Sign in to use this feature.

Years

Between: -

Subjects

remove_circle_outline
remove_circle_outline
remove_circle_outline
remove_circle_outline
remove_circle_outline
remove_circle_outline
remove_circle_outline
remove_circle_outline
remove_circle_outline

Journals

Article Types

Countries / Regions

Search Results (19)

Search Parameters:
Keywords = AQDS

Order results
Result details
Results per page
Select all
Export citation of selected articles as:
12 pages, 1029 KB  
Article
The Effect and Mechanism of AQDS Promoting Anaerobic Cr(VI) Bio-Reduction Under a Sulfate-Rich Environment
by Zhujun Wang, Liuzhu Zhao, Chunlin Huang, Duyang Yao, Yayi Wang and Min Wu
Water 2025, 17(22), 3287; https://doi.org/10.3390/w17223287 - 18 Nov 2025
Viewed by 540
Abstract
Hexavalent chromium (Cr(VI)) is a highly toxic and carcinogenic pollutant commonly found in industrial wastewater. To address the challenge of sulfate inhibition on biological methods for treating chromium-containing wastewater, this study investigated the enhancement effect and mechanism of anthraquinone-2,6-disulfonate (AQDS) on the anaerobic [...] Read more.
Hexavalent chromium (Cr(VI)) is a highly toxic and carcinogenic pollutant commonly found in industrial wastewater. To address the challenge of sulfate inhibition on biological methods for treating chromium-containing wastewater, this study investigated the enhancement effect and mechanism of anthraquinone-2,6-disulfonate (AQDS) on the anaerobic bio-reduction of Cr(VI). At an AQDS dosage of 30 mg/L, Cr(VI) reduction efficiency increased by 7.8-fold compared to the group with only sulfate. AQDS demonstrated remarkable performance of Cr(VI) bio-reduction by reducing intracellular Cr(VI) penetration, lowering reactive oxygen species (ROS) levels, and maintaining optimal NADH/NAD+ ratios. Importantly, AQDS restores Cr(VI) reduction efficiency by directing electron flow toward Cr(VI) reduction through enhanced extracellular electron transfer, thereby mitigating the competitive inhibitory effect of sulfate. It concluded that AQDS effectively enhances Cr(VI) bio-reduction, offering a promising strategy for the environmental remediation of Cr(VI)-contaminated wastewater under sulfate-rich conditions. Full article
(This article belongs to the Section Wastewater Treatment and Reuse)
Show Figures

Figure 1

26 pages, 4662 KB  
Article
Effect of Simulated Gastrointestinal Digestion on the Phenolic Composition and Bioactivity of Cymbopogon flexuosus Extracts
by Ana Alimpić Aradski, Danijel D. Milinčić, Mirjana B. Pešić, Milena Milutinović, Eisuke Kuraya, Akiko Touyama and Danka Bukvički
Foods 2025, 14(22), 3868; https://doi.org/10.3390/foods14223868 - 12 Nov 2025
Viewed by 621
Abstract
This study characterized leaf extracts of Cymbopogon flexuosus (Ryukyu Lemongrass Corporation, Okinawa, Japan) and evaluated the bioaccessibility and bioactivities of phenolic compounds following a simulated in vitro gastrointestinal model of digestion (in vitro GID) of plant material. Undigested (controls, AqC, EtC) and digested [...] Read more.
This study characterized leaf extracts of Cymbopogon flexuosus (Ryukyu Lemongrass Corporation, Okinawa, Japan) and evaluated the bioaccessibility and bioactivities of phenolic compounds following a simulated in vitro gastrointestinal model of digestion (in vitro GID) of plant material. Undigested (controls, AqC, EtC) and digested aqueous (AqD) and ethanolic (EtD) extracts were analyzed. Control extracts contained higher total phenolics and flavonoids than digested ones, with EtC showing the highest values. UHPLC-QToF-MS (ultra-high-performance liquid chromatography system coupled to a quadrupole time-of-flight mass spectrometer) identified 32 compounds, including phenolic acids, flavone aglycones, C-glycosides, and derivatives. Hydroxybenzoic acids, coumaric acid, caffeic esters, flavones, tricin derivatives, vitexin, and isoorientin exhibited reduced recovery, while coumaric acid hexoside, ferulic acid hexoside, and isoschaftoside/schaftoside exceeded 100% recovery, suggesting release from the matrix. Some compounds were absent from AqD, and many were found in the pellet, indicating potential colonic metabolism. Antioxidant activity (DPPH, reducing power, β-carotene/linoleic acid) was stronger in controls but always weaker than BHT/ascorbic acid. Extracts mildly inhibited α-amylase but more strongly inhibited α-glucosidase as shown with applied enzyme inhibition assays, especially EtD (76.93% at a concentration of 10 mg/mL), which showed stronger activity than controls but remained below acarbose (87.74% at 1 mg/mL). All extracts promoted HaCaT keratinocyte growth and reduced HCT-116 colon cancer cell viability at 250 µg/mL, with the strongest effects in AqC and AqD. Overall, GID decreased antioxidant activity but enhanced antidiabetic potential, confirming the safety and selective anticancer effects of C. flexuosus extracts. Full article
Show Figures

