Abstract
An integrated quasi-vertical double-diffused MOSFET (DMOS) with split-gate trench (SGT) structure (SGT-QVDMOS), whose specific ON-state resistance (RON,sp) breaks the traditional Si limit significantly, is proposed and fabricated. The measured data of the latest manufactured device is presented. By introducing the vertical gate poly, the split grounded source poly, and the asymmetric thick oxide in the gate trench, the traditional lateral drift region is folded in the SGT-QVDMOS. In this way, the device voltage withstanding mode transforms from one dimension to two dimensions, including the horizontal and the vertical directions. Combining the electric field modulation effect and the reduced lateral area, which benefit from the quasi-vertical structure, the forward conducting characteristic of the SGT-QVDMOS is effectively improved. According to the measured results from the SGT-QVDMOS manufactured by the 180 nm Bipolar-CMOS-DMOS (BCD) process, the ultralow ON-state resistance is obtained. The device achieves 1.9 V VTH, 11.07 mΩ∙mm2 RON,sp, and 48.6 V BV, which is 39.0% lower than the traditional Si limit.
1. Introduction
Owing to the advantages of fast switching, simple driving, easily being isolated in integrated circuits (ICs), and compatibility with Bipolar-CMOS-DMOS (BCD) technology, lateral double-diffused MOSFETs (LDMOS) are the most common power devices adopted by power conversion circuits [,,]. However, for the blocking voltage (BV), which is proportional to the length of the drift region, the conducting and the blocking characteristics of the traditional LDMOS devices are mainly decided by the relatively large lateral size, limiting the reduction in the specific ON-state resistance (RON,sp). Therefore, wide attention has been paid to optimizing the tradeoff between the BV and the RON,sp of LDMOS, trying to achieve supreme conducting characteristics [,,,,].
On the other hand, for discrete devices like vertical double-diffused MOSFETs (VDMOS), the drift region is located in the vertical direction, making the BV independent of the chip area []. The current density is then increased obviously, providing an idea to improve the RON,sp of LDMOS. Technologies including the dielectric trench or field oxide in the drift region [,,,], the multi-channel trench structure [,], the vertical trench [], and the step split gate [] have been promoted and investigated. All of them verticalize the part or the entire lateral drift region, aiming to break the limit of the RON,sp for LDMOS.
To find a novel solution to further improve the conducting performances of the power devices in integrated circuits, a quasi-vertical DMOS with a split-gate trench (SGT) structure (SGT-QVDMOS), which combines the benefits of both LDMOS and VDMOS, has been preliminarily proposed []. In this work, the conducting and blocking characteristics of the device are comprehensively analyzed. Demonstrated by the simulation and the latest experiment results, the SGT-QVDMOS with ultralow RON,sp is achieved.
2. Device Structure and Working Mechanism
2.1. Device Structure
The schematic diagram of the SGT-QVDMOS is presented in Figure 1a. Compared with the 120 V rating left-right SGT structure in [], the device proposed here adopts an up–down SGT structure. This is because the cell pitch of the up–down SGT structure has more advantages in miniaturization. Therefore, SGT MOSFETs with tens of voltage usually adopt the up–down structure. As shown in Figure 1a, a narrow and deep gate trench is introduced to fold the traditional lateral N-drift region, forming the basic quasi-vertical structure of this device. The source and the drain are on the surface, located on each side of the gate trench. Figure 1b shows the cross-section of the cell region, which is designed to be asymmetric. On the source side, a vertical gate poly (GP) is introduced, which controls the P-body to form the channel. The thickness of the gate oxide (TGOX) here is set to be 140 Å. On the other side, to sustain the high gate–drain electric field, the oxide is relatively thick. Moreover, a split gate is adopted, which is the grounded source poly (SP) at the bottom of the trench. The SP and the drift region form a MOS-like structure, providing charge balance under the blocking state, and assisting the expansion of the depletion layer in the drift region. The SP also works as a field plate, which enhances the electric field modulation effect, introducing new electric field peaks in the drift region to increase the BV. The pitch size (W) of the cell in Figure 1b is 0.9 μm, while the mesa width (WTO) is 0.4 μm.

