Oscillations in Absorption from InGaN/GaN Quantum Well to Continuum
Abstract
1. Introduction
2. The Sample and Computational Methods
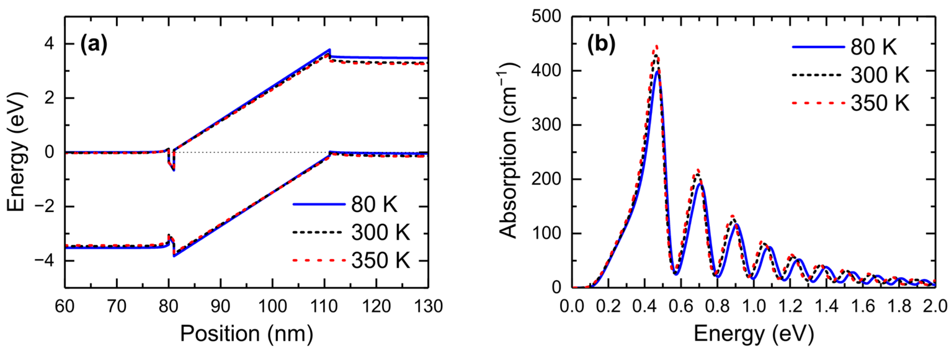
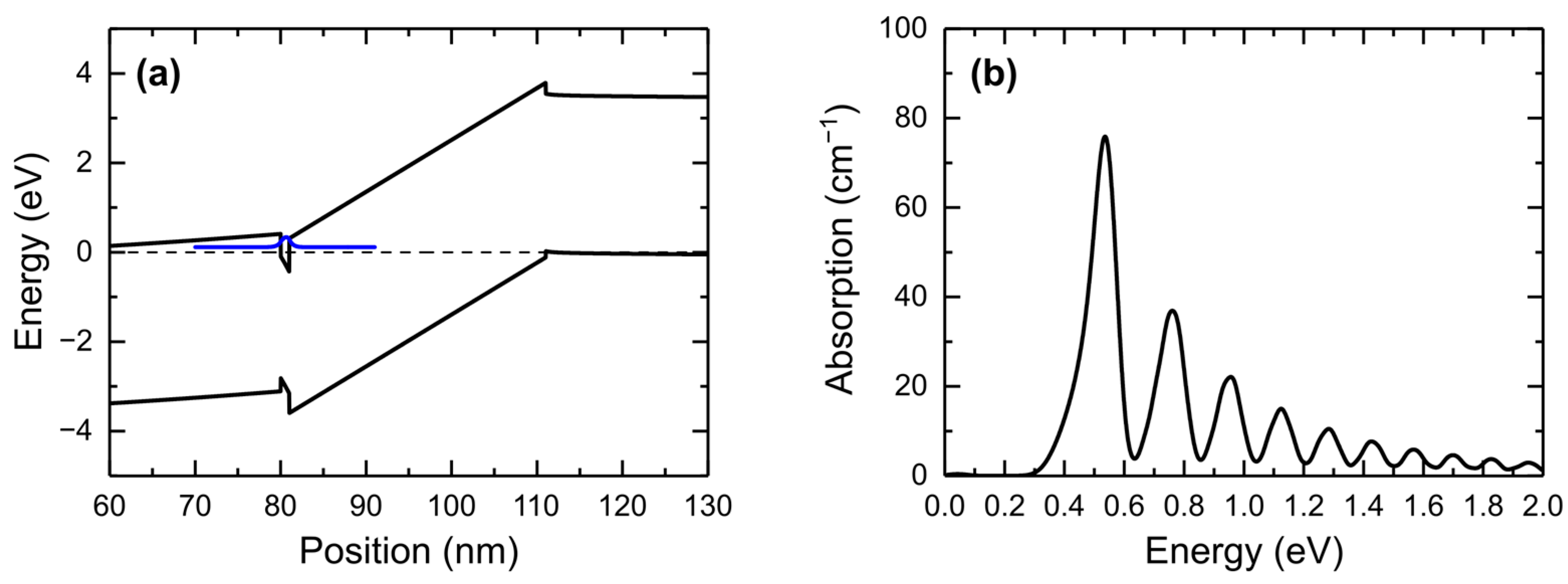
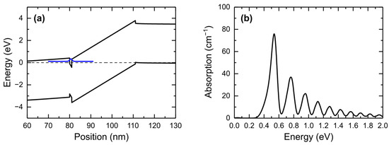
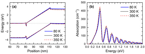
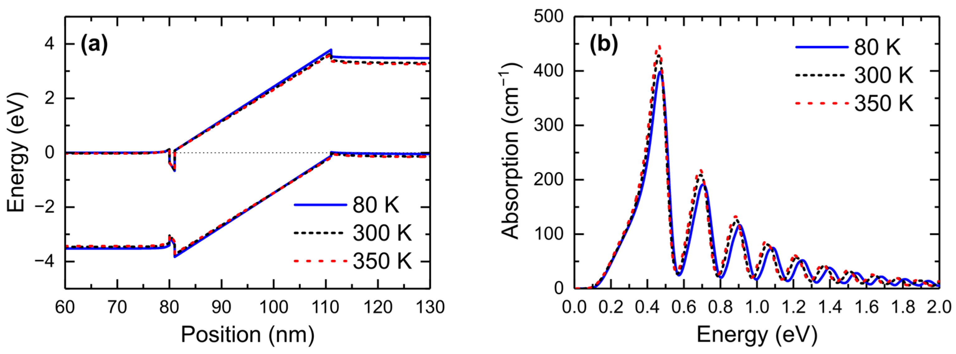
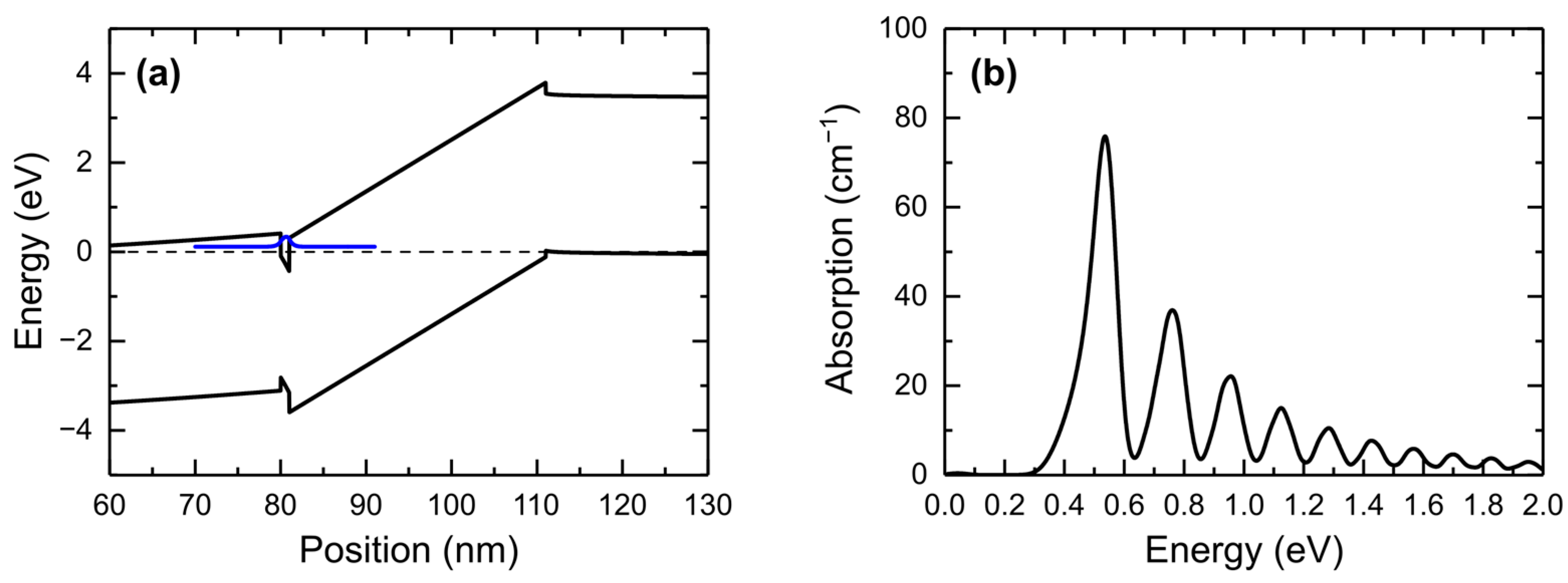
3. Results
4. Summary and Conclusions
Supplementary Materials
Author Contributions
Funding
Data Availability Statement
Conflicts of Interest
References
- Liu, H.C.; Capasso, F. Intersubband Transitions in Quantum Wells: Physics and Device Applications I; Semiconductors and Semimetals; Academic Press: San Diego, CA, USA, 2000; Volume 62. [Google Scholar]
- Fafard, S. Energy levels in quantum wells with capping barrier layer of finite size: Bound states and oscillatory behavior of the continuum states. Phys. Rev. B 1992, 46, 4659–4666. [Google Scholar] [CrossRef] [PubMed]
- Fafard, S.; Fortin, E.; Roth, A.P. Effects of an electric field on the continuum energy levels in InGaAs/GaAs quantum wells terminated with thin cap layers. Phys. Rev. B 1993, 47, 8089–10595. [Google Scholar] [CrossRef]
- Colocci, M.; Martinez-Pastor, J.; Gurioli, M. Above-barrier resonant transitions in AlGaAs/A1As/GaAs heterostructures. Phys. Rev. B 1993, 48, 8089–8094. [Google Scholar] [CrossRef] [PubMed]
- Lee, C.D.; Son, J.S.; Leem, J.Y.; Noh, S.K.; Kyu-Seok Lee Lee, C.; Hwang, I.S.; Park, H.Y. Direct observation of above-barrier quasibound states in InGaAs/AlAs/GaAs quantum wells. Phys. Rev. B 1996, 54, 1541–1544. [Google Scholar] [CrossRef] [PubMed]
- Trzeciakowski, W.; Gurioli, M. Electric-field effects in semiconductor quantum wells. Phys. Rev. B 1991, 44, 3880–3890. [Google Scholar] [CrossRef] [PubMed]
- Kuo, D.M.-T.; Chang, Y.-C. Intersubband electroabsorption spectra of semiconductor quantum wells. J. Appl. Phys. 2000, 87, 2936–2940. [Google Scholar] [CrossRef]
- Vorob’ev, L.E.; Zibik, E.A.; Firsov, D.A.; Shalygin, V.A.; Nashchekina, O.N.; Saidashev, I.I. Modulation of optical absorption of GaAs/AlGaAs quantum wells in a transverse electric field. Semiconductors 1998, 32, 754–756. [Google Scholar] [CrossRef]
