Journal Description
Regional Science and Environmental Economics
Regional Science and Environmental Economics
is an international, peer-reviewed, open access journal on regional studies and environmental economics issues published quarterly online by MDPI.
- Open Access— free for readers, with article processing charges (APC) paid by authors or their institutions.
- Rapid Publication: manuscripts are peer-reviewed and a first decision is provided to authors approximately 28.7 days after submission; acceptance to publication is undertaken in 3.6 days (median values for papers published in this journal in the second half of 2025).
- Recognition of Reviewers: APC discount vouchers, optional signed peer review, and reviewer names published annually in the journal.
Latest Articles
Interplay of Climate Change, Population Growth, and Building Stock Expansion in Egypt: Pathways to Energy-Efficient Building Development
Reg. Sci. Environ. Econ. 2026, 3(2), 7; https://doi.org/10.3390/rsee3020007 - 4 May 2026
Abstract
►
Show Figures
This research examines the complex relationship between climate change, rapid population growth, and building stock expansion in Egypt, as well as their combined impact on energy demand and urban sustainability, to address the rapidly increasing electricity demand. This study uses a mixed-methods approach,
[...] Read more.
This research examines the complex relationship between climate change, rapid population growth, and building stock expansion in Egypt, as well as their combined impact on energy demand and urban sustainability, to address the rapidly increasing electricity demand. This study uses a mixed-methods approach, including quantitative analysis to examine climatic data (1970–2100), demographic trends, and building energy consumption patterns, quantifying their synergistic effects; a qualitative evaluation of policy frameworks and urban planning strategies; and building energy performance simulation using Design Builder to utilize climate-responsive design techniques for energy reduction. Finally, this study proposes energy-efficient design guidance. The research findings reveal that Egypt’s unique hot–arid climate, projected to warm by 4 °C by 2100, combined with a population set to reach 160 million by 2050, has driven the near-doubling of building stock since 1986, with residential buildings accounting for 70–83% of structures and 60% of national electricity use. The research results highlight the importance of implementing climate-responsive design strategies (optimized building-envelope thermal insulation and energy-efficient HVAC systems) in Egypt’s built environment to reduce electricity consumption by up to 40%, thereby aligning urban growth with sustainability objectives. These insights are scalable to other arid, rapidly urbanizing regions globally.
Full article
Open AccessArticle
Research on the Synergistic Development of Green Logistics and Regional Economy in the Yellow River Basin and Its Obstacle Factors
by
Hong Wu and Xuewei Wen
Reg. Sci. Environ. Econ. 2026, 3(1), 6; https://doi.org/10.3390/rsee3010006 - 10 Mar 2026
Abstract
►▼
Show Figures
This paper focuses on the coordinated development and barrier factors of green logistics (GL) and regional economy (RE) in the Yellow River Basin (YRB). Based on data from 2014 to 2023, it constructs an index system covering the development foundation, benefits, potential and
[...] Read more.
This paper focuses on the coordinated development and barrier factors of green logistics (GL) and regional economy (RE) in the Yellow River Basin (YRB). Based on data from 2014 to 2023, it constructs an index system covering the development foundation, benefits, potential and sustainability of GL, as well as regional economic structure, scale and potential. Using methods such as the entropy method, coupling coordination degree (CCD) model, kernel density estimation, Moran’s index and Obstacle degree model, it reveals that the average comprehensive CCD improved from 0.38 to 0.65 over the decade, but with significant regional differences. Eastern provinces like Shandong and Henan are ahead, while central and western provinces lag. The coupling coordination degree shows an overall upward trend, moving toward coordinated development with an expanding spatial pattern from east to west and narrowing regional gaps. Global Moran’s index (ranging from 0.356 to 0.524) indicates a spatial positive correlation, and local spatial autocorrelation analysis shows coexistence of high–high and low–low clusters. For Obstacle factors, GL is primarily constrained by low labor productivity (indicator B3, accounting for 23.1% to 44.7% of the total obstacle degree) and shortcomings in logistics industry benefits and scale, while RE is hindered by lagging economic structure optimization, weak foreign trade, and insufficient economic scale and vitality. This study provides a theoretical basis and decision-making reference for the high-quality coordinated development of GL and RE in the YRB, promoting regional coordination and sustainable development.
Full article

