Exploring the Antimycobacterial Potential of Podocarpusflavone A from Kielmeyera membranacea: In Vitro and In Vivo Insights
Abstract
1. Introduction
2. Results and Discussion
2.1. Chemical Study of Kielmeyera Membranacea
2.2. Antimycobacterial Activity on Extracellular Bacteria and in Infected Human Macrophages
2.3. In Vivo Toxicological Analysis
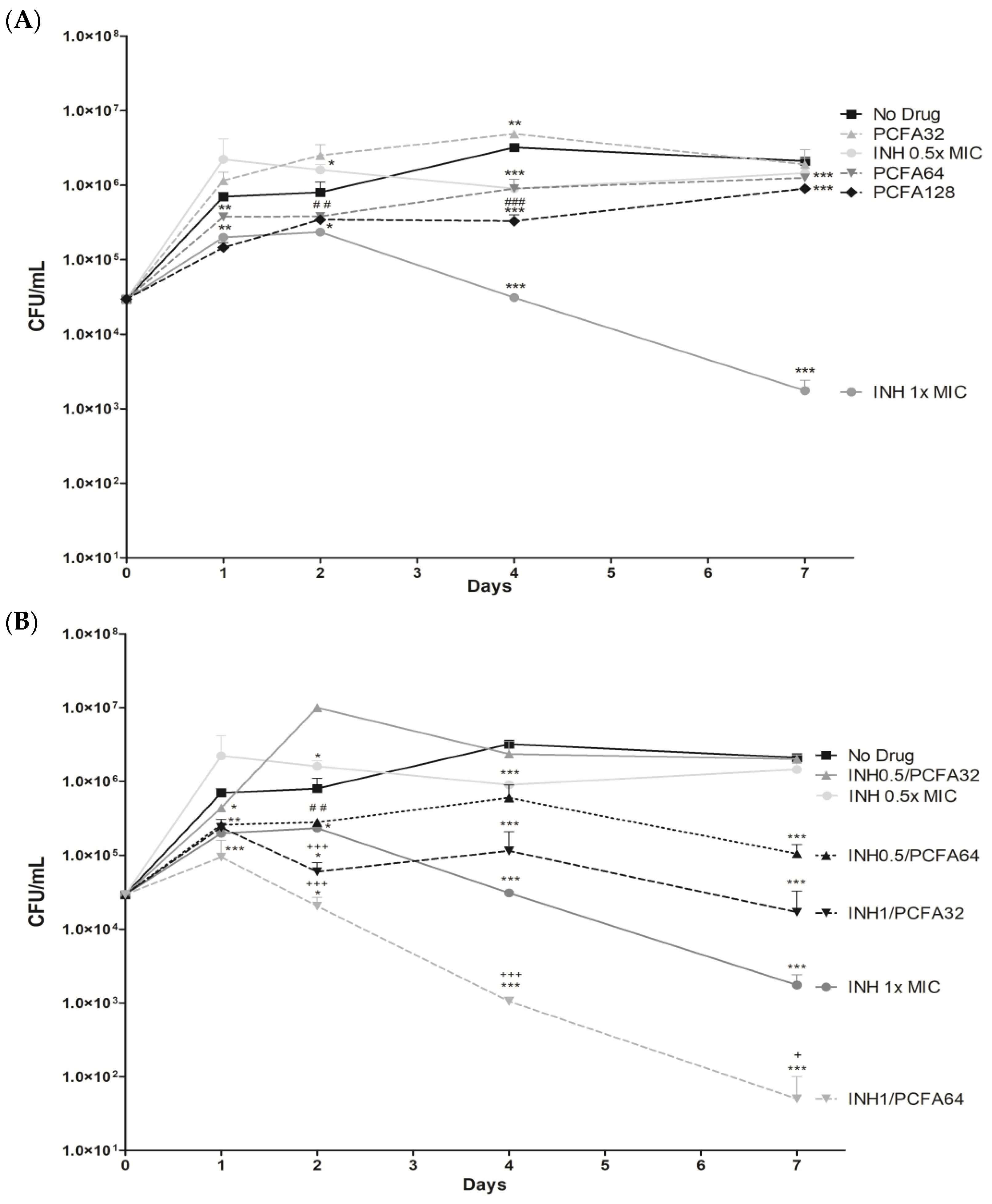
2.4. In Vivo Antimycobacterial Activity of Kielmeyera Membranacea Extract, Fraction, and Podocarpusflavone A Tested in the Zebrafish Mycobacterium marinum Infection Model
2.5. Podocarpusflavone: A Mode of Action Study
2.6. Expression of Cytokines and Macrophage Markers in Zebrafish Infected with Mycobacterium marinum
3. Materials and Methods
3.1. Reagents
3.2. General Experimental Procedures
3.3. Plant Material
3.4. Isolation and Characterization of Podocarpusflavone A
3.5. UPLC-MS/MS Analysis
3.6. Bacterial Strain Preparation
3.7. In Vitro Antimycobacterial Activity
3.8. Cytotoxicity and Infection of Macrophages
3.9. Zebrafish Husbandry
3.10. Toxic Effect on Zebrafish Larvae
3.11. Inhibition of Mycobacterium marinum Growth by Yolk Infection
3.12. Inhibition of Mycobacterium marinum Growth by Caudal Vein Infection
3.13. RNA Isolation, cDNA Synthesis, and RT-qPCR
3.14. Statistical Analysis
3.15. In Silico Prediction of Podocarpusflavone A Mode of Action (MOA)
3.16. Molecular Docking Studies
4. Conclusions
Supplementary Materials
Author Contributions
Funding
Institutional Review Board Statement
Informed Consent Statement
Data Availability Statement
Conflicts of Interest
References
- WHO, World Health Organization. Global Tuberculosis Report. 2024. Available online: https://www.who.int/publications/i/item/9789240101531 (accessed on 5 November 2024).
- Dong, M.; Pfeiffer, B.; Altmann, K.H. Recent developments in natural product-based drug discovery for tuberculosis. Drug Discov. Today 2017, 22, 585–591. [Google Scholar] [CrossRef] [PubMed]
- Sharifi-Rad, M.; Lankatillake, C.; Dias, D.A.; Docea, A.O.; Mahomoodally, M.F.; Lobine, D.; Chazot, P.L.; Kurt, B.; Boyunegmez, T.T.; Catarina, M.A.; et al. Impact of Natural Compounds on Neurodegenerative Disorders: From Preclinical to Pharmacotherapeutics. J. Clin. Med. 2020, 9, 1061. [Google Scholar] [CrossRef] [PubMed]
- Sousa, Z.L.; de Oliveira, F.F.; da Conceição, A.O.; Silva, L.A.; Rossi, M.H.; Santos, J.D.S.; Andrioli, J.L. Biological activities of extracts from Chenopodium ambrosioides Lineu and Kielmeyera neglecta Saddi. Ann. Clin. Microbiol. Antimicrob. 2012, 11, 20. [Google Scholar] [CrossRef] [PubMed]
