Abstract
Homophily, which means similarity breeds association, is one of the most fundamental principles in social organization. However, in some cases, homophily is not significant, because actors’ perceptions of others differ from the real situation. In this article, we use the term “subjective homophily” to describe the homophily where the perceived similarity of objects is considered. In addition, we also consider social influence, which is closely related to homophily and represents the diffusion of some attributes through associations. In short, the dynamic temporal logic we propose in this article is based on computation tree logic (CTL), which is used to describe the evolution of networks by subjective homophily, and dynamic logic (DL), which provides the dynamic update operator for representing active social influence. Furthermore, we prove that the model checking problem and the validity checking problem for are both PSPACE-complete. Finally, we use an example, named false consensus, to illustrate how logic captures the subjective homophily evolution of networks and the impact of active social influence on evolution and structure.
1. Introduction
Homophily, meaning that individuals associate through similarity, is one of the most fundamental principles in social organization [1,2]. This principle is not only widely accepted and acknowledged but is also supported by a large amount of data. However, some studies in recent years have shown that homophily is not as significant as previously thought in some cases. Ref. [3] summarized from a Facebook survey that the reason for this phenomenon may be that “friends on social networks are not as similar as they expected, and often cannot even realize where the differences lie”. In other words, Ref. [3] concluded that the resulting gap between actual and perceived agreement may influence the effect of homophily and the network dynamics generated by it, i.e., the lack of consideration of individuals’ cognition is likely to be the reason why homophily is not significant in some studies. In this article, we call homophily considering individual’s subjective cognition subjective homophily (it is also called perceived homophily in some literature). And we then generalize the previous work [4] that can only represent homophily based on the actual similarity between individuals, which we call objective homophily, to analyze and characterize the evolution of networks by subjective homophily.
In addition to the selection effect described above, homophily also depicts a phenomenon closely related to social influence, named socialization, which implies that individuals associated with each other through similarity are able to become more similar. In other words, socialization indicates that the relationship between individuals and attributes can be passed through associations between individuals. In this article, we also take socialization into account in the form of active social influence, i.e., peer pressure. Therefore, socialization is interpreted as a kind of dynamic action. More precisely, it is characterized by dynamic operators in dynamic logic, rather than represented by time evolution and temporal logic.
In addition to our previous work [4], the studies most related to this article are the following two: First, Refs. [5,6] use dynamic logic and dynamic epistemic logic to represent and reason about threshold-driven diffusion (passive social influence) and link change (homophily) in social networks. Second, a series of works, named logic of allies and enemies (LAE) [7,8,9,10], characterize the dynamics of social networks under one of the most important structural theories—structure balance theory. The basic LAE is based on computation tree logic (CTL), i.e., the evolution of a network is represented by a computational tree model.
In this article, we use CTL and the threshold model to capture the evolution of networks under the influence of subjective homophily, and use the dynamic update operator to represent peer pressure and how it influences the evolution. In addition, we also introduce the methods in formal concept analysis (FCA) to represent and extract the information of networks, similar to previous work [4]. First, we generalize the heterogeneous network in our previous work [4] to a subjective network, which can be used to represent the object’s subjective cognition of the social context described by this network (Section 2). Secondly, we introduce a special type of SubNets, called mutual recognition networks, where homophily can be more significant, and then, define the subjective homophily time evolution and dynamic action update on the MRN (Section 3). Thirdly, we establish the logic of subjective homophily , based on CTL and dynamic logic, and then, propose a model checking and validity checking problem for and prove that they are both PSPACE-complete (Section 4). Fourthly, we provide an example about “false consensus” to represent and explain time evolution, dynamic update, and logic (Section 5). Finally, we summarize our work and briefly illustrate the directions for future work (Section 6).
2. Subjective Heterogeneous Network
In order to represent the individuals’ cognition of the social context and subjective homophily, we introduce the subjective network (SubNet for short) first. A subjective network is a generalization of a heterogeneous network that can simultaneously represent the association between objects and the affiliation between objects and attributes. From the perspective of graph theory, a SubNet is a type of three-labeled directed pseudograph. In a SubNet, parallel edges represent different individuals’ perceptions of the relationship indicated by the edges.
Definition 1.
A subjective network is a quadruple , where sets G and M are non-empty, finite, and disjoint, and are defined as follows:
- ,
- .
are called labeling functions and the values are called labels.
For SubNet, similar to [4], we use the terminology from formal concept analysis, referring to elements in G as objects and elements in M as attributes. Moreover, the term “object” is considered a more general version of terms such as “actor”, “individual”, or “entity”, and we do not strictly distinguish between these terms. Specifically, for any actor , represents the object g’s cognition of the relationship between any object and attribute , while represents the object g’s cognition of the association between any objects . Furthermore, the three labels +, −, and 0 indicate “the relationship exists”, “the relationship does not exist”, and “the relationship cannot be determined”, respectively. Take as an example to briefly explain the meanings of parallel edges: indicates that “for object 1, object 1 has attribute a”; indicates that “for object 2, object 2 does not have attribute b”; indicates that “for object 3, it is indeterminate whether object 2 has attribute b”; indicates that “for object 2, object 2 associates to object 1”; indicates that “for object 2, object 2 does not associate to object 3”; indicates that “for object 2, it is indeterminate whether object 3 associates to object 2 or not”. Specifically, we use “associate to” instead of “associate with” here to indicate the direction of the edge.
