Abstract
This study deals with P-type iterative learning control (ILC) techniques for switched impulsive systems governed by composite fractional derivatives. The systems considered incorporate non-instantaneous impulses and an initial state offset, with the objective of accurately tracking time-varying reference trajectories over a finite time interval using a finite number of iterations. By implementing a P-type learning law integrated with an initial iteration mechanism, we derive sufficient conditions that guarantee the convergence of the tracking error. The effectiveness and robustness of the proposed control concepts are validated through a comprehensive illustrative example.
Keywords:
impulsive systems; iterative learning control; convergence; composite fractional derivative; reference trajectory MSC:
34A08; 93B05; 93C79; 47H10; 93C85
1. Introduction
Differentiation and integration are extended to non-integer (fractional) orders in fractional calculus (FC), a branch of classical calculus. When compared to traditional calculus, which emphasises operations of integer order, FC offers a more flexible mathematical structure for describing difficult systems and processes (Ref. [1]). Memory effects, biological characteristics, and unusual behaviours in all kinds of scientific and engineering domains have all been successfully captured by this generalization. In the late 17th century, mathematicians like Leibniz and L’Hôpital conjectured about the meaning of derivatives of non-integer order, which is when FC first emerged. But until the 20th century, its real-world uses were mostly unknown. FC can be used in many different areas of the mathematical, engineering, and physical sciences; it has become an essential and popular mathematical tool. In modelling a wide range of phenomena, such as diffusion processes (Ref. [2]), impulsive dynamical systems (Ref. [3]), time-delay systems (Ref. [4]), and differential equation (DE) solutions (Refs. [5,6]), it is essential. Quantum mechanics (Ref. [7]), optimal control strategies (Ref. [8]), controllability analysis (Ref. [9]), thermoelasticity models (Ref. [10]), and the study of chaotic synchronization systems (Ref. [11]) have all benefited from its successful application. For many real-world processes, FC provides a more realistic and accurate representation than traditional integer-order calculus.
In addition to the Riemann–Liouville (R-L) and Liouville–Caputo (L-C) fractional derivatives, Hilfer (Ref. [12]) developed a brand new derivative type that was a generalization of the R-L derivative or simply the composite (Hilfer) fractional derivative (CFD). The L-C and R-L are the most commonly used fractional formulations (Refs. [13,14]). Subashini et al. (Ref. [15]) focused on the existence results of fractionally ordered Hilfer integro-DEs. Kavitha et al. (Ref. [16]) recently provided a useful idea in a note regarding the approximate controllability of Hilfer fractional neutral differential inclusions with infinite delay, and Kavitha et al. (Ref. [17]) provide details on Sobolev-type fractional neutral differential inclusions of Clarke’s subdifferential number. H. Gu and J. J. Trujillo (Ref. [18]) found that the evolution equation with CFD has an integral solution.
The following table (Table 1) summarises the differences among the R-L, L-C, and CFD:
Table 1.
Comparison: R-L, L-C, and CFD.
Conversely, there are numerous real-world occurrences and processes, like harvesting, drugs in the bloodstream, ecological change, the vibration of a car while driving, and bursting rhythmic models in pathology, where the model’s state has a few sudden changes. The term “impulsive effects” refers to these modifications. Impulsive effects are classified in the literature into two categories: non-instantaneous impulses (NI) (the impulsive action begins at fixed points and remains active on a finite time interval) and instantaneous impulses (the duration of these changes is negligible in comparison with the total duration of the whole process). Pierri et al. (Ref. [20]) used semigroup analytic theory to study the existence of solutions to abstract semilinear DEs with NI. Hernandez and O’Regan (Ref. [21]) recently investigated the existence of solutions to a new class of impulsive abstract DEs involving NI. Liu et al. (Ref. [22]) recently investigated periodic solutions for time-varying impulsive differential systems. Chen et al. (Ref. [23]) investigated the existence of piecewise-continuous mild solutions to the initial value problems for a class of semilinear evolution equations with NI in Banach spaces. The existence of a PC-mild solution is determined using the properties of the Kuratowski noncompactness measure and the k-set contraction mapping. Additionally, the stability and uniform stability of the solutions of a system of nonlinear DEs with NI are studied in (Ref. [24]), and existence results on fractional functional DEs with NI are examined in (Refs. [25,26]). Existence for abstract DEs with NI is also observed in (Ref. [27]).
A switched system is a dynamic system with a finite number of subsystems and a switching law that specifies how they interact with one another. Switched systems have received a lot of attention in control theory, and their applications include mobile robotics (Ref. [28]), vector fields (Ref. [29]), circuit systems (Ref. [30]), and signal processing (Ref. [31]), among others. From a control standpoint, the concept of multi-controller switching provides an effective mechanism for dealing with complex systems or those that contain significant uncertainties. While switched systems are important models for understanding a wide range of complex physical processes, they fail to include conditions that exhibit specific types of impulse-based dynamics (Ref. [32]).
