Influence of Air Drying, Freeze Drying and Oven Drying on the Biflavone Content in Yellow Ginkgo (Ginkgo biloba L.) Leaves
Abstract
1. Introduction
2. Materials and Methods
2.1. Chemicals, Reagents and Instruments
2.2. Plant Material and Drying Experiments
2.3. Browning Index
2.4. Pigments
2.5. Phenolic Compounds
2.6. Antioxidant Activity
2.7. Statistical Analysis
3. Results
3.1. Influence of Different Drying Methods on the Browning Index
3.2. Influence of Different Drying Methods on the Composition of Chlorophylls and Carotenoids
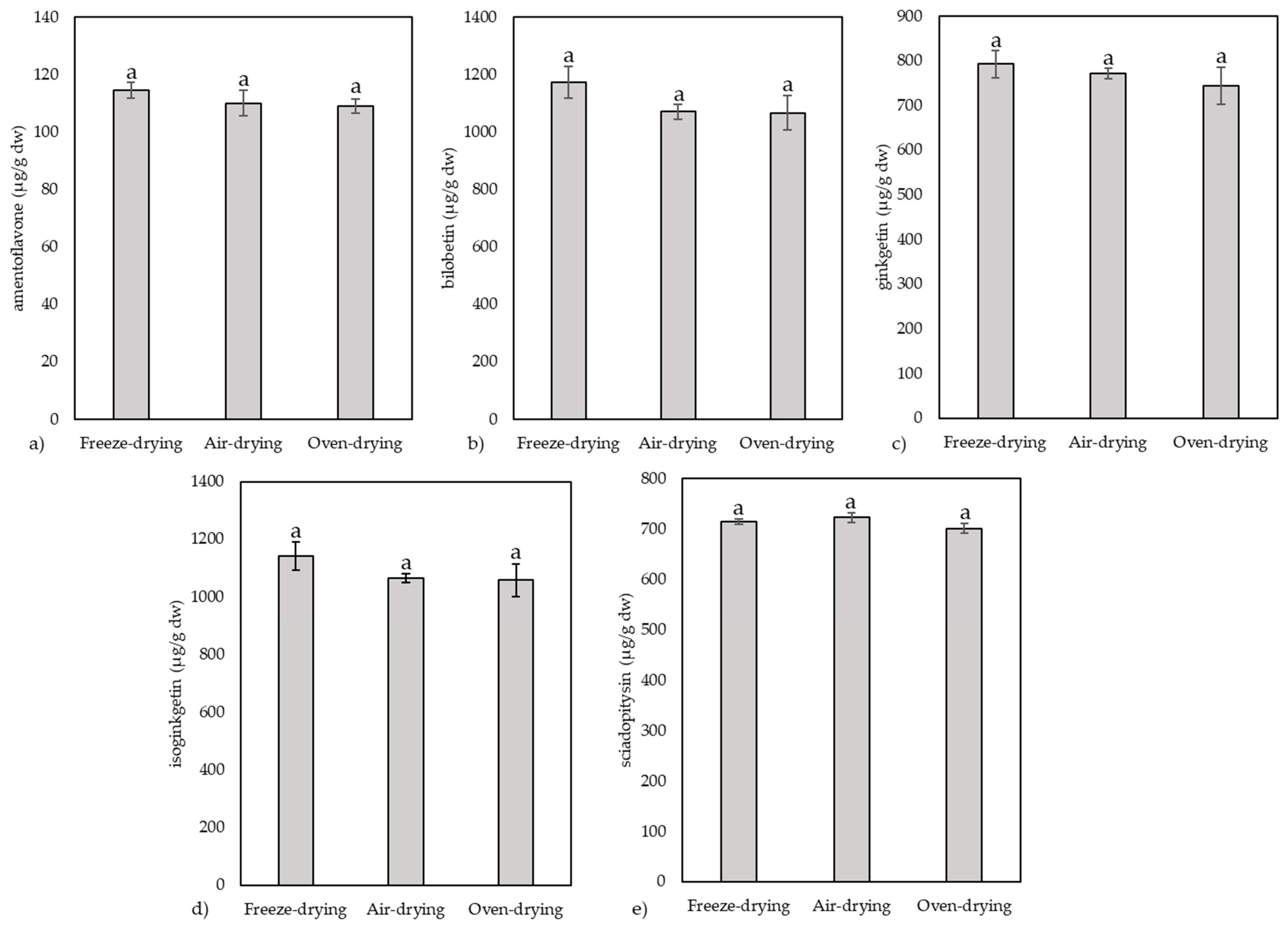
3.3. Influence of Different Drying Methods on the Content of the Total Polyphenols, Flavonoids, Phenolic Acids and Individual Biflavonoids
3.4. Influence of Different Drying Methods on Antioxidant Activity
4. Discussion
5. Conclusions
Author Contributions
Funding
Institutional Review Board Statement
Informed Consent Statement
Data Availability Statement
Conflicts of Interest
References
- Gong, W.; Chen, C.; Dobeš, C.; Fu, C.-X.; Koch, M.A. Phylogeography of a Living Fossil: Pleistocene Glaciations Forced Ginkgo biloba L. (Ginkgoaceae) into Two Refuge Areas in China with Limited Subsequent Postglacial Expansion. Mol. Phylogenet. Evol. 2008, 48, 1094–1105. [Google Scholar] [CrossRef]
- Tang, C.Q.; Yang, Y.; Ohsawa, M.; Yi, S.-R.; Momohara, A.; Su, W.-H.; Wang, H.-C.; Zhang, Z.-Y.; Peng, M.-C.; Wu, Z.-L. Evidence for the Persistence of Wild Ginkgo biloba (Ginkgoaceae) Populations in the Dalou Mountains, Southwestern China. Am. J. Bot. 2012, 99, 1408–1414. [Google Scholar] [CrossRef]
- Liu, Y.; Xin, H.; Zhang, Y.; Che, F.; Shen, N.; Cui, Y. Leaves, Seeds and Exocarp of Ginkgo biloba L. (Ginkgoaceae): A Comprehensive Review of Traditional Uses, Phytochemistry, Pharmacology, Resource Utilization and Toxicity. J. Ethnopharmacol. 2022, 298, 115645. [Google Scholar] [CrossRef]
- Liu, L.; Wang, Y.; Zhang, J.; Wang, S. Advances in the Chemical Constituents and Chemical Analysis of Ginkgo biloba Leaf, Extract, and Phytopharmaceuticals. J. Pharm. Biomed. Anal. 2021, 193, 113704. [Google Scholar] [CrossRef]
- Kovač Tomas, M.; Jurčević, I.; Šamec, D. Tissue-Specific Profiling of Biflavonoids in Ginkgo (Ginkgo biloba L.). Plants 2022, 12, 147. [Google Scholar] [CrossRef]
- Šamec, D.; Karalija, E.; Dahija, S.; Hassan, S.T.S. Biflavonoids: Important Contributions to the Health Benefits of Ginkgo (Ginkgo biloba L.). Plants 2022, 11, 1381. [Google Scholar] [CrossRef] [PubMed]
- He, X.; Yang, F.; Huang, X. Proceedings of Chemistry, Pharmacology, Pharmacokinetics and Synthesis of Biflavonoids. Molecules 2021, 26, 6088. [Google Scholar] [CrossRef] [PubMed]