We use Figure 1 as an example to illustrate the key of SubNet. Unshaded circles represent “objects”, shaded circles represent “attributes”, and arrows on the lines indicate the directions of relationships. Furthermore, lines of different colors represent the cognition of different objects: gray represents object 1, yellow represents object 2, and blue represents object 3. In addition, different types of lines indicate different labels: solid line represents the label +, dashed line represents the label −, and the absence of a line represents the label 0.
Figure 1.
Subjective network .
However, SubNet often appears “cluttered” (as shown in Figure 1) since it needs to represent multiple types of edges. Therefore, to achieve a clearer representation, we introduce the subjective structure, which is equivalent to SubNet.
Definition 2.
is called the subjective structure, Sub for short, of a SubNet and is called the subjective cognition (SubCog) of the object g.
Sub is a collection of three-labeled digraphs, which is a generalization of the heterogeneous networks (HetNet) in [4]. More precisely, a SubCog in Sub reflects the subjective cognition of an object in SubNet about the social context represented by this SubNet. For example, Figure 2 shows the subjective structure of . Specifically, the edges in , , and correspond to the gray edges, yellow edges, and blue edges in SubNet , respectively. In other words, , , and reflect the subjective cognition of objects 1, 2, and 3, respectively. For the sake of clarity and readability, SubNet will be equivalently represented in the form of Sub in the following.
Figure 2.
’s subjective structure .
Finally, we use the “questionnaire” as an analogy to briefly distinguish and explain general social networks, SubNets, and Subs. First, the general social network can be considered to reflect a questionnaire in which “the questions only involve the respondents themselves” and “the answers can only be “yes” or “no”, while SubNet and Sub represent questionnaires in which “the questions involve the respondents’ cognition of other respondents” and “the answers can be “yes”, “no” or “uncertain”. Then, the difference between SubNet and Subis that the former is considered as an “aggregated survey result”, while the latter represents a “direct listing of survey results”. Moreover, each SubCog is considered as a questionnaire filled out by the corresponding respondents. In general, unlike the traditional approach in epistemic logic and dynamic epistemic logic, SubNet is merely a model designed to describe and represent subjective homophily, based on the understanding of the aforementioned social survey methods.
2.1. Structural Hypotheses
The SubNet given by Definition 1 provides the most basic characterization of subjective cognition. In this subsection, we present some structural hypotheses related to cognitive states to enrich the expression of SubNet.
Hypothesis 1.
Any object always associates with itself.
Hypothesis 1 states that for any object , is reflexive. In fact, a similar meaning can be expressed by requiring the relation R to be irreflexive. However, if we consider a very natural idea, “Any object is always most similar to itself”, then requiring reflexivity is a more reasonable setting in the context of this article. Moreover, we also choose this setting due to some technical considerations.
Hypothesis 2.
The association between objects requires mutual agreement from both parties.
Hypothesis 2 not only implies the symmetry of the association, which means “the association between objects always exists symmetrically in subjective cognition”, but also indicates that “both parties involved in the association have the same attitude towards this association”. In other words, Hypothesis 2 states that for any object , , and .
For homophily, mutual recognition of the association is likely to play a significant role [2]. The most common examples that satisfy Hypothesis 2 in real life are “friend relationships” in private social media (e.g., WhatsApp, Line, etc.). On these social media platforms, if a user wants to become “friends” with other users, the requests needs to be verified by the other party, i.e., the “friend” relationship is mutually recognized by both parties.
Hypothesis 3.
An object can always determine its own social relationships.
Hypothesis 3 states that for any object and attribute , and . Similarly, the social relationship in private social media is also a clear real-world example that conforms to the conditions described by Hypothesis 3.
Hypothesis 4.
An object’s objective social behavior is always consistent with its own social relationships in its SubCog.
Unlike all the previous hypotheses, Hypothesis 4 describes a superstructural property. This hypothesis is derived from the basic assumption that researchers make about respondents in social surveys, i.e., researchers always assume that the respondents are honest and their answers are reliable. Therefore, we can extract and represent objective information from the SubNet by Hypothesis 4.
Definition 3.
SubNet ’s objective information network (OIN) , where and satisfy the following conditions: for any and , and .
The OIN given by Definition 3 is also a three-labeled digraph. Taking as an example, Figure 3 shows its OIN. , , and in correspond to , , and in , respectively. In addition, if Hypothesis 4 is interpreted as the basic assumption that “respondents should answer truthfully”, OIN can be interpreted as a reliable “survey result” obtained by it. Furthermore, Hypothesis 4 is set as valid by default in the following sections to ensure that “objectivity” can be achieved.
Figure 3.
’s objective information network .
2.2. Subjective Similarity
In order to simplify the following definitions, we provide the definition of derivation operators, which originate from the concept of formation operators in FCA [11].
Definition 4.
