Medicinal Values and Potential Risks Evaluation of Ginkgo biloba Leaf Extract (GBE) Drinks Made from the Leaves in Autumn as Dietary Supplements
Abstract
1. Introduction
2. Results
2.1. Total Flavonoids Content and DPPH and ABTS Free Radical Scavenging Activity of GBE Drinks
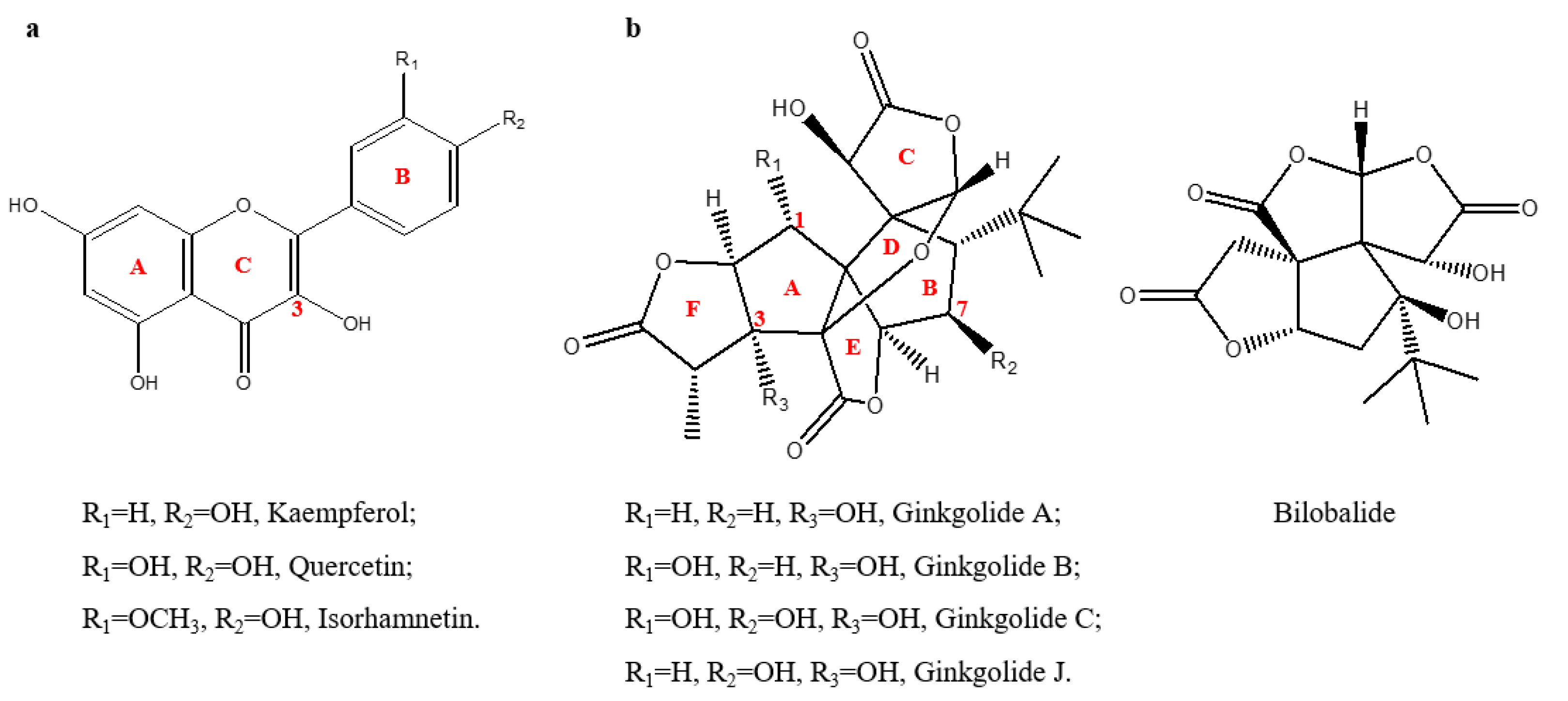
2.2. Total Flavonols (TFs) in GBE Drinks
2.3. Terpene Trilactones (TTLs) in GBE Drinks
2.4. Ginkgolic Acids in GBE Drinks
3. Discussion
4. Materials and Methods
4.1. Plant Materials and Reagents
4.2. Preparation of the Ginkgo Tea and Ginkgo Wine
4.3. Total Flavonoids Determination
4.4. Free Radical Scavenging Capacity Assays
4.5. Flavonol Glycosides Profiles, Flavonol Aglycones and Biflavones Analysis
4.6. Quantification of Terpene Trilactones
4.7. Identification and Quantification of Ginkgolic Acids
4.8. Statistical Analysis
5. Conclusions
Supplementary Materials
Author Contributions
Funding
Institutional Review Board Statement
Informed Consent Statement
Data Availability Statement
Acknowledgments
Conflicts of Interest
Abbreviations
| GBE | Ginkgo biloba leaf extract |
| DS | dietary supplements |
| GL | naturally green ginkgo leaf |
| YL | naturally newly senescent yellow ginkgo leaf |
| TFs | total flavonols |
| TTLs | terpene trilactones |
| ADI | acceptable daily intake |
| HPLC-MS/MS | high-performance liquid chromatography mass spectrometry |
| UHPLC–QTOF-MS | ultrahigh-performance liquid chromatography ion-trap time-of-flight mass spectrometry |
| HMPs | herbal medicinal products |
| DPPH | 1,1-diphenyl-2-picrylhydrazyl |
| ABTS | 2,2′-azinobis (3-ethylbenzothiazoline-6-sulfonic acid) |
| RMM | relative molecular mass |
References
- Barbalho, S.M.; Direito, R.; Laurindo, L.F.; Marton, L.T.; Guiguer, E.L.; Goulart, R.A.; Tofano, R.J.; Carvalho, A.C.A.; Flato, U.A.P.; Tofano, V.A.C.; et al. Ginkgo biloba in the aging process: A narrative review. Antioxidants 2022, 11, 525. [Google Scholar] [CrossRef]
- Liu, X.G.; Lu, X.; Gao, W.; Li, P.; Yang, H. Structure, synthesis, biosynthesis, and activity of the characteristic compounds from Ginkgo biloba L. Nat. Prod. Rep. 2021, 39, 474–511. [Google Scholar] [CrossRef]
- Egbuna, C.; Awuchi, C.G.; Kushwaha, G.; Rudrapal, M.; Patrick-Iwuanyanwu, K.C.; Singh, O.; Odoh, U.E.; Khan, J.; Jeevanandam, J.; Kumarasamy, S.; et al. Bioactive compounds effective against type 2 diabetes mellitus: A systematic review. Curr. Top. Med. Chem. 2021, 21, 1067–1095. [Google Scholar] [CrossRef] [PubMed]
- Ng, J.Y.; Kim, M.; Suri, A. Exploration of facilitators and barriers to the regulatory frameworks of dietary and herbal supplements: A scoping review. J. Pharm. Policy Pract. 2022, 15, 55. [Google Scholar] [CrossRef] [PubMed]