- Gmachl, C.; Ng, H.M.; Cho, A.Y. Intersubband absorption in GaN/AlGaN multiple quantum wells in the wavelength range of λ∼1.75–4.2 μm. Appl. Phys. Lett. 2000, 77, 334–336. [Google Scholar] [CrossRef]
- Machhadani, H.; Kandaswamy, P.; Sakr, S.; Vardi, A.; Wirtmüller, A.; Nevou, L.; Guillot, F.; Pozzovivo, G.; Tchernycheva, M.; Lupu, A.; et al. GaN/AlGaN intersubband optoelectronic devices. New J. Phys. 2009, 11, 125023. [Google Scholar] [CrossRef]
- Hofstetter, D.; Baumann, E.; Giorgetta, F.R.; Théron, R.; Wu, H.; Schaff, W.J.; Dawlaty, J.; George, P.A.; Eastman, L.F.; Rana, F.; et al. Intersubband transition-based processes and devices in AlN/GaN-based heterostructures. Proc. IEEE 2010, 98, 1234–1248. [Google Scholar] [CrossRef]
- Beeler, M.; Trichas, E.; Monroy, E. III-nitride semiconductors for intersubband optoelectronics: A review. Semicond. Sci. Technol. 2013, 28, 074022. [Google Scholar] [CrossRef]
- Gładysiewicz, M.; Kudrawiec, R. Random approach to determine the broadening of intersubband and interband transitions in (In)GaN/Al(In)N quantum wells. J. Phys. Condens. Matter 2010, 22, 485801. [Google Scholar] [CrossRef]
- Yıldırım, H.; Aslan, B. Intersubband transitions in InGaN/InGaN/GaN staggered quantum wells. J. Appl. Phys. 2014, 115, 164306. [Google Scholar] [CrossRef]
- Chen, G.; Wang, X.Q.; Rong, X.; Wang, P.; Xu, F.J.; Tang, N.; Qin, Z.X.; Chen, Y.H.; Shen, B. Intersubband Transition in GaN/InGaN Multiple Quantum Wells. Sci. Rep. 2015, 5, 11485. [Google Scholar] [CrossRef]
- Monavarian, M.; Xu, J.; Fireman, M.N.; Nookala, N.; Wu, F.; Bonef, B.; Qwah, K.S.; Young, E.C.; Belkin, M.A.; Speck, J.S. Structural and optical properties of nonpolar m- and a-plane GaN/AlGaN heterostructures for narrow-linewidth mid-infrared intersubband transitions. Appl. Phys. Lett. 2020, 116, 201103. [Google Scholar] [CrossRef]
- Wu, Y.-R.; Chiu, C.; Chang, C.-Y.; Yu, P.; Kuo, H.-C. Size-Dependent Strain Relaxation and Optical Characteristics of InGaN/GaN Nanorod LEDs. IEEE J. Sel. Top. Quantum Electron. 2009, 15, 1226–1233. [Google Scholar] [CrossRef]