Consider set . Derivation operators and are defined as follows (where ):
In logical works such as [6,12], the similarity between objects is defined as “the ratio of the number of attributes that objects both possess and do not possess to the total number of attributes”. In contrast, in [4] and this work, we directly use the number of attributes that objects possess in common to represent the similarity. The reasons for this approach are as follows: First, we use “values” instead of “ratios” mainly for technical reasons. Since once the network is determined, the attribute set is also fixed, these two approaches do not differ in expression. Second, we exclude “attributes that both objects do not possess” from similarity for these three reasons: (1) Considering “attributes that both objects do not possess” does not align with the intuitive understanding of similarity in homophily theory. For example, two individuals, A and B, might become friends because they are both from Beijing, but it is unlikely that they would become friends simply because neither of them is from Beijing. (2) Current empirical research does not support this approach. Specifically, “attributes that both objects do not possess” cannot significantly reflect homophily. For instance, [13] shows that: “Regardless of whether participants themselves smoke or not, non-smokers are considered as people that they are more willing to work with”. (3) We do not interpret “possessing/not possessing an attribute” as “supporting/opposing an attribute”, which may make “attributes that both objects do not possess” more meaningful. In other words, we prefer to view “support/opposition” as part of the attribute rather than as a relationship. For example, let attributes a and b represent “supporting a issue” and “opposing a issue”, respectively. and can indicate that “object o does not support a” and “object o does not oppose b”, respectively.
Definition 5.
Consider a SubNet . The subjective similarity of object set with respect to object (denoted by ) is equal to the number of attributes that the objects in O possess in common in g’s SubCog, i.e., . In particular, for , we use to denote .
In Definition 5, . Consider a SubNet . Since Hypothesis 4 holds, the objective similarity of an object set (denoted by ) can be defined similarly. Intuitively, represents the number of attributes that all objects in O have in common in the OIN, i.e., , where . Moreover, for objects , is also abbreviated as .
Using SubNet as an example, we have the following: , , , and . Therefore, it is not difficult to find that the same object set may have different similarities in different SubCogs and OIN.
2.3. sIbA
The implication between attributes (IbA for short) in FCA was generalized to the HetNet in previous work (for more details, please see [4]) to extract and represent network information. Since SubCog is a three-labeled HetNet, we can define the implication between attributes with respect to SubNet in a similar way. In short, we generalize the definition by regarding the SubCog as an equivalent affiliation network and, more precisely, by adding different superscripts on object and attribute symbols to indicate edges with different labels.
Consider an object set G and an attribute set M. Let , , , , and , , and . Specifically, means “associate with object g”, means “not associate with object g”, means “cannot determine whether it associates with object g”, means “only associate with object g”; means “have attribute m”, means “not have attribute m”, means “cannot determine whether it has attribute m”. In summary, we call the above symbols indices, and hence, all indices with + are called positive indices, all indices with − are called negative indices, and all indices with 0 are called neutral indices. These three types of indices are called pure indices. In addition, all indices in the form of are called self indices.
Definition 6.
Given non-empty, finite, and disjoint sets G and M, for and , the subjective implication between attributes (sIbA for short) is a triple (denoted as ). sIbA holds on if and only if .
Consider an index . Its body is represented by , and if is a pure index, let represent its superscript. Furthermore, given a set of indices, denoted by , represents the set of bodies of indices in . In Definition 6, and ; (i.e., ), (i.e., ) and . Moreover, and represent labeling functions I and R in the form of relations, respectively. In addition, we use the abbreviation to denote and for any sIbA ; in writing, we will omit the brackets and comma in sets A and B, and represent the elements in the sets as strings with a fixed order. For example, we will replace with .
Taking as an example, means “for object 1, any object that has attribute a has attribute b”; means “for object 1, any object that has attributes a and b does not associate with object 3”; means “for object 2, any object that cannot be determined whether it has attribute b has attribute a”; and means “for object 3, any object that only associates with 3 does not associate with object 1”. Obviously, all the above sIbA hold on . In addition, and have the same meaning as in [4], which enable sIbA to directly represent the objective relationship of an object through the reflexivity of association. Therefore, for example, also means that “for object 3, object 3 itself does not associate with object 1”, i.e., “object 3 does not associate with object 1”.
3. Time Evolution and Dynamic Action
Since homophily is more significant when the association is mutually recognized by the objects, i.e., associations are considered to be symmetric in object’s cognition [2], we mainly study and discuss subjective homophily on a special type of SubNets named mutual recognition networks (MRNs for short) in this article.
In this section, we first introduce the MRN, and then, define the time-evolution structure and dynamic update of it.
3.1. Mutual Recognition Network
Definition 7.
SubNet is called a mutual recognition network if and only if S satisfies Hypotheses 1–3, which means for any and , is reflexive, , , , and .
Since the associations between objects are symmetric in MRN, in the diagram of MRN like Figure 4, arrows on the edges representing associations are omitted, and symmetric directed edges are therefore represented in undirected form. Furthermore, to simplify the representation, self-loops and arrows on the object–attribute relationships are also omitted in the diagram.
Figure 4.
Mutual recognition network .
According to Hypotheses 2 and 3, MRNs given by Definition 7 can be considered as a type of platform of private social media. Taking Figure 4 as an example, indicates that “for any users, user 1 associates to itself”; and indicate that “for user 1, the association between it and user 2 does not exist”; indicates that “for users 1 and 2, the association from 1 to 2 does not exist”, and hence, “users 1 and 2 both recognize that there is not an association between them”.
Proposition 1.
Consider an MRN . For , .