- Zuo, X.X. Yinxingye paoshui he shangxinzang Drinking the water infused from natural ginkgo leaves hurt the human heart. Jiating Jiankang Xinjiankang 2020, 2, 18. (In Chinese) [Google Scholar]
- Zhou, F.Y. Yinxingye buneng zhijie paoshui he The water infusion of natural Ginkgo biloba leaves cannot be drunk directly. Laonianren 2019, 11, 63. (In Chinese) [Google Scholar]
- Klomsakul, P.; Aiumsubtub, A.; Chalopagorn, P. Evaluation of antioxidant activities and tyrosinase inhibitory effects of Ginkgo biloba tea extract. Sci. World J. 2022, 2022, 4806889. [Google Scholar] [CrossRef]
- Fang, X.Y.; Dong, Y.R.; Xie, Y.Y.; Wang, L.; Wang, J.Q.; Liu, Y.C.; Zhao, L.G.; Cao, F.L. Effects of beta-glucosidase and alpha-rhamnosidase on the contents of flavonoids, ginkgolides, and aroma components in Ginkgo tea drink. Molecules 2019, 24, 2009. [Google Scholar] [CrossRef]
- Hu, J.; Zhang, S.L.; Lei, J.H.; Du, X.D.; Wu, W.J. Effect of preparation conditions of Ginkgo leaf tea on the content of health care substances and flavor substances. Shi Pin Gong Ye 2020, 41, 222–225. (In Chinese) [Google Scholar]
- Deng, X.M.; Shang, H.; Chen, J.J.; Wu, J.; Wang, T.; Wang, Y.Q.; Zhu, C.S.; Sun, W.J. Metabolomics combined with proteomics provide a novel interpretation of the changes in flavonoid glycosides during white tea processing. Foods 2022, 11, 1226. [Google Scholar] [CrossRef]
- Zheng, P.C.; Qin, C.Y.; Liu, P.P.; Feng, L.; Ling, T.J.; Ning, J.M.; Zhang, L.; Wan, X.C. Untargeted metabolomics combined with bioassay reveals the change in critical bioactive compounds during the processing of Qingzhuan Tea. Molecules 2021, 26, 6718. [Google Scholar] [CrossRef] [PubMed]
- Wang, Z.H.; Ji, Y.B.; Zhang, D.J. Effect of different kinds of solvent in the contents of various components from Ginkgo leaves. Shandong Chem. Ind. 2016, 45, 22–24, 27. [Google Scholar]
- Xiao, Z.B.; Yu, D.; Niu, Y.W.; Chen, F.; Song, S.Q.; Zhu, J.C.; Zhu, G.Y. Characterization of aroma compounds of Chinese famous liquors by gas chromatography-mass spectrometry and flash GC electronic-nose. J. Chromatogr. B Analyt. Technol. Biomed. Life Sci. 2014, 945–946, 92–100. [Google Scholar] [CrossRef] [PubMed]
- Guo, H.M.; He, S.S.; Lu, Y.; Xiao, D.G.; Du, L.P. Component analysis and quality identification of ginkgo wine. China Brew. 2018, 37, 57–60. [Google Scholar]
- Wang, X.; Xie, K.L.; Zhuang, H.N.; Ye, R.; Fang, Z.X.; Feng, T. Volatile flavor compounds, total polyphenolic contents and antioxidant activities of a China gingko wine. Food Chem 2015, 182, 41–46. [Google Scholar] [CrossRef]