Figure 1

30 pages, 5618 KB  
Review
High-Resolution Tracking of Aging-Related Small Molecules: Bridging Pollutant Exposure, Brain Aging Mechanisms, and Detection Innovations
by Keying Yu, Sirui Yang, Hongxu Song, Zhou Sun, Kaichao Wang, Yuqi Zhu, Chengkai Yang, Rongzhang Hao and Yuanyuan Cao
Biosensors 2025, 15(4), 242; https://doi.org/10.3390/bios15040242 - 11 Apr 2025
Viewed by 1700
Abstract
Brain aging is a complex process regulated by genetic, environmental, and metabolic factors, and increasing evidence suggests that environmental pollutants can significantly accelerate this process by interfering with oxidative stress, neuroinflammation, and mitochondrial function-related signaling pathways. Traditional studies have focused on the direct [...] Read more.
Brain aging is a complex process regulated by genetic, environmental, and metabolic factors, and increasing evidence suggests that environmental pollutants can significantly accelerate this process by interfering with oxidative stress, neuroinflammation, and mitochondrial function-related signaling pathways. Traditional studies have focused on the direct damage of pollutants on macromolecules (e.g., proteins, DNA), while the central role of senescence-associated small molecules (e.g., ROS, PGE2, lactate) in early regulatory mechanisms has been long neglected. In this study, we innovatively proposed a cascade framework of “small molecule metabolic imbalance-signaling pathway dysregulation-macromolecule collapse”, which reveals that pollutants exacerbate the dynamics of brain aging through activation of NLRP3 inflammatory vesicles and inhibition of HIF-1α. Meanwhile, to address the technical bottleneck of small molecule spatiotemporal dynamics monitoring, this paper systematically reviews the cutting-edge detection tools such as electrochemical sensors, genetically encoded fluorescent probes and antioxidant quantum dots (AQDs). Among them, AQDs show unique advantages in real-time monitoring of ROS fluctuations and intervention of oxidative damage by virtue of their ultra-high specific surface area, controllable surface modification, and free radical scavenging ability. By integrating multimodal detection techniques and mechanism studies, this work provides a new perspective for analyzing pollutant-induced brain aging and lays a methodological foundation for early intervention strategies based on small molecule metabolic networks. Full article
(This article belongs to the Special Issue Novel Designs and Applications for Electrochemical Biosensors)
Show Figures