- Mishra, G.P.; Bhadane, R.N.; Panigrahi, D.; Amawi, H.A.; Asbhy, C.R.; Tiwari, A.K. The Interaction of the Bioflavonoids with Five SARS-CoV-2 Proteins Targets: An In Silico Study. Comput. Biol. Med. 2021, 134, 104464. [Google Scholar] [CrossRef] [PubMed]
- Abdizadeh, R.; Hadizadeh, F.; Abdizadeh, T. Evaluation of Apigenin-Based Biflavonoid Derivatives as Potential Therapeutic Agents against Viral Protease (3CLpro) of SARS-CoV-2 via Molecular Docking, Molecular Dynamics and Quantum Mechanics Studies. J. Biomol. Struct. Dyn. 2023, 41, 5915–5945. [Google Scholar] [CrossRef] [PubMed]
- Wang, L.-T.; Fan, X.-H.; Jian, Y.; Dong, M.-Z.; Yang, Q.; Meng, D.; Fu, Y.-J. A Sensitive and Selective Multiple Reaction Monitoring Mass Spectrometry Method for Simultaneous Quantification of Flavonol Glycoside, Terpene Lactones, and Biflavonoids in Ginkgo biloba Leaves. J. Pharm. Biomed. Anal. 2019, 170, 335–340. [Google Scholar] [CrossRef] [PubMed]
- Thamkaew, G.; Sjöholm, I.; Galindo, F.G. A Review of Drying Methods for Improving the Quality of Dried Herbs. Crit. Rev. Food Sci. Nutr. 2021, 61, 1763–1786. [Google Scholar] [CrossRef]
- Rahimmalek, M.; Goli, S.A.H. Evaluation of Six Drying Treatments with Respect to Essential Oil Yield, Composition and Color Characteristics of Thymys Daenensis Subsp. Daenensis. Celak Leaves. Ind. Crops Prod. 2013, 42, 613–619. [Google Scholar] [CrossRef]
- Jurinjak Tušek, A.; Šamec, D.; Šalić, A. Modern Techniques for Flavonoid Extraction—To Optimize or Not to Optimize? Appl. Sci. 2022, 12, 11865. [Google Scholar] [CrossRef]
- Krakowska-Sieprawska, A.; Kiełbasa, A.; Rafińska, K.; Ligor, M.; Buszewski, B. Modern Methods of Pre-Treatment of Plant Material for the Extraction of Bioactive Compounds. Molecules 2022, 27, 730. [Google Scholar] [CrossRef] [PubMed]
- Belwal, T.; Cravotto, C.; Prieto, M.A.; Venskutonis, P.R.; Daglia, M.; Devkota, H.P.; Baldi, A.; Ezzat, S.M.; Gómez-Gómez, L.; Salama, M.M.; et al. Effects of Different Drying Techniques on the Quality and Bioactive Compounds of Plant-Based Products: A Critical Review on Current Trends. Dry. Technol. 2022, 40, 1539–1561. [Google Scholar] [CrossRef]
- Hu, L.; Wang, C.; Guo, X.; Chen, D.; Zhou, W.; Chen, X.; Zhang, Q. Flavonoid Levels and Antioxidant Capacity of Mulberry Leaves: Effects of Growth Period and Drying Methods. Front. Plant Sci. 2021, 12, 684974. [Google Scholar] [CrossRef] [PubMed]
- Yap, J.Y.; Hii, C.L.; Ong, S.P.; Lim, K.H.; Abas, F.; Pin, K.Y. Effects of Drying on Total Polyphenols Content and Antioxidant Properties of Carica papaya Leaves. J. Sci. Food Agric. 2020, 100, 2932–2937. [Google Scholar] [CrossRef] [PubMed]