- Wu, Y.X.; Cai, Y.Y.; Ma, L.T.; Li, F.T.; Zhang, M.Y.; Wang, Y.Z.; Zheng, F.; Pi, Z.F.; Yue, H. Identification and chemical profiling of anti-alcoholic liver disease biomarkers of ginseng Huang jiu using UPLC-Q-Orbitrap-HRMS and network pharmacology-based analyses. Front. Nutr. 2022, 9, 978122. [Google Scholar] [CrossRef]
- Lee, J.H.; Choi, K.H.; Sohn, E.H.; Jang, K.H. Quality characteristics and ginsenosides composition of ginseng-yakju according to the particle size of ginseng powder. Prev. Nutr. Food Sci. 2013, 18, 234–241. [Google Scholar] [CrossRef][Green Version]
- Le, T.T.; McGrath, S.R.; Fasinu, P.S. Herb-drug interactions in neuropsychiatric pharmacotherapy—A review of clinically relevant findings. Curr. Neuropharmacol. 2022, 20, 1736–1751. [Google Scholar] [CrossRef]
- National Pharmacopoeia Commission. Ginkgo Folium, Pharmacopoeia of the People’s Republic of China (the 2020 Version); China Medical Science Press: Beijing, China, 2020; Volume 329–330, pp. 434–436. [Google Scholar]
- Xu, Y.; Wang, G.B.; Cao, F.L.; Zhu, C.C.; Wang, G.Y.; El-Kassaby, Y.A. Light intensity affects the growth and flavonol biosynthesis of Ginkgo (Ginkgo biloba L.). New For. 2014, 45, 765–776. [Google Scholar] [CrossRef]
- Yao, X.; Shang, E.X.; Zhou, G.S.; Tang, Y.P.; Guo, S.; Su, S.L.; Jin, C.; Qian, D.W.; Qin, Y.; Duan, J.A. Comparative characterization of total flavonol glycosides and terpene lactones at different ages, from different cultivation sources and genders of Ginkgo biloba leaves. Int. J. Mol. Sci. 2012, 13, 10305–10315. [Google Scholar] [CrossRef]
- Horbowicz, M.; Wiczkowski, W.; Góraj-Koniarska, J.; Miyamoto, K.; Ueda, J.; Saniewski, M. Effect of methyl jasmonate on the terpene trilactones, flavonoids, and phenolic acids in Ginkgo biloba L. leaves: Relevance to leaf senescence. Molecules 2021, 26, 4682. [Google Scholar] [CrossRef] [PubMed]
- Liao, X.J.; Guo, C.Y.; Liu, X.D.; Lin, G.X. A new processing technology of Ginkgo biloba tea. J. Guangxi Agric. 2016, 31, 30–32. [Google Scholar]
- Gou, X.L.; Guo, Z.G. Superhydrophobic plant leaves: The variation in surface morphologies and wettability during the vegetation period. Langmuir 2019, 35, 1047–1053. [Google Scholar] [CrossRef] [PubMed]
- Jeong, B.G.; Gwak, Y.J.; Kim, J.; Hong, W.H.; Park, S.J.; Islam, M.A.; Jung, J.; Chun, J. Antioxidative properties of machine-drip tea prepared with Citrus fruit peels are affected by the type of fruit and drying method. Foods 2022, 11, 2094. [Google Scholar] [CrossRef] [PubMed]
- Jiang, W.B.; Yin, Q.G.; Wu, R.R.; Zheng, G.S.; Liu, J.Y.; Richard, A.D.; Pang, Y.Z. Role of a chalcone isomerase-like protein in flavonoid biosynthesis in Arabidopsis thaliana. J. Exp. Bot. 2015, 66, 7165–7179. [Google Scholar] [CrossRef]