Figure 1

15 pages, 2737 KB  
Article
Stability and Performance of Commercial Membranes in High-Temperature Organic Flow Batteries
by Chiari J. Van Cauter, Yun Li, Sander Van Herck and Ivo F. J. Vankelecom
Membranes 2024, 14(8), 177; https://doi.org/10.3390/membranes14080177 - 15 Aug 2024
Cited by 2 | Viewed by 2891
Abstract
Redox flow batteries (RFB) often operate at extreme pH conditions and may require cooling to prevent high temperatures. The stability of the battery membranes at these extreme pH-values at high temperatures is still largely unknown. In this paper, a systematic screening of the [...] Read more.
Redox flow batteries (RFB) often operate at extreme pH conditions and may require cooling to prevent high temperatures. The stability of the battery membranes at these extreme pH-values at high temperatures is still largely unknown. In this paper, a systematic screening of the performance and stability of nine commercial membranes at pH 14 and pH ≤ 0 with temperatures up to 80 °C is conducted in an organic aqueous RFB. Swelling, area resistance, diffusion crossover, battery performance and membrane stability after 40–80 °C temperature treatment are shown, after which a recommendation is made for different user scenarios. The Aquivion E98-05 membrane performed best for both the Tiron/2,7-AQDS battery and the DHPS/Fe(CN)6 battery at 40 mA/cm2, with stable results after 1 week of storage at 80 °C. At 80 mA/cm2, E-620-PE performed best in the DHPS/Fe(CN)6 battery, while Sx-050DK performed best in the Tiron/2,7-AQDS battery. Full article
(This article belongs to the Section Membrane Applications for Energy)
Show Figures

Figure 1

14 pages, 7549 KB  
Article
Gate-Tunable Asymmetric Quantum Dots in Graphene-Based Heterostructures: Pure Valley Polarization and Confinement
by Adel Belayadi and Panagiotis Vasilopoulos
C 2024, 10(2), 44; https://doi.org/10.3390/c10020044 - 8 May 2024
Cited by 2 | Viewed by 2686
Abstract
We explore the possibility of attaining valley-dependent tunnelling and confinement using proximity-induced spin-orbit couplings (SOCs) in graphene-based heterostructures. We consider gate-tunable asymmetric quantum dots (AQDs) on graphene heterostructures and exhibiting a C3v and/or C6v symmetry. By employing a tight-binding [...] Read more.
We explore the possibility of attaining valley-dependent tunnelling and confinement using proximity-induced spin-orbit couplings (SOCs) in graphene-based heterostructures. We consider gate-tunable asymmetric quantum dots (AQDs) on graphene heterostructures and exhibiting a C3v and/or C6v symmetry. By employing a tight-binding model, we explicitly reveal a pure valley confinement and valley signal in AQDs by streaming the valley local density, leading to valley-charge separation in real space. The confinement of the valley quasi-bound states is sensitive to the locally induced SOCs and to the spatial distribution of the induced AQDs; it is also robust against on-site disorder. The adopted process of attaining a pure valley-Hall conductivity and confinement with zero charge currents is expected to provide more options towards valley-dependent electron optics. Full article
(This article belongs to the Section Carbon Skeleton)
Show Figures

Graphical abstract

15 pages, 4434 KB  
Article
Goethite Enhances Cr(VI) Reduction by S. oneidensis MR-1 under Different Conditions: Mechanistic Insights
by Yu Hou, Yanhong Li, Yaru Wang, Zongqiang Zhu, Shen Tang, Jie Zhang, Qiaodong Pan and Ting Hu
Microorganisms 2024, 12(4), 754; https://doi.org/10.3390/microorganisms12040754 - 9 Apr 2024
Cited by 11 | Viewed by 1918
Abstract
Chromium (Cr) contamination, widely present in the environment, poses a significant threat to both ecology and human health. Microbial remediation technology has become a hot topic in the field of heavy metal remediation due to its advantages, such as environmental protection, low cost, [...] Read more.
Chromium (Cr) contamination, widely present in the environment, poses a significant threat to both ecology and human health. Microbial remediation technology has become a hot topic in the field of heavy metal remediation due to its advantages, such as environmental protection, low cost, and high efficiency. This paper focused on using various characterization and analysis methods to investigate the bioreduction effect and mechanism of microorganisms on Cr(VI) under various influencing factors. The main contents and conclusions were as follows: Shewanella oneidensis MR-1 was selected as the target strain for studying its reduction of Cr(VI) at different inoculation amounts, temperatures, pH values, time intervals, etc. The results indicated that S. oneidensis MR-1 exhibited an optimal reduction effect on Cr(VI) at pH 7 and a temperature of 35 °C. Additionally, electron shuttles (ESs), including humic acid (HA) and 9,10-antraquinone-2,6-disulfonate (AQDS), were introduced into the degradation system to improve the reduction efficiency of S. oneidensis MR-1. Upon adding goethite further, S. oneidensis MR-1 significantly enhanced its reducing ability by converting Fe(III) minerals to Fe(II) and reducing Cr(VI) to Cr(III) during electron transfer. Full article
(This article belongs to the Section Microbial Biotechnology)
Show Figures