Figure 1.
Schematic diagrams of the SGT-QVDMOS. (a) The 3D diagram of the entire device and (b) the cross-section of the cell structure.
In a BCD process, which is a mainstream semiconductor process combining Bipolar (for analog parts), COMS (for logic parts), and DMOS (for power parts) fabrication flows suitable for power integrated circuits, the SGT-QVDMOS is mainly manufactured in a high voltage N-well. The contacts of the gate and the SP are in the P-epi layer, just as shown in Figure 1a.
The critical dimensions are presented in Figure 1b. Wtr is the width of the trench, while WG is the thickness of the GP. TXO1, TOX2, and TFOX are the thicknesses of the oxide layers on the drain side, between the gate and the SP, at the trench bottom, respectively. LG, LS, and Htr are the length of the GP, the length of the SP, and the depth of the gate trench.
All the dimensions above and the doping concentrations of the P-body (Npb), the N-drift (Ndr), and the N+ region (Nn+) are listed in Table 1. Apparently, all these parameters need to be carefully designed to obtain an excellent tradeoff between the BV and the RON,sp. Theoretically, a too-thick WG makes the TOX1 thinner, affecting the electric field near the drain and decreasing the BV. However, the WG cannot be too thin to make the BV degrade as well. Meanwhile, the RON,sp decreases when the WG becomes thicker since the GP accumulates electrons near the trench surface on the drain side. Because the LG determines the length of the channel, a large LG will lead to an elevated RON,sp. At the same time, the charge balance effect deteriorates when the LS is too small, resulting in a significant decrease in the BV and an increase in the RON,sp. The TFOX has negligible impact on the RON,sp, as it is very thin. However, when it is too thin, the BV also decreases. Increasing the Htr lengthens the conduction path of the device, thereby increasing its RON,sp. The WTO is a key parameter, which seriously affects the device performance. When it is too small, the narrow current path increases the RON,sp. When it is too large, the drift region cannot be completely depleted, hence decreasing the BV. By increasing the Ndr, the resistivity decreases, leading to a drop in the RON,sp. However, the RESURF effect of the SP also becomes weak, leading to the degradation in the BV. Moreover, the increase in Npb raises the VTH, increasing the RON,sp, while the BV is not influenced as long as the Npb is high enough.

Table 1.
Key parameters of the SGT-QVDMOS.
Based on the analysis above, all the critical parameters have been well designed in the preliminary work []. The optimized parameters are listed in Table 1, which are adopted to simulate and fabricate the SGT-QVDMOS.
2.2. Conducting and Blocking Mechanism
With the help of Sentaurus TCAD, the conducting and blocking characteristics are analyzed. When the SGT-QVDMOS is ON, the electrons flow from the source, along the side wall of the trench, down to the bottom, and then up to the drain port. It generates the current path shown in Figure 2a. The transfer characteristic of the device is simulated and plotted in Figure 2b. The threshold voltage (VTH) is extracted to be 1.88 V. Under VGS = 5 V and VDS = 0.1 V condition, the simulated IDS is 10.63 μA/μm, equaling an RON,sp of 8.46 mΩ∙mm2.

Figure 2.
Simulated (a) distribution of forward current path in the SGT-QVDMOS, and (b) the transfer characteristic of the device.
Figure 3a shows the distribution of the electric field in the SGT-QVDMOS under the breakdown state. The peak electric field (Epeak) appears in five areas, namely the left bottom corner of the GP, two sides of the bottom corner of the trench, the top right corner of the SP, and the area below the drain electrode. After careful simulation, the five electric field peaks are basically the same. It achieves a similar effect to the super junction structure, which can obviously improve the tradeoff between the BV and the RON,sp. At this time, the withstanding voltage of the device reaches the maximum. The simulated blocking characteristic is shown in Figure 3b. The BV of the device is 51.6 V. It significantly breaks the traditional Si limit [] by reducing 58.6% of the RON,sp, as shown in Figure 7. By adjusting the parameters in Table 1, the SGT-QVDMOS structure can also be applied in other BV classes. The theoretical results are marked in Figure 7.