Proposition 1 holds trivially by Hypotheses 2 and 3. According to Proposition 1, in an MRN, any object can identify the social relationships it is involved in. In other words, any association between objects and object–attribute relationship either exists, i.e., the value is +, or does not exist, i.e., the value is −. For example, in Figure 5, for any objects and attribute a, there is an edge between i and j, as well as i and a.
Figure 5.
’s objective information network .
3.2. Subjective Homophily Evolution
Similar to the approach in [4], we use similarity directly to judge whether the selection of homophily can take effect. Specifically, we set the subjective homophily coefficient (denoted by ) to represent the minimum similarity for selection to take effect. In other words, a pair of objects can only be associated by homophily if their subjective similarities are both greater than or equal to the coefficient . Furthermore, this approach can be considered similar to the threshold model used in [6,12]. However, in previous work [4], to facilitate axiomatization, we did not apply the threshold directly to the model. Although we do not consider the axiom system in this work, we also do not use the threshold model directly for the same reason. Instead, we represent the thresholds through the language of logic.
Definition 8.
Consider an MRN . For objects , if , , and , then it is said that objects i and j can be associated by subjective homophily at .
For the subjective homophily coefficient , when M is determined, the value range of will also be determined, i.e., is a positive integer satisfying that , since the maximum similarity can only be . In addition, we can also generalize Definition 8 to the set of objects. For object sets , if there are objects such that g and o can be associated by subjective homophily at , then it is said that O can be organized by subjective homophily at . Take as an example. Objects 1 and 2 can become associated by subjective homophily at coefficient 1, but cannot be associated at 2, since . However, from an objective perspective, objects 1 and 2 cannot become associated by objective homophily at any coefficients since they cannot be observed to have any similarities from this perspective, i.e., .
For an MRN , it can evolve by subjective homophily at the coefficient if and only if there is a pair of objects such that objects can become associated by subjective homophily at .
Definition 9.
The immediate successor of an MRN at a coefficient (-immediate successor, for short) is an MRN satisfying the following conditions (where ):
- (1)
- If cannot evolve by subjective homophily at , then ;
- (2)
- If can evolve by subjective homophily at , then there is only one pair of objects such that can be associated by subjective homophily at in S and are associated in , i.e., , , , , and for any , if , or and , or and , then .
Considering an MRN S and one of its -immediate successors , we use to denote the relation of immediate successors. Taking Figure 6 as an example, we have . Specifically, evolves from through the generation of association between objects 1 and 2. Although in , they have different understandings of the source of this similarity, i.e., object 1 considers it as attribute b, while object 2 considers it as attribute a. Nevertheless, as mentioned at the end of the previous section, there is no similarity observed between objects 1 and 2, objectively. Therefore, this is the reason why objective homophily is not often significant, as it requires consideration of subjective homophily. However, according to Hypothesis 4, subjective homophily has the same effect as objective homophily, which means that both indicate the generation of objective associations. For example, the only difference between and (shown in Figure 7) is that in the former, but in the latter.
Figure 6.
’s 1-immediate successor .
Figure 7.
’s objective information network .
Theorem 1.
Consider an MRN . Any -immediate successor of S is an MRN.
Proof.
Let be an -immediate successor of S. Above all, if S cannot evolve by subjective homophily at , then and is therefore an MRN. Otherwise, let be the only pair of objects that satisfy the requirements. By Definition 9, we have and . Therefore, satisfies Hypotheses 2 and 3, i.e., is an MRN. □
Theorem 1 ensures that the -successor of an MRN can be defined, and thus, ensures the evolution structure can be given. An MRN is called the -successor of an MRN S if and only if , or there is an -successor of S (denoted by ) such that .
Definition 10.
Let be an MRN. The -evolution structure of S is a pair , where , .
Since the effect of subjective homophily is the same as objective homophily, the -evolution structure of an MRN is an intransitive and antisymmetric structure with self-loops only at the terminal nodes, like the homophily-evolution tree that represents objective homophily in [4]. The -evolution sequence of an MRN S (denoted by ) is a sequence , where m is a positive integer, satisfying the following conditions: , cannot evolve at , and either , or for any , can evolve at .
The number of successors of an MRN is also finite because G and M are finite sets. Therefore, the evolution will eventually stop, which means that the size of the evolution structure is finite, and hence, the scale of the model and sequence can be given. Specifically, we use length to denote the number of MRNs in an -evolution sequence, and depth to denote the length of the longest sequence in an -evolution structure.
Proposition 2.
Consider an MRN S and a legal coefficient . .
Since there are only pairs of edges in the OIN of an MRN , i.e., there can be at most times that the value changes from − to +, Proposition 2 holds obviously.
3.3. Dynamic Update
Social influence can be divided into two forms: active and passive. Since our understanding of social influence differs from [6,12], we do not characterize passive social influence, that displays the effects of role models and norms. Specifically, we believe that “the significance of passive social influence relies on the premise of recognition of role models and norms”. For example, Ref. [14] shows that individuals who view “smoking as a normative behavior” are much more likely to transition from non-smokers to smokers compared to those who do not hold this belief. Therefore, since this premise is not a foundational assumption of our work, we only characterize active social influence, i.e., peer pressure, that represents direct and explicit intervention. In addition, we adopt a basic and straightforward expression of peer pressure, which means that “an object imposes its own attributes on an object with which it is associated”.
Definition 11.
Given non-empty, finite, and disjoint sets G and M, denotes an active influence update ( for short) determined by G and M, where and .