Graphical abstract
Open AccessArticle
Policy Levers for Place-Based Decarbonization: Municipal Input–Output Evidence on On-Site and Off-Site Power Purchase Agreements (PPAs) with a Local Retail Supplier
by
Kazunori Nakajima, Naoki Masuhara, Eri Aoki, Kenshi Baba and Makoto Taniguchi
Reg. Sci. Environ. Econ. 2026, 3(1), 5; https://doi.org/10.3390/rsee3010005 - 10 Mar 2026
Abstract
►▼
Show Figures
Local governments increasingly combine power purchase agreements (PPAs) with local retail power producers and suppliers (RPPSs) to pursue decarbonization and regional revitalization. However, there is limited municipal-scale evidence on how contractual design translates into regional multiplier and employment outcomes under structural uncertainty. Using
[...] Read more.
Local governments increasingly combine power purchase agreements (PPAs) with local retail power producers and suppliers (RPPSs) to pursue decarbonization and regional revitalization. However, there is limited municipal-scale evidence on how contractual design translates into regional multiplier and employment outcomes under structural uncertainty. Using a 38-sector municipal input–output table (2015) for Fukuchiyama City, Kyoto, Japan, we conduct scenario-based simulations to quantify the output and employment multipliers of on-site and off-site solar photovoltaic PPAs. We compare Type I multipliers (household exogenous) and Type II multipliers (household endogenous) across nine scenarios that combine three PPA arrangements—off-site sales to the local RPPS [A], off-site sales to a major utility [B], and on-site self-consumption [C]—with three interregional leakage scenarios (1)–(3). A systematic sensitivity analysis (±10–20% perturbation of structural coefficients) was implemented to provide results as conditional ranges rather than point estimates. Under baseline leakage (3), off-site PPAs sold to the local RPPS [A3] yield the largest short-term total effects (1.24 million USD/year). Crucially, the error bars confirm that the policy ranking of A > B > C remains robustly invariant across all leakage conditions. Endogenizing households increases total effects by approximately 22.9% without changing this ranking, with induced effects concentrated in consumption-related services. In contrast, on-site PPAs [C] yield significantly larger long-term cumulative multipliers through stable expenditure savings from avoided electricity purchases. These results provide a transferable evaluation protocol and identify policy levers—off-taker localization, local supply chain thickening, and localized O&M—that jointly determine whether PPAs deliver broad-based regional economic benefits.
Full article

Figure 1
Open AccessArticle
Geospatial Assessment of Land Use/Land Cover Dynamics and Future Predictions Using Markov Chain Cellular-Automata Simulations in Rajouri District of Jammu and Kashmir, India
by
Qamer Ridwan, Suhail Ahmad, Avtar Singh Jasrotia and Mohd Hanief
Reg. Sci. Environ. Econ. 2026, 3(1), 4; https://doi.org/10.3390/rsee3010004 - 9 Mar 2026
Abstract
►▼
Show Figures
Land use/land cover (LULC) change significantly influences a range of environmental and socio-economic issues, including climate change, deforestation, biodiversity loss, soil degradation, ecosystem services, and food security, at local, regional, and global levels. In the northwestern Himalayan region, particularly in Rajouri district of
[...] Read more.
Land use/land cover (LULC) change significantly influences a range of environmental and socio-economic issues, including climate change, deforestation, biodiversity loss, soil degradation, ecosystem services, and food security, at local, regional, and global levels. In the northwestern Himalayan region, particularly in Rajouri district of Jammu and Kashmir (J&K), LULC change has profound environmental and socio-economic implications. Understanding the temporal and spatial dimensions of LULC change is crucial for assessing the impact of human activities on the region’s environment. The present study aimed to analyze LULC change in Rajouri district of J&K, India over a 30-year period from 1990 to 2020 and to project future LULC dynamics for the next 30 years up to 2050. Landsat imagery with a supervised classification technique was used for classification and generation of LULC maps. Moreover, CA Markov model was used to predict the future LULC status of the area. The model validation exhibited strong performance, with Kappa statistics exceeding 0.90, indicating a high level of reliability in the projections. The results indicate considerable changes in different land use classes from 1990 to 2020. Over the 30-year period, dense forest showed the maximum reduction of about −20.69 Km2, followed by open forest (−15.87 Km2) and grassland (−13.75 Km2). Wasteland showed the maximum increase of about +28.24 Km2, followed by built-up (+17.90 Km2) and cropland (+12.50 Km2). The cumulative impact of deforestation from 1990 to 2020 amounts to approximately 43.17 Km2, while afforestation efforts only managed to reclaim 6.61 Km2 of land. The future prediction using the CA Markov model suggests further changes in LULC patterns, with built-up, cropland, and wasteland projected to increase exponentially by 2050, accompanied by sharp declines in forests. Therefore, policymakers should prioritize sustainable land management and forest conservation strategies to mitigate the potential negative impacts of LULC changes on the environment, ensuring balanced and sustainable development.
Full article

