Intelligent Stress Detection Using ECG Signals: Power Spectrum Imaging with Continuous Wavelet Transform and CNN
Abstract
1. Introduction
2. Materials and Methods
2.1. Raw ECG Database
2.2. ECG Signal Pre-Processing
2.2.1. Processing
2.2.2. Display of ECG Signals
2.3. Continuous Wavelet Transform
2.3.1. One-Dimensional to Two-Dimensional Signal Conversion
2.3.2. Data Augmentation
2.4. Classification Using DSCNN
2.4.1. Standard CNN Layer Structure and Functionality
2.4.2. DSCNN Depthwise and Pointwise Convolution
2.4.3. Benefits of Depthwise Separable Convolution
2.4.4. Example of Standard and Depth-Separated Convolutions
2.4.5. Proposed DSCNN Model Structure
2.4.6. Data Distribution and Analysis
2.4.7. Cross-Validation
2.4.8. Evaluation Metrics
2.4.9. Computational Load Assessment
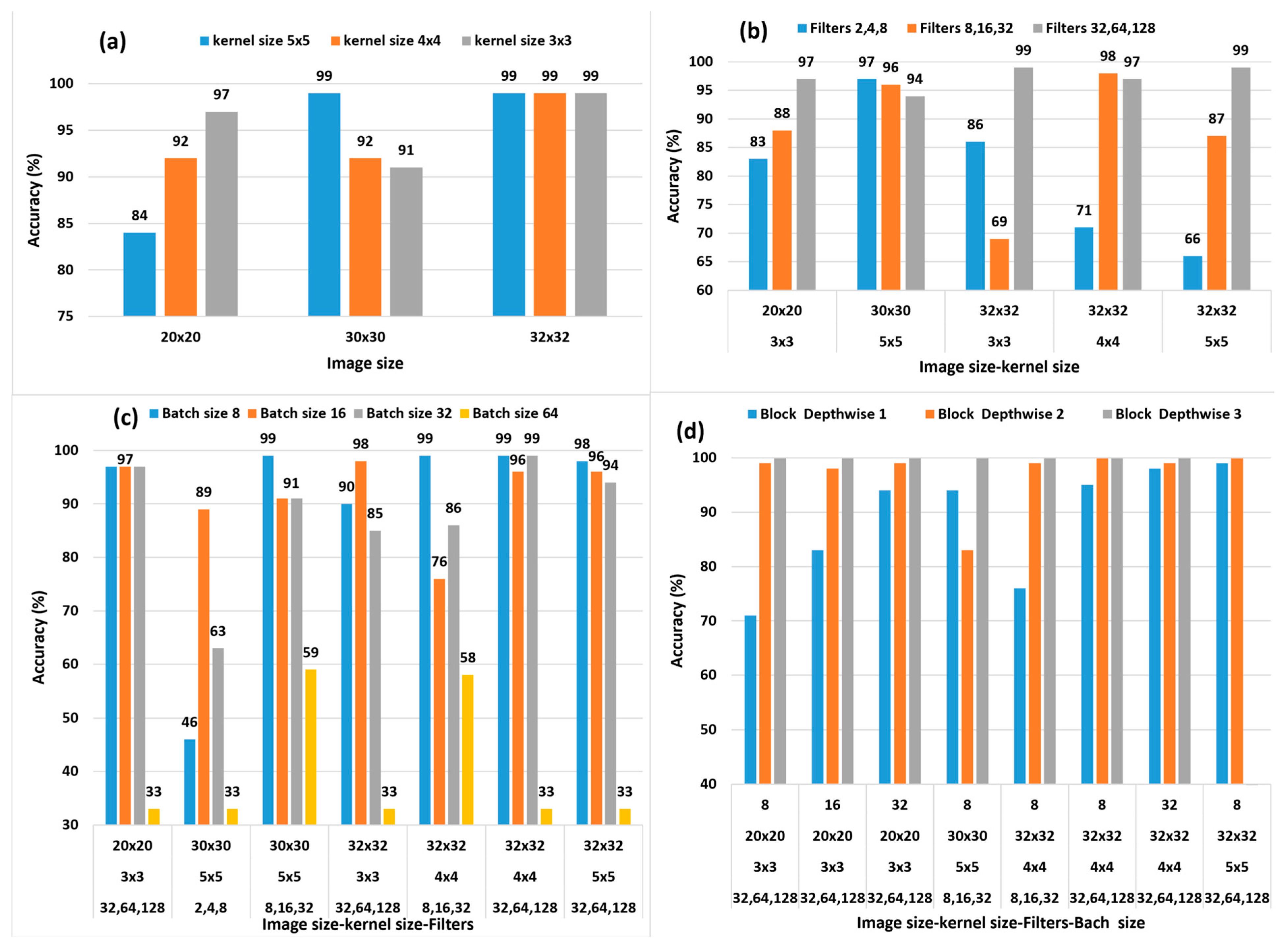
3. Results
3.1. ECG Signal Pre-Processing
3.2. CWT and Image Pre-Processing
3.3. DSCNN Result
3.4. Results of the Model Performance with K-Fold Metrics
3.5. Computational Load Results of DSCNN Architecture
4. Discussion
5. Conclusions
Author Contributions
Funding
Institutional Review Board Statement
Informed Consent Statement
Data Availability Statement
Acknowledgments
Conflicts of Interest
References
- Stress. Available online: https://my.clevelandclinic.org/health/diseases/11874-stress (accessed on 22 November 2024).