- Li, Y.; Li, P.; Yang, K.L.; He, Q.; Wang, Y.; Sun, Y.H.; He, C.N.; Xiao, P.G. Impact of drying methods on phenolic components and antioxidant activity of sea Buckthorn (Hippophae rhamnoides L.) berries from different varieties in China. Molecules 2021, 26, 7189. [Google Scholar] [CrossRef]
- Pang, H.L.; Zhu, G.H.; Zhou, Q.H.; Ai, C.Z.; Zhu, Y.D.; Wang, P.; Dou, T.Y.; Xia, Y.L.; Ma, H.; Ge, G.B. Discovery and characterization of the key constituents in Ginkgo biloba leaf extract with potent inhibitory effects on human UDP-glucuronosyltransferase 1A1. Front. Pharmacol. 2022, 13, 815235. [Google Scholar] [CrossRef]
- Wang, B.; Shi, C.; Feng, L.; Pan, W.; Tian, X.G.; Sun, C.P.; Wang, C.; Ning, J.; Lv, X.; Wang, Y.; et al. Potent inhibition of human cytochrome P450 3A4 by biflavone components from Ginkgo biloba and Selaginella tamariscina. Front. Pharmacol. 2022, 13, 856784. [Google Scholar] [CrossRef]
- Zhou, G.S.; Ma, J.Y.; Tang, Y.P.; Wang, X.M.; Zhang, J.; Duan, J.A. Multi-response optimization of ultrasonic assisted enzymatic extraction followed by macroporous resin purification for maximal recovery of flavonoids and ginkgolides from waste Ginkgo biloba fallen leaves. Molecules 2018, 23, 1029. [Google Scholar] [CrossRef]
- Migas, P.; Romańczuk, A.; Szumacher, M.; Krauze-Baranowska, M. Application of targeted 2D planar chromatography in the control of ginkgolic acids in some herbal drugs and dietary supplements. Acta Pharm. 2020, 70, 201–213. [Google Scholar] [CrossRef]
- Zhang, J.; Wang, D.F.; Yang, W.; Yu, Y.T.; Hao, C.Y.; Zhao, A.Y.; Cheng, J.T.; Liu, Y.; Tan, T.; Chen, S.; et al. Qualitative analysis and differentiation of ginkgo cultivars based on UHPLC-QTOF-MS/MS with the characteristic ion and neutral loss strategy combined with chemometric methods. J. Pharm. Biomed. Anal. 2022, 211, 114595. [Google Scholar] [CrossRef] [PubMed]
- Quenon, C.; Hennebelle, T.; Butaud, J.F.; Ho, R.; Samaillie, J.; Neut, C.; Lehartel, T.; Rivière, C.; Siah, A.; Bonneau, N.; et al. Antimicrobial properties of compounds isolated from Syzygium malaccense (L.) Merr. and L.M. Perry and medicinal plants used in French Polynesia. Life 2022, 12, 733. [Google Scholar] [CrossRef]
- Momtazi-Borojeni, A.A.; Katsiki, N.; Pirro, M.; Banach, M.; Rasadi, K.A.; Sahebkar, A. Dietary natural products as emerging lipoprotein(a)-lowering agents. J. Cell Physiol. 2019, 234, 12581–12594. [Google Scholar] [CrossRef] [PubMed]
- Lin, Y.; Lou, K.; Wu, G.; Wu, X.; Zhou, X.; Feng, Y.; Zhang, H.; Yu, P. Bioactive metabolites in of Ginkgo biloba leaves: Variations by seasonal, meteorological and soil. Braz. J. Biol. 2020, 80, 790–797. [Google Scholar] [CrossRef]
- Chandrapala, J.; Oliver, C.; Kentish, S.; Ashokkumar, M. Ultrasonics in food processing. Ultrason. Sonochem. 2012, 19, 975–983. [Google Scholar] [CrossRef] [PubMed]