An means that object g imparts a set of attributes A that g has to object o through their association. Given an MRN , consider a determined by G and M. is valid on S if and only if and . The definition of valid updates introduced here is to make dynamic updates meaningful with respect to an MRN and ensure that the MRN remains an MRN after the updates. In other words, only if the update is valid on an MRN can the MRN be updated to a new MRN; otherwise, the MRN will remain unchanged.
Definition 12.
Given an MRN and an determined by G and M, updated by S through satisfies the following conditions (where and ):
- (1)
- If is not valid on S, then .
- (2)
- If is valid on S, then , . In addition, for any , , and for any , if , then .
Since the MRN update given by Definition 12 is slightly complicated, we provide some examples in Section 5 to explain it in detail. In addition, Proposition 3 shows that the contagion will still keep the MRN updated by it as an MRN.
Proposition 3.
Given an MRN and an determined by G and M, is also an MRN.
4. Logic of Subjective Homophily
In this section, we first define the syntax and semantics of the logic of subjective homophily . Subsequently, we discuss and prove the complexity of some checking problems of .
4.1. Syntax and Semantics
The logic of subjective homophily ’s language is built on a given object set G, an attribute set M, and a positive integer , where G and M are non-empty, finite, and disjoint, and .
Definition 13.
is defined as follows (where and ):
The atomic formula represents that the corresponding sIbA and the propositional connectives and temporal operators of CTL are consistent with the conventional definitions. Moreover, the dynamic update operator represents an active influence update given in the previous section. In addition, the definitions of other propositional connectives and temporal operators are also defined as follows according to convention (for more information about CTL, please see [15]):
| ⊤ | ⊥ | ||||
Definition 14.
Consider . The satisfaction of a formula on and coefficient (denoted as ) is defined as follows (where , , ):
| ⟺ | ||
| ⟺ | ||
| ⟺ | or | |
| ⟺ | for any S’s -immediate successor , | |
| ⟺ | for any S’s -evolution sequence , | |
| there is an such that and for any | ||
| ⟺ | there is an S’s -evolution sequence | |
| satisfying there is an such that and for any | ||
| ⟺ |
Since G and M are finite, some structural properties of the MRN can be represented by the following formulas (where k is a positive integer satisfying , , and ):
means the object g objectively has A. indicates an objective implication between attributes, which is used to represent the information on the OIN of a SubNet. means , means , means objects can be associated by subjective homophily at k, and means the MRN can evolve by subjective homophily at the coefficient k.
For , consider a formula and a formula set . is called satisfiable if and only if there is an MRN such that . is called valid (denoted by ) if and only if for any , . An MRN satisfies (denoted as ) if and only if for any , . Finally, is called the semantic consequence of (denoted as ) if and only if for any , if , then .
At the end of this section, we give some valid formulas of .
Proposition 4.
For , the following formulas are valid (where , , , ):
- (1)
- and if , then ;
- (2)
- ;
- (3)
- ;
- (4)
- ;
- (5)
- .
In Proposition 4, Formula indicates the relationships that remain unchanged in subjective homophily evolution; Formulas and characterize the changes in the associations between objects during evolution. Formula indicates the condition where an is invalid and represents whether the association between objects that can be generated by subjective homophily can be determined by whether an is valid.
4.2. Complexity
In this section, we consider the complexity of the model checking problem and validity checking problem for .
4.2.1. Model Checking
The model checking problem for means that for a given MRN S and a formula , check whether holds. Since the formula may involve elements in G and M and , the satisfaction of formula can only be discussed on the MRN and determined by G and M. Therefore, for the model checking problem, we take the formula , MRN, and as input parameters. Therefore, we first define and explain the measurement of the input before providing the proof.
Definition 15.
The length of a formula φ is recursively defined as follows:
- (1)
- ;
- (2)
- ;
- (3)
- ;
- (4)
- .
The input measurement of MRN can be represented by , or from the perspective of Sub, , i.e., the number of nodes in Sub. However, since the latter is polynomially related to the former, whichever case is chosen will not affect the conclusion. Ref. [4] proved that the model checking problem for logic of homophily is PSPACE-complete. Therefore, a very direct idea to prove the lower bound of the model checking problem for is to perform a reduction from this PSPACE-complete problem. However, there is a formula in the logic of homophily that cannot be translated by within polynomial-times. Therefore, we introduce a sublogic of the logic of homophily in [4].
Definition 16.
The language of the logic of homophily is built on the non-empty, finite, and disjoint sets G and M. The formula φ of is defined as follows (where ):
Similarly, referring to [4], we introduce heterogeneous networks (HetNets).
Definition 17
([4]). HetNet is a quadruple , where sets G and M are non-empty, finite, and disjoint, , , and R is reflexive and symmetric.
According to [4], the model checking problem for means that for a given HetNet H, a coefficient n and a formula , check whether holds. Therefore, the biggest difference between and is that the former expresses the coefficients in the satisfaction relation, while the latter brings the coefficients into the language. However, the difference is actually only in expression because the coefficient n for and for have the same meaning.
Lemma 1.
The model checking problem for is in PSPACE with respect to the formula φ, a HetNet, and a coefficient.
Because is a sublogic of and the model checking problem for the logic of homophily is PSPACE-complete, Lemma 1 holds trivially.
Lemma 2.