 - Stress. Available online: https://www.who.int/news-room/questions-and-answers/item/stress (accessed on 22 November 2024).
 - Stress and Your Health. Available online: https://medlineplus.gov/ency/article/003211.htm (accessed on 22 November 2024).
 - Chu, B.; Marwaha, K.; Sanvictores, T.; Awosika, A.O.; Ayers, D. Physiology, Stress Reaction. Available online: https://www.ncbi.nlm.nih.gov/books/NBK541120/ (accessed on 12 November 2024).
 - Shah, K.; Kumari, R.; Jain, M. Unveiling Stress Markers: A Systematic Review Investigating Psychological Stress Biomarkers. Dev. Psychobiol. 2024, 66, e22490. [Google Scholar] [CrossRef]
 - Ganster, D.C.; Victor, B. The Impact of Social Support on Mental and Physical Health. Br. J. Med. Psychol. 1988, 61, 17–36. [Google Scholar] [CrossRef] [PubMed]
 - Bengoechea-Fortes, S.D.L.P.; Ramírez-Expósito, M.J.; Martínez-Martos, J.M. Suicide, Neuroinflammation and Other Physiological Alterations. Eur. Arch. Psychiatry Clin. Neurosci. 2024, 274, 1037–1049. [Google Scholar] [CrossRef] [PubMed]
 - López, R. Suicide—A Silent Threat; Centro de Investigación y Desarrollo Profesional: Puebla, Mexico, 2024. [Google Scholar]
 - Adejumo, O.A.; Edeki, I.R.; Sunday Oyedepo, D.; Falade, J.; Yisau, O.E.; Ige, O.O.; Adesida, A.O.; Daniel Palencia, H.; Sabri Moussa, A.; Abdulmalik, J.; et al. Global Prevalence of Depression in Chronic Kidney Disease: A Systematic Review and Meta-Analysis. J. Nephrol. 2024, 37, 2455–2472. [Google Scholar] [CrossRef] [PubMed]
 - Nkurikiyeyezu, K.; Yokokubo, A.; Lopez, G. Effect of Person-Specific Biometrics in Improving Generic Stress Predictive Models. Sens. Mater. 2020, 32, 703. [Google Scholar] [CrossRef]
 - Morera, L.P.; Tempesti, T.C.; Pérez, E.; Medrano, L.A. Biomarcadores en la medición del estrés: Una revisión sistemática. Ansiedad Estrés 2019, 25, 49–58. [Google Scholar] [CrossRef]
 - Lee, H.-W.; Yoo, J.; Cha, J.-Y.; Ji, C.-H.; Eun, D.; Jang, J.-H.; Ju, H.-W.; Park, J.-M.; Jee, Y.-S. Effects of Winter Skiing on Stress, Heart Rate, Apprehension, and Enjoyment in Collegiate Students: A Single Randomized Controlled Trial. J. Exerc. Rehabil. 2019, 15, 235–241. [Google Scholar] [CrossRef]
 - Taskasaplidis, G.; Fotiadis, D.A.; Bamidis, P.D. Review of Stress Detection Methods Using Wearable Sensors. IEEE Access 2024, 12, 38219–38246. [Google Scholar] [CrossRef]
 - Available online: http://dspace.ups.edu.ec/handle/123456789/28359 (accessed on 22 November 2024).