- Fernandes, I.; Pérez-Gregorio, R.; Soares, S.; Mateus, N.; de Freitas, V. Wine flavonoids in health and disease prevention. Molecules 2017, 22, 292. [Google Scholar] [CrossRef]
- Zeng, X.Q.; Xi, Y.; Jiang, W.B. Protective roles of flavonoids and flavonoid-rich plant extracts against urolithiasis: A review. Crit. Rev. Food Sci. Nutr. 2019, 59, 2125–2135. [Google Scholar] [CrossRef]
- Ba, X.Y.; Yan, Z.L.; Miao, Q.Y.; Hao, F.; Zhang, Y.X.; Gao, W.; Hou, J.C. Contrastive analysis on quality standards of Ginkgo leaves extract in Chinese Pharmacopoeia and United States Pharmacopeia (USP36) and European Pharmacopoeia (EP8. 0). Chin. J. Exp. Tradit. Med. Formulae 2017, 23, 180–185. [Google Scholar]
- Tang, Z.; Jiang, D.Z.; Zhao, X.X.; Zhang, Y.W. Comparison of different specifications of Ginkgo biloba extract and discussion on specification improvement. Drug Stand. China 2020, 21, 21–25. [Google Scholar]
- Liao, Y.L.; Cheng, S.Y.; Xu, F.; Wang, Y. Annual variation and distribution rule of terpene lactone content in Ginkgo biloba among leaves from different positions of female long branch. J. Cent. South Univ. For. Technol. 2013, 33, 47–52. [Google Scholar]
- Lu, X.Y.; Chen, L.; Liu, T.; Ke, H.; Gong, X.C.; Wang, Q.Q.; Zhang, J.B.; Fan, X.H. Chemical analysis, pharmacological activity and process optimization of the proportion of bilobalide and ginkgolides in Ginkgo biloba extract. J. Pharm. Biomed. Anal. 2018, 160, 46–54. [Google Scholar]
- GBD 2020 Alcohol Collaborators. Population-level risks of alcohol consumption by amount, geography, age, sex, and year: A systematic analysis for the Global Burden of Disease Study 2020. Lancet 2022, 400, 185–235. [Google Scholar] [CrossRef]
- Agbabiaka, T.B.; Wider, B.; Watson, L.K.; Goodman, C. Concurrent use of prescription drugs and herbal medicinal products in older adults: A systematic review. Drugs Aging 2017, 34, 891–905. [Google Scholar] [CrossRef]
- Fan, T.; Kuang, R. Yinxingye lujiu de zhibei ji yingyang chengfen fenxi. Preparation and nutritional analysis of the liqueur made from ginkgo leaves. J. Shandong Agric. Adm. Coll. 2009, 23, 161–163. (In Chinese) [Google Scholar]
- Averina, Y.M.; Kurbatov, A.Y.; Sakharov, D.A.; Subcheva1, E.N. Development of nanofiltration ceramic membrane production technology. Glass Ceram. 2020, 77, 98–102. [Google Scholar] [CrossRef]
- Yu, Y.X.; Huang, Y.J.; Li, L.; Huang, L.Y.; Zhang, S. Silica ceramic nanofiber membrane with ultra-softness and high temperature insulation. J. Mater. Sci. 2022, 57, 4080–4091. [Google Scholar] [CrossRef]
- Ling, G.Q.; Chen, L.; Liu, H.H.; Zhe, B.; Zhang, N.N.; Li, G.X.; Fang, W. The Invention Relates to a Ceramic Membrane: Preparation Method and Application. CN 113648834, 16 November 2021. [Google Scholar]