- Wu, Y.-R.; Shivaraman, R.; Wang, K.-C.; Speck, J.S. Analyzing the physical properties of InGaN multiple quantum well light emitting diodes from nano scale structure. Appl. Phys. Lett. 2012, 101, 083505. [Google Scholar] [CrossRef]
- Ambacher, O.; Majewski, J.; Miskys, C.; Link, A.; Hermann, M.; Eickhoff, M.; Stutzmann, M.; Bernardini, F.; Fiorentini, V.; Tilak, V.; et al. Pyroelectric properties of Al(In)GaN/GaN hetero- and quantum well structures. J. Phys. Condens. Matter 2002, 14, 3399. [Google Scholar] [CrossRef]
- Vurgaftman, I.; Meyer, J.R. Band parameters for nitrogen-containing semiconductors. J. Appl. Phys. 2003, 94, 3675–3696. [Google Scholar] [CrossRef]
- Chuang, S.L.; Chang, C.S. k·p method for strained wurtzite semiconductors. Phys. Rev. B 1996, 54, 2491. [Google Scholar] [CrossRef] [PubMed]
- BenDaniel, D.J.; Duke, C.B. Space-Charge Effects on Electron Tunneling. Phys. Rev. B 1966, 152, 683–692. [Google Scholar] [CrossRef]
- Salejda, W.; Tyc, M.; Andrzejewski, J.; Kubisa, M.; Misiewicz, J.; Just, M.; Ryczko, K. New Numerical Matrix Methods of Solving the Quasi-One-Dimensional Effective-Mass Equation. Acta Phys. Pol. A 1999, 95, 881–896. [Google Scholar] [CrossRef]
- Gładysiewicz, M.; Kudrawiec, R.; Muzioł, G.; Turski, H.; Skierbiszewski, C. Theoretical and Experimental Studies on Material Gain for Wide Polar InGaN Quantum Well-Mechanism Leading to Electric Field Screening and Lasing. Adv. Phys. Res. 2023, 2, 2200107. [Google Scholar] [CrossRef]
- Gladysiewicz, M.; Skierbiszewski, C.; Kudrawiec, R. Material Gain in Polar GaInN and AlGaN Quantum Wells: How to Overcome the ‘Dead’ Width for Light Emitters in These QW Systems? IEEE J. Sel. Top. Quantum Electron. 2022, 28, 1501509. [Google Scholar] [CrossRef]
- Jarema, M.; Gladysiewicz, M.; Janicki, L.; Zdanowicz, E.; Turski, H.; Muziol, G.; Skierbiszewski, C.; Kudrawiec, R. Inhomogeneous broadening of optical transitions observed in photoluminescence and modulated reflectance of polar and non-polar InGaN quantum wells. J. Appl. Phys. 2020, 127, 035702. [Google Scholar] [CrossRef]
