Scholar] [CrossRef]
  58. Janiak, C. A critical account on π-π stacking in metal complexes with aromatic nitrogen-containing ligands. J. Chem. Soc. Dalton Trans. 2000, 3885–3896. [Google Scholar] [CrossRef]
  59. Goldberg, I. Coulombic interactions, hydrogen bonding and supramolecular chirality in pyridinium trifluoromethanesulfonate. Acta Cryst. 2009, C65, o509–o511. [Google Scholar] [CrossRef] [PubMed]
  60. Chopra, D.; Guru Row, T.N. Role of organic fluorine in crystal engineering. CrystEngComm 2011, 13, 2175–2186. [Google Scholar] [CrossRef]
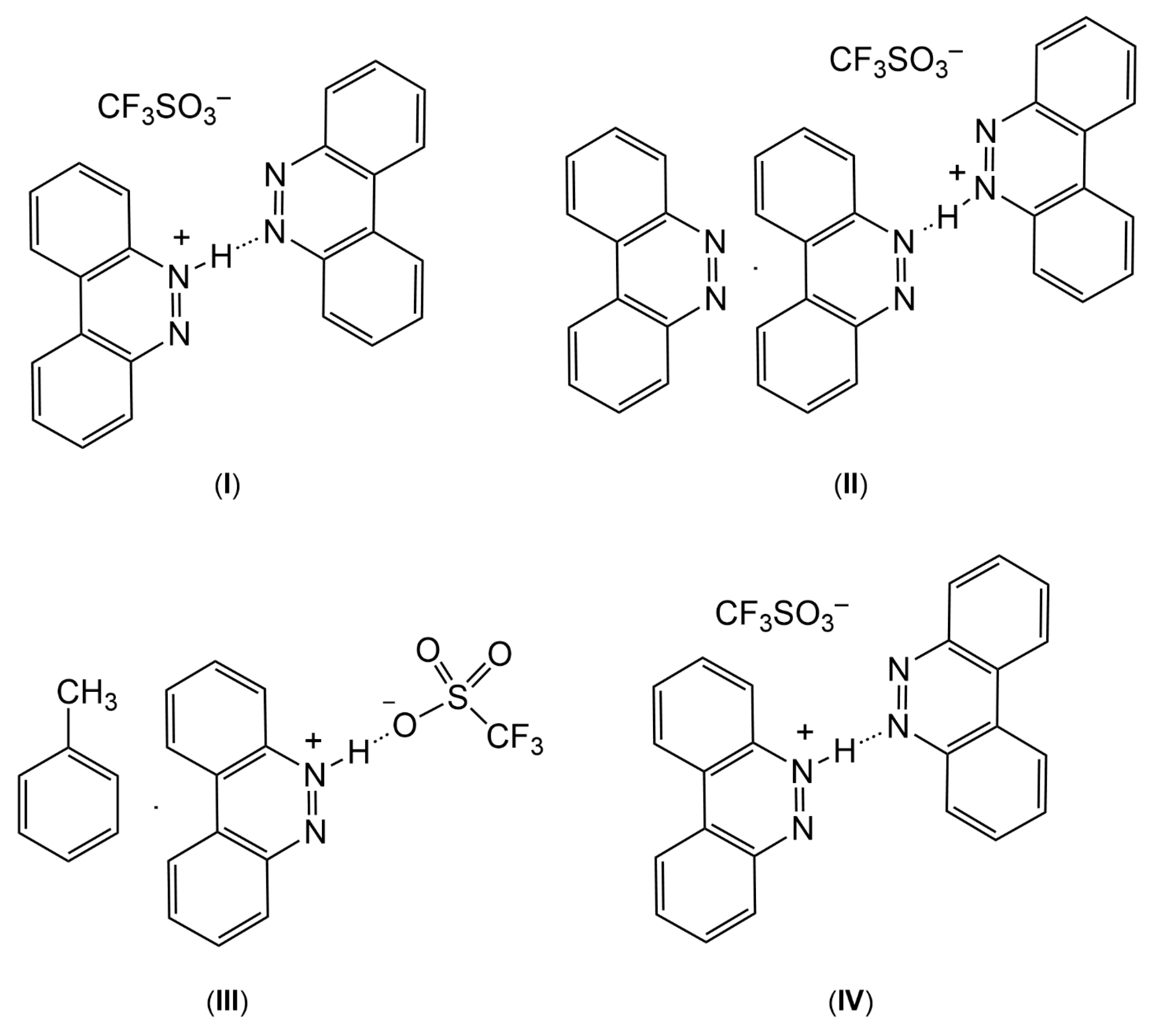
Scheme 1. Chemical representations and composition of benzo[c]cinnolinium trifluoromethanesulfonate salts isolated from this study. Compounds I and IV are polymorphic.