- Ibrahim, N.; Mat, I.; Lim, V.; Ahmad, R. Antioxidant Activity and Phenolic Content of Streblus Asper Leaves from Various Drying Methods. Antioxidants 2013, 2, 156–166. [Google Scholar] [CrossRef]
- Roshanak, S.; Rahimmalek, M.; Goli, S.A.H. Evaluation of Seven Different Drying Treatments in Respect to Total Flavonoid, Phenolic, Vitamin C Content, Chlorophyll, Antioxidant Activity and Color of Green Tea (Camellia sinensis or C. assamica) Leaves. J. Food Sci. Technol. 2016, 53, 721–729. [Google Scholar] [CrossRef]
- Nguyen, Q.-V.; Doan, M.-D.; Bui Thi, B.-H.; Nguyen, M.-T.; Tran Minh, D.; Nguyen, A.-D.; Le, T.-M.; Nguyen, T.-H.; Nguyen, T.-D.; Tran, V.-C.; et al. The Effect of Drying Methods on Chlorophyll, Polyphenol, Flavonoids, Phenolic Compounds Contents, Color and Sensory Properties, and in Vitro Antioxidant and Anti-Diabetic Activities of Dried Wild Guava Leaves. Dry. Technol. 2023, 41, 1291–1302. [Google Scholar] [CrossRef]
- Shonte, T.T.; Duodu, K.G.; de Kock, H.L. Effect of Drying Methods on Chemical Composition and Antioxidant Activity of Underutilized Stinging Nettle Leaves. Heliyon 2020, 6, e03938. [Google Scholar] [CrossRef]
- Cui, Q.; Wang, Y.; Zhou, W.; He, S.; Yang, M.; Xue, Q.; Wang, Y.; Zhao, T.; Cao, J.; Khan, A.; et al. Phenolic Composition, Antioxidant and Cytoprotective Effects of Aqueous-methanol Extract from Anneslea Fragrans Leaves as Affected by Drying Methods. Int. J. Food Sci. Technol. 2021, 56, 4807–4819. [Google Scholar] [CrossRef]
- Bai, J.-W.; Xiao, H.-W.; Ma, H.-L.; Zhou, C.-S. Artificial Neural Network Modeling of Drying Kinetics and Color Changes of Ginkgo biloba Seeds during Microwave Drying Process. J. Food Qual. 2018, 2018, 3278595. [Google Scholar] [CrossRef]
- Boateng, I.D.; Yang, X.-M. Thermal and Non-Thermal Processing Affect Maillard Reaction Products, Flavor, and Phytochemical Profiles of Ginkgo biloba Seed. Food Biosci. 2021, 41, 101044. [Google Scholar] [CrossRef]
- Boateng, I.D.; Yang, X.-M.; Tahany, A.A.A.; Li, Y.-Y. Yolandani Drying Methods Affect Organoleptic and Physicochemical Properties of Rehydrated Ginkgo Seed Slices. Ind. Crops Prod. 2021, 160, 113166. [Google Scholar] [CrossRef]
- Amoussa, A.M.O.; Zhang, L.; Lagnika, C.; Riaz, A.; Zhang, L.; Liu, X.; Beta, T. Effects of Preheating and Drying Methods on Pyridoxine, Phenolic Compounds, Ginkgolic Acids, and Antioxidant Capacity of Ginkgo biloba Nuts. J. Food Sci. 2021, 86, 4197–4208. [Google Scholar] [CrossRef] [PubMed]
- Gong, H.; Wang, W.; Wang, T.; Yu, N. Colors, Bioactive Compounds, and Antioxidant Capacity of Ginkgo biloba Seeds Affected by Drying Conditions. J. Food Meas. Charact. 2021, 15, 3953–3961. [Google Scholar] [CrossRef]