Figure 3.
Simulated (a) distribution of the electric field along the oxide interface under the breakdown state with VDS = BV, and (b) the blocking characteristic of the SGT-QVDMOS.
3. Fabrication and Result Discussions
3.1. Process and Fabrication
The proposed SGT-QVDMOS is manufactured by a 180 nm BCD process. The key process flow is shown in Figure 4. During wafer preparation, an implanted N-well is formed on a P-type substrate. A 1.5 μm trench is formed by reactive ion etching technology, followed by the deposition of an oxide layer in the trench. The N-type polysilicon is then deposited into the trench and is etched back to form the SP. Prior to the formation of the gate oxide, the former deposited oxide needs to be removed. A gate oxide layer is formed by sacrificial oxidation technique and hot oxygen growth. Another poly layer is then deposited and etched back to form the asymmetric GP. Then, the P-body, the N+, and the P+ regions are implanted. Finally, the silicide and the aluminum are deposited to form the Ohmic contact.

Figure 4.
The key process flow of the SGT-QVDMOS based on the 180 nm BCD technology.
The SEM photograph of the manufactured SGT-QVDMOS is shown in Figure 5. Clearly, the main structures of the STG-QVDMOS, including the gate trench, the vertical GP, the split SP, and the thick oxide on the drain side, are all well made. What should be noted is that compared with the 250 Å gate oxide in [], the gate oxide here is reduced to 140 Å to achieve a lower VTH (from 3.7 V down to 1.9 V) and a stronger conducting capability under VGS = 5 V, which is a normal driving condition for an integrated DMOS.

Figure 5.
SEM photograph of the manufactured SGT-QVDMOS, whose cell structure is enlarged in the red square.
3.2. Measurement Results and Discussions
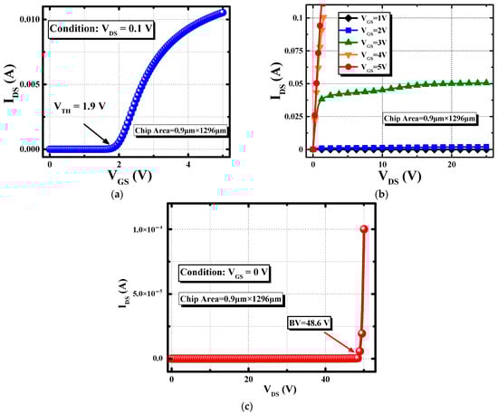
The measured curves of the transfer, the conducting, and the blocking characteristics of the device are plotted in Figure 6. The chip area of each test key is 0.9 × 1296 mm2. As shown in Figure 6a, a VTH of 1.9 V is achieved, ensuring a normal conducting state under the VGS = 5 V condition, which can be proved by the ID-VD curve in Figure 6b. Unlike the conducting characteristic in [], the current increment under 5 V gate-source bias becomes saturated, implying that the channel is fully inversed now. Meanwhile, a BV of 48.6 V is obtained, just as presented in Figure 6c, indicating that the SGT-QVDMOS maintains a good blocking property. The measured results of a manufactured device are consistent with the designed values. It demonstrates that the design and the fabrication in this work match well.

Figure 6.
Measured (a) transfer, (b) conducting, and (c) blocking characteristics of the SGT-QVDMOS.
Extracted from the IDS-VGS curve under VGS = 5 V and VDS = 0.1 V condition, the RON,sp of the device is 11.07 mΩ∙mm2. Taking the 48.6 V BV into consideration, the manufactured SGT-QVDMOS breaks the traditional Si limit significantly. A 39.0% reduction in the RON,sp is achieved, as presented in Figure 7. Typical milestones reported by other researchers are also presented as comparisons [,,,,,,].

Figure 7.
Comparison among the SGT-QVDMOS in this work and other reported milestones, considering the performances of RON,sp and BV [,,,,,,].