 - McCraty, R.; Shaffer, F. Heart Rate Variability: New Perspectives on Physiological Mechanisms, Assessment of Self-Regulatory Capacity, and Health Risk. Glob. Adv. Health Med. 2015, 4, 46–61. [Google Scholar] [CrossRef]
 - Kim, H.-G.; Cheon, E.-J.; Bai, D.-S.; Lee, Y.H.; Koo, B.-H. Stress and Heart Rate Variability: A Meta-Analysis and Review of the Literature. Psychiatry Investig. 2018, 15, 235–245. [Google Scholar] [CrossRef]
 - Nkurikiyeyezu, K.; Shoji, K.; Yokokubo, A.; Lopez, G. Thermal Comfort and Stress Recognition in Office Environment. In Proceedings of the 12th International Joint Conference on Biomedical Engineering Systems and Technologies, Prague, Czech Republic, 22–24 February 2019; SCITEPRESS-Science and Technology Publications: Setúbal, Portugal, 2019; pp. 256–263. [Google Scholar] [CrossRef]
 - Mortensen, J.A.; Mollov, M.E.; Chatterjee, A.; Ghose, D.; Li, F.Y. Multi-Class Stress Detection through Heart Rate Variability: A Deep Neural Network Based Study. IEEE Access 2023, 11, 57470–57480. [Google Scholar] [CrossRef]
 - Dalmeida, K.M.; Masala, G.L. HRV Features as Viable Physiological Markers for Stress Detection Using Wearable Devices. Sensors 2021, 21, 2873. [Google Scholar] [CrossRef] [PubMed]
 - Mentis, A.-F.A.; Lee, D.; Roussos, P. Applications of Artificial Intelligence-Machine Learning for Detection of Stress: A Critical Overview. Mol. Psychiatry 2024, 29, 1882–1894. [Google Scholar] [CrossRef] [PubMed]
 - Sankar, H.; Krishna Jyothis, V.; Prasad, G.; Abhijith, S. Anudev Cardiovascular Health Prediction Using HRV Parameters: A Comparative Study of Machine Learning Techniques. In Proceedings of the 2024 Control Instrumentation System Conference, Manipal, India, 2–3 August 2024; IEEE: Piscataway, NJ, USA, 2024; pp. 1–6. [Google Scholar]
 - Rahman, R.A.; Omar, K.; Mohd Noah, S.A.; Danuri, M.S.N.M.; Al-Garadi, M.A. Application of Machine Learning Methods in Mental Health Detection: A Systematic Review. IEEE Access 2020, 8, 183952–183964. [Google Scholar] [CrossRef]
 - Bobade, P. Vani Stress Detection with Machine Learning and Deep Learning Using Multimodal Physiological Data. In Proceedings of the 2020 Second International Conference on Inventive Research in Computing Applications (ICIRCA), Coimbatore, India, 15–17 July 2020; IEEE: Piscataway, NJ, USA, 2020. [Google Scholar]
 - Dham, V.; Rai, K.; Soni, U. Mental Stress Detection Using Artificial Intelligence Models. J. Phys. Conf. Ser. 2021, 1950, 012047. [Google Scholar] [CrossRef]
 - Wu, Y.; Yang, F.; Liu, Y.; Zha, X.; Yuan, S. A Comparison of 1-D and 2-D Deep Convolutional Neural Networks in ECG Classification. arXiv 2018, arXiv:1810.07088. [Google Scholar]
 - Elzeiny, S.; Qaraqe, M. Stress Classification Using Photoplethysmogram-Based Spatial and Frequency Domain Images. Sensors 2020, 20, 5312. [Google Scholar] [CrossRef]
 - Phukan, O.C.; Ankita, D.; Buduru, A.B.; Rajesh, S. SONIC: Synergizing VisiON Foundation Models for Stress Recog-NItion from ECG Signals. arXiv 2024, arXiv:2404.00827. [Google Scholar]
 - Ishaque, S.; Khan, N.; Krishnan, S. Detecting Stress through 2D ECG Images Using Pretrained Models, Transfer Learning and Model Compression Techniques. Mach. Learn. Appl. 2022, 10, 100395. [Google Scholar] [CrossRef]
 - Chollet, F. Xception: Deep Learning with Depthwise Separable Convolutions. In Proceedings of the 2017 IEEE Conference on Computer Vision and Pattern Recognition (CVPR), Honolulu, HI, USA, 21–26 July 2017; IEEE: Piscataway, NJ, USA, 2017. [Google Scholar]