Figure 1

16 pages, 1587 KB  
Article
Quantized Graph Neural Networks for Image Classification
by Xinbiao Xu, Liyan Ma, Tieyong Zeng and Qinghua Huang
Mathematics 2023, 11(24), 4927; https://doi.org/10.3390/math11244927 - 11 Dec 2023
Cited by 2 | Viewed by 3576
Abstract
Researchers have resorted to model quantization to compress and accelerate graph neural networks (GNNs). Nevertheless, several challenges remain: (1) quantization functions overlook outliers in the distribution, leading to increased quantization errors; (2) the reliance on full-precision teacher models results in higher computational and [...] Read more.
Researchers have resorted to model quantization to compress and accelerate graph neural networks (GNNs). Nevertheless, several challenges remain: (1) quantization functions overlook outliers in the distribution, leading to increased quantization errors; (2) the reliance on full-precision teacher models results in higher computational and memory overhead. To address these issues, this study introduces a novel framework called quantized graph neural networks for image classification (QGNN-IC), which incorporates a novel quantization function, Pauta quantization (PQ), and two innovative self-distillation methods, attention quantization distillation (AQD) and stochastic quantization distillation (SQD). Specifically, PQ utilizes the statistical characteristics of distribution to effectively eliminate outliers, thereby promoting fine-grained quantization and reducing quantization errors. AQD enhances the semantic information extraction capability by learning from beneficial channels via attention. SQD enhances the quantization robustness through stochastic quantization. AQD and SQD significantly improve the performance of the quantized model with minimal overhead. Extensive experiments show that QGNN-IC not only surpasses existing state-of-the-art quantization methods but also demonstrates robust generalizability. Full article
(This article belongs to the Special Issue Representation Learning for Computer Vision and Pattern Recognition)
Show Figures

Figure 1

12 pages, 2144 KB  
Article
Improving the Kinetics of H2-Fueled Biological Methanation with Quinone-Based Redox Mediators
by Matteo Tucci, Simone Colantoni, Carolina Cruz Viggi and Federico Aulenta
Catalysts 2023, 13(5), 859; https://doi.org/10.3390/catal13050859 - 9 May 2023
Cited by 6 | Viewed by 2567
Abstract
The biomethanation process involves the conversion of CO2 into a valuable energy carrier (i.e., methane) by methanogenic archaea. Since it can be operated at mild conditions, it is more sustainable than traditional chemical approaches. Nevertheless, the efficacy of biomethanation is limited by [...] Read more.
The biomethanation process involves the conversion of CO2 into a valuable energy carrier (i.e., methane) by methanogenic archaea. Since it can be operated at mild conditions, it is more sustainable than traditional chemical approaches. Nevertheless, the efficacy of biomethanation is limited by the low kinetics of the microbiological reaction and the poor solubility of H2 in water. Herein, the effect of soluble (i.e., AQDS) and insoluble (i.e., biochar) quinone-based redox mediators on the kinetics of H2-fueled biological methanation in bench-scale microcosms was investigated. Microcosms were set up in 120 mL serum bottles and were initially inoculated with a methanogenic sludge deriving from a lab-scale anaerobic digester treating food waste. As a result, the kinetics of H2 consumption and CH4 generation were greatly increased (p < 0.05) in presence of AQDS as compared to the control, accounting for up to +160% and +125% in the last experimental cycle, respectively. These findings could be explained by a two-step mechanism, whereby microbes used H2 to quickly reduce AQDS into the highly soluble AH2QDS, which in turn served as a more efficient electron donor for methanogenesis. In contrast, the used biochar had apparently an adverse effect on the biomethanation process. Full article
Show Figures