It demonstrates the correctness and the practicality of the SGT-QVDMOS structure. On the one hand, the device has an optimal BV and RON,sp tradeoff that is comparable to discrete SGT-MOS devices. On the other hand, the preparation of the device is compatible with the 0.18 µm BCD process and thereby has the advantage of integration. In general, the device overcomes the disadvantages of discrete devices and integrated devices and combines the advantages of both. It has an advantageous performance in the same type of devices under the identical voltage rating.
4. Conclusions
An integrated SGT-QVDMOS device compatible with the BCD process is designed and fabricated in this work. The quasi-vertical structure, which is realized by the asymmetric gate trench and the vertical GP, modifies the drift region from the horizontal direction to the vertical direction, improving the conducting characteristic. Moreover, the split poly at the bottom of the gate trench is adopted. It helps modify the depletion layer in the drift region, contributing to the reduction in the RON. The manufactured SGT-QVDMOS expresses a VTH of 1.9 V and a BV of 48.6 V. Taking the 11.07 mΩ∙mm2 RON,sp under VGS = 5 V and VDS = 0.1 V into consideration, it breaks the traditional Si limit significantly, achieving a 39.0% RON,sp reduction. The advantages of the SGT-QVDMOS structure, finally, are demonstrated. It is a promising integrated power device solution to further improve the integration and power density of power ICs. In order to industrialize the SGT-QVDMOS and the corresponding BCD process platform, more efforts are expected to be put into investigating the system-level performance and improving the reliability of this device in the near future.
Author Contributions
Conceptualization, F.L., T.W. and J.W.; methodology, F.L., J.W., S.L. (Siyang Liu) and W.S.; software, W.W., Z.W. and Y.Z.; investigation, F.L., T.W., Y.Z., J.W. and S.L. (Siyang Liu); data curation, W.W., Z.W., Y.Z., R.Y., S.L. (Sheng Li) and L.Z.; writing—original draft preparation, F.L. and T.W.; writing—review and editing, J.W., S.L. (Siyang Liu) and W.S.; funding acquisition, J.W., S.L. (Siyang Liu) and W.S. All authors have read and agreed to the published version of the manuscript.
Funding
This research study was funded in part by the National Natural Science Foundation of China under grant 62434002 and grant 62174029; in part by the Fundamental Research Funds for the Central Universities under grant 2242024RCB0028; in part by the Science and Technology Major Project of Jiangsu Province under grant BG2024001; in part by the Fund for Transformation of Scientific and Technological Achievements of Jiangsu Province under grant BA2023001; in part by the Natural Science Foundation of Jiangsu Province under grant BK20232027; in part by the Distinguished Young Scientists Foundation of Jiangsu Province under grant BK20230025; and in part by the Fund for Transformation of Scientific and Technological Achievements of Wuxi City under grant C20231021.
Data Availability Statement
Data are contained within the article.
Conflicts of Interest
Authors Feng Lin and Yi Zhang were employed by the company CSMC Technologies Corporation. The remaining authors declare that the research was conducted in the absence of any commercial or financial relationships that could be construed as a potential conflict of interest.