Wang et al. (Ref. [33]) studied Hilfer-type fractional differential inclusions with nonlocal and delayed impulsive effects. They developed a mathematical concept for hybrid systems with switching and NI. Kumar et al. (Ref. [34]) studied switched Hilfer-type systems with NI and derived conditions for the existence and stability of solutions. This contributed to the theoretical development of impulsive fractional-order dynamics under switching environments. Dhayal et al. (Ref. [35]) investigated a type of Hilfer fractional stochastic switched dynamical system influenced by the Rosenblatt process and governed by NI, focusing on the development of fractional optimal control strategies, in which the existence of a single mild solution was established using fixed-point theory and the Mittag–Leffler function.
Furthermore, ILC is a control strategy that improves a system’s transient performance by correcting the control input using historical (open-loop) or current (closed-loop) information and converges through iteration. Because ILC is simple, intelligent, and can operate independently of the system model, it has received a lot of attention as a tool for solving complex trajectory tracking problems, such as batch process control (Ref. [36]), manipulator tracking (Ref. [37]), and biomedical engineering (Ref. [38]). FC is a long-established discipline that studies non-integer-order derivatives and integrals of functions. This field has received a lot of attention in recent years (Refs. [39,40,41,42]) because scientific evidence shows that fractional-order characteristics exist in many disciplines, including viscoelasticity (Ref. [43]), circuit theory (Ref. [44]), diffusion (Ref. [45]), and so on.
To support the choice of the P-type ILC law, the following table (Table 2) compares commonly used ILC schemes.
Table 2.
Comparison of ILC laws.
Several researchers have investigated the integration of ILC with NI and fractional-order dynamics, but their investigations have been limited in scope. For instance, Cao et al. (Ref. [49]) proposed an ILC-based consensus strategy for multi-agent systems under finite-duration impulses and time-varying communication networks. While effective, their work focused on agent-based coordination and did not involve fractional-order dynamics or switched systems. Similarly, Liu (Ref. [50]) developed an ILC scheme that accounts for varying trial lengths and NI. Their method ensures convergence of the tracking error under irregular timing, yet the system considered remains of integer order, lacking memory effects inherent to fractional derivatives. On the other hand, Debbouche et al. (Ref. [51]) addressed the controllability of CFD fractional systems with NI using semigroup theory and fixed-point techniques. Although their study introduced CFD memory and delayed impulse effects, it did not consider iterative learning or switching dynamics.
Vivek et al. (Ref. [52]) investigated a class of quaternion-valued impulsive systems governed by Hilfer-type fractional dynamics, where they developed a quaternion-based ILC strategy and established convergence results using semigroup theory and mild solution concepts. Vivek et al. (Ref. [46]) analysed convergence in ILC for nonlinear pantograph-type equations with Hilfer impulsive dynamics, providing sufficient conditions under which the iterative error decays asymptotically. While these contributions offer valuable insights into fractional-order ILC design, they focus primarily on systems and impulses. Vivek et al. (Ref. [53]) proposed a P-type ILC law for impulsive pantograph equations involving the CFD, demonstrating stable convergence of the tracking error and impulsive effects. None of these works consider switched dynamics or the extended structure of NI. Motivated by this research gap, this study is the first to develop an ILC scheme for switched impulsive systems that simultaneously incorporates the CFD and NI. Both open-loop and closed-loop P-type learning laws are proposed, tailored for fractional-order switched impulsive systems. Fractional memory effects and switching dynamics are included to ensure convergence and robustness. An initial iteration correction is introduced, allowing adjustments to the initial state without resetting it to a fixed desired value. Sufficient convergence conditions are derived using CFD tools. These conditions guarantee zero tracking error despite the combined challenges of fractional dynamics, switching, and NI. A detailed numerical example verifies fast convergence, robustness to switching law changes, and high tracking accuracy with varying impulsive intervals.
2. System Description
Consider ILC for a switched fractional system with non-instantaneous impulses (SFNI) by the CFD, described as follows:
where , , and . b is a pre-fixed number. is a CFD of order and type , where the lower limit . is the R-L integral of order with the lower limit at . . In addition we set .
The switched signal is assumed to be known. It only changes its values at switching time . That is to say (Ref. [34], Page 3),
Therefore, by applying the above switching law in switched system (1), we get the following system:
Moreover, , and . In general, is the state of the plant. and denote the control input and output, respectively.