Scheme 1. Chemical representations and composition of benzo[c]cinnolinium trifluoromethanesulfonate salts isolated from this study. Compounds I and IV are polymorphic.
Crystals 15 00655 sch001
Scheme 2. Possible mechanism leading to the formation of [C12H9N2]+[CF3SO3] from 1 (OTf = OSO2CF3).
Scheme 2. Possible mechanism leading to the formation of [C12H9N2]+[CF3SO3] from 1 (OTf = OSO2CF3).
Crystals 15 00655 sch002
Figure 1. Molecular structure of [C12H9N2][CF3SO3]·(C12H8N2) (I) showing the atom labeling scheme (ORTEP view). Color code: sulfur, yellow; oxygen, red; nitrogen, blue; fluoride, green; carbon, grey; hydrogen, white.
Figure 1. Molecular structure of [C12H9N2][CF3SO3]·(C12H8N2) (I) showing the atom labeling scheme (ORTEP view). Color code: sulfur, yellow; oxygen, red; nitrogen, blue; fluoride, green; carbon, grey; hydrogen, white.
Crystals 15 00655 g001
Figure 2. The crystal packing of I in the unit cell (MERCURY representation).
Figure 2. The crystal packing of I in the unit cell (MERCURY representation).
Crystals 15 00655 g002
Figure 3. NCI isosurfaces for I ((left): between BCCH and BCC; (right): with other cells). Atom color code: C in gray, O in red, N in blue, F in green, H in white, S in yellow.
Figure 3. NCI isosurfaces for I ((left): between BCCH and BCC; (right): with other cells). Atom color code: C in gray, O in red, N in blue, F in green, H in white, S in yellow.
Crystals 15 00655 g003
Figure 4. Molecular structure of [C12H9N2][CF3SO3]·(C12H8N2)2 (II) showing the atom labeling scheme (ORTEP view). Color code: sulfur, yellow; oxygen, red; nitrogen, blue; fluoride, green; carbon, grey; hydrogen, white.
Figure 4. Molecular structure of [C12H9N2][CF3SO3]·(C12H8N2)2 (II) showing the atom labeling scheme (ORTEP view). Color code: sulfur, yellow; oxygen, red; nitrogen, blue; fluoride, green; carbon, grey; hydrogen, white.
Crystals 15 00655 g004
Figure 5. The crystal packing of II in the unit cell (MERCURY representation).
Figure 5. The crystal packing of II in the unit cell (MERCURY representation).
Crystals 15 00655 g005
Figure 6. NCI isosurfaces for II ((left): between BCCH and BCC; (right): with other cells). Atom color code: C in gray, O in red, N in blue, F in green, H in white, S in yellow.
Figure 6. NCI isosurfaces for II ((left): between BCCH and BCC; (right): with other cells). Atom color code: C in gray, O in red, N in blue, F in green, H in white, S in yellow.
Crystals 15 00655 g006
Figure 7. Molecular structure of [C12H9N2][CF3SO3]·(C7H8) (III) showing the atom labeling scheme (ORTEP view). Color code: sulfur, yellow; oxygen, red; nitrogen, blue; fluoride, green; carbon, grey; hydrogen, white.