- Lee, C.Y.; Jaworski, A.W. Phenolics and Browning Potential of White Grapes Grown in New York. Am. J. Enol. Vitic. 1988, 39, 337–340. [Google Scholar] [CrossRef]
- Lichtenthaler, H.K.; Buschmann, C. Chlorophylls and Carotenoids: Measurement and Characterization by UV-VIS Spectroscopy. Curr. Protoc. Food Anal. Chem. 2001, 1, F4.3.1–F4.3.8. [Google Scholar] [CrossRef]
- Singleton, V.L.; Rossi, J.A. Colorimetry of Total Phenolics with Phosphomolybdic-Phosphotungstic Acid Reagents. Am. J. Enol. Vitic. 1965, 16, 144–158. [Google Scholar] [CrossRef]
- Zhishen, J.; Mengcheng, T.; Jianming, W. The Determination of Flavonoid Contents in Mulberry and Their Scavenging Effects on Superoxide Radicals. Food Chem. 1999, 64, 555–559. [Google Scholar] [CrossRef]
- Končić, M.Z.; Kremer, D.; Gruz, J.; Strnad, M.; Biševac, G.; Kosalec, I.; Šamec, D.; Piljac-Žegarac, J.; Karlović, K. Antioxidant and Antimicrobial Properties of Moltkia petraea (Tratt.) Griseb. Flower, Leaf and Stem Infusions. Food Chem. Toxicol. 2010, 48, 1537–1542. [Google Scholar] [CrossRef]
- Brand-Williams, W.; Cuvelier, M.E.; Berset, C. Use of a Free Radical Method to Evaluate Antioxidant Activity. LWT-Food Sci. Technol. 1995, 28, 25–30. [Google Scholar] [CrossRef]
- Chu, Q.; Li, L.; Duan, X.; Zhao, M.; Wang, Z.; Wang, Z.; Ren, X.; Li, C.; Ren, G. Effect Mechanism of Different Drying Methods on the Quality and Browning for Daylily. LWT 2023, 182, 114862. [Google Scholar] [CrossRef]
- Chung, H.-S.; Lee, J.H. Comparative Evaluation of Physicochemical Properties of Pine Needle Powders Prepared by Different Drying Methods. Prev. Nutr. Food Sci. 2015, 20, 143–147. [Google Scholar] [CrossRef] [PubMed][Green Version]
- Yilmaz, A.; Alibas, I. The Impact of Drying Methods on Quality Parameters of Purple Basil Leaves. J. Food Process. Preserv. 2021, 45, e15638. [Google Scholar] [CrossRef]
- Chou, S.; Chen, B.; Chen, J.; Wang, M.; Wang, S.; Croft, H.; Shi, Q. Estimation of Leaf Photosynthetic Capacity from the Photochemical Reflectance Index and Leaf Pigments. Ecol. Indic. 2020, 110, 105867. [Google Scholar] [CrossRef]
- Shittu, S.K.; Shehu, M.I.; Suleiman, J. Effect of the Drying Method on the Quality and Drying Characteristic of Mint Leaves (Mentha spicata L.). Fudma J. Sci. 2021, 5, 72–78. [Google Scholar] [CrossRef]
- Rubinskienė, M.; Viškelis, P.; Dambrauskienė, E.; Viškelis, J.; Karklelienė, R. Effect of Drying Methods on the Chemical Composition and Colour of Peppermint (Mentha × Piperita L.) Leaves. Zemdirb. Agric. 2015, 102, 223–228. [Google Scholar] [CrossRef]