Figure 1
Open AccessArticle
The European Cohesion Funds Policy in the Regional Science Literature: A Systematic Review
by
Paulo Lobo and Roberto Bande
Reg. Sci. Environ. Econ. 2026, 3(1), 3; https://doi.org/10.3390/rsee3010003 - 10 Feb 2026
Abstract
►▼
Show Figures
This paper employs a top-down methodological approach to identify the most relevant contributions in the literature on the impact of European Cohesion Policy and European Structural and Investment Funds (ESIFs) on regional development. After a broad-spectrum bibliometric review, identifying the overall structure of
[...] Read more.
This paper employs a top-down methodological approach to identify the most relevant contributions in the literature on the impact of European Cohesion Policy and European Structural and Investment Funds (ESIFs) on regional development. After a broad-spectrum bibliometric review, identifying the overall structure of research in this field, we systematically narrow its focus to quantitative studies and, ultimately, to econometric analyses of ESIF effectiveness. The results indicate that empirical research on ESIFs has grown in complexity, with increasing reliance on advanced econometric techniques such as spatial econometrics, difference-in-differences, and regression discontinuity designs. While a large portion of the literature finds positive effects on economic growth, employment, and regional convergence, these effects are frequently conditional on governance quality, institutional frameworks, and regional characteristics. In contrast, some studies report insignificant or even negative impacts, highlighting inefficiencies in fund allocation and policy implementation. The findings emphasize the necessity for context-specific policy adaptations, ensuring that ESIFs continue to support the evolving needs of regional economies in the European Union.
Full article

Figure 1
Open AccessArticle
Cross-National Patterns of Quality of Life According to HDI Levels: A Multivariate Approach Using Partial Triadic Analysis
by
Mitzi Cubilla-Montilla, Andrés Castillo and Carlos A. Torres-Cubilla
Reg. Sci. Environ. Econ. 2026, 3(1), 2; https://doi.org/10.3390/rsee3010002 - 3 Feb 2026
Abstract
►▼
Show Figures
Quality of life, as an essential component of sustainable development, is particularly relevant in transnational contexts characterized by deep inequalities in human development, equity, and social well-being. The objective of this paper is to analyze the temporal and spatial changes in transnational patterns
[...] Read more.
Quality of life, as an essential component of sustainable development, is particularly relevant in transnational contexts characterized by deep inequalities in human development, equity, and social well-being. The objective of this paper is to analyze the temporal and spatial changes in transnational patterns of quality of life observed between 2018 and 2025, taking into account levels of human development. To this end, multivariate statistical techniques were applied: partial triadic analysis, which allows the identification of both the common structure of the data and the temporal evolution of the indicators, together with the HJ-Biplot and cluster analysis, which provide a multidimensional and interpretable visualization of country profiles. The results reveal consistent configurations of quality of life, largely aligned with levels of human development, and highlight persistent inequalities in environmental quality, economic accessibility, and objective well-being. These findings are relevant for the formulation of policies aimed at enhancing population well-being, particularly in countries facing structural constraints despite their high levels of development. The contribution of this research lies in its three-dimensional, dynamic, and reproducible approach, which makes it possible to identify regional contrasts that are not visible through traditional methods based on unidimensional indicators or cross-sectional analyses.
Full article

Figure 1
Open AccessReview
Green Space and Sense of Place: A Systematic Review
by
Yijun Zeng and Jiajia Wang
Reg. Sci. Environ. Econ. 2026, 3(1), 1; https://doi.org/10.3390/rsee3010001 - 24 Dec 2025
Cited by 1
Abstract
►▼
Show Figures
Understanding how green spaces foster sense of place is critical for sustainable urban planning and human well-being, yet no comprehensive synthesis has integrated findings across the fragmented literature spanning multiple disciplines. This systematic review analyzed 497 empirical studies examining green space-place attachment relationships,
[...] Read more.
Understanding how green spaces foster sense of place is critical for sustainable urban planning and human well-being, yet no comprehensive synthesis has integrated findings across the fragmented literature spanning multiple disciplines. This systematic review analyzed 497 empirical studies examining green space-place attachment relationships, following PRISMA guidelines across three major databases through June 2025. Beyond documenting the field’s rapid growth—from 10 annual publications pre-2010 to over 50 by 2021—this review reveals critical patterns and gaps with implications for theory and practice. While the term ‘place attachment’ was most frequently used (45% of studies), the field employs diverse terminology often without clear definitional boundaries. Only 18% comprehensively addressed the Person-Process-Place tripartite model, with process dimensions particularly neglected. This theoretical incompleteness limits the understanding of how attachments form and evolve. Geographic analysis exposed severe disparities: 78% of studies originated from high-income countries, with Africa (2.4%) and South America (3.6%) critically underrepresented, raising questions about the applicability of current theories beyond Western contexts. Urban settings dominated (49.5%), potentially overlooking rural and indigenous perspectives essential for comprehensive understanding. Methodologically, studies demonstrated sophistication through strategic deployment of quantitative (60%), qualitative (15%), and mixed methods (25%). Key thematic areas, residence duration, restorative benefits, and pro-environmental behaviors, showed promise, yet environmental justice remained underexplored despite its critical importance. This synthesis advances the field by identifying specific pathways for progress: expanding geographic representation to develop culturally inclusive theories, employing longitudinal designs to capture attachment formation processes, developing validated cross-cultural measures, and centering environmental justice in green space planning. These findings provide essential guidance for creating equitable green spaces that foster meaningful human-nature connections across diverse global contexts.
Full article