Figure 7. Molecular structure of [C12H9N2][CF3SO3]·(C7H8) (III) showing the atom labeling scheme (ORTEP view). Color code: sulfur, yellow; oxygen, red; nitrogen, blue; fluoride, green; carbon, grey; hydrogen, white.
Crystals 15 00655 g007
Figure 8. The crystal packing of III in the unit cell (Mercury representation).
Figure 8. The crystal packing of III in the unit cell (Mercury representation).
Crystals 15 00655 g008
Figure 9. NCI isosurfaces for III ((top): between BCCH and BCC, with the two conformations of the toluene; (middle): with other closed molecules; (bottom): with other cells). Atom color code: C in gray, O in red, N in blue, F in green, H in white, S in yellow.
Figure 9. NCI isosurfaces for III ((top): between BCCH and BCC, with the two conformations of the toluene; (middle): with other closed molecules; (bottom): with other cells). Atom color code: C in gray, O in red, N in blue, F in green, H in white, S in yellow.
Crystals 15 00655 g009
Figure 10. Molecular structure of [C12H9N2][CF3SO3]·(C12H9N2) (IV) showing the atom labeling scheme (ORTEP view). Color code: sulfur, yellow; oxygen, red; nitrogen, blue; fluoride, green; carbon, grey; hydrogen, white. Selected bond lengths (A) and angles (°): N4–C24–C23 116.40 (13), C13–C18–C19 116.89 (13), C24–C19–C18 116.93 (14), O1–S–O2 114.64 (8), O1–S–O3 115.24 (8), O2–S–O3 114.68 (8), O1–S–C25 102.22 (8), O2–S–C25 103.79 (9), O3–S–C25 103.97 (8).
Figure 10. Molecular structure of [C12H9N2][CF3SO3]·(C12H9N2) (IV) showing the atom labeling scheme (ORTEP view). Color code: sulfur, yellow; oxygen, red; nitrogen, blue; fluoride, green; carbon, grey; hydrogen, white. Selected bond lengths (A) and angles (°): N4–C24–C23 116.40 (13), C13–C18–C19 116.89 (13), C24–C19–C18 116.93 (14), O1–S–O2 114.64 (8), O1–S–O3 115.24 (8), O2–S–O3 114.68 (8), O1–S–C25 102.22 (8), O2–S–C25 103.79 (9), O3–S–C25 103.97 (8).
Crystals 15 00655 g010
Figure 11. The crystal packing of salt IV in the unit cell (MERCURY representation).
Figure 11. The crystal packing of salt IV in the unit cell (MERCURY representation).
Crystals 15 00655 g011
Figure 12. NCI isosurfaces for IV ((left): between BCCH and BCC); (right): with other cells). Atom color code: C in gray, O in red, N in blue, F in green, H in white, S in yellow.
Figure 12. NCI isosurfaces for IV ((left): between BCCH and BCC); (right): with other cells). Atom color code: C in gray, O in red, N in blue, F in green, H in white, S in yellow.
Crystals 15 00655 g012
Figure 13. FT-IR spectra (ATR mode) of salts IIV highlighting characteristic bands related to BCCH (blue banner) and CF3SO3 (yellow banner).
Figure 13. FT-IR spectra (ATR mode) of salts IIV highlighting characteristic bands related to BCCH (blue banner) and CF3SO3 (yellow banner).
Crystals 15 00655 g013
Figure 14. Powder X-ray diffraction pattern simulation feature of salt I (up) and salt IV (bottom) polymorphs (PXRD in MERCURY [48]).
Figure 14. Powder X-ray diffraction pattern simulation feature of salt I (up) and salt IV (bottom) polymorphs (PXRD in MERCURY [48]).
Crystals 15 00655 g014
Table 1. Crystallographic and refinement data for salts IIV.
Table 1. Crystallographic and refinement data for salts IIV.