- Nabi, F.; Arain, M.A.; Rajput, N.; Alagawany, M.; Soomro, J.; Umer, M.; Soomro, F.; Wang, Z.; Ye, R.; Liu, J. Health Benefits of Carotenoids and Potential Application in Poultry Industry: A Review. J. Anim. Physiol. Anim. Nutr. 2020, 104, 1809–1818. [Google Scholar] [CrossRef]
- Del Monte, D.; De Martino, L.; Marandino, A.; Fratianni, F.; Filomena Nazzaro, F.; De Feo, V. Phenolic content, antimicrobial and antioxidant activities of Hypericum perfoliatum L. Ind. Crops Prod. 2015, 74, 342–347. [Google Scholar] [CrossRef]
- Hazler Pilepić, K.; Maleš, Ž. Quantitative analysis of polyphenols in eighteen Hypericum taxa. Period. Biol. 2013, 115, 459–462. [Google Scholar]
- Xie, Z.; Liu, W.; Huang, H.; Slavin, M.; Zhao, Y.; Whent, M.; Blackford, J.; Lutterodt, H.; Zhou, H.; Chen, P.; et al. Chemical Composition of Five Commercial Gynostemma pentaphyllum Samples and Their Radical Scavenging, Antiproliferative, and Anti-inflammatory Properties. J. Agric. Food Chem. 2010, 58, 11243–11249. [Google Scholar] [CrossRef]
- Vladimir-Knežević, S.; Blažeković, B.; Bival Štefan, M.; Alegro, A.; Kőszegi, T.; Petrik, J. Antioxidant Activities and Polyphenolic Contents of Three Selected Micromeria Species from Croatia. Molecules 2011, 16, 1454–1470. [Google Scholar] [CrossRef]
- Casagrande, M.; Zanela, J.; Wagner, A.; Busso, C.; Wouk, J.; Iurckevicz, G.; Montanher, P.F.; Yamashita, F.; Malfatti, C.R.M. Influence of Time, Temperature and Solvent on the Extraction of Bioactive Compounds of Baccharis Dracunculifolia: In Vitro Antioxidant Activity, Antimicrobial Potential, and Phenolic Compound Quantification. Ind. Crops Prod. 2018, 125, 207–219. [Google Scholar] [CrossRef]
- Chen, X.; Zhong, W.; Shu, C.; Yang, H.; Li, E. Comparative Analysis of Chemical Constituents and Bioactivities of the Extracts from Leaves, Seed Coats and Embryoids of Ginkgo biloba L. Nat. Prod. Res. 2021, 35, 5498–5501. [Google Scholar] [CrossRef] [PubMed]
- O’Brien, K.; Matlin, A.J.; Lowell, A.M.; Moore, M.J. The Biflavonoid Isoginkgetin Is a General Inhibitor of Pre-MRNA Splicing. J. Biol. Chem. 2008, 283, 33147–33154. [Google Scholar] [CrossRef] [PubMed]
- Goh, L.M.; Barlow, P.J.; Yong, C.S. Examination of Antioxidant Activity of Ginkgo biloba Leaf Infusions. Food Chem. 2003, 82, 275–282. [Google Scholar] [CrossRef]
- Suárez-González, E.; Sandoval-Ramírez, J.; Flores-Hernández, J.; Carrasco-Carballo, A. Ginkgo biloba: Antioxidant Activity and In Silico Central Nervous System Potential. Curr. Issues Mol. Biol. 2023, 45, 9674–9691. [Google Scholar] [CrossRef]