Figure 1
Open AccessReview
Collaborative Approaches and Instruments for the Spatial Management of Agricultural Pests
by
Somaiyeh Nezhadkheirollah and Martin Drechsler
Reg. Sci. Environ. Econ. 2025, 2(4), 37; https://doi.org/10.3390/rsee2040037 - 8 Dec 2025
Abstract
Due to the mobility of many pest species, effective integrated pest management (IPM) requires spatial coordination of management actions. This paper examines how the consideration of spatial dynamics, spatially coordinated collaboration, and supportive policy instruments improve pest management in agricultural landscapes. We consider
[...] Read more.
Due to the mobility of many pest species, effective integrated pest management (IPM) requires spatial coordination of management actions. This paper examines how the consideration of spatial dynamics, spatially coordinated collaboration, and supportive policy instruments improve pest management in agricultural landscapes. We consider empirical studies that explore the effects of spatial structure and processes on pest dynamics; conceptual frameworks that address larger spatial scales, such as Area-Wide Pest Management (AWPM); and policy instruments such as Payments for Ecosystem Services (PES) that have an impact on the land use in agricultural landscapes. The aim is to highlight how these three pillars of effective pest management are interrelated. Challenges and approaches for the establishment of spatial collaboration in agricultural pest management are identified and avenues for future research are presented.
Full article
Open AccessArticle
From Data to Decisions: Leveraging the Social Accounting Matrix and Multiplier Analysis to Guide Equitable Policy Decision in Greece
by
Afentoula Mavrodi, Georgios Kolias, Christos Gogos and Kostas Karamanis
Reg. Sci. Environ. Econ. 2025, 2(4), 36; https://doi.org/10.3390/rsee2040036 - 4 Dec 2025
Abstract
►▼
Show Figures
This study develops an updated national Social Accounting Matrix (SAM) for Greece, based on the 2020 Input–Output Table that captures post-crisis structural and macroeconomic transformations, implemented in Python 3, hence producing a reusable, modular code. This methodological approach facilitates multiplier-based policy analysis of
[...] Read more.
This study develops an updated national Social Accounting Matrix (SAM) for Greece, based on the 2020 Input–Output Table that captures post-crisis structural and macroeconomic transformations, implemented in Python 3, hence producing a reusable, modular code. This methodological approach facilitates multiplier-based policy analysis of how shocks propagate through the Greek economy, and therefore, this study contributes to the literature by addressing the gap in multiplier analysis for this setting. Output, value-added, and income multipliers were estimated using the Moore–Penrose pseudo-inverse via Singular Value Decomposition (SVD). Findings highlighted the substantial role of government transfers in supporting household and firm incomes, largely due to COVID-19 relief measures. This analysis showed that production expansion in energy, construction, and wholesale and retail trade can stimulate broad economic activity, while service-related sectors play a critical role in income generation and equity considerations. At the same time, firms in trade, hospitality, and real estate were heavily affected by the pandemic shock. The findings of this study provide a benchmark for understanding Greece’s economic structure at a critical moment in time (the COVID-19 pandemic).
Full article

Figure 1
Open AccessArticle
Vascular Flora Used in the Construction of Traditional Mayan Houses in the Yucatan Peninsula: A Case Study in Camino Real, Campeche, Mexico
by
Héctor M. J. López-Castilla, William Cetzal-Ix, Roberth A. Tuyub-Uc, Verónica I. Castillo-Rodríguez, Marcelina G. Antonio-Joaquín and Saikat Kumar Basu
Reg. Sci. Environ. Econ. 2025, 2(4), 35; https://doi.org/10.3390/rsee2040035 - 26 Nov 2025
Abstract
►▼
Show Figures
Over the centuries, human interaction with natural resources has allowed us to build knowledge that has given rise to cultures and regions around the world. In Mexico, particularly in the Yucatán Peninsula region, the traditional Mayan house (TMH) represents a symbol of identity
[...] Read more.
Over the centuries, human interaction with natural resources has allowed us to build knowledge that has given rise to cultures and regions around the world. In Mexico, particularly in the Yucatán Peninsula region, the traditional Mayan house (TMH) represents a symbol of identity and ancestral knowledge of the Mayan culture and a way of life for the inhabitants of rural communities. However, there is little information on the flora used as raw materials for the construction of the TMH; considering that its structure is being modified with modern materials. The objective of this study has been to identify the different plant species used as raw materials for the construction of TMHs in different Mayan communities in northern Campeche, Mexico. A total of 27 surveys were conducted in seven communities using the snowball method, using non-probability convenience sampling. In total, 100% of the respondents were male, between 18 and 86 years old, of whom 73% learned about the construction of the TMH through knowledge transferred by their parents, while the remaining 27% learned from their grandparents. For the construction of the TMH, a total of 18 plant species were recorded; 100% of the respondents mentioned that they use Sabal yapa “Xa’an guano” (in Mayan) for the construction of the roof. Another 18% mentioned the use of grass (Spartina spartinae). It can be therefore concluded that there is a hybridization of the TMH, since the roofs are replaced with zinc sheets due to the low cost of modern materials and the low availability of Sabal yapa in some areas of northern Campeche.
Full article