Meanwhile, we impose the following assumptions:
Assumption 1.
is strongly measurable for τ and is continuous for the first and second variables, and there exists a such that
Assumption 2.
is continuous and there exists a such that
Assumption 3.
For ,
for every .
Let be a Banach space of all continuous functions from I into with the norm and the -norm .
We define the Banach space of all piecewise continuous functions , and there exists and with endowed with the (Ref. [46], Page 4),
For a detailed investigated of weighted space, please refer to (Refs. [19,34]).
According to (Ref. [13], Chapter 2, Equations 2.1.1 and 2.1.2, Page 69), the definitions of the R-L fractional integral are taken into consideration, as are the L-C fractional derivative (Ref. [13], Section 2.4, Page 97) and the CFD (Ref. [19], Page 852). They are not described in depth because there is so much literature on these classical formulations. All of these references are available to readers who are curious about the theoretical aspects.
In addition, detailed analysis of the Mittag–Leffler (M-L) (Ref. [54], Equations 1.1 and 1.2, Page 1) and Gronwall inequality (Ref. [55], Theorem A, Page 1075), Remark (Ref. [55], Corollary 3, Page 1078) is performed.
The following lemma provides the fractional integral form of the solution to system (2), which is essential for reformulating the system dynamics in the analysis of the P-type ILC law. This form enables direct handling of the error equation and simplifies the derivation of convergence conditions.
Lemma 1.
If is an integrable function, then is a solution of system (2) if and only if x is a solution of the fractional integral equation for
Proof.
For a detailed proof, the reader is referred to (Ref. [33], Lemma. 3, Page 925), as the proof is similar and therefore omitted here. □
3. P-Type ILC
For brevity, we define the following notations:
where denotes the tracking error.
3.1. Open-Loop Case
For the system described in (2), we first consider the following open-loop P-type ILC updating law with initial state learning:
where L and are unknown parameters to be determined.
Theorem 1.
Suppose that Assumptions 1–3 hold, and let denote the output of system (2). If the following conditions are satisfied:
and
then for any arbitrary initial input , the open-loop P-type ILC updating law guarantees that the system output converges to the desired trajectory , i.e.,
Proof.
Let the tracking error at iteration be expressed as follows:
where for and almost every . By (Ref. [52], Equation 3.3, Page 7), we have
In what follows, we prove as for almost every .
- Case (i).
For the case when , evaluate as follows,
Multiplying both sides of the above inequality by results in the following inequality:
which implies
With the definition of and the fact that , the integral can be evaluated as below (Ref. [56], Page 3213):
Substituting Equation (12) into inequality (11), we get
Multiplying both sides by and (Ref. [57], Remark. 1, Page 126), the inequality simplifies to
Substituting the above inequality Equation (13) into Equation (9), we obtain
which implies that
By inequality (7), there exists a sufficiently large such that
Therefore, from inequality (14), we have .
- Case (ii).
We prove that as for all .
Now substituting inequality (15) into Equation (9) we have
which implies that .
- Case (iii).
3.2. Closed-Loop Case
In this section, we consider the following closed-loop P-type ILC updating law:
where L and are unknown parameters to be determined.
Theorem 2.
Proof.
Obviously,
Similarly to the proof of Theorem 1, we consider the following three possible cases.
- Case (i).
- Case (ii).
- Case (iii).