References
- He, N.; Zhang, S.; Zhu, X.; Li, X.; Wang, H.; Zhang, W. A 0. 25μm700V BCD Technology with Ultra-Low Specific On-Resistance SJ-LDMOS. In Proceedings of the IEEE 32nd International Symposium on Power Semiconductor Devices and ICs (ISPSD) 2020, Vienna, Austria, 13–18 September 2020; pp. 419–422. [Google Scholar] [CrossRef]
- Cao, Z.; Wang, Q.; Jiao, L. Analytical Study on a 700 V Triple RESURF LDMOS With a Variable High-K Dielectric Trench. IEEE Trans. Electron Devices 2020, 68, 2872–2878. [Google Scholar] [CrossRef]
- Zhang, B.; Zhang, W.; Zhu, L.; Zu, J.; Qiao, M.; Li, Z. Review of technologies for high-voltage integrated circuits. Tsinghua Sci. Technol. 2022, 27, 495–511. [Google Scholar] [CrossRef]
- Li, M.; Duan, B.; Yang, Y. New Strained Lateral MOSFET With Ultralow On-Resistance by Surrounded Stress Dielectric Layer. IEEE Electron Device Lett. 2022, 43, 525–528. [Google Scholar] [CrossRef]
- Duan, B.; Tang, C.; Song, K.; Wang, Y.; Yang, Y. Novel SOI LDMOS Without RESURF Effect by Flexible Substrate for Flexible Electronic Systems. IEEE Trans. Electron Devices 2021, 68, 4150–4155. [Google Scholar] [CrossRef]
- Zhang, B.; Zhang, W.; Zu, J.; Qiao, M.; Zhang, S.; Zhang, Z.; He, B.; Li, Z. Novel Homogenization Field Technology in Lateral Power Devices. IEEE Electron Device Lett. 2020, 41, 1677–1680. [Google Scholar] [CrossRef]
- Chen, S.; Liao, B.; Dong, J.; Wang, T.; Wang, S.; Yang, H.; Peng, Y.; Huang, S.; Gan, J. Study on 20 V LDMOS With Stepped-Gate-Oxide Structure for PMIC Applications: Design, Fabrication, and Characterization. IEEE Trans. Electron Devices 2022, 69, 878–881. [Google Scholar] [CrossRef]
- Wei, J.; Ma, Z.; Luo, X.; Li, C.; Song, H.; Zhang, S.; Zhang, B. Experimental Realization of Ultralow ON-Resistance LDMOS With Optimized Layout. IEEE Trans. Electron Devices 2021, 68, 4168–4172. [Google Scholar] [CrossRef]
- Toyoda, Y.; Katakura, H.; Ooe, T.; Iwaya, M.; Sumida, H. 60V-Class Power IC Technology for an Intelligent Power Switch with an Integrated Trench MOSFET. In Proceedings of the IEEE 25th International Symposium on Power Semiconductor Devices & IC’s (ISPSD) 2013, Kanazawa, Japan, 26–30 May 2013; pp. 147–150. [Google Scholar] [CrossRef]
- Mehrad, M. Thin layer oxide in the drift region of laterally double-diffused metal oxide semiconductor on silicon-on-insulator: A novel device structure enabling reliable high-temperature power transistors. Mater. Sci. Semicon. Proc. 2015, 30, 599–604. [Google Scholar] [CrossRef]
- Wu, L.; Zhang, W.; Shi, Q.; Cai, P.; He, H. Trench SOI LDMOS with vertical field plate. Electron. Lett. 2014, 50, 1982–1984. [Google Scholar] [CrossRef]
- Saadat, A.; Van de Put, M.L.; Edwards, H.; Vandenberghe, W.G. LDMOS Drift Region With Field Oxides: Figure-of-Merit Derivation and Verification. IEEE J. Electron Devices Soc. 2022, 10, 361–366. [Google Scholar] [CrossRef]
- Wang, Y.; Hu, S.; Liu, C.; Wang, J.; Yang, H.; Ran, S.; Jiang, J.; Guo, G. Reducing the specific on-resistance for a trench-gate-integrated SOI LDMOS by using the double silicon drift layers. Results Phys. 2020, 19, 103589. [Google Scholar] [CrossRef]
- Punetha, M.; Singh, Y. Dual-channel trench LDMOS on SOI for RF power amplifier applications. J. Comput. Electron. 2016, 15, 639–645. [Google Scholar] [CrossRef]
- Payal, M.; Singh, Y. A multi-channel trench-gate radio frequency LDMOS on silicon-on-insulator. IETE Tech. Rev. 2017, 34, 246–253. [Google Scholar] [CrossRef]