- Coqueiro, A.; Choi, Y.H.; Verpoorte, R.; Gupta, K.B.; De Mieri, M.; Hamburger, M.; Young, M.C.; Stapleton, P.; Gibbons, S.; Bolzani, V.d.S. Antistaphylococcal Prenylated Acylphoroglucinol and Xanthones from Kielmeyera variabilis. J. Nat. Prod. 2016, 79, 470–476. [Google Scholar] [CrossRef] [PubMed]
- Martins, C.d.M.; do Nascimento, E.A.; de Morais, S.A.; de Oliveira, A.; Chang, R.; Cunha, L.C.; Martins, M.M.; Martins, C.H.; Moraes, T.D.S.; Rodrigues, P.V.; et al. Chemical Constituents and Evaluation of Antimicrobial and Cytotoxic Activities of Kielmeyera coriacea Mart. & Zucc. Essential Oils. Evid. Based Complement. Altern. Med. 2015, 2015, 842047. [Google Scholar]
- Cortez, D.A.G.; Young, M.C.M.; Marston, A.; Wolfender, J.L.; Hostettmann, K. Xanthones, triterpenes and a biphenyl from Kielmeyera coriacea. Phytochemistry 1998, 47, 1367–1374. [Google Scholar] [CrossRef]
- Justino, A.B.; Santana, E.C.; Franco, R.R.; Queiroz, J.S.; Silva, H.C.G.; de Lima, J.P.J.; Saraiva, A.L.; Martins, M.M.; Lemos de Morais, S.A.; de Oliveira, A.; et al. Antioxidant compounds of Kielmeyera coriacea Mart. with α-amylase, lipase and advanced glycation end-product inhibitory activities. J. Pharm. Biomed. Anal. 2021, 206, 114387. [Google Scholar] [CrossRef]
- Boness, H.V.M.; Santos, N.A.S.; Costa, I.B.; Queiroz, C.K.L.; Marques, E.J.; El-Bachá, R.S.; Cruz, F.G. Prenylated 4-phenylcoumarins and 4-alkylcoumarins from Kielmeyera argentea and their cytotoxic activity. Fitoterapia 2021, 149, 104836. [Google Scholar] [CrossRef]
- Biesdorf, C.; Cortez, D.A.; Audi, E.A. Assessment of anxiolytic and panicolytic effects of dichloromethane fraction from stems of Kielmeyera coriacea. Phytomedicine 2012, 19, 374–377. [Google Scholar] [CrossRef]
- Figueiredo, C.R.; Matsuo, A.L.; Massaoka, M.H.; Girola, N.; Azevedo, R.A.; Rabaça, A.N.; Farias, C.F.; Pereira, F.V.; Matias, N.S.; Silva, L.P.; et al. Antitumor activity of kielmeyera coriacea leaf constituents in experimental melanoma, tested in vitro and in vivo in syngeneic mice. Adv. Pharm. Bull. 2014, 4, 429–436. [Google Scholar]
- Correia, M.C.R.; Lima, H.A.d.; Silva, R.C.P.D. Caracterização dos frutos, sementes e plântulas de espécies de Clusiaceae das restingas do Rio de Janeiro. Rodriguésia 2013, 64, 61–73. [Google Scholar] [CrossRef]
- Araujo, M.H.; Simão, T.L.B.V.; Konno, T.U.P.; Guimarães, D.O.; Leal, I.C.R.; Lasunskaia, E.; Muzitano, F.M. Anti-mycobacterial and anti-inflammatory activity of Restinga plants: A dual approach in searching for new drugs to treat severe tuberculosis. Rodriguesia 2021, 72, e01152019. [Google Scholar] [CrossRef]
- Ali, S.; Champagne, D.L.; Spaink, H.P.; Richardson, M.K. Zebrafish embryos and larvae: A new generation of disease models and drug screens. Birth Defects Res. C. Embryo Today 2011, 93, 115–133. [Google Scholar] [CrossRef] [PubMed]