 - Howard, A.G.; Zhu, M.; Chen, B.; Kalenichenko, D.; Wang, W.; Weyand, T.; Andreetto, M.; Adam, H. MobileNets: Efficient Convolutional Neural Networks for Mobile Vision Applications. arXiv 2017, arXiv:1704.04861. [Google Scholar]
 - Zhang, X. Deep Learning for Electrocardiogram Classification: A Comprehensive Review. Comput. Biol. Med. 2020, 124, 103968. [Google Scholar] [CrossRef]
 - Huang, Y. Transforming ECG Signals into Images for Classification with CNNs: A Review of Approaches and Challenges. IEEE Access 2021, 9, 110968–110981. [Google Scholar]
 - Cho, H.-M.; Park, H.; Dong, S.-Y.; Youn, I. Ambulatory and Laboratory Stress Detection Based on Raw Electrocardiogram Signals Using a Convolutional Neural Network. Sensors 2019, 19, 4408. [Google Scholar] [CrossRef] [PubMed]
 - Qiu, C.; Li, H.; Qi, C.; Li, B. Enhancing ECG Classification with Continuous Wavelet Transform and Multi-Branch Transformer. Heliyon 2024, 10, e26147. [Google Scholar] [CrossRef] [PubMed]
 - Koldijk, S.; Sappelli, M.; Verberne, S.; Neerincx, M.A.; Kraaij, W. The SWELL Knowledge Work Dataset for Stress and User Modeling Research. In Proceedings of the 16th International Conference on Multimodal Interaction, Istanbul, Turkey, 12–16 November 2014; ACM: New York, NY, USA, 2014. [Google Scholar]
 - Gupta, V.; Mittal, M.; Mittal, V. A Simplistic and Novel Technique for ECG Signal Pre-Processing. IETE J. Res. 2024, 70, 815–826. [Google Scholar] [CrossRef]
 - Alla, M.R.; Nayak, C. A Robust ECG Signal Enhancement Technique through Optimally Designed Adaptive Filters. Biomed. Signal Process. Control 2024, 95, 106434. [Google Scholar] [CrossRef]
 - Saini, S.K.; Gupta, R. A Novel Method for Mental Stress Assessment Based on Heart Rate Variability Analysis of Electrocardiogram Signals. Wirel. Pers. Commun. 2024, 136, 521–545. [Google Scholar] [CrossRef]
 - Ozaydin, S.; Ahmad, I. Comparative Performance Analysis of Filtering Methods for Removing Baseline Wander Noise from an ECG Signal. Fluct. Noise Lett. 2024, 23. [Google Scholar] [CrossRef]
 - Pal, H.S.; Kumar, A.; Vishwakarma, A.; Singh, G.K.; Lee, H.-N. A New Automated Compression Technique for 2D Electrocardiogram Signals Using Discrete Wavelet Transform. Eng. Appl. Artif. Intell. 2024, 133, 108123. [Google Scholar] [CrossRef]
 - Rivero, I.; Valdés, E.; Valdés, F.E. Robust Detection of AO and IM Points in the Seismocardiogram Using CWT. IEEE Lat. Am. Trans. 2016, 14, 4468–4473. [Google Scholar] [CrossRef]
 - Shorten, C.; Khoshgoftaar, T.M. A Survey on Image Data Augmentation for Deep Learning. J. Big Data 2019, 6, 60. [Google Scholar] [CrossRef]
 - Pérez, L.; Wang, J. The Effectiveness of Data Augmentation in Image Classification Using Deep Learning. Convolutional Neural Netw. Vis. Recognit. 2017, 13, 1–8. [Google Scholar]
 - Namatēvs, I. Deep Convolutional Neural Networks: Structure, Feature Extraction and Training. Inf. Technol. Manag. Sci. 2017, 20. [Google Scholar] [CrossRef]
 - Alzubaidi, L.; Zhang, J.; Humaidi, A.J.; Al-Dujaili, A.; Duan, Y.; Al-Shamma, O.; Santamaría, J.; Fadhel, M.A.; Al-Amidie, M.; Farhan, L. Review of Deep Learning: Concepts, CNN Architectures, Challenges, Applications, Future Directions. J. Big Data 2021, 8, 53. [Google Scholar] [CrossRef]
 - Waghumbare, A.; Singh, U.; Kasera, S. DIAT-DSCNN-ECA-Net: Separable Convolutional Neural Network-Based Classification of Galaxy Morphology. Astrophys. Space Sci. 2024, 369, 38. [Google Scholar] [CrossRef]
 - Li, M.; Ma, C.; Dang, W.; Wang, R.; Liu, Y.; Gao, Z. DSCNN: Dilated Shuffle CNN Model for SSVEP Signal Classification. IEEE Sens. J. 2022, 22, 12036–12043. [Google Scholar] [CrossRef]
