- Article
Optimization Design of Key Mold Components for Slab Quality Improvement: Clamping Mechanism and Narrow Copper Plate
- Wenxue Wang,
- Yu Wang and
- Jun Huang
- + 6 authors
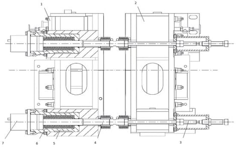
The surface quality and production efficiency of continuous-casting steel slabs are predominantly determined by the performance of the mold. To address slab corner defects and enhance operational stability, this study systematically optimized two key components: the broad-face clamping mechanism and the narrow-face copper plate. A disk spring–hydraulic composite clamping mechanism was designed and subjected to mechanical analysis to ensure sufficient and reliable clamping force under high-load casting conditions. Meanwhile, based on the principle of solidification shrinkage, an external chamfer structure for the narrow-face copper plate was proposed to improve heat transfer uniformity at the slab corner. Engineering design calculations and practical application in an export-oriented wide-and-heavy slab continuous-casting project (specification: 250 mm × 2500 mm) demonstrated that the optimized clamping mechanism provides enhanced structural rigidity, while the new narrow-face copper plate effectively mitigates corner cracks and reduces wear. This integrated design approach significantly improves slab surface quality and extends component service life, yielding substantial economic benefits.
25 February 2026