Model checking problem for is PSPACE-hard with respect to a formula φ, a HetNet, and a coefficient.
In addition, the reduction method in [4] can be directly applied to because this method does not involve the formula . Thus, Lemma 2 holds, and hence, Theorem 2 holds.
Theorem 2.
The model checking problem for is PSPACE-complete with respect to a formula φ, a HetNet, and a coefficient.
Definition 18.
Given non-empty, finite, and disjoint sets G and M. Consider an efficient determined by M. For and , a translation function is defined as follows (where , , ):
| ⟼ | ||
| ⟼ | ||
| ⟼ | ||
| ⟼ | ||
| ⟼ | ||
| ⟼ |
According to Definition 15, and for . It is obvious that for , is polynomially related to .
Lemma 3.
The model checking problem for is PSPACE-hard with respect to a formula φ, an MRN, and a coefficient .
Proof.
Given non-empty, finite, and disjoint sets G and M and a coefficient n that is a positive integer and satisfies , consider a formula and a HetNet . Let be a SubNet satisfying the following conditions: for any , and for and , if , ; otherwise, . Similarly, for any , and for , if , ; otherwise, . It is easy to check that is an MRN. Moreover, we can also easily conclude that any SubCogs and OIN of are isomorphic to HetNet H. Furthermore, by Definition 9 and Definition 4 in [4], it is not hard to find that is isomorphic to . Therefore, we can use structural induction on to prove that for and a HetNet H, if and only if , and thus, the model checking problem for is PSPACE-hard with respect to a formula , an MRN, and a coefficient . □
Lemma 4.
The model checking problem for is in PSPACE with respect to a formula φ, an MRN, and a coefficient .
Proof.
For the atomic sIbA and propositional connectives, model checking algorithms for them are obviously in polynomial-time. Thus, the only factors that need to be considered are temporal operators and the dynamic update operator. For the former, the algorithms for them can be generalized from the algorithms for temporal operators in CTL [16] since they have the same meaning as operators in CTL. Hence, we will only show the algorithm of temporal operator in Algorithm 1.
Similar to previous work [4], since the size of the computation tree is exponentially related to the size of an MRN, we use a depth-first search algorithm to process temporal operators. In short, for the cases of and , the space for computation is related to the length of the evolving sequence, and it is polynomially related to the size of the MRNby Proposition 2. Therefore, the algorithms for temporal operators are in PSPACE.
Finally, in order to enable the depth-first search algorithm to be used on the dynamic update operator, we need to generalize the evolution structure.
Definition 19.
Consider an MRN S, a coefficient , and a finite set of dynamic update operators U. Let represent the number of update operators in U, and let . An MRN S’s--dynamic evolution structure is the minimum digraph that satisfies the following conditions:
- (1)
- ;
- (2)
- if , then for any , if , then and ;
- (3)
- if , then for any , if , then and .
In Definition 19, the --dynamic evolution structure represents a type of structure composed of dynamic updates and evolution, In other words, MRNs updated by dynamic updates are also considered as “successors” in this structure. Therefore, the depth-first search algorithm can be used on it after a simple generalization. In addition, a dynamic update operator can increase the usage of space by the length of the evolution sequence at most. Moreover, since the number of dynamic update operators in a formula is finite, the maximum length of a --dynamic evolution sequence is polynomially related to the size of an MRN and the length of the formula, i.e., the space used by running the depth-first search algorithm is still polynomial. In summary, the model checking problem for is in PSPACE with respect to a formula , an MRN, and a coefficient . □
| Algorithm 1 Model Checking Algorithm for |
![]() |
Theorem 3.
The model checking problem for is in PSPACE-complete with respect to a formula φ, an MRN, and a coefficient .
4.2.2. Validity Checking
The validity checking problem for means that for a formula , check whether holds. We use a method similar to the previous section to prove validity checking problem for is PSPACE-complete by proving that the validity checking problem for is PSPACE-complete first.
Theorem 4.
The validity checking problem for is PSPACE-complete with respect to a formula φ, a HetNet, and a coefficient.
Proof.
The upper bound can be obtained directly for , which is a sublogic of , and the validity checking problem of the latter is in PSPACE. For the lower bound, we can also refer to the method used to prove the validity checking problem for in [4] to obtain it. □
Theorem 5.
The validity checking problem for is PSPACE-complete with respect to a formula φ, an MRN, and a coefficient .
Proof.
For the lower bound, it seems feasible to perform a reduction using the conclusion of Theorem 4. Since we have not introduced quantifiers into the logic , the length of the formulas representing the structural properties required for the proof (i.e., “for any pair of objects, if their subjective similarity is greater than or equal to the threshold/coefficient, then their objective similarity is also greater than or equal to the threshold/coefficient”) will grow exponentially. Therefore, we cannot prove the conclusion by Theorem 4. However, we can prove the conclusion by making a reduction from QBFSAT, which is a well-known PSPACE-complete problem. In [4], we proved the validity checking problem for logic of homophily by QBFSAT. Specifically, we proved that a QBF is satisfied if and only if , where n denotes the coefficient, is a formula that describes a specific HetNet, and is a temporal formula that simulates network changes to reflect the valuation of QBF assignments (for more details, please see [4]). It is easy to find that and are also formulas of . Therefore, by translation function, we have that is satisfied if and only if . Since the lengths of those formulas are polynomially related to m, we can conclude that the validity checking problem for is PSPACE-hard. Since G and M are finite, the number of MRNs determined by them is also finite. Therefore, we can check whether holds by enumerating all different MRNs S and repeatedly using the model checking algorithm for to check . And hence, the upper bound is obtained for the model checking algorithm for in PSPACE and at most one MRN needs to be stored in each model checking process. □
5. Example: False Consensus
In this section, we mainly use the phenomenon mentioned in [3,17], named false consensus, to illustrate subjective homophily evolution and dynamic update.