- Torraca, V.; Masud, S.; Spaink, H.P.; Meijer, A.H. Macrophage-pathogen interactions in infectious diseases: New therapeutic insights from the zebrafish host model. Dis. Mod. Mech. 2014, 7, 785–797. [Google Scholar] [CrossRef] [PubMed]
- Takaki, K.; Davis, J.M.; Winglee, K.; Ramakrishnan, L. Evaluation of the pathogenesis and treatment of Mycobacterium marinum infection in zebrafish. Nat. Prot. 2013, 8, 1114–1124. [Google Scholar] [CrossRef]
- Takaki, K.; Cosma, C.L.; Troll, M.A.; Ramakrishnan, L. An in vivo platform for rapid high-throughput antitubercular drug discovery. Cell Rep. 2012, 26, 175–184. [Google Scholar] [CrossRef]
- Feitosa, N.M.; Richardson, R.; Bloch, W.; Hammerschmidt, M. Basement Membrane Diseases in Zebrafish. In: Detrich, H.W., Westerfield, M., Zon, L.I. (Org.). Methods in Cell Biology: The Zebrafish, Disease Models and Chemical Screens. Elsevier Corp. 2011, 105, 191–222. [Google Scholar]
- Coqueiro, A.; Regasini, L.O.; Skrzek, S.C.G.; Queiroz, M.M.F.; Silva, D.H.S.; Bolzani, V.d.S. Free Radical Scavenging Activity of Kielmeyera variabilis (Clusiaceae). Molecules 2013, 18, 2376–2385. [Google Scholar] [CrossRef]
- Yeh, P.H.; Shieh, Y.D.; Hsu, L.C.; Kuo, L.M.; Lin, J.H.; Liaw, C.C.; Kuo, Y.H. Naturally Occurring Cytotoxic [3′→8″]-Biflavonoids from Podocarpus nakaii. J. Trad. Complem. Med. 2012, 2, 220–226. [Google Scholar] [CrossRef]
- Yu, S.; Yan, H.; Zhang, L.; Shan, M.; Chen, P.; Ding, A.; Li, S.F. A Review on the Phytochemistry, Pharmacology, and Pharmacokinetics of Amentoflavone, a Naturally-Occurring Biflavonoid. Molecules 2017, 22, 299. [Google Scholar] [CrossRef]
- Lim, D.J.; Song, J.S.; Lee, B.H.; Son, Y.K.; Kim, Y. Qualitative and Quantitative Analysis of the Major Bioactive Components of Juniperus chinensis L. Using LC-QTOF-MS and LC-MS/MS and Investigation of Antibacterial Activity against Pathogenic Bacteria. Molecules 2023, 28, 3937. [Google Scholar] [CrossRef] [PubMed]
- Meng, H.; Pang, Y.; Liu, G.; Luo, Z.; Tan, H.; Liu, X. Podocarpusflavone A inhibits cell growth of skin cutaneous melanoma by suppressing STAT3 signaling. J. Dermatol. Sci. 2020, 100, 201–208. [Google Scholar] [CrossRef] [PubMed]
- Camacho, M.R.; Mata, R.; Castaneda, P.; Kirby, G.C.; Warhurst, D.C.; Croft, S.L.; Phillipson, J.D. Bioactive compounds from Celaenodendron mexicanum. Planta Med. 2000, 66, 463–468. [Google Scholar] [CrossRef] [PubMed]
- Coulerie, P.; Eydoux, C.; Hnawia, E.; Stuhl, L.; Maciuk, A.; Lebouvier, N.; Canard, B.; Figadère, B.; Guillemot, J.C.; Nour, M. Biflavonoids of Dacrydium balansae with potent inhibitory activity on dengue 2 NS5 polymerase. Planta Med. 2012, 78, 672–677. [Google Scholar] [CrossRef] [PubMed]