CompoundIIIIIIIV
Empirical formula[C12H9N2][CF3SO3]·C12H8N2[C12H9N2][CF3SO3]·(C12H8N2)2[C12H9N2][CF3SO3]·½(C7H8)[C12H9N2][CF3SO3]·C12H8N2
Dcalc/g cm−31.510 1.5191.519 1.520
μ/mm−10.207 0.1910.248 0.208
Formula weight 510.48 600.59752.70 510.48
Color clear light yellow clear light colorlessclear light yellowclear light yellow
Shapeprism-shaped prism-shapedprism-shaped prism-shaped
Size/mm30.15 × 0.08 × 0.030.60 × 0.15 × 0.080.43 × 0.28 × 0.250.25 × 0.17 × 0.08
T/K 115 115115 115
Crystal systemmonoclinic monoclinictriclinic triclinic
Flack parameter 0.06 (10)
Space group P21/cC2P−1 P−1
a8.0422 (2) 26.0765 (11)8.9256 (5) 7.6998 (3)
b34.2479 (11) 6.8956 (2)10.0000 (5) 12.3988 (5)
c8.6981 (2) 15.5443 (6)10.0028 (6) 13.3783 (5)
a/°90 9085.326 (3) 63.178 (2)
b/°110.424 (1) 110.061 (1)74.238 (2) 81.436 (2)
g/°90 9073.233 (3) 78.890 (2)
V/Å3 2245.10 (11) 2625.49 (17)822.70 (8) 1115.63 (8)
Z4 41 2
Z’1 10.5 1
Wavelength/Å 0.71073 0.710730.71073 0.71073
Radiation type MoKa Mo KaMo Ka MoKa
Qmin/°2.379 1.6632.468 1.859
Qmax/°27.469 27.52227.436 27.439
Measured Refl’s. 9050 58876778 7835
Indep’t Refl’s 5075 58873656 5001
Refl’s I ≥ 2 s(I) 4487 56853517 4434
Rint0.0189 0.0190.0152 0.0161
Parameters 325 388252 325
Restraints 0 10 0
Largest peak 0.311 0.2720.376 0.291
Deepest hole −0.397 −0.259−0.393 −0.372
GooF 1.127 1.0831.075 1.063
wR2 (all data) 0.1016 0.09380.0919 0.1040
wR20.0975 0.09110.0903 0.0974
R1 (all data) 0.0539 0.04040.0362 0.0494
R10.0461 0.03800.0347 0.0417
CCDC deposition no.2449220244922124492222449223
Table 2. Selected bond lengths (A) and angles (°) for I.
Table 2. Selected bond lengths (A) and angles (°) for I.
N1–N21.293 (2)C13–C181.409 (3)
N1–C11.374 (2)C18–C191.436 (3)
N2–C81.361 (2)S–O11.4438 (14)
C1–C61.409 (3)S–O21.4423 (14)
C6–C71.435 (3)S–O31.4447 (14)
C7–C81.425 (2)S–C251.826 (2)
N3–N41.291 (2)C25–F11.342 (2)
N3–C131.389 (2)C25–F21.338 (2)
N4–C241.386 (2)C25–F31.339 (2)
C19-C241.409 (3)
N2–N1–C1126.54 (16)N3–C13–C14116.90 (17)
N1–N2–C8117.09 (15)N4–C24–C19123.03 (17)
N1–C1–C6118.79 (16)N4–C24–C23116.33 (17)
N1–C1–C2118.71 (17)O2–S–O1115.12 (8)
C1–C6–C7117.19 (16)O2–S–O3115.35 (8)
C12–C7–C6124.71 (16)O1–S–O3114.99 (9)
N4–N3–C13121.90 (16)O2–S–C25102.88 (9)
N3–N4–C24119.47 (16)O1–S–C25103.11 (9)
N3–C13–C18121.90 (17)O3–S–C25102.76 (9)
Table 3. Geometry of hydrogen bonds and short contacts for I.
Table 3. Geometry of hydrogen bonds and short contacts for I.