- Su, X.J.; Shen, G.A.; Di, S.K.; Dixon, R.A.; Pang, Y.Z. Characterization of UGT716A1 as a multi-substrate UDP: Flavonoid glucosyltransferase gene in Ginkgo biloba. Front. Plant. Sci. 2017, 8, 2085. [Google Scholar] [CrossRef]
- Ndjoko, K.; Wolfender, J.L.; Hostettmann, K. Determination of trace amounts of ginkgolic acids in Ginkgo biloba L. leaf extracts and phytopharmaceuticals by liquid chromatography-electrospray mass spectrometry. J. Chromatogr. B Biomed. Sci. Appl. 2000, 744, 249–255. [Google Scholar] [CrossRef]







| DPPH (TE) | ABTS (TE) | |
|---|---|---|
| YL/Tea | 129.27 (0.55) c | 525.86 (11.55) cd |
| YL/Tea-U | 133.59 (0.26) a | 578.95 (4.49) abc |
| GL/Tea | 125.48 (0.15) d | 518.14 (7.06) cd |
| GL/Tea-U | 126.71 (0.46) d | 520.71 (12.09) d |
| Average/Tea | 128.76 (3.26) | 534.23 (26.69) |
| YL/Wine | 132.89 (0.15) a | 633.25 (15.78) a |
| YL/Wine-U | 133.23 (0.31) a | 612.38 (10.98) ab |
| GL/Wine | 131.83 (0.15) ab | 565.49 (9.31) bcd |
| GL/Wine-U | 130.42 (0.26) bc | 534.63 (3.67) cd |
| Average/Wine | 132.09 (1.16) | 586.43 (41.45) |
| Water | 3.10 (1.31) f | 171.31 (6.44) e |
| Chinese Baijiu | 12.93 (0.61) e | 194.30 (16.29) e |
| Quercetin (mg/g·DW) | Kaempferol (mg/g·DW) | Isorhamnetin (mg/g·DW) | Total Flavonols (mg/g·DW) | |
|---|---|---|---|---|
| YL/Tea | 2.27 (0.18) b | 2.15 (0.24) c | 0.09 (0.07) ab | 4.51 (0.41) b |
| YL/Tea-U | 2.25 (0.13) b | 2.17 (0.15) c | 0.13 (0.01) a | 4.54 (0.29) b |
| GL/Tea | 1.76 (0.09) c | 1.74 (0.06) d | 0.11 (0.01) ab | 3.61 (0.16) c |
| GL/Tea-U | 1.68 (0.14) c | 1.63 (0.15) d | 0.10 (0.01) ab | 3.42 (0.29) c |
| Average/Tea | 1.99 (0.31) | 1.92 (0.29) | 0.11 (0.03) | 4.02 (0.59) |
| YL/Wine | 1.40 (0.18) d | 1.34 (0.23) e | 0.06 (0.01) b | 2.81 (0.43) e |
| YL/Wine-U | 2.84 (0.15) a | 2.78 (0.06) a | 0.14 (0.00) a | 5.76 (0.21) a |
| GL/Wine | 2.13 (0.06) b | 2.28 (0.15) bc | 0.12 (0.01) ab | 4.53 (0.21) b |
| GL/Wine-U | 2.35 (0.13) b | 2.50 (0.13) b | 0.12 (0.00) a | 4.97 (0.26) b |
| Average/Wine | 2.27 (0.55) | 2.31 (0.55) | 0.11 (0.03) | 4.69 (1.12) |
| Ginkgolide A (μg/g·DW) | Ginkgolide B (μg/g·DW) | Ginkgolide C (μg/g·DW) | Ginkgolide J (μg/g·DW) | Bilobalide (μg/g·DW) | Total TTLs (μg/g·DW) | |
|---|---|---|---|---|---|---|
| YL/Tea | 80.59 (2.22) bc | 48.62 (0.86) bc | 34.01 (0.45) b | 69.12 (0.65) cd | 21.61 (0.77) a | 253.96 (2.51) ab |
| YL/Tea-U | 74.89 (4.34) d | 50.60 (1.23) a | 35.56 (0.03) a | 71.81 (1.21) bc | 22.71 (1.02) a | 255.58 (4.74) a |
| GL/Tea | 78.57 (4.12) cd | 45.87 (0.46) e | 32.93 (0.46) c | 64.71 (0.65) e | 21.81 (0.76) a | 243.89 (3.99) c |
| GL/Tea-U | 83.52 (0.84) ab | 49.63 (0.98) ab | 35.06 (0.40) a | 67.41 (3.41) de | 22.49 (0.43) a | 258.13 (1.67) ab |