Figure 1

16 pages, 1155 KB  
Article
Route Planning for Autonomous Mobile Robots Using a Reinforcement Learning Algorithm
by Fatma M. Talaat, Abdelhameed Ibrahim, El-Sayed M. El-Kenawy, Abdelaziz A. Abdelhamid, Amel Ali Alhussan, Doaa Sami Khafaga and Dina Ahmed Salem
Actuators 2023, 12(1), 12; https://doi.org/10.3390/act12010012 - 26 Dec 2022
Cited by 8 | Viewed by 3872
Abstract
This research suggests a new robotic system technique that works specifically in settings such as hospitals or emergency situations when prompt action and preserving human life are crucial. Our framework largely focuses on the precise and prompt delivery of medical supplies or medication [...] Read more.
This research suggests a new robotic system technique that works specifically in settings such as hospitals or emergency situations when prompt action and preserving human life are crucial. Our framework largely focuses on the precise and prompt delivery of medical supplies or medication inside a defined area while avoiding robot collisions or other obstacles. The suggested route planning algorithm (RPA) based on reinforcement learning makes medical services effective by gathering and sending data between robots and human healthcare professionals. In contrast, humans are kept out of the patients’ field. Three key modules make up the RPA: (i) the Robot Finding Module (RFM), (ii) Robot Charging Module (RCM), and (iii) Route Selection Module (RSM). Using such autonomous systems as RPA in places where there is a need for human gathering is essential, particularly in the medical field, which could reduce the risk of spreading viruses, which could save thousands of lives. The simulation results using the proposed framework show the flexible and efficient movement of the robots compared to conventional methods under various environments. The RSM is contrasted with the leading cutting-edge topology routing options. The RSM’s primary benefit is the much-reduced calculations and updating of routing tables. In contrast to earlier algorithms, the RSM produces a lower AQD. The RSM is hence an appropriate algorithm for real-time systems. Full article
(This article belongs to the Special Issue Intelligent Control and Robotic System in Path Planning)
Show Figures

Figure 1

9 pages, 5327 KB  
Communication
Successful Charge–Discharge Experiments of Anthraquinone-Bromate Flow Battery: First Report
by Lilia Abunaeva, Natalia Kartashova, Kirill Karpenko, Dmitry Chikin, Darya Verakso, Pavel Loktionov, Roman Pichugov, Anatoly Vereshchagin, Mikhail Petrov and Anatoly Antipov
Energies 2022, 15(21), 7967; https://doi.org/10.3390/en15217967 - 27 Oct 2022
Cited by 4 | Viewed by 3075
Abstract
The proposed anthraquinone-bromate cell combines the advantages of anthraquinone-bromine redox flow batteries and novel hybrid hydrogen-bromate flow batteries. The anthraquinone-2,7-disulfonic acid is of interest as a promising organic negolyte due its high solubility, rapid kinetics of electrode reactions and suitable redox potentials combined [...] Read more.
The proposed anthraquinone-bromate cell combines the advantages of anthraquinone-bromine redox flow batteries and novel hybrid hydrogen-bromate flow batteries. The anthraquinone-2,7-disulfonic acid is of interest as a promising organic negolyte due its high solubility, rapid kinetics of electrode reactions and suitable redox potentials combined with a high chemical stability during redox reactions. Lithium or sodium bromates as posolytes provide an anomalously high discharge current density of order ~A cm−2 due to a novel autocatalytic mechanism. Combining these two systems, we developed a single cell of novel anthraquinone-bromate flow battery, which showed a power density of 1.08 W cm−2, energy density of 16.1 W h L−1 and energy efficiency of 72% after 10 charge–discharge cycles. Full article
(This article belongs to the Special Issue Flow Systems for Electrical Energy Conversion)
Show Figures