 - Huang, Z.; Ma, Y.; Wang, R.; Yuan, B.; Jiang, R.; Yang, Q.; Li, W.; Sun, J. DSCNN-LSTMs: A Lightweight and Efficient Model for Epilepsy Recognition. Brain Sci. 2022, 12, 1672. [Google Scholar] [CrossRef]
 - Zhang, J.; Li, C.; Zhang, Z. A Survey of Cross-Validation for Model Selection. IEEE Access 2020, 8, 138980–139002. [Google Scholar]
 - He, X.; Wang, Y.; Li, Y. Cross-Validation for Model Selection: A Practical Overview. Pattern Recognit. Lett. 2020, 137, 215–220. [Google Scholar]
 - Maxwell, A.E.; Warner, T.A.; Guillén, L.A. Accuracy Assessment in Convolutional Neural Network-Based Deep Learning Remote Sensing Studies—Part 1: Literature Review. Remote Sens. 2021, 13, 2450. [Google Scholar] [CrossRef]
 - Krstinić, D.; Braović, M.; Šerić, L.; Božić-Štulić, D. Multi-Label Classifier Performance Evaluation with Confusion Matrix. Comput. Sci. Inf. Technol. 2020, 1, 1–14. [Google Scholar]
 - Basodi, S.; Ji, C.; Zhang, H.; Pan, Y. Gradient Amplification: An Efficient Way to Train Deep Neural Networks. Big Data Min. Anal. 2020, 3, 196–207. [Google Scholar] [CrossRef]
 - He, K.; Zhang, X.; Ren, S.; Sun, J. Deep Residual Learning for Image Recognition. In Proceedings of the 2016 IEEE Conference on Computer Vision and Pattern Recognition (CVPR), Las Vegas, NV, USA, 26 June–1 July 2016; IEEE: Piscataway, NJ, USA, 2016. [Google Scholar] [CrossRef]
 - World Leader in Artificial Intelligence Computing. Available online: https://www.nvidia.com (accessed on 22 January 2025).
 










| Layer (Type) | Description | Output Shape | Parameters | 
|---|---|---|---|
| Input | Grayscale image input with shape (30, 30, 1) | (30, 30, 1) | - | 
| DepthwiseConv2D (Block 1) | Depthwise separable convolution with 3 × 3 kernel and 32 filters; depthwise convolution is applied first, followed by a 1 × 1 convolution | (30, 30, 32) | Kernel size = 3; strides = 1; padding = “same” | 
| BatchNormalization (Block 1) | Batch normalization after the convolution | (30, 30, 32) | - | 
| ReLU (Block 1) | ReLU activation function for non-linearity | (30, 30, 32) | - | 
| Conv2D (Block 1) | 1 × 1 convolution to adjust the number of channels | (30, 30, 32) | Kernel size = 1; padding = “same” | 
| BatchNormalization (Block 1) | Batch normalization after the 1 × 1 convolution | (30, 30, 32) | - | 
| Add (Block 1) | Residual connection; adjusts dimensions, if necessary, via a 1 × 1 convolution | (30, 30, 32) | - | 
| ReLU (Block 1) | ReLU activation function for non-linearity | (30, 30, 32) | |
| DepthwiseConv2D (Block 2) | Depthwise separable convolution with 3 × 3 kernel and 64 filters | (30, 30, 64) | Kernel size = 3; strides = 1; padding = “same” | 
| BatchNormalization (Block 2) | Batch normalization after the convolution | (30, 30, 64) | |
| ReLU (Block 2) | ReLU activation function for non-linearity | (30, 30, 64) | |
| Conv2D (Block 2) | 1 × 1 convolution to adjust the number of channels | (30, 30, 64) | Kernel size = 1; padding = “same” | 
| BatchNormalization (Block 2) | Batch normalization after the 1 × 1 convolution | (30, 30, 64) | |
| Add (Block 2) | Residual connection. Adjusts dimensions, if necessary, via a 1 × 1 convolution | (30, 30, 64) | |
| ReLU (Block 2) | ReLU activation function for non-linearity | (30, 30, 64) | |
| DepthwiseConv2D (Block 3) | Depthwise separable convolution with 3 × 3 kernel and 128 filters | (30, 30, 128) | Kernel size = 3; strides = 1; padding = “same” | 
| BatchNormalization (Block 3) | Batch normalization after the convolution | (30, 30, 128) | |