Figure 1
Open AccessBook Review
Book Review: Liu, C. Geography of Technology Transfer in China: A Glocal Network Approach; World Scientific: Singapore, 2023; ISBN: 978-9811274954
by
Naiquan Liu
Reg. Sci. Environ. Econ. 2025, 2(4), 34; https://doi.org/10.3390/rsee2040034 - 14 Nov 2025
Abstract
In the contemporary knowledge economy, technology transfer has become a critical mechanism underpinning industrial upgrading and regional development [...]
Full article
Open AccessArticle
Socio-Economic Impact of Sandstone Quarrying on Local Communities in Lekokoaneng, Lesotho
by
Lemohang Mokoka and Ntokozo Malaza
Reg. Sci. Environ. Econ. 2025, 2(4), 33; https://doi.org/10.3390/rsee2040033 - 11 Nov 2025
Abstract
►▼
Show Figures
Sandstone quarrying in Lekokoaneng contributes to both local and national economic development, yet it raises concerns about environmental degradation and community livelihoods. Using a mixed-methods design framed by the Sustainable Livelihood Framework (SLF) and the Sustainable Development Theory (SDT), 203 households were surveyed
[...] Read more.
Sandstone quarrying in Lekokoaneng contributes to both local and national economic development, yet it raises concerns about environmental degradation and community livelihoods. Using a mixed-methods design framed by the Sustainable Livelihood Framework (SLF) and the Sustainable Development Theory (SDT), 203 households were surveyed across five buffer zones (0–1000 m) around the formal quarry site in Lekokoaneng, Berea District, Lesotho. Quantitative data were analysed descriptively, while qualitative responses underwent thematic analysis and were transformed into quantifiable categories. Quarrying generated employment and small-business opportunities concentrated within 0–600 m of the site, alongside elevated reports of dust, soil degradation and water contamination that undermined agriculture and health. Households nearest the quarry reported the highest income benefits (e.g., 35% via employment) but also the greatest environmental burdens. Households furthest away reported fewer risks but also limited economic gain. Thematic analysis yielded four domains: Socio-Economic Empowerment, Livelihood Vulnerability, Health and Safety Risks, and Environmental Degradation and Control. Integrating SLF and SDT shows quarrying as a double-edged livelihood system with short-term financial gains that coincide with erosion of natural, human and social capitals. Targeted environmental safeguards, labour formalisation and community-inclusive governance are essential to realign quarrying with resilience and sustainability goals.
Full article

Figure 1
Open AccessArticle
Evaluating the Sustainable Development of Red Cultural Tourism in Yunnan, China, Using GIS and Machine Learning Methods
by
Zetong Zhou, Feng Cheng, Siyi Shen, Yechuan Gao, Zhi Li and Jie Wang
Reg. Sci. Environ. Econ. 2025, 2(4), 32; https://doi.org/10.3390/rsee2040032 - 13 Oct 2025
Cited by 2
Abstract
Against the backdrop of the accelerated integration of culture and tourism in China, red cultural tourism, as an important component of China’s cultural tourism system, urgently requires a systematic assessment of its development status and synergistic impact mechanisms. This study takes the Long
[...] Read more.
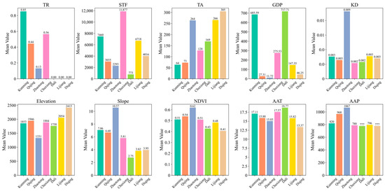
Against the backdrop of the accelerated integration of culture and tourism in China, red cultural tourism, as an important component of China’s cultural tourism system, urgently requires a systematic assessment of its development status and synergistic impact mechanisms. This study takes the Long March tourism resources in Yunnan as the research object and constructs a comprehensive evaluation system integrating social influence and ecological carrying capacity. By applying GIS spatial analysis, as well as K-means and XGBoost machine learning models, the development level of red cultural tourism in Yunnan is quantitatively assessed. Furthermore, the interpretable SHAP model is employed to identify the contribution of each evaluation indicator and to analyze the relationships among development levels under three different indicator models. The results reveal that (1) the development level of red cultural tourism in Yunnan generally exhibits a spatial pattern of being lower in the northwest and higher in the southeast; (2) transportation accessibility (TA), average annual precipitation (AAP), and average annual temperature (AAT) are the dominant indicators influencing the development level; (3) there are significant disparities in development levels among cities, indicating that future development needs to comprehensively consider both the social influence and ecological carrying capacity of red cultural tourism resources and adhere to a “social–ecological” synergistic development mechanism. This study not only uncovers the synergistic impacts of social and ecological dimensions on the development of red cultural tourism in Yunnan but also provides theoretical and data support for the optimization and sustainable development of Yunnan’s red cultural tourism resources.
Full article
(This article belongs to the Topic Sustainability and Regional Development: Foundations and Challenges for This Symbiotic Relationship)
►▼
Show Figures