Figure 1

19 pages, 3749 KB  
Article
Understanding Aqueous Organic Redox Flow Batteries: A Guided Experimental Tour from Components Characterization to Final Assembly
by Juan Asenjo-Pascual, Ivan Salmeron-Sanchez, Juan Ramón Avilés-Moreno, Pablo Mauleón, Petr Mazur and Pilar Ocón
Batteries 2022, 8(10), 193; https://doi.org/10.3390/batteries8100193 - 19 Oct 2022
Cited by 17 | Viewed by 11122
Abstract
The implementation of renewable energies into the electrical grid is one of our best options to mitigate the climate change. Redox flow batteries (RFB) are one of the most promising candidates for energy storage due to their scalability, durability and low cost. Despite [...] Read more.
The implementation of renewable energies into the electrical grid is one of our best options to mitigate the climate change. Redox flow batteries (RFB) are one of the most promising candidates for energy storage due to their scalability, durability and low cost. Despite this, just few studies have explained the basic concepts of RFBs and even fewer have reviewed the experimental conditions that are crucial for their development. This work aspired to be a helpful guide for beginner researchers who want to work in this exciting field. This guided tour aimed to clearly explain all the components and parameters of RFBs. Using a well-studied chemistry of anthraquinone (AQDS)-based anolyte and Na4[Fe(CN)6] catholyte, different techniques for the characterization of RFBs were described. The effects of some experimental parameters on battery performance such as electrolyte pH, O2 presence, membrane pretreatment and the capacity limiting side, were demonstrated. Furthermore, this analysis served to introduce different electrochemical techniques, i.e., load curve measurements, electrochemical impedance spectroscopy and charge–discharge cycling tests. This work aimed to be the nexus between the basic concepts and the first experimental steps in the RFB field merging theory and experimental data. Full article
Show Figures

Figure 1

18 pages, 5642 KB  
Article
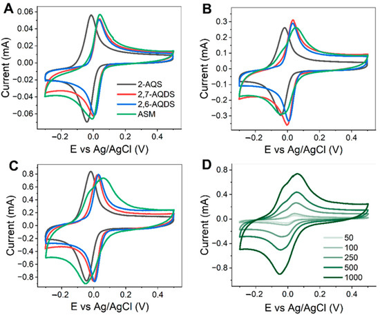
Mixture of Anthraquinone Sulfo-Derivatives as an Inexpensive Organic Flow Battery Negolyte: Optimization of Battery Cell
by Mikhail Petrov, Dmitry Chikin, Lilia Abunaeva, Artem Glazkov, Roman Pichugov, Alexey Vinyukov, Irina Levina, Mikhail Motyakin, Yaroslav Mezhuev, Dmitry Konev and Anatoly Antipov
Membranes 2022, 12(10), 912; https://doi.org/10.3390/membranes12100912 - 21 Sep 2022
Cited by 5 | Viewed by 4117
Abstract
Anthraquinone-2,7-disulfonic acid (2,7-AQDS) is a promising organic compound, which is considered as a negolyte for redox flow batteries as well as for other applications. In this work we carried out a well-known reaction of anthraquinone sulfonation to synthesize 2,7-AQDS in mixture with other [...] Read more.
Anthraquinone-2,7-disulfonic acid (2,7-AQDS) is a promising organic compound, which is considered as a negolyte for redox flow batteries as well as for other applications. In this work we carried out a well-known reaction of anthraquinone sulfonation to synthesize 2,7-AQDS in mixture with other sulfo-derivatives, namely 2,6-AQDS and 2-AQS. Redox behavior of this mixture was evaluated with cyclic voltammetry and was almost identical to 2,7-AQDS. Mixture was then assessed as a potential negolyte of anthraquinone-bromine redox flow battery. After adjusting membrane-electrode assembly composition (membrane material and flow field)), the cell demonstrated peak power density of 335 mW cm−2 (at SOC 90%) and capacity utilization, capacity retention and energy efficiency of 87.9, 99.6 and 64.2%, respectively. These values are almost identical or even higher than similar values for flow battery with 2,7-AQDS as a negolyte, while the price of mixture is significantly lower. Therefore, this work unveils the promising possibility of using a mixture of crude sulfonated anthraquinone derivatives mixture as an inexpensive negolyte of RFB. Full article
(This article belongs to the Section Membrane Applications)
Show Figures