- Baranowski, M.; Janicki, L.; Gladysiewicz, M.; Welna, M.; Latkowska, M.; Misiewicz, J.; Marona, L.; Schiavon, D.; Perlin, P.; Kudrawiec, R. Direct evidence of photoluminescence broadening enhancement by local electric field fluctuations in polar InGaN/GaN quantum wells. Jpn. J. Appl. Phys. 2018, 57, 9. [Google Scholar]
- Jarema, M.; Gladysiewicz, M.; Zdanowicz, E.A.; Bellet-Amalric, E.; Monroy, E.; Kudrawiec, R. On intrinsic Stokes shift in wide GaN/AlGaN polar quantum wells. Semicond. Sci. Technol. 2019, 34, 075021. [Google Scholar] [CrossRef]
- Chow, W.; Kira, M.; Koch, S.W. Microscopic theory of optical nonlinearities and spontaneous emission lifetime in group-III nitride quantum wells. Phys. Rev. B 1999, 60, 1947–1952. [Google Scholar] [CrossRef]
- Bin-He, W. Transient Intersubband Optical Absorption in Double Quantum Well Structure. Commun. Theor. Phys. 2005, 43, 759–764. [Google Scholar] [CrossRef]
- Ndebeka-Bandou, C.; Carosella, F.; Ferreira, R.; Wacker, A.; Bastard, G. Free carrier absorption and inter-subband transitions in imperfect heterostructures. Semicond. Sci. Technol. 2014, 29, 023001. [Google Scholar] [CrossRef]
- Smith, R.P.; Funk, A.C.; Mirin, R.P.; Cundiff, S.T.; Steiner, J.T.; Schafer, M.; Kira, M.; Koch, S.W. Extraction of Many-Body Configurations from Nonlinear Absorption in Semiconductor Quantum Wells. Phys. Rev. Lett. 2010, 104, 247401. [Google Scholar] [CrossRef] [PubMed]
- Sfuncia, G.; Nicotra, G.; Giannazzo, F.; Pécz, B.; Gueorguiev, G.K.; Kakanakova-Georgieva, A. 2D graphitic-like gallium nitride and other structural selectivity in confinement at the graphene/SiC interface. CrystEngComm 2023, 25, 5810. [Google Scholar] [CrossRef]
- Filho, M.A.M.; Hsiao, C.-L.; dos Santos, R.B.; Hultman, L.; Birch, J.; Gueorguiev, G.K. Self-Induced Core–Shell InAlN Nanorods: Formation and Stability Unraveled by Ab Initio Simulations. ACS Nanosci. Au 2023, 3, 84–93. [Google Scholar] [CrossRef]