InteractionD a···A (Å) H···A b (Å)D-H···A (°)
N1−H···N32.721 (2)1.8530 (17)168.34 (11)
N1−H···N43.439 (2)2.6052 (17)158.49 (12)
C2−H···N43.509 (3)2.6665 (17)148.08 (14)
C14−H···N23.509 (3)2.6793 (17)146.16 (15)
C5−H···O1 i3.648 (3)2.7044 (14)172.54 (11)
C12−H···O1 i3.399 (2)2.4522 (15)174.48 (11)
C11−H···O2 i3.281 (3)2.6045 (14)128.43 (15)
C4−H···O1 ii3.265 (3)2.3893 (16)153.18 (12)
C3−H···O3 ii3.448 (3)2.6092 (17)147.41 (14)
C17−H···O3 iii3.419 (3)2.4743 (14)173.06 (10)
C20−H···O2 iii3.251 (3)2.5895 (14)127.05 (13)
C20−H···O3 iii3.498 (3)2.5523 (16)174.13 (11)
C21−H···O2 iii3.315 (3)2.7164 (14)121.64 (16)
C9−H···F2 iv3.353 (2)2.6077 (13)135.66 (12)
a Hydrogen bond donor. b Hydrogen bond acceptor. Symmetry code (i) −x, −y, 1 − z; (ii) −1 + x, y, z; (iii) x, ½ − y, −½ + z, (iv) x, y, −1 + z.
Table 4. Selected bond lengths (A) and angles (°) for II.
Table 4. Selected bond lengths (A) and angles (°) for II.
N1–N21.294 (3)C13–C181.418 (3)
C1–N21.375 (3)C18–C191.432 (4)
C1–C61.419 (3)O1–S11.431 (3)
C12–N11.376 (3)O2–S11.444 (2)
C6–C71.435 (4)O3–S11.439 (2)
C7–C121.414 (3)C25–F11.338 (3)
N3–N41.290 (3)C25–F21.328 (3)
C24–N31.382 (3)C25–F31.329 (4)
C13–N41.374 (3)C25–S11.825 (3)
C19–C241.411 (3)C31–N51.377 (4)
F2–C25–F1106.7 (2)O1–S1–O3115.51 (17)
F2–C25–F3108.0 (3)O1–S1–O2115.06 (17)
F3–C25–F1108.0 (3)O3–S1–O2114.29 (13)
F2–C25–S1111.4 (2)O1–S1–C25103.83 (15)
F3–C25–S1111.2 (2)O2–S1–C25103.29 (14)
F3–C25–F1107.1 (3)O3–S1–C25102.45 (14)
Symmetry code (iii) 1 − x, y, −z.
Table 5. Geometry of hydrogen bonds and short contacts for II.
Table 5. Geometry of hydrogen bonds and short contacts for II.
InteractionD a···A (Å)H···A b (Å)D-H···A (°)
C20−H···N53.479 (4)2.758 (3)133.33 (18)
C21−H···O33.201 (4)2.423 (2)139.08 (19)
N1−H···N3 i2.668 (3)1.820 (2)173.7 (2)
N1−H···N4 i3.341 (3)2.559 (2)153.39 (18)
C23 i−H i···N23.544 (4)2.714 (2)146.37 (19)
C11−H···N4 i3.481 (4)2.656 (2)145.6 (2)
C11−H···O1 ii3.245 (4)2.606 (3)124.9 (2)
C16−H···O2 iii3.474 (3)2.536 (2)169.3 (3)
C22−H···F2 iv3.537 (4)2.6341 (2)159.73 (19)
C23−H···F1 iv3.482 (3)2.757 (2)133.72 (19)
C29 v−H v ···N53.409 (4)2.478 (3)166.7 (2)
C2−H2···F1 vi3.295 (4)2.546 (2)136.0 (2)
a Hydrogen bond donor. b Hydrogen bond acceptor. Symmetry code (i) 3/2 − x, ½ + y, 1 − z; (ii) 1 − x, 1 + y, 1 − z; (iii) 1 − x, y, −z; (iv) 1 − x, y, 1 − z; (v) x, 1 + y, z; (vi) ½ + x, ½ + y, z.
Table 6. Selected bond lengths (A) and angles (°) for III.
Table 6. Selected bond lengths (A) and angles (°) for III.