| ReLU (Block 3) | ReLU activation function for non-linearity | (30, 30, 128) | |
| Conv2D (Block 3) | 1 × 1 convolution to adjust the number of channels | (30, 30, 128) | Kernel size = 1; padding = “same” | 
| BatchNormalization (Block 3) | Batch normalization after the 1 × 1 convolution | (30, 30, 128) | |
| Add (Block 3) | Residual connection; adjusts dimensions using a 1 × 1 convolution if necessary | (30, 30, 128) | |
| ReLU (Block 3) | ReLU activation function for non-linearity | (30, 30, 128) | |
| GlobalAveragePooling2D | Global average pooling to reduce the spatial dimensions | (128) | |
| Dense (Output Layer) | Dense layer with softmax activation for classification into 3 classes (adjust according to the number of classes) | (3) | Units = 3; activation = “softmax” | 
| Class | Precision (%) | Recall (%) | F1-Score (%) | 
|---|---|---|---|
| Neutral | 100.00 | 100.00 | 100.00 | 
| Time pressure | 100.00 | 99.99 | 100.00 | 
| Interruptions | 100.00 | 100.00 | 100.00 | 
| Average | 100.00 | 99.99 | 100.00 | 
| Accuracy | 99.99% | 
| K-Fold | Loss (%) | Accuracy (%) | 
|---|---|---|
| Fold 1 | 0.99 | 100.00 | 
| Fold 2 | 0.52 | 100.00 | 
| Fold 3 | 2.18 | 99.41 | 
| Fold 4 | 1.37 | 99.241 | 
| Fold 5 | 2.81 | 98.22 | 
| Average | 1.57 | 99.41 | 
| Work | Main Approach | Dataset | Accuracy  (%)  | Architecture | Number of Parameters | Training Time (s) | Inference Time (s) | 
|---|---|---|---|---|---|---|---|
| [27] | Spectrograms + Pretrained ResNet50 | SWELL-KW | 98 | ResNet50 | 23.5 M | 2150.00 | 0.1235 | 
| [28] | Fourier Transform + SVM | WESAD | 95 | SVM | N/A | N/A | N/A | 
| [33] | CWT + Standard CNN | SWELL-KW | 96 | Standard CNN | 243,179 | 5893.15 | 0.0763 | 
| This work | CWT + DSCNN | SWELL-KW | 99 | DSCNN | 12,495.0 | 408.26 | 0.0671 | 
Disclaimer/Publisher’s Note: The statements, opinions and data contained in all publications are solely those of the individual author(s) and contributor(s) and not of MDPI and/or the editor(s). MDPI and/or the editor(s) disclaim responsibility for any injury to people or property resulting from any ideas, methods, instructions or products referred to in the content.  | 
© 2025 by the authors. Licensee MDPI, Basel, Switzerland. This article is an open access article distributed under the terms and conditions of the Creative Commons Attribution (CC BY) license (https://creativecommons.org/licenses/by/4.0/).
Share and Cite
Mateo-Reyes, R.; Cruz-Albarran, I.A.; Morales-Hernandez, L.A. Intelligent Stress Detection Using ECG Signals: Power Spectrum Imaging with Continuous Wavelet Transform and CNN. J. Exp. Theor. Anal. 2025, 3, 6. https://doi.org/10.3390/jeta3010006
Mateo-Reyes R, Cruz-Albarran IA, Morales-Hernandez LA. Intelligent Stress Detection Using ECG Signals: Power Spectrum Imaging with Continuous Wavelet Transform and CNN. Journal of Experimental and Theoretical Analyses. 2025; 3(1):6. https://doi.org/10.3390/jeta3010006
Chicago/Turabian StyleMateo-Reyes, Rodrigo, Irving A. Cruz-Albarran, and Luis A. Morales-Hernandez. 2025. "Intelligent Stress Detection Using ECG Signals: Power Spectrum Imaging with Continuous Wavelet Transform and CNN" Journal of Experimental and Theoretical Analyses 3, no. 1: 6. https://doi.org/10.3390/jeta3010006
APA StyleMateo-Reyes, R., Cruz-Albarran, I. A., & Morales-Hernandez, L. A. (2025). Intelligent Stress Detection Using ECG Signals: Power Spectrum Imaging with Continuous Wavelet Transform and CNN. Journal of Experimental and Theoretical Analyses, 3(1), 6. https://doi.org/10.3390/jeta3010006
        