- Sharma, M.; Mahto, J.K.; Dhaka, P.; Neetu, N.; Tomar, S.; Kumar, P. MD simulation and MM/PBSA identifies phytochemicals as bifunctional inhibitors of SARS-CoV-2. J. Biomol. Struct. Dyn. 2022, 40, 12048–12061. [Google Scholar] [CrossRef]
- Trang, D.T.; Huyen, L.T.; Nhiem, N.X.; Quang, T.H.; Hang, D.T.T.; Yen, P.H.; Tai, B.H.; Anha, H.L.T.; Binh, N.Q.; Van Minh, C.; et al. Tirucallane glycoside from the leaves of Antidesma bunius and inhibitory NO production in BV2 cells and RAW264.7 macrophages. Nat. Prod. Commun. 2016, 11, 935–937. [Google Scholar] [CrossRef]
- Saroni Arwa, P.; Zeraik, M.L.; Ximenes, V.F.; da Fonseca, L.M.; Bolzani, V.d.S.; Siqueira Silva, D.H. Redox-active biflavonoids from Garcinia brasiliensis as inhibitors of neutrophil oxidative burst and human erythrocyte membrane damage. J. Ethnopharmacol. 2015, 4, 410–418. [Google Scholar] [CrossRef]
- Marrapu, V.K.; Chaturvedi, V.; Singh, S.; Singh, S.; Sinha, S.; Bhandari, K. Novel aryloxy azolyl chalcones with potent activity against Mycobacterium tuberculosis H37Rv. Eur. J. Med. Chem. 2011, 46, 4302–4310. [Google Scholar] [CrossRef]
- Van Deun, A.; Decroo, T.; Piubello, A.; de Jong, B.C.; Lynen, L.; Rieder, H.L. Principles for constructing a tuberculosis treatment regimen: The role and definition of core and companion drugs. Int. J. Tuberc. Lung Dis. 2018, 22, 239–245. [Google Scholar] [CrossRef]
- Sankar, J.; Chauhan, A.; Singh, R.; Mahajan, D. Isoniazid-historical development, metabolism associated toxicity and a perspective on its pharmacological improvement. Front. Pharmacol. 2024, 15, 1441147. [Google Scholar] [CrossRef]
- Lammer, E.; Carr, G.J.; Wendler, K.; Rawlings, J.M.; Belanger, S.E.; Braunbeck, T. Is the fish embryo toxicity test (FET) with the zebrafish (Danio rerio) a potential alternative for the fish acute toxicity test? Comp. Biochem. Physiol. Part. C 2009, 149, 196–209. [Google Scholar] [CrossRef] [PubMed]
- Grundner, C.; Perrin, D.; Van Huijsduijnen, R.H.; Swinnen, D.; Gonzalez, J.; Gee, C.L.; Wells, T.N.; Alber, T. Structural basis for selective inhibition of Mycobacterium tuberculosis protein tyrosine phosphatase PtpB. Structure 2007, 15, 499–509. [Google Scholar] [CrossRef] [PubMed]
- Mascarello, A.; Mori, M.; Chiaradia-Delatorre, L.D.; Menegatti, A.C.L.; Monache, F.D.; Ferrari, F.; Yunes, R.A.; Nunes, R.J.; Terenzi, H.; Botta, B.; et al. Discovery of Mycobacterium tuberculosis protein tyrosine phosphatase B (PtpB) inhibitors from natural products. PLoS ONE 2013, 8, e77081. [Google Scholar] [CrossRef] [PubMed]
- Kuban-Jankowska, A.; Kostrzewa, T.; Gorska-Ponikowska, M. Bacterial protein tyrosine phosphatases as possible targets for antimicrobial therapies in response to antibiotic resistance. Antioxidants 2022, 11, 2397. [Google Scholar] [CrossRef]