| Average/Tea | 79.39 (4.28) | 48.68 (2.01) | 34.39 (1.11) | 68.27 (3.13) | 22.16 (0.82) | 252.89 (6.36) |
| YL/Wine | 82.07 (0.42) abc | 46.95 (0.71) de | 22.26 (0.32) f | 75.03 (0.25) ab | 17.71 (0.44) b | 244.01 (1.15) c |
| YL/Wine-U | 84.46 (1.62) ab | 47.90 (0.27) cd | 22.89 (0.59) f | 77.00 (0.28) a | 18.86 (0.46) b | 251.52 (2.60) b |
| GL/Wine | 83.30 (0.53) ab | 45.85 (0.38) e | 30.35 (0.34) e | 65.49 (1.23) e | 18.61 (0.50) b | 244.09 (1.28) c |
| GL/Wine-U | 85.84 (2.24) a | 47.48 (1.34) cd | 30.97 (0.59) e | 70.55 (3.52) cd | 18.62 (1.28) b | 253.46 (3.99) ab |
| Average/Wine | 84.04 (1.87) | 47.04 (1.05) | 26.62 (4.26) | 72.12 (5.02) | 18.45 (0.79) | 248.27 (4.96) |
| Peak | Retention Time (min) | UV Absorption Spectrum (nm) | m/z (ESI-) | Deduced Chemical Formula | Deduced Alkyl Substituents |
|---|---|---|---|---|---|
| 1 | 6.19 | 245, 309 | 361.21 | C23H38O3 | C16:0 |
| 2 | 8.16 | 246, 309 | 389.20 | C25H42O3 | C18:0 |
| 3 | 8.71 | 248, 313 | 387.14 | C25H40O3 | C18:1 |
| 4 | 9.84 | 251, 313 | 317.05 | C20H30O3 | C13:1 |
| 5 | 12.02 | 251, 311 | 369.12 | C24H34O3 | C17:3 |
Publisher’s Note: MDPI stays neutral with regard to jurisdictional claims in published maps and institutional affiliations. |
© 2022 by the authors. Licensee MDPI, Basel, Switzerland. This article is an open access article distributed under the terms and conditions of the Creative Commons Attribution (CC BY) license (https://creativecommons.org/licenses/by/4.0/).
Share and Cite
Su, X.; Shi, R.; Hu, H.; Hu, L.; Wei, Q.; Guan, Y.; Chang, J.; Li, C. Medicinal Values and Potential Risks Evaluation of Ginkgo biloba Leaf Extract (GBE) Drinks Made from the Leaves in Autumn as Dietary Supplements. Molecules 2022, 27, 7479. https://doi.org/10.3390/molecules27217479
Su X, Shi R, Hu H, Hu L, Wei Q, Guan Y, Chang J, Li C. Medicinal Values and Potential Risks Evaluation of Ginkgo biloba Leaf Extract (GBE) Drinks Made from the Leaves in Autumn as Dietary Supplements. Molecules. 2022; 27(21):7479. https://doi.org/10.3390/molecules27217479
Chicago/Turabian StyleSu, Xiaojia, Ruirui Shi, Haiyan Hu, Linfeng Hu, Qichao Wei, Yuanyuan Guan, Jingling Chang, and Chengwei Li. 2022. "Medicinal Values and Potential Risks Evaluation of Ginkgo biloba Leaf Extract (GBE) Drinks Made from the Leaves in Autumn as Dietary Supplements" Molecules 27, no. 21: 7479. https://doi.org/10.3390/molecules27217479
APA StyleSu, X., Shi, R., Hu, H., Hu, L., Wei, Q., Guan, Y., Chang, J., & Li, C. (2022). Medicinal Values and Potential Risks Evaluation of Ginkgo biloba Leaf Extract (GBE) Drinks Made from the Leaves in Autumn as Dietary Supplements. Molecules, 27(21), 7479. https://doi.org/10.3390/molecules27217479