- Scheibenzuber, W.G.; Schwarz, U.T.; Sulmoni, L.; Carlin, J.-F.; Castiglia, A.; Grandjean, N. Bias-dependent absorption coefficient of the absorber section in GaN-based multisection laser diodes. Appl. Phys. Lett. 2010, 97, 181103. [Google Scholar] [CrossRef]
- Yang, Z.-H.; Ullrich, C.A. Direct calculation of exciton binding energies with time-dependent density-functional theory. Phys. Rev. B 2013, 87, 195204. [Google Scholar] [CrossRef]
- Baeten, M.; Wouters, M. Many-body effects of a two-dimensional electron gas on trion-polaritons. Phys. Rev. B 2015, 91, 115313. [Google Scholar] [CrossRef]
- Hwang, E.H.; Throckmorton, R.E.; Sarma, S.D. Plasmon-pole approximation for many-body effects in extrinsic graphene. Phys. Rev. B 2018, 98, 195140. [Google Scholar] [CrossRef]









Disclaimer/Publisher’s Note: The statements, opinions and data contained in all publications are solely those of the individual author(s) and contributor(s) and not of MDPI and/or the editor(s). MDPI and/or the editor(s) disclaim responsibility for any injury to people or property resulting from any ideas, methods, instructions or products referred to in the content. |
© 2025 by the authors. Licensee MDPI, Basel, Switzerland. This article is an open access article distributed under the terms and conditions of the Creative Commons Attribution (CC BY) license (https://creativecommons.org/licenses/by/4.0/).
Share and Cite
Gładysiewicz-Kudrawiec, M.; Żak, M.; Trzeciakowski, W. Oscillations in Absorption from InGaN/GaN Quantum Well to Continuum. Nanomaterials 2025, 15, 174. https://doi.org/10.3390/nano15030174
Gładysiewicz-Kudrawiec M, Żak M, Trzeciakowski W. Oscillations in Absorption from InGaN/GaN Quantum Well to Continuum. Nanomaterials. 2025; 15(3):174. https://doi.org/10.3390/nano15030174
Chicago/Turabian StyleGładysiewicz-Kudrawiec, Marta, Mikołaj Żak, and Witold Trzeciakowski. 2025. "Oscillations in Absorption from InGaN/GaN Quantum Well to Continuum" Nanomaterials 15, no. 3: 174. https://doi.org/10.3390/nano15030174
APA StyleGładysiewicz-Kudrawiec, M., Żak, M., & Trzeciakowski, W. (2025). Oscillations in Absorption from InGaN/GaN Quantum Well to Continuum. Nanomaterials, 15(3), 174. https://doi.org/10.3390/nano15030174

