Demonstration of Integrated Quasi-Vertical DMOS Compatible with the Bipolar-CMOS-DMOS Process Achieving Ultralow RON,sp
Abstract
1. Introduction
2. Device Structure and Working Mechanism
2.1. Device Structure
2.2. Conducting and Blocking Mechanism
3. Fabrication and Result Discussions
3.1. Process and Fabrication
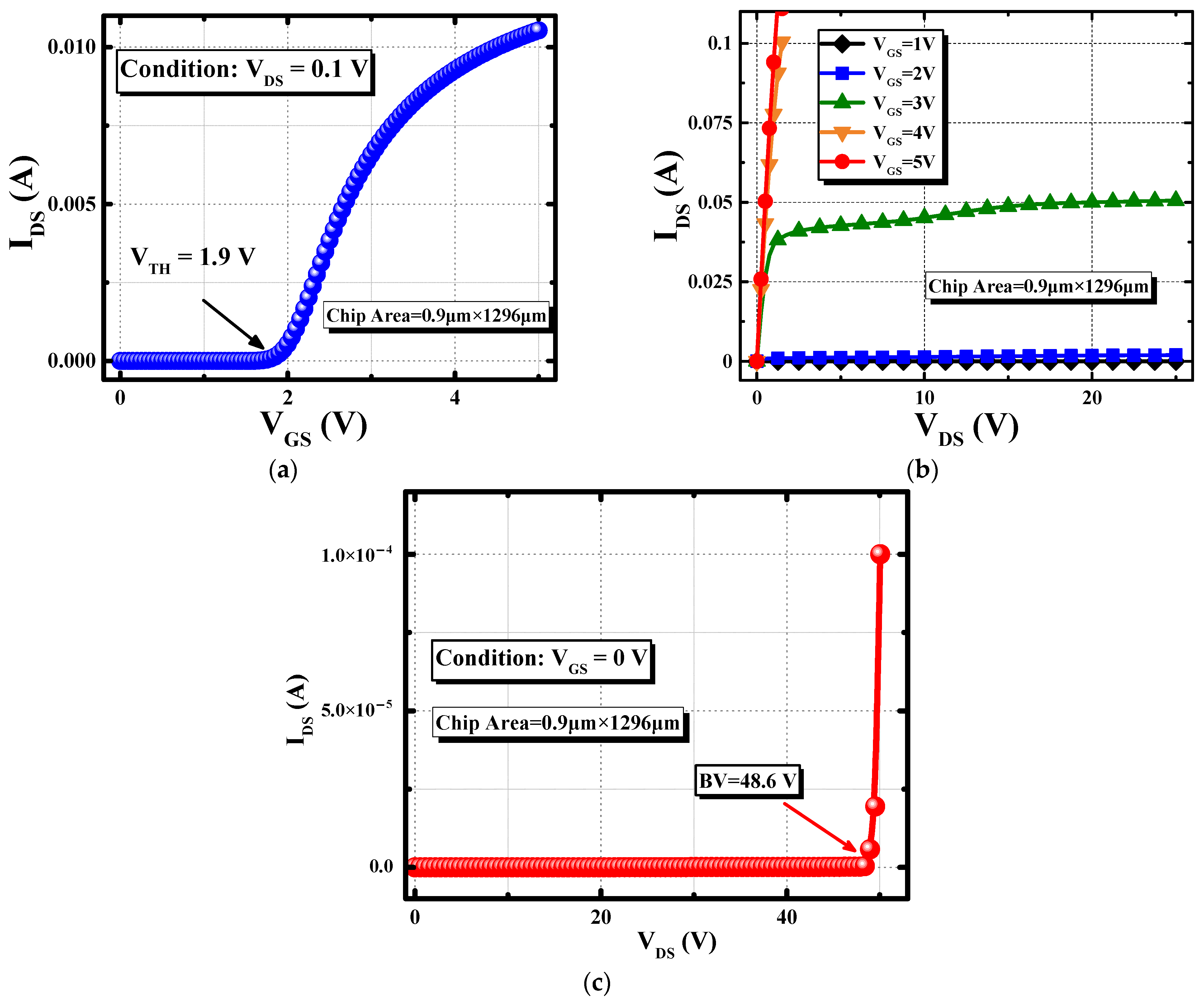
3.2. Measurement Results and Discussions
4. Conclusions
Author Contributions
Funding
Data Availability Statement
Conflicts of Interest
References
- He, N.; Zhang, S.; Zhu, X.; Li, X.; Wang, H.; Zhang, W. A 0. 25μm700V BCD Technology with Ultra-Low Specific On-Resistance SJ-LDMOS. In Proceedings of the IEEE 32nd International Symposium on Power Semiconductor Devices and ICs (ISPSD) 2020, Vienna, Austria, 13–18 September 2020; pp. 419–422. [Google Scholar] [CrossRef]
- Cao, Z.; Wang, Q.; Jiao, L. Analytical Study on a 700 V Triple RESURF LDMOS With a Variable High-K Dielectric Trench. IEEE Trans. Electron Devices 2020, 68, 2872–2878. [Google Scholar] [CrossRef]
- Zhang, B.; Zhang, W.; Zhu, L.; Zu, J.; Qiao, M.; Li, Z. Review of technologies for high-voltage integrated circuits. Tsinghua Sci. Technol. 2022, 27, 495–511. [Google Scholar] [CrossRef]
- Li, M.; Duan, B.; Yang, Y. New Strained Lateral MOSFET With Ultralow On-Resistance by Surrounded Stress Dielectric Layer. IEEE Electron Device Lett. 2022, 43, 525–528. [Google Scholar] [CrossRef]
- Duan, B.; Tang, C.; Song, K.; Wang, Y.; Yang, Y. Novel SOI LDMOS Without RESURF Effect by Flexible Substrate for Flexible Electronic Systems. IEEE Trans. Electron Devices 2021, 68, 4150–4155. [Google Scholar] [CrossRef]
- Zhang, B.; Zhang, W.; Zu, J.; Qiao, M.; Zhang, S.; Zhang, Z.; He, B.; Li, Z. Novel Homogenization Field Technology in Lateral Power Devices. IEEE Electron Device Lett. 2020, 41, 1677–1680. [Google Scholar] [CrossRef]
- Chen, S.; Liao, B.; Dong, J.; Wang, T.; Wang, S.; Yang, H.; Peng, Y.; Huang, S.; Gan, J. Study on 20 V LDMOS With Stepped-Gate-Oxide Structure for PMIC Applications: Design, Fabrication, and Characterization. IEEE Trans. Electron Devices 2022, 69, 878–881. [Google Scholar] [CrossRef]
- Wei, J.; Ma, Z.; Luo, X.; Li, C.; Song, H.; Zhang, S.; Zhang, B. Experimental Realization of Ultralow ON-Resistance LDMOS With Optimized Layout. IEEE Trans. Electron Devices 2021, 68, 4168–4172. [Google Scholar] [CrossRef]