Figure 1

9 pages, 1473 KB  
Article
Comparison of Postoperative Stability of Intraocular Lenses after Phacovitrectomy for Rhegmatogenous Retinal Detachment
by Ayaka Akiyama, Harumasa Yokota, Hiroshi Aso, Hirotsugu Hanazaki, Masanori Iwasaki, Satoru Yamagami and Taiji Nagaoka
J. Clin. Med. 2022, 11(12), 3438; https://doi.org/10.3390/jcm11123438 - 15 Jun 2022
Cited by 3 | Viewed by 2177
Abstract
We retrospectively compared the stability of intraocular lenses (IOLs) routinely used at our institution by measuring IOL position after phacovitrectomy for rhegmatogenous retinal detachment (RRD). Patients with RRD who underwent phacovitrectomy with gas tamponade received one of three IOLs: 6-mm, single-piece NS-60YG (NIDEK, [...] Read more.
We retrospectively compared the stability of intraocular lenses (IOLs) routinely used at our institution by measuring IOL position after phacovitrectomy for rhegmatogenous retinal detachment (RRD). Patients with RRD who underwent phacovitrectomy with gas tamponade received one of three IOLs: 6-mm, single-piece NS-60YG (NIDEK, 15 eyes); 6-mm, single-piece XY1 (HOYA, 11 eyes); or 7-mm, three-piece X-70 (Santen, 11 eyes). Various parameters associated with the anterior chamber, lens, and IOL were measured by swept-source anterior segment optical coherence tomography (CASIA2; Tomey Corp) before and 1 week and 1 month after surgery. IOL position was determined as follows: IOL position = (postoperative aqueous depth [AQD] − preoperative AQD)/lens thickness. We found no significant difference in axial length between the IOLs (p = 0.97). At 1 week, IOL position was as follows: NS-60YG, 0.32; XY1, 0.24; and X-70, 0.26 (p < 0.05). The respective IOL positions at 1 month were 0.35, 0.27, and 0.28 (p < 0.01). These results indicated the smallest anterior shift with NS-60YG. To replicate the anterior shift of IOL position ex vivo, biomechanical measurement was performed. NS-60YG resisted more displacement force than the other IOLs. Thus, in eyes undergoing phacovitrectomy for RRD, NS-60YG was the most stable of the three IOLs studied. Full article
(This article belongs to the Special Issue Surgical Management of Vitreoretinal Diseases)
Show Figures