- Agati, G.; Brunetti, C.; Fini, A.; Gori, A.; Guidi, L.; Landi, M.; Sebastiani, F.; Tattini, M. Are Flavonoids Effective Antioxidants in Plants? Twenty Years of Our Investigation. Antioxidants 2020, 9, 1098. [Google Scholar] [CrossRef]
- Jurčević Šangut, I.; Šarkanj, B.; Karalija, E.; Šamec, D. A Comparative Analysis of Radical Scavenging, Antifungal and Enzyme Inhibition Activity of 3′-8″-Biflavones and Their Monomeric Subunits. Antioxidants 2023, 12, 1854. [Google Scholar] [CrossRef] [PubMed]





| Freeze Drying | Air Drying | Oven Drying | |
|---|---|---|---|
| Chlorophyll a (µg/g dw) | 64.40 ± 2.03 b | 20.32 ± 0.95 c | 86.27 ± 3.12 a |
| Chlorophyll b (µg/g dw) | 22.78 ± 1.52 b | 15.15 ± 0.93 c | 30.74 ± 3.59 a |
| Total chlorophylls (µg/g dw) | 87.18 ± 2.81 b | 35.47 ± 1.86 c | 117.01 ± 6.54 a |
| Total carotenoids (µg/g dw) | 174.78 ± 8.04 a | 164.60 ± 5.81 a | 159.8 ± 6.03 a |
| Chlorophyll a/Chlorophyll b | 2.84 ± 0.20 a | 1.34 ± 0.03 b | 2.84 ± 0.26 a |
| Chlorophylls/carotenoids | 0.50 ± 0.01 b | 0.22 ± 0.01 c | 0.73 ± 0.02 a |
Disclaimer/Publisher’s Note: The statements, opinions and data contained in all publications are solely those of the individual author(s) and contributor(s) and not of MDPI and/or the editor(s). MDPI and/or the editor(s) disclaim responsibility for any injury to people or property resulting from any ideas, methods, instructions or products referred to in the content. |
© 2024 by the authors. Licensee MDPI, Basel, Switzerland. This article is an open access article distributed under the terms and conditions of the Creative Commons Attribution (CC BY) license (https://creativecommons.org/licenses/by/4.0/).
Share and Cite
Jurčević Šangut, I.; Pavličević, L.; Šamec, D. Influence of Air Drying, Freeze Drying and Oven Drying on the Biflavone Content in Yellow Ginkgo (Ginkgo biloba L.) Leaves. Appl. Sci. 2024, 14, 2330. https://doi.org/10.3390/app14062330
Jurčević Šangut I, Pavličević L, Šamec D. Influence of Air Drying, Freeze Drying and Oven Drying on the Biflavone Content in Yellow Ginkgo (Ginkgo biloba L.) Leaves. Applied Sciences. 2024; 14(6):2330. https://doi.org/10.3390/app14062330
Chicago/Turabian StyleJurčević Šangut, Iva, Lana Pavličević, and Dunja Šamec. 2024. "Influence of Air Drying, Freeze Drying and Oven Drying on the Biflavone Content in Yellow Ginkgo (Ginkgo biloba L.) Leaves" Applied Sciences 14, no. 6: 2330. https://doi.org/10.3390/app14062330
APA StyleJurčević Šangut, I., Pavličević, L., & Šamec, D. (2024). Influence of Air Drying, Freeze Drying and Oven Drying on the Biflavone Content in Yellow Ginkgo (Ginkgo biloba L.) Leaves. Applied Sciences, 14(6), 2330. https://doi.org/10.3390/app14062330