- Toyoda, Y.; Katakura, H.; Ooe, T.; Iwaya, M.; Sumida, H. 60V-Class Power IC Technology for an Intelligent Power Switch with an Integrated Trench MOSFET. In Proceedings of the IEEE 25th International Symposium on Power Semiconductor Devices & IC’s (ISPSD) 2013, Kanazawa, Japan, 26–30 May 2013; pp. 147–150. [Google Scholar] [CrossRef]
- Mehrad, M. Thin layer oxide in the drift region of laterally double-diffused metal oxide semiconductor on silicon-on-insulator: A novel device structure enabling reliable high-temperature power transistors. Mater. Sci. Semicon. Proc. 2015, 30, 599–604. [Google Scholar] [CrossRef]
- Wu, L.; Zhang, W.; Shi, Q.; Cai, P.; He, H. Trench SOI LDMOS with vertical field plate. Electron. Lett. 2014, 50, 1982–1984. [Google Scholar] [CrossRef]
- Saadat, A.; Van de Put, M.L.; Edwards, H.; Vandenberghe, W.G. LDMOS Drift Region With Field Oxides: Figure-of-Merit Derivation and Verification. IEEE J. Electron Devices Soc. 2022, 10, 361–366. [Google Scholar] [CrossRef]
- Wang, Y.; Hu, S.; Liu, C.; Wang, J.; Yang, H.; Ran, S.; Jiang, J.; Guo, G. Reducing the specific on-resistance for a trench-gate-integrated SOI LDMOS by using the double silicon drift layers. Results Phys. 2020, 19, 103589. [Google Scholar] [CrossRef]
- Punetha, M.; Singh, Y. Dual-channel trench LDMOS on SOI for RF power amplifier applications. J. Comput. Electron. 2016, 15, 639–645. [Google Scholar] [CrossRef]
- Payal, M.; Singh, Y. A multi-channel trench-gate radio frequency LDMOS on silicon-on-insulator. IETE Tech. Rev. 2017, 34, 246–253. [Google Scholar] [CrossRef]
- Mehrotra, S.; Radic, L.; Grote, B.; Saxena, T.; Qin, G.; Khemka, V.; Thomas, T.; Gibson, M. Towards Ultimate Scaling of LDMOS with Ultralow Specific On-Resistance. In Proceedings of the IEEE 32nd International Symposium on Power Semiconductor Devices and ICs (ISPSD) 2020, Vienna, Austria, 13–18 September 2020; pp. 42–45. [Google Scholar] [CrossRef]
- Wu, L.; Huang, Y.; Wu, Y.; Zhu, L.; Lei, B. Investigation of the stepped split protection gate L-trench SOI LDMOS with ultra-low specific on-resistance by simulation. Mater. Sci. Semicon. Proc. 2019, 101, 272–278. [Google Scholar] [CrossRef]