- Wong, D.; Chao, J.D.; Av-Gay, Y. Mycobacterium tuberculosis-secreted phosphatases: From pathogenesis to targets for TB drug development. Trends Microbiol. 2013, 21, 100–109. [Google Scholar] [CrossRef]
- Chai, Q.; Yu, S.; Zhong, Y.; Lu, Z.; Qiu, C.; Yu, Y.; Zhang, X.; Zhang, Y.; Lei, Z.; Qiang, L.; et al. A bacterial phospholipid phosphatase inhibits host pyroptosis by hijacking ubiquitin. Science 2022, 378, eabq0132. [Google Scholar] [CrossRef]
- Morrell, T.E.; Rafalska-Metcalf, I.U.; Yang, H.; Chu, J. Compound molecular logic in accessing the active site of Mycobacterium tuberculosis protein tyrosine phosphatase B. J. Am. Chem. Soc. 2018, 140, 14747–14752. [Google Scholar] [CrossRef]
- Zhou, B.; He, Y.; Zhang, X.; Xu, J.; Luo, Y.; Wang, Y.; Franzblau, S.G.; Yang, Z.; Chan, R.J.; Liu, Y.; et al. Targeting Mycobacterium protein tyrosine phosphatase B for antituberculosis agents. Proc. Natl. Acad. Sci. USA 2010, 107, 4573–4578. [Google Scholar] [CrossRef]
- Boni, F.G.; Hamdi, I.; Koundi, L.M.; Shrestha, K.; Xie, J. Cytokine storm in tuberculosis and IL-6 involvement. Infect. Genet. Evol. 2022, 97, 105166. [Google Scholar] [CrossRef]
- Washburn, A.; Abdeen, S.; Ovechkina, Y.; Ray, A.M.; Stevens, M.; Chitre, S.; Sivinski, J.; Park, Y.; Johnson, J.; Hoang, Q.Q.; et al. Dual-targeting GroEL/ES chaperonin and protein tyrosine phosphatase B (PtpB) inhibitors: A polypharmacology strategy for treating Mycobacterium tuberculosis infections. Bioorganic Med. Chem. Lett. 2019, 29, 1665–1672. [Google Scholar] [CrossRef]
- Clay, H.; Volkman, H.E.; Ramakrishnan, L. Tumor necrosis factor signaling mediates resistance to mycobacteria by inhibiting bacterial growth and macrophage death. Immunity 2008, 29, 283–294. [Google Scholar] [CrossRef] [PubMed]
- Holt, A.; Mitra, S.; van der Sar, A.M.; Alnabulsi, A.; Secombes, C.J.; Bird, S. Discovery of zebrafish (Danio rerio) interleukin-23 alpha (IL-23α) chain, a subunit important for the formation of IL-23, a cytokine involved in the development of Th17 cells and inflammation. Mol. Immunol. 2011, 48, 981–991. [Google Scholar] [CrossRef] [PubMed]
- Vemula, M.H.; Medisetti, R.; Ganji, R.; Jakkala, K.; Sankati, S.; Chatti, K.; Banerjee, S. Mycobacterium tuberculosis Zinc Metalloprotease-1 Assists Mycobacterial Dissemination in Zebrafish. Front. Microbiol. 2016, 29, 1347. [Google Scholar] [CrossRef] [PubMed]
- Roca, F.J.; Whitworth, L.J.; Redmond, S.; Jones, A.A.; Ramakrishnan, L. TNF Induces Pathogenic Programmed Macrophage Necrosis in Tuberculosis through a Mitochondrial-Lysosomal-Endoplasmic Reticulum Circuit. Cell 2019, 178, 1344–1361.e11. [Google Scholar] [CrossRef] [PubMed]