N1–N21.2916 (14)O2–S 1.4354 (9)
C1–N21.3590 (15)O3–S 1.4510 (9)
C1–C61.4257 (15)C20–S1.8232 (18)
C6–C71.4283 (16)C20–F11.324 (2)
C7–C121.4083 (16)C20–F21.327 (2)
C12–N11.3727 (15)C20–F31.329 (2)
O1–S 1.4336 (10)
N1–N2–C1116.87 (10)O2–S–C20103.88 (7)
N2–N1–C12126.83 (10)O3–S–C20101.96 (7)
C1–C6–C7117.50 (11)F1–C20–F2107.08 (15)
C12–C7–C6117.23 (10)F1–C20–F3108.35 (16)
O1–S–O2115.80 (6)F2–C20–F3107.80 (15)
O1–S–O3115.33 (6)F1–C20–S111.38 (12)
O2–S–O3113.69 (6)F2–C20–S110.80 (14)
O1–S–C20 103.75 (8)F3–C20–S111.26 (12)
Table 7. Geometry of hydrogen bonds and short contacts for III.
Table 7. Geometry of hydrogen bonds and short contacts for III.
Interactiona··A (Å)H···A b (Å)D-H···A (°)
N1−H···O32.6802 (14)1.8007 (10)167.17 (8)
C11−H···O33.2581 (17)2.5621 (11)130.29 (9)
C13−H···F23.459 (6)2.7058 (14)136.7 (4)
C2−H···O2 i3.3048 (17)2.6864 (10)123.29 (8)
C3−H···O2 i3.3259 (18)2.7314 (10)121.34 (9)
C19−H···O2 i3.755 (3)2.8195 (9)159.8 (2)
C3−H···O3 i3.4962 (17)2.6038 (10)156.64 (8)
C17−H···F1 i3.7668 (7)3.0179 (17)136.8 (4)
C19−H···O2 i3.755 (3)2.8195 (9)159.8 (2)
C4−H···O1 ii3.3474 (18)2.6938 (12)126.52 (9)
C5−H···O1 ii3.3629 (17)2.7384 (11)123.97 (8)
C5−H···O2 ii3.4246 (18)2.4772 (10)175.01 (8)
C8−H···O2 ii3.4892 (16)2.5444 (9)172.94 (8)
C10−H···O1 iii3.2846 (18)2.4665 (12)144.23 (9)
C14−H···F1 iv3.399 (7)2.6169 (17)139.9 (4)
C16−H···F2 v3.443 (7)2.7662 (14)128.9 (4)
a Hydrogen bond donor. b Hydrogen bond acceptor. Symmetry code (i) x, y, −1 + z; (ii) 1 + x, y, −1 + z; (iii) 1 + x, y, z; (iv) 1 − x, 1 − y, 2 − z; (v) 1 − x, 1 − y, 1 − z.
Table 8. Selected bond lengths (A) and angles (°) for IV.
Table 8. Selected bond lengths (A) and angles (°) for IV.
N1–N21.2941 (18)C18–C19 1.434 (2)
N3–N4 1.2971 (18)C13–C18 1.410 (2)
N1–C1 1.3729 (19)S–O1 1.4381 (12)
N2–C12 1.365 (2)S–O2 1.4420 (13)
C1–C6 1.416 (2)S–O3 1.4440 (12)
C6–C7 1.428 (2)S–C25 1.8258 (18)
C7–C12 1.423 (2)F1–C25 1.331 (2)
N3–C13 1.3824 (19)F2–C25 1.333 (2)
N4–C24 1.3793 (19)F3–C25 1.331 (2)
C19–C24 1.415 (2)
N1–N2–C12 117.37 (13)N4–C24–C23 116.40 (13)
N2–N1–C1 126.36 (13)C13–C18–C19 116.89 (13)
C1–C6–C7 117.44 (14)C24–C19–C18116.93 (14)
C12–C7–C6 117.46 (14)O1–S–O2 114.64 (8)
N3–N4–C24 119.56 (13)O1–S–O3115.24 (8)
N3-C13–C18 121.67 (14)O2–S–O3 114.68 (8)
N3–C13–C14 117.14 (14)O1–S–C25102.22 (8)
N4–N3–C13 122.12(13)O2–S–C25 103.79(9)
N4–C24–C19 122.79(14)O3–S–C25 103.97(8)
Table 9. Geometry of hydrogen bonds and short contacts for IV.