- Wu, T.; Wei, J.; Wang, W.; Lin, X.; Ma, J.; Li, S.; Ye, R.; Zhang, L.; Ding, D.; Liu, S.; et al. Influence of Structure Parameters on the RON, sp of Quasi-Vertical Power DMOS Compatible with 0.18μm BCD Process. In Proceedings of the IEEE 36th International Symposium on Power Semiconductor Devices and ICs (ISPSD) 2024, Bremen, Germany, 2–6 June 2024; pp. 418–421. [Google Scholar] [CrossRef]
- Yang, H.; Zuo, J.; Zhang, Z.; Min, W.; Lin, X.; Chen, X.; Ger, M.; Hui, P.; Rodriquez, P. Approach to the Silicon Limit: Advanced NLDMOS in 0.13μm SOI Technology for Automotive and Industrial Applications up to 110V. In Proceedings of the IEEE 25th International Symposium on Power Semiconductor Devices and ICs (ISPSD) 2013, Kanazawa, Japan, 26–30 May 2013; pp. 357–360. [Google Scholar] [CrossRef]
- Yuan, N.; Wu, L.; Yang, H.; Song, Y.; Hu, L.; Lei, B.; Zhang, Y. Double trenches LDMOS with trapezoidal gate. Micro Nano Lett. 2018, 13, 695–698. [Google Scholar] [CrossRef]
- Chen, H.; Xu, Z.; Chen, Y.; Fang, M.; Wang, L.; Xiao, L.; Qian, Y.; Song, W.; Tian, T.; Fang, Z.; et al. Low On-Resistance LDMOS with Stepped Field Plates from 12V to 40V in 300-MM 90-NM BCD Technology. In Proceedings of the IEEE China Semiconductor Technology International Conference (CSTIC) 2022, Shanghai, China, 20–21 June 2022; pp. 1–4. [Google Scholar] [CrossRef]
- Wang, Y.; Duan, B.; Yang, Y. Experimental of Folded Accumulation Lateral Double-Diffused Transistor with Low Specific on Resistance. In Proceedings of the IEEE 33rd International Symposium on Power Semiconductor Devices and ICs (ISPSD) 2021, Nagoya, Japan, 30 May–3 June 2021; pp. 195–198. [Google Scholar] [CrossRef]
- Kaushal, K.; Mohapatra, N. A zero-cost technique to improve on-state performance and reliability of power LDMOS transistors. IEEE J. Electron Devices Soc. 2021, 9, 334–341. [Google Scholar] [CrossRef]
- Kojima, J.; Matsuda, J.; Kamiyama, M.; Tsukiji, N.; Kobayashi, H. Optimization and Analysis of High Reliability 30–50V Dual Resurf LDMOS. In Proceedings of the IEEE 13th International Conference on Solid-State and Integrated Circuit Technology (ICSICT) 2016, Hangzhou, China, 25–28 October 2016; pp. 712–714. [Google Scholar] [CrossRef]