- Mehrotra, S.; Radic, L.; Grote, B.; Saxena, T.; Qin, G.; Khemka, V.; Thomas, T.; Gibson, M. Towards Ultimate Scaling of LDMOS with Ultralow Specific On-Resistance. In Proceedings of the IEEE 32nd International Symposium on Power Semiconductor Devices and ICs (ISPSD) 2020, Vienna, Austria, 13–18 September 2020; pp. 42–45. [Google Scholar] [CrossRef]
- Wu, L.; Huang, Y.; Wu, Y.; Zhu, L.; Lei, B. Investigation of the stepped split protection gate L-trench SOI LDMOS with ultra-low specific on-resistance by simulation. Mater. Sci. Semicon. Proc. 2019, 101, 272–278. [Google Scholar] [CrossRef]
- Wu, T.; Wei, J.; Wang, W.; Lin, X.; Ma, J.; Li, S.; Ye, R.; Zhang, L.; Ding, D.; Liu, S.; et al. Influence of Structure Parameters on the RON, sp of Quasi-Vertical Power DMOS Compatible with 0.18μm BCD Process. In Proceedings of the IEEE 36th International Symposium on Power Semiconductor Devices and ICs (ISPSD) 2024, Bremen, Germany, 2–6 June 2024; pp. 418–421. [Google Scholar] [CrossRef]
- Yang, H.; Zuo, J.; Zhang, Z.; Min, W.; Lin, X.; Chen, X.; Ger, M.; Hui, P.; Rodriquez, P. Approach to the Silicon Limit: Advanced NLDMOS in 0.13μm SOI Technology for Automotive and Industrial Applications up to 110V. In Proceedings of the IEEE 25th International Symposium on Power Semiconductor Devices and ICs (ISPSD) 2013, Kanazawa, Japan, 26–30 May 2013; pp. 357–360. [Google Scholar] [CrossRef]
- Yuan, N.; Wu, L.; Yang, H.; Song, Y.; Hu, L.; Lei, B.; Zhang, Y. Double trenches LDMOS with trapezoidal gate. Micro Nano Lett. 2018, 13, 695–698. [Google Scholar] [CrossRef]
- Chen, H.; Xu, Z.; Chen, Y.; Fang, M.; Wang, L.; Xiao, L.; Qian, Y.; Song, W.; Tian, T.; Fang, Z.; et al. Low On-Resistance LDMOS with Stepped Field Plates from 12V to 40V in 300-MM 90-NM BCD Technology. In Proceedings of the IEEE China Semiconductor Technology International Conference (CSTIC) 2022, Shanghai, China, 20–21 June 2022; pp. 1–4. [Google Scholar] [CrossRef]
- Wang, Y.; Duan, B.; Yang, Y. Experimental of Folded Accumulation Lateral Double-Diffused Transistor with Low Specific on Resistance. In Proceedings of the IEEE 33rd International Symposium on Power Semiconductor Devices and ICs (ISPSD) 2021, Nagoya, Japan, 30 May–3 June 2021; pp. 195–198. [Google Scholar] [CrossRef]
- Kaushal, K.; Mohapatra, N. A zero-cost technique to improve on-state performance and reliability of power LDMOS transistors. IEEE J. Electron Devices Soc. 2021, 9, 334–341. [Google Scholar] [CrossRef]
- Kojima, J.; Matsuda, J.; Kamiyama, M.; Tsukiji, N.; Kobayashi, H. Optimization and Analysis of High Reliability 30–50V Dual Resurf LDMOS. In Proceedings of the IEEE 13th International Conference on Solid-State and Integrated Circuit Technology (ICSICT) 2016, Hangzhou, China, 25–28 October 2016; pp. 712–714. [Google Scholar] [CrossRef]
- Li, M.; Duan, B.; Yang, Y. New strained slicon-on-insulator lateral MOSFET with ultralow on-resistance by Si1-xGex P-top layer and trench gate. IEEE Electron Device Lett. 2021, 42, 788–791. [Google Scholar] [CrossRef]
Disclaimer/Publisher’s Note: The statements, opinions and data contained in all publications are solely those of the individual author(s) and contributor(s) and not of MDPI and/or the editor(s). MDPI and/or the editor(s) disclaim responsibility for any injury to people or property resulting from any ideas, methods, instructions or products referred to in the content. |
© 2025 by the authors. Licensee MDPI, Basel, Switzerland. This article is an open access article distributed under the terms and conditions of the Creative Commons Attribution (CC BY) license (https://creativecommons.org/licenses/by/4.0/).