Figure 1

44 pages, 12998 KB  
Article
Effects of Fe(III) Oxide Mineralogy and Phosphate on Fe(II) Secondary Mineral Formation during Microbial Iron Reduction
by Edward J. O’Loughlin, Maxim I. Boyanov, Christopher A. Gorski, Michelle M. Scherer and Kenneth M. Kemner
Minerals 2021, 11(2), 149; https://doi.org/10.3390/min11020149 - 31 Jan 2021
Cited by 45 | Viewed by 7922
Abstract
The bioreduction of Fe(III) oxides by dissimilatory iron-reducing bacteria may result in the formation of a suite of Fe(II)-bearing secondary minerals, including magnetite (a mixed Fe(II)/Fe(III) oxide), siderite (Fe(II) carbonate), vivianite (Fe(II) phosphate), chukanovite (ferrous hydroxy carbonate), and green rusts (mixed Fe(II)/Fe(III) hydroxides). [...] Read more.
The bioreduction of Fe(III) oxides by dissimilatory iron-reducing bacteria may result in the formation of a suite of Fe(II)-bearing secondary minerals, including magnetite (a mixed Fe(II)/Fe(III) oxide), siderite (Fe(II) carbonate), vivianite (Fe(II) phosphate), chukanovite (ferrous hydroxy carbonate), and green rusts (mixed Fe(II)/Fe(III) hydroxides). In an effort to better understand the factors controlling the formation of specific Fe(II)-bearing secondary minerals, we examined the effects of Fe(III) oxide mineralogy, phosphate concentration, and the availability of an electron shuttle (9,10-anthraquinone-2,6-disulfonate, AQDS) on the bioreduction of a series of Fe(III) oxides (akaganeite, feroxyhyte, ferric green rust, ferrihydrite, goethite, hematite, and lepidocrocite) by Shewanella putrefaciens CN32, and the resulting formation of secondary minerals, as determined by X-ray diffraction, Mössbauer spectroscopy, and scanning electron microscopy. The overall extent of Fe(II) production was highly dependent on the type of Fe(III) oxide provided. With the exception of hematite, AQDS enhanced the rate of Fe(II) production; however, the presence of AQDS did not always lead to an increase in the overall extent of Fe(II) production and did not affect the types of Fe(II)-bearing secondary minerals that formed. The effects of the presence of phosphate on the rate and extent of Fe(II) production were variable among the Fe(III) oxides, but in general, the highest loadings of phosphate resulted in decreased rates of Fe(II) production, but ultimately higher levels of Fe(II) than in the absence of phosphate. In addition, phosphate concentration had a pronounced effect on the types of secondary minerals that formed; magnetite and chukanovite formed at phosphate concentrations of ≤1 mM (ferrihydrite), <~100 µM (lepidocrocite), 500 µM (feroxyhyte and ferric green rust), while green rust, or green rust and vivianite, formed at phosphate concentrations of 10 mM (ferrihydrite), ≥100 µM (lepidocrocite), and 5 mM (feroxyhyte and ferric green rust). These results further demonstrate that the bioreduction of Fe(III) oxides, and accompanying Fe(II)-bearing secondary mineral formation, is controlled by a complex interplay of mineralogical, geochemical, and microbiological factors. Full article
(This article belongs to the Special Issue Redox Reactivity of Iron Minerals in the Geosphere)
Show Figures

Figure 1

17 pages, 3729 KB  
Article
Nephrotoxicity Evaluation of Indium Phosphide Quantum Dots with Different Surface Modifications in BALB/c Mice
by Li Li, Tingting Chen, Zhiwen Yang, Yajing Chen, Dongmeng Liu, Huiyu Xiao, Maixian Liu, Kan Liu, Jiangyao Xu, Shikang Liu, Xiaomei Wang, Guimiao Lin and Gaixia Xu
Int. J. Mol. Sci. 2020, 21(19), 7137; https://doi.org/10.3390/ijms21197137 - 27 Sep 2020
Cited by 19 | Viewed by 3403
Abstract
InP QDs have shown a great potential as cadmium-free QDs alternatives in biomedical applications. It is essential to understand the biological fate and toxicity of InP QDs. In this study, we investigated the in vivo renal toxicity of InP/ZnS QDs terminated with different [...] Read more.
InP QDs have shown a great potential as cadmium-free QDs alternatives in biomedical applications. It is essential to understand the biological fate and toxicity of InP QDs. In this study, we investigated the in vivo renal toxicity of InP/ZnS QDs terminated with different functional groups—hydroxyl (hQDs), amino (aQDs) and carboxyl (cQDs). After a single intravenous injection into BALB/c mice, blood biochemistry, QDs distribution, histopathology, inflammatory response, oxidative stress and apoptosis genes were evaluated at different predetermined times. The results showed fluorescent signals from QDs could be detected in kidneys during the observation period. No obvious changes were observed in histopathological detection or biochemistry parameters. Inflammatory response and oxidative stress were found in the renal tissues of mice exposed to the three kinds of QDs. A significant increase of KIM-1 expression was observed in hQDs and aQDs groups, suggesting hQDs and aQDs could cause renal involvement. Apoptosis-related genes (Bax, Caspase 3, 7 and 9) were up-regulated in hQDs and aQDs groups. The above results suggested InP/ZnS QDs with different surface chemical properties would cause different biological behaviors and molecular actions in vivo. The surface chemical properties of QDs should be fully considered in the design of InP/ZnS QDs for biomedical applications. Full article
(This article belongs to the Section Molecular Toxicology)
Show Figures

Graphical abstract

Back to TopTop