Graphical abstract
Open AccessArticle
Regionalization of Input–Output Matrices with Limited Information: Application to the State of Rio Grande do Sul, Brazil
by
Eduardo Rodrigues Sanguinet, Adelar Fochezatto and Cristian Gonzalez Santander
Reg. Sci. Environ. Econ. 2025, 2(4), 31; https://doi.org/10.3390/rsee2040031 - 11 Oct 2025
Cited by 1
Abstract
►▼
Show Figures
The regionalization of input–output tables enables a granular understanding of economic systems, allowing for interregional and interindustry analysis for goods and services in a local economy. This paper details the construction of an intermunicipal IO matrix for the state of Rio Grande do
[...] Read more.
The regionalization of input–output tables enables a granular understanding of economic systems, allowing for interregional and interindustry analysis for goods and services in a local economy. This paper details the construction of an intermunicipal IO matrix for the state of Rio Grande do Sul (Brazil), a region marked by both economic diversification and significant territorial disparities. Using the 16-sector state IO matrix (base year 2019) provided by the state-level treasury (SEFAZ-RS) as a starting point, we adapt the Interregional Input–Output Adjustment System (IIOAS), integrating gravity-based trade modelling and RAS balancing, to produce a disaggregated structure for 497 municipalities. The regionalization follows three main steps: (i) generation of an initial matrix assuming proportional municipal shares in sectoral supply and demand; (ii) iterative RAS-based adjustments to align with municipal and state-level constraints; and (iii) incorporation of complementary municipal data—including employment, GDP, household consumption, and exports—to refine final demand and value-added allocations. The results demonstrate the feasibility of deriving spatially intermunicipal IO structures from limited data. The results show that, while industrial and service activities are concentrated around the Porto Alegre metropolitan area, rural subregions remain specialized in low value-added primary sectors.
Full article

Figure 1
Open AccessArticle
Between Regulation and Global Influence: Can the EU Compete in the Digital Economy?
by
Fernando Pacheco and Maria João Velez
Reg. Sci. Environ. Econ. 2025, 2(4), 30; https://doi.org/10.3390/rsee2040030 - 1 Oct 2025
Cited by 1
Abstract
►▼
Show Figures
The European Union (EU) has positioned itself as a global leader in digital regulation, with landmark frameworks such as the Digital Services Act (DSA), the Digital Markets Act (DMA), and relevant AI Act. These initiatives reflect the EU’s ambition to balance technological innovation
[...] Read more.
The European Union (EU) has positioned itself as a global leader in digital regulation, with landmark frameworks such as the Digital Services Act (DSA), the Digital Markets Act (DMA), and relevant AI Act. These initiatives reflect the EU’s ambition to balance technological innovation with consumer protection, market fairness, and digital sovereignty. Yet, a growing body of research suggests that the EU may be lagging its global competitors—namely the United States and China—when it comes to scaling high-growth digital enterprises and attracting investment in frontier technologies. This study investigates the paradox of regulation versus innovation in the EU by comparing key performance indicators such as R&D investment, venture capital availability, and digital innovation output with those of the U.S. and China. Drawing on datasets from WIPO, the OECD, IMF, and the World Bank, the paper incorporates both cross-sectional and longitudinal analysis to assess the EU’s digital trajectory. Findings suggest that while the EU excels in institutional frameworks and research output, structural barriers—such as regulatory fragmentation and underdeveloped capital markets—limit its global competitiveness. The article concludes by discussing policy implications and the need for adaptive governance to maintain Europe’s digital leadership.
Full article