- Li, M.; Duan, B.; Yang, Y. New strained slicon-on-insulator lateral MOSFET with ultralow on-resistance by Si1-xGex P-top layer and trench gate. IEEE Electron Device Lett. 2021, 42, 788–791. [Google Scholar] [CrossRef]







| Parameters | Optimized Value | Parameters | Optimized Value |
|---|---|---|---|
| Htr | 1.5 μm | TOX2 | 0.2 μm |
| Wtr | 0.5 μm | TFOX | 0.08 μm |
| LG | 0.9 μm | WTO | 0.4 μm |
| WG | 0.2 μm | W | 0.9 μm |
| LS | 0.32 μm | Ndr | 1.1 × 1017 cm−3 |
| TGOX | 140 Å | Npb | 1 × 1017 cm−3 |
| TOX1 | 0.3 μm | Nn+ | 3.0 × 1020 cm−3 |
Disclaimer/Publisher’s Note: The statements, opinions and data contained in all publications are solely those of the individual author(s) and contributor(s) and not of MDPI and/or the editor(s). MDPI and/or the editor(s) disclaim responsibility for any injury to people or property resulting from any ideas, methods, instructions or products referred to in the content. |
© 2025 by the authors. Licensee MDPI, Basel, Switzerland. This article is an open access article distributed under the terms and conditions of the Creative Commons Attribution (CC BY) license (https://creativecommons.org/licenses/by/4.0/).
Share and Cite
Lin, F.; Wu, T.; Wang, W.; Wang, Z.; Zhang, Y.; Li, S.; Ye, R.; Zhang, L.; Wei, J.; Liu, S.; et al. Demonstration of Integrated Quasi-Vertical DMOS Compatible with the Bipolar-CMOS-DMOS Process Achieving Ultralow RON,sp. Nanomaterials 2025, 15, 172. https://doi.org/10.3390/nano15030172
Lin F, Wu T, Wang W, Wang Z, Zhang Y, Li S, Ye R, Zhang L, Wei J, Liu S, et al. Demonstration of Integrated Quasi-Vertical DMOS Compatible with the Bipolar-CMOS-DMOS Process Achieving Ultralow RON,sp. Nanomaterials. 2025; 15(3):172. https://doi.org/10.3390/nano15030172
Chicago/Turabian StyleLin, Feng, Tuanzhuang Wu, Weidong Wang, Zhengxuan Wang, Yi Zhang, Sheng Li, Ran Ye, Long Zhang, Jiaxing Wei, Siyang Liu, and et al. 2025. "Demonstration of Integrated Quasi-Vertical DMOS Compatible with the Bipolar-CMOS-DMOS Process Achieving Ultralow RON,sp" Nanomaterials 15, no. 3: 172. https://doi.org/10.3390/nano15030172
APA StyleLin, F., Wu, T., Wang, W., Wang, Z., Zhang, Y., Li, S., Ye, R., Zhang, L., Wei, J., Liu, S., & Sun, W. (2025). Demonstration of Integrated Quasi-Vertical DMOS Compatible with the Bipolar-CMOS-DMOS Process Achieving Ultralow RON,sp. Nanomaterials, 15(3), 172. https://doi.org/10.3390/nano15030172