Table 9. Geometry of hydrogen bonds and short contacts for IV.
InteractionD a···A (Å)H···A b (Å)D-H···A (°)
N1−H···N43.4188 (19)2.5190 (13)157.67 (10)
N1−H···N32.713 (2)1.7648 (14)173.33 (10)
C2−H···N43.427 (2)2.5668 (14)150.62 (12)
C3−H···O1 i3.317 (2)2.4173 (14)157.83 (11)
C3−H···F3 i3.648 (2)2.9239 (14)134.00 (12)
C4−H···O1 ii3.140 (2)2.5252 (14)122.51 (11)
C5−H···O1 ii3.175 (2)2.6109 (15)118.40 (11)
C5−H···O3 ii3.570 (2)2.6360 (14)167.75 (10)
C8−H···O3 ii3.676 (2)2.7338 (14)171.70 (10)
C9−H···O2 iii3.301 (2)2.7173 (14)120.36 (12)
C10−H···O2 iii3.274 (2)2.6799 (13)121.20 (11)
C11−H···F2 iv3.518 (3)2.6665 (17)149.51 (11)
C14−H···N23.574 (2)2.7226 (15)149.51 (12)
C16−H···O23.246 (2)2.659 (13)120.50 (11)
C17−H···O2 v3.571 (2)2.6764 (14)157.13 (10)
C20−H···O2 v3.343 (2)2.7258 (16)162.41 (10)
C21−H···O3 vi3.306 (2)2.6782 (13)124.14 (12)
C22−H···O3 vi3.303 (2)2.6812 (13)123.60 (12)
C22−H···F1 vi3.495 (2)2.5838 (14)160.72 (11)
C23−H···F3 i3.598 (2)2.6684 (15)166.07 (10)
a Hydrogen bond donor. b Hydrogen bond acceptor. Symmetry code (i) 1 − x, 1 − y, 1 − z; (ii) 1 + x, 1 + y, z; (iii) 2 − x, 1 − y, -z; (iv) 1 + x, y, z; (v) 1 − x, -y, 1 − z; (vi) x, y, 1 + z.
Disclaimer/Publisher’s Note: The statements, opinions and data contained in all publications are solely those of the individual author(s) and contributor(s) and not of MDPI and/or the editor(s). MDPI and/or the editor(s) disclaim responsibility for any injury to people or property resulting from any ideas, methods, instructions or products referred to in the content.

Share and Cite

MDPI and ACS Style

Cattey, H.; Plasseraud, L. Benzo[c]cinnolinium Trifluoromethanesulfonate Architectures Induced by Organotin(IV) Complexes. Crystals 2025, 15, 655. https://doi.org/10.3390/cryst15070655

AMA Style

Cattey H, Plasseraud L. Benzo[c]cinnolinium Trifluoromethanesulfonate Architectures Induced by Organotin(IV) Complexes. Crystals. 2025; 15(7):655. https://doi.org/10.3390/cryst15070655

Chicago/Turabian Style

Cattey, Hélène, and Laurent Plasseraud. 2025. "Benzo[c]cinnolinium Trifluoromethanesulfonate Architectures Induced by Organotin(IV) Complexes" Crystals 15, no. 7: 655. https://doi.org/10.3390/cryst15070655

APA Style

Cattey, H., & Plasseraud, L. (2025). Benzo[c]cinnolinium Trifluoromethanesulfonate Architectures Induced by Organotin(IV) Complexes. Crystals, 15(7), 655. https://doi.org/10.3390/cryst15070655

Note that from the first issue of 2016, this journal uses article numbers instead of page numbers. See further details here.

Article Metrics

Back to TopTop