Figure 1
Open AccessArticle
The Relationship Between Green Patents, Green FDI, Economic Growth and Sustainable Tourism Development in ASEAN Countries: A Spatial Econometrics Approach
by
Ha Van Trung
Reg. Sci. Environ. Econ. 2025, 2(4), 29; https://doi.org/10.3390/rsee2040029 - 25 Sep 2025
Cited by 3
Abstract
►▼
Show Figures
Sustainable tourism development has emerged as a strategic priority across ASEAN countries, yet the role of green innovation and environmentally responsible investment in shaping tourism outcomes remains underexplored. Existing studies often overlook the spatial interdependencies that characterize regional integration and cross-border environmental dynamics.
[...] Read more.
Sustainable tourism development has emerged as a strategic priority across ASEAN countries, yet the role of green innovation and environmentally responsible investment in shaping tourism outcomes remains underexplored. Existing studies often overlook the spatial interdependencies that characterize regional integration and cross-border environmental dynamics. This study investigates how green patents and green foreign direct investment (FDI) influence sustainable tourism development, both within and across ASEAN nations. Drawing on endogenous growth theory, ecological modernization, and FDI spillover frameworks, the analysis employs a Spatial Durbin Model (SDM) using panel data from 2000 to 2023. The findings reveal that green innovation and green FDI significantly enhance tourism development, with notable spatial spillover effects that benefit neighboring countries. These effects are most pronounced in leading ASEAN economies, where institutional capacity and absorptive readiness amplify the impact of green practices. The relationship is further shaped by economic growth, human capital, and political stability, while environmental degradation and inflation pose constraints. The study underscores the nonlinear and regionally heterogeneous nature of green tourism development, offering policy insights for fostering inclusive, resilient, and environmentally sustainable tourism strategies across ASEAN.
Full article

Figure 1
Open AccessSystematic Review
Parcelas de Agrado in Chile: A Systematic Review of Scientific and Grey Literature
by
Gerardo Francisco Ubilla-Bravo and Julián Valdés-Figueroa
Reg. Sci. Environ. Econ. 2025, 2(3), 28; https://doi.org/10.3390/rsee2030028 - 12 Sep 2025
Abstract
►▼
Show Figures
Since 1980, a land use type known as parcelas de agrado has developed in Chile, generating a series of social, economic, and environmental impacts. In recent years, its use has increased further and has become a subject of public debate. To address this,
[...] Read more.
Since 1980, a land use type known as parcelas de agrado has developed in Chile, generating a series of social, economic, and environmental impacts. In recent years, its use has increased further and has become a subject of public debate. To address this, it is necessary to have evidence that documents its evolution. Within this context, the aim of the article is to analyze the state of the literature on parcelas de agrado in Chile. The method is based on three stages: the application of the PRISMA model for the identification and selection of documents, the establishment of areas and categories for quantitative analysis, and content analysis based on five dimensions. The results show a diversity of types of studies conducted in different years, territories, and scales in Chile, with a greater concentration of scientific articles and studies in areas of the central macrozone of Chile. The discussion highlights the diversity and proliferation of studies, facilitating elements and the spread of parcelas de agrado, the consequences on the territory, as well as the contribution of spatial planning. It is concluded that parcelas de agrado in Chile require greater attention from the State in relation to the territorial planning of rural, peri-urban, and suburban areas.
Full article

Figure 1
Open AccessReview
Promoting Urban Community Gardens as “Third Places”: Lessons from Toronto and São Paulo
by
Ashley Brito Valentim, Guiomar Freitas Guimarães, Carla Soraya Costa Maia and Fatih Sekercioglu
Reg. Sci. Environ. Econ. 2025, 2(3), 27; https://doi.org/10.3390/rsee2030027 - 25 Aug 2025
Cited by 1
Abstract
►▼
Show Figures
Urban community gardens (UCGs) have been expanding globally. Initially created to provide fresh, organic produce for low-income populations, UCGs have evolved into models of sustainable agriculture with increasing economic significance. Beyond their economic role, UCGs serve as vital social spaces and may be
[...] Read more.
Urban community gardens (UCGs) have been expanding globally. Initially created to provide fresh, organic produce for low-income populations, UCGs have evolved into models of sustainable agriculture with increasing economic significance. Beyond their economic role, UCGs serve as vital social spaces and may be categorized as third places—informal gathering spaces that foster social connections and promote well-being. This study analyzes and compares the impact of UCGs as third places in Toronto and São Paulo, focusing on their contributions to social cohesion, financial resilience, environmental sustainability, cultural transmission, and mental well-being. It is a review-based study utilizing publicly available data from policy documents, the academic literature, and official websites. Although the practice of community gardening has a long-standing history, the concept of gardens as third places is relatively recent, emerging in the late 1980s. In recent decades, there has been growing interest in their association not only with aesthetic and functional benefits but also with health, well-being, and social connection. UCGs are valuable not only for food production but also for fostering social interaction, preserving cultural practices, and promoting overall well-being. Cities must develop policies that strengthen community resilience by recognizing and supporting UCGs as essential third places.
Full article