- Harjula, S.E.; Ojanen, M.J.T.; Taavitsainen, S.; Nykter, M.; Rämet, M. Interleukin 10 mutant zebrafish have an enhanced interferon-gamma response and improved survival against a Mycobacterium marinum infection. Sci. Rep. 2018, 8, 10360. [Google Scholar] [CrossRef]
- Meijer, A.H. Protection and pathology in TB: Learning from the zebrafish model. Semin. Immunopathol. 2016, 38, 261–273. [Google Scholar] [CrossRef]
- Torraca, V.; Cui, C.; Boland, R.; Bebelman, J.P.; Van der Sar, A.M.; Smit, M.J.; Siderius, M.; Spaink, H.P.; Meijer, A.H. The CXCR3-CXCL11 signaling axis mediates macrophage recruitment and dissemination of mycobacterial infection. Dis. Mod. Mech. 2015, 8, 253–269. [Google Scholar] [CrossRef]
- Varela, M.; Meijer, A.H. A fresh look at mycobacterial pathogenicity with the zebrafish host model. Mol. Microbiol. 2022, 117, 661–669. [Google Scholar] [CrossRef]
- Aubry, A.; Jarlier, V.; Escolano, S.; Truffot-Pernot, C.; Cambau, E. Antibiotic susceptibility pattern of Mycobacterium marinum. Antimicrob. Agents Chemother. 2000, 44, 3133–3136. [Google Scholar] [CrossRef]
- Gomez-Flores, R.; Gupta, S.; Tamez-Guerra, R.; Mehta, R.T. Determination of MICs for Mycobacterium avium-M. Intracellular complex in liquid medium by a colorimetric method. J. Clin. Microbiol. 1995, 33, 1842–1846. [Google Scholar] [CrossRef]
- Manganelli, R.; Voskuil, M.I.; Schoolnik, G.K.; Smith, I. The Mycobacterium tuberculosis ECF sigma factor sE: Role in global gene expression and survival in macrophages. Mol. Microbiol. 2001, 41, 423–437. [Google Scholar] [CrossRef] [PubMed]
- Boldrin, F.; Anso, I.; Alebouyeh, S.; Sevilla, I.A.; Geijo, M.; Garrido, J.M.; Marina, A.; Cioetto Mazzabò, L.; Segafreddo, G.; Guerin, M.E.; et al. The Phosphatidyl-myo-Inositol Dimannoside Acyltransferase PatA Is Essential for Mycobacterium tuberculosis Growth In Vitro and In Vivo. J. Bacteriol. 2021, 203, e00439-e20. [Google Scholar] [CrossRef] [PubMed]
- Westerfield, M. The Zebrafish Book: A Guide for the Laboratory Use of Zebrafish (Danio Rerio), 4th ed.; University Oregon Press: Eugene, OR, USA, 2000. [Google Scholar]
- OECD. Test No. 236: Fish Embryo Acute Toxicity (FET) Test. In OECD Guidelines for the Testing of Chemicals, Section 2; OECD iLibrary: Ithaca, NY, USA, 2013; pp. 1–22. [Google Scholar]
- Livak, K.J.; Schmittgen, T.D. Analysis of relative gene expression data using real-time quantitative PCR and the 2 (-Delta Delta C(T)) Method. Methods 2001, 25, 402–408. [Google Scholar] [CrossRef] [PubMed]
- Mervin, L.H.; Afzal, A.M.; Drakakis, G.; Lewis, R.; Engkvist, O.; Bender, A. Target prediction utilizing negative bioactivity data covering large chemical space. J. Cheminformatics 2015, 7, 51. [Google Scholar] [CrossRef]