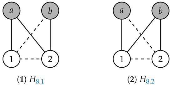
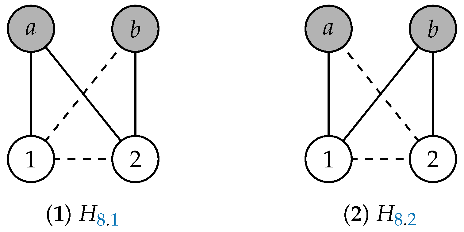
In short, false consensus indicates a “false” subjective similarity resulting from the misperception of others. As shown in Figure 8, object 1 believes that it and object 2 both have attribute a, while object 2 believes that it and object 1 both have attribute b, i.e., . Therefore, they both believe that they have subjective similarity of at least 1 with others, which means that . However, as shown in Figure 9, from the objective perspective, objects 1 and 2 do not have any common attributes, and thus, do not have any objective similarity, i.e., . Therefore, the subjective similarity that objects 1 and 2 believe they have with others is interpreted as “false”. Furthermore, they are likely to be associated by subjective homophily, i.e., , i.e., . However, if we analyze this example only from an objective perspective, we will likely attribute the reason for this association to other principles, and hence make a conclusion that the effect of homophily is not significant here since it is obvious that is not an immediate successor of through objective homophily evolution.
Figure 8.
Mutual recognition network .
Figure 9.
and ’s objective information networks and .
Figure 10.
’s 1-immediate successor .
An active influence update can be used to represent the “rectification of the false consensus”. Figure 11 and Figure 12 show a possible “rectification” path. First, in Figure 11, object 1 is influenced by object 2 and “really” has attribute b, so that they obtain a correct consensus on their subjective similarity, i.e., . Moreover, in Figure 12, object 2 is influenced by object 1 and “really” has attribute a, so that they obtain a totally correct consensus on their subjective similarity, i.e., . In other words, “rectification” also reflects the process of the gradual complete unification of the subjective and the objective as shown in Figure 11, Figure 12 and Figure 13.
Figure 11.
Mutual recognition network : .
Figure 12.
Mutual recognition network : .
Figure 13.
and ’s objective information networks and .
In addition, temporal operators can be used to distinguish between general social influence and socialization by homophily. Take Figure 10 as an example. Even though we have , i.e., , we cannot determine whether is a general active social influence or a socialization since we do not know how objects 1 and 2 were associated. However, if we consider as an immediate successor of as mentioned above, we can have , i.e., can be interpreted as a socialization because objects 1 and 2 were associated by subjective homophily.
6. Conclusions
In this article, we first introduce a type of heterogeneous network that can represent actor’s cognition of the social context where they are. Then, we not only explore the evolution of a special type of subjective network, named a mutual recognition network, by subjective homophily, but also take active social influence into account. On this basis, we establish the logic of subjective homophily by combining CTL and dynamic logic (DL) and prove that the model checking problem and validity checking problem for it are both PSAPCE-complete. Finally, we explain and demonstrate time evolution, dynamic update, and logic through the example of “false consensus”.
Although subjective homophily has not yet received much attention, some studies (e.g., [3]) have already demonstrated its critical role in the formation and evolution of social structures. Therefore, we aim to analyze and characterize this important principle from a logical perspective, based on our previous work [4]. Unlike other works that also consider the impact of homophily on the structure of social networks (e.g., [6,12]), our research on homophily is driven more by practical considerations, rather than focusing on philosophical issues. Specifically, we aim to develop a link prediction tool based on subjective homophily by using logic methods. Thus, we not only use CTL as a foundation, which can provide a richer expression of temporal evolution properties, but we also discuss and prove the computational complexity of the model checking problem and the validity checking problem. Finally, as for social influence, it represents our initial attempt to expand the tool’s capabilities.
Since our framework for networks and subjective homophily is quite basic in this work, the evolution we can express is still very limited, and the methods we have established are still far from being practically applicable. Therefore, in future work, we will first consider further generalizing the network structure (e.g., by labeling edges and nodes to represent relationship strength and trust levels) so that effects such as the deselection of homophily and subjective homophily, i.e., relationship destruction caused by them, and passive social influence can be appropriately expressed by temporal evolution. Moreover, we will further consider more influences on structure and evolution, including external factors, through dynamic updates. In addition, we will also consider establishing a sound and complete axiom system for the logic of subjective homophily and explore some properties of from the perspective of FCA, i.e, explore the generalized IbA systems (e.g., attribute exploration).
Funding
This research received no external funding.
Institutional Review Board Statement
Not applicable.
Informed Consent Statement
Not applicable.
Data Availability Statement
No new data were created or analyzed in this study. Data sharing is not applicable to this article.
Acknowledgments
Thanks in advance to the anonymous reviewers for their help with the article.