Figure 1
Open AccessArticle
Assessing the Perception and Value of Marine Biodiversity and Taxonomy Research by the Recreational Diving Tourism Industry in Thailand
by
Wan Chantavilasvong, Pin Udomcharoenchaikit and Rahul Mehrotra
Reg. Sci. Environ. Econ. 2025, 2(3), 26; https://doi.org/10.3390/rsee2030026 - 25 Aug 2025
Abstract
►▼
Show Figures
The 21st century has seen marine tourism in Southeast Asia transform in response to the rapid growth of SCUBA diving and snorkeling activities in the natural environment. However, despite this level of integration between recreation and the natural environment, few assessments have ever
[...] Read more.
The 21st century has seen marine tourism in Southeast Asia transform in response to the rapid growth of SCUBA diving and snorkeling activities in the natural environment. However, despite this level of integration between recreation and the natural environment, few assessments have ever been conducted on the biodiversity or ecosystem values and experiences of the SCUBA diving community. Therefore, we explored the awareness, preferences and priorities of this community, with a particular emphasis on investigating the role of biodiversity documentation and species discoveries in motivating recreational diving. By conducting surveys of 366 recreational divers from Thailand, we were able to identify proportional priorities, finding greater valuation towards overall ecosystem esthetics than megafauna, with species-specific dive experiences being a niche but present interest. We also investigated diver priorities based on recently described or discovered marine fauna in Thai waters, focusing on five species of hard and soft coral, seven species of sea slug, and two species of shark. Of these, sea slug species were the most recognized and garnered the greatest potential economic value, likely due to their popularity with photographers. The results of this multidisciplinary investigation highlight the economic value of taxonomy and biodiversity research to the recreational SCUBA community.
Full article

Figure 1
Open AccessArticle
Research on the Mechanism of the Impact of Population Aging in the Yangtze River Delta Urban Agglomeration on Economic Growth
by
Chen Li and Xing Li
Reg. Sci. Environ. Econ. 2025, 2(3), 25; https://doi.org/10.3390/rsee2030025 - 18 Aug 2025
Abstract
►▼
Show Figures
In the context of the deep transformation of population structure and the coordinated advancement of high-quality development, exploring the mechanism of the impact of aging on economic growth has become a major issue related to the sustainable development of China. This study takes
[...] Read more.
In the context of the deep transformation of population structure and the coordinated advancement of high-quality development, exploring the mechanism of the impact of aging on economic growth has become a major issue related to the sustainable development of China. This study takes the 41 cities of the Yangtze River Delta urban agglomeration as a sample, using the population and economic census data from 2000 to 2020. It comprehensively applies an improved Solow model, GIS spatial analysis, spatial econometric models, and mediation effect tests to arrive at the following findings: (1) There is a significant asynchrony between economic growth and population aging in the Yangtze River Delta urban agglomeration. Economic growth has shifted from high-speed to high-quality development, while the aging process is accelerating and becoming more aged. (2) Population aging in the Yangtze River Delta has a nonlinear positive impact on economic growth. The intensity of this impact shows a characteristic of “strong-weak-strong,” with the first aging rate threshold being 11.63% and the second being 17.53%. (3) There is significant spatial autocorrelation between population aging and economic growth in the Yangtze River Delta urban agglomeration. The overall direction of the effect shows a spatial distribution pattern of “positive in the south and negative in the north.” The deepening of population aging in neighboring areas promotes local economic growth. (4) Labor productivity and optimization of the living environment constitute the core transmission pathways. Together, they account for more than 80% of the contribution and serve as the key mechanism for transforming aging pressures into growth momentum. This research provides practical guidance for solving the “rich” and “aging” contradictions in the Yangtze River Delta. It also offers a universal theoretical framework and a Chinese solution for aging economies worldwide to address the risk of growth stagnation.
Full article

Figure 1
Highly Accessed Articles
Latest Books
E-Mail Alert
News
Topics
Topic in
Earth, Land, RSEE, Smart Cities, Economies, World, Geographies
Australasian Cities at the Crossroads: Navigating Legacy, Innovation & Sustainability
Topic Editors: Mirko Guaralda, Alessio Russo, Sara Alidoust, Sébastien DarchenDeadline: 30 June 2026
Topic in
Data, Land, RSEE, Urban Science, World, Economies
From Circular Economy to Entrepreneurial Solutions for Sustainable Territories
Topic Editors: Rui Alexandre Castanho, Fabrício Pelloso PiurcoskyDeadline: 31 January 2027
Topic in
Real Estate, RSEE, Sustainability, Urban Science
Sustainability and Regional Development: Foundations and Challenges for This Symbiotic Relationship
Topic Editors: Dimitrios Tsiotas, Serafeim PolyzosDeadline: 10 April 2027
Topic in
Buildings, Sustainability, Urban Science, Smart Cities, Intelligent Infrastructure and Construction, RSEE
Sustainable Development and Artificial Intelligence in Smart Cities
Topic Editors: Enrico Ivaldi, Tiziano Pavanini, Claudia BurlandoDeadline: 15 April 2027