- Mervin, L.H.; Bulusu, K.C.; Kalash, L.; Afzal, A.M.; Svensson, F.; Firth, M.A.; Barrett, I.; Engkvist, O.; Bender, A. Orthologue chemical space and its influence on target prediction. Bioinformatics 2018, 34, 72–79. [Google Scholar] [CrossRef]
- Todd, J.D.; Jens, E.N.; McCammon, J.A.; Baker, N.A. PDB2PQR: An automated pipeline for the setup of Poisson–Boltzmann electrostatics calculations. Nucleic Acids Res. 2004, 32, W665–W667. [Google Scholar]
- Hehre, W.J. A Guide to Molecular Mechanics and Quantum Chemical Calculations; Wavefunction, Inc.: Irvine, CA, USA, 2003. [Google Scholar]










Disclaimer/Publisher’s Note: The statements, opinions and data contained in all publications are solely those of the individual author(s) and contributor(s) and not of MDPI and/or the editor(s). MDPI and/or the editor(s) disclaim responsibility for any injury to people or property resulting from any ideas, methods, instructions or products referred to in the content. |
© 2024 by the authors. Licensee MDPI, Basel, Switzerland. This article is an open access article distributed under the terms and conditions of the Creative Commons Attribution (CC BY) license (https://creativecommons.org/licenses/by/4.0/).
Share and Cite
Araujo, M.H.d.; Muñoz Sánchez, S.; Simão, T.L.B.V.; Nowik, N.; Antunes, S.S.; Pinto, S.C.; Sorze, D.; Boldrin, F.; Manganelli, R.; Correia Romeiro, N.; et al. Exploring the Antimycobacterial Potential of Podocarpusflavone A from Kielmeyera membranacea: In Vitro and In Vivo Insights. Pharmaceuticals 2024, 17, 1560. https://doi.org/10.3390/ph17121560
Araujo MHd, Muñoz Sánchez S, Simão TLBV, Nowik N, Antunes SS, Pinto SC, Sorze D, Boldrin F, Manganelli R, Correia Romeiro N, et al. Exploring the Antimycobacterial Potential of Podocarpusflavone A from Kielmeyera membranacea: In Vitro and In Vivo Insights. Pharmaceuticals. 2024; 17(12):1560. https://doi.org/10.3390/ph17121560
Chicago/Turabian StyleAraujo, Marlon Heggdorne de, Salomé Muñoz Sánchez, Thatiana Lopes Biá Ventura Simão, Natalia Nowik, Stella Schuenck Antunes, Shaft Corrêa Pinto, Davide Sorze, Francesca Boldrin, Riccardo Manganelli, Nelilma Correia Romeiro, and et al. 2024. "Exploring the Antimycobacterial Potential of Podocarpusflavone A from Kielmeyera membranacea: In Vitro and In Vivo Insights" Pharmaceuticals 17, no. 12: 1560. https://doi.org/10.3390/ph17121560
APA StyleAraujo, M. H. d., Muñoz Sánchez, S., Simão, T. L. B. V., Nowik, N., Antunes, S. S., Pinto, S. C., Sorze, D., Boldrin, F., Manganelli, R., Correia Romeiro, N., Lasunskaia, E. B., Verbeek, F. J., Spaink, H. P., & Muzitano, M. F. (2024). Exploring the Antimycobacterial Potential of Podocarpusflavone A from Kielmeyera membranacea: In Vitro and In Vivo Insights. Pharmaceuticals, 17(12), 1560. https://doi.org/10.3390/ph17121560