Conflicts of Interest
The author declares no conflicts of interest.
Abbreviations
The following abbreviations are used in this manuscript:
| LAE | Logic of Allies and Enemies |
| CTL | Computation tree logic |
| FCA | Formal concept analysis |
| HetNet | Heterogeneous network |
| SubNet | Subjective network |
| Sub | Subjective structure |
| SubCog | Subjective cognition |
| OIN | Objective information network |
| IbA | Implication between attributes |
| sIbA | Subjective implication between attributes |
| MRN | Mutual recognition network |
| Subjective homophily coefficient | |
| Active influence update |
References
- McPherson, M.; Smith-Lovin, L.; Cook, J.M. Birds of a feather: Homophily in social networks. Annu. Rev. Sociol. 2001, 27, 415–444. [Google Scholar] [CrossRef]
- Lawrence, B.S.; Shah, N.P. Homophily: Measures and meaning. Acad. Manag. Ann. 2020, 14, 513–597. [Google Scholar] [CrossRef]
- Goel, S.; Mason, W.; Watts, D.J. Real and perceived attitude agreement in social networks. J. Personal. Soc. Psychol. 2010, 99, 611. [Google Scholar] [CrossRef] [PubMed]
- Luo, X. The Logic of Homophily Dynamics in Heterogeneous Networks: Axiomatization, Model Checking and Validity Checking. Mathematics 2023, 11, 3484. [Google Scholar] [CrossRef]
- Smets, S.; Velázquez-Quesada, F.R. A logical study of group-size based social network creation. J. Log. Algebr. Methods Program. 2019, 106, 117–140. [Google Scholar] [CrossRef]
- Baccini, E.; Christoff, Z.; Verbrugge, R. Dynamic Logics of Diffusion and Link Changes on Social Networks. In Studia Logica; Springer: Berlin/Heidelberg, Germany, 2024; pp. 1–71. [Google Scholar]
- van der Hoek, W.; Kuijer, L.; Wáng, Y. Logics of allies and enemies: A formal approach to the dynamics of social balance theory. In Proceedings of the IJCAI International Joint Conference on Artificial Intelligence, Yokohama, Japan, 11–17 July 2020; Volume 2021, pp. 210–216. [Google Scholar]
- Van Der Hoek, W.; Kuijer, L.B.; Wáng, Y.N. Who Should Be My Friends? In Proceedings of the International Workshop on Logic, Rationality and Interaction; Springer: Berlin/Heidelberg, Germany, 2019; pp. 370–384. [Google Scholar]
- Yì, N.; Wáng, X.L. Dynamic Social Network Modeling—Axiomatizing and Implementing the Logic of Allies and Enemies. Stud. Log. 2019, 12, 27–42. [Google Scholar]
- van der Hoek, W.; Kuijer, L.B.; Wáng, Y.N. A logic of allies and enemies. In Proceedings of the 13th Conference on Logic and the Foundations of Game and Decision Theory (LOFT), Milano, Italy, 16–18 July 2018. [Google Scholar]
- Ganter, B.; Wille, R. Formal Concept Analysis: Mathematical Foundations; Springer: Berlin/Heidelberg, Germany, 1998. [Google Scholar]
- Smets, S.; Velázquez-Quesada, F.R. A logical analysis of the interplay between social influence and friendship selection. In Proceedings of the Dynamic Logic. New Trends and Applications: Second International Workshop, DaLí 2019, Porto, Portugal, 7–11 October 2019; Proceedings 2. Springer: Berlin/Heidelberg, Germany, 2020; pp. 71–87. [Google Scholar]
- Amsbary, J.H.; Vogel, R.; Hickson, M., III; Wittig, J.W.; Oakes, B. Smoking artifacts as indicators of homophily, attraction, and credibility: A replication. Commun. Res. Rep. 1994, 11, 161–167. [Google Scholar] [CrossRef]
- Perrine, N.E.; Aloise-Young, P.A. The role of self-monitoring in adolescents’ susceptibility to passive peer pressure. Personal. Individ. Differ. 2004, 37, 1701–1716. [Google Scholar] [CrossRef]
- Demri, S.; Goranko, V.; Lange, M. Temporal Logics in Computer Science: Finite-State Systems; Cambridge University Press: Cambridge, UK, 2016; Volume 58. [Google Scholar]
- Clarke, E.M.; Emerson, E.A. Design and synthesis of synchronization skeletons using branching time temporal logic. In Workshop on Logic of Programs; Springer: Berlin/Heidelberg, Germany, 1981; pp. 52–71. [Google Scholar]
- Krueger, J.; Clement, R.W. The truly false consensus effect: An ineradicable and egocentric bias in social perception. J. Personal. Soc. Psychol. 1994, 67, 596. [Google Scholar] [CrossRef] [PubMed]
Disclaimer/Publisher’s Note: The statements, opinions and data contained in all publications are solely those of the individual author(s) and contributor(s) and not of MDPI and/or the editor(s). MDPI and/or the editor(s) disclaim responsibility for any injury to people or property resulting from any ideas, methods, instructions or products referred to in the content. |
© 2024 by the author. Licensee MDPI, Basel, Switzerland. This article is an open access article distributed under the terms and conditions of the Creative Commons Attribution (CC BY) license (https://creativecommons.org/licenses/by/4.0/).