4. An Example
Consider the following SFNI using the CFD of order , . The switching signal is defined by , where and , with
Then the system is governed by
The output function corresponding to each switching mode is defined by
Assumptions 1–3 are satisfied. The original reference trajectory is given by
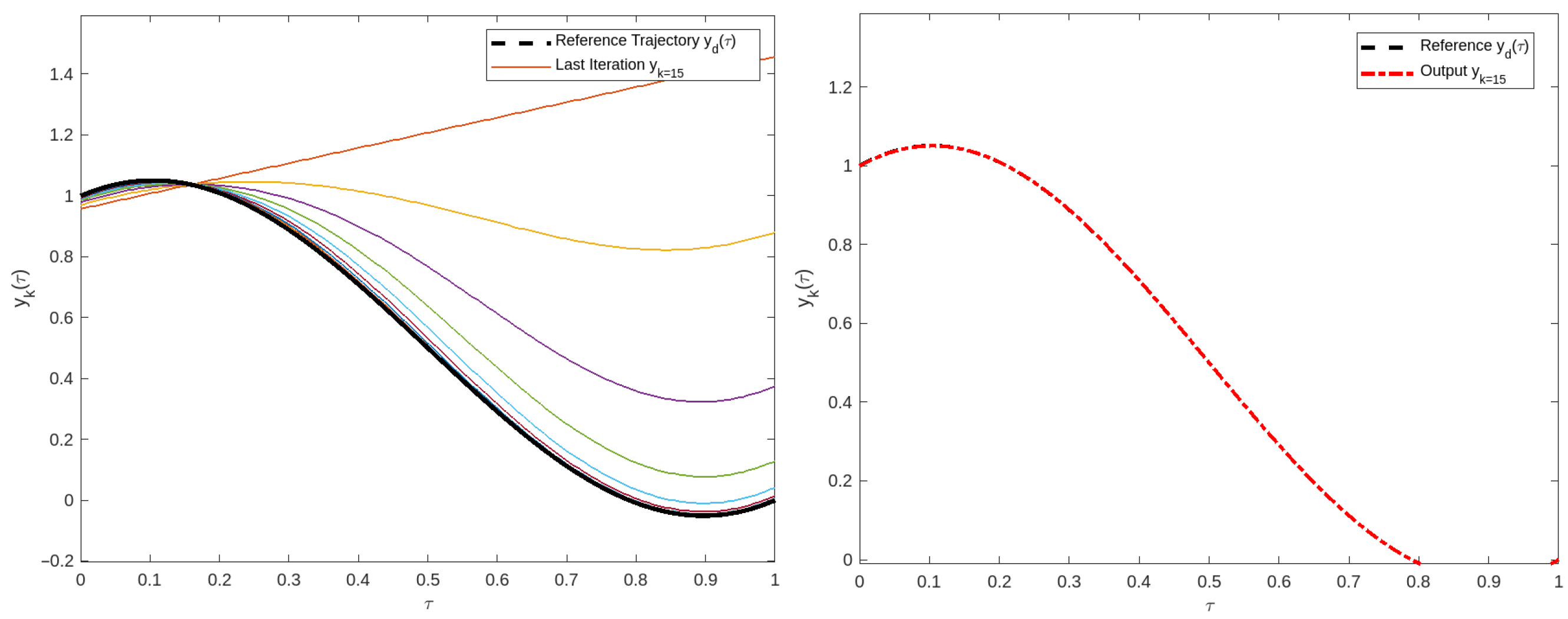
Figure 1 shows the tracking performance of all iterations, with convergence at the 15-th iteration. The final iteration overlaps the reference curve . Figure 2 illustrates the bar graph of the maximum tracking error versus iteration. The error drops below at and the switching law with three distinct modes, producing a switching profile over the interval in Figure 3. All output errors vanish beyond this point, validating the effectiveness of the designed ILC scheme. The maximum tracking error satisfies
Figure 1.
The system output.
Figure 2.
The tracking performance.
Figure 3.
Random switched rule for Equation (20).
5. Conclusions
Considering the broad applicability of composite fractional calculus in modeling systems with memory and hereditary characteristics, this paper has addressed the ILC problem for switched impulsive systems governed by the CFD with non-instantaneous impulses. By formulating the system within an appropriate functional concept, sufficient conditions for robust convergence of the tracking error have been derived for both open-loop and closed-loop P-type learning laws incorporating an initial iteration mechanism. Numerical simulations on a illustrative switched impulsive system have verified the effectiveness and robustness of the proposed approach, showing fast error decay under varying switching laws and impulse intervals. The results improve the theoretical foundation of ILC for composite fractional-order switched systems and provide practical insights for systems with switching impulses.
Author Contributions
S.S.: Writing-original draft; Conceptualization; methodology; validation and editing. D.V.: Writing-original draft; validation; conceptualization; methodology and supervision. W.M.A.: Writing-review, validation and guidance. E.M.E.: Writing-review, validation and guidance. All authors have read and agreed to the published version of the manuscript.
Funding
This research received no external funding.
Data Availability Statement
The original contributions presented in this study are included in the article. Further inquiries can be directed to the corresponding author.
Conflicts of Interest
The authors declare no conflicts of interest in this work.
References
- Podlubny, I. Fractional Differential Equations; Technical University of Kosice: Kosice, Slovak Republic, 1999. [Google Scholar]
- Zhou, Z.; Gong, W. Finite element approximation of optimal control problems governed by time fractional diffusion equation. Comput. Math. Appl. 2016, 71, 301–318. [Google Scholar] [CrossRef]
- Karthikeyan, K.; Karthikeyan, P.; Chalishajar, D.N.; Raja, D.S. Analysis on ψ-Hilfer fractional impulsive differential equations. Symmetry 2021, 13, 1895. [Google Scholar] [CrossRef]
- Johnson, M.; Kavitha, K.; Chalishajar, D.; Malik, M.; Vijayakumar, V.; Shukla, A. An analysis of approximate controllability for Hilfer fractional delay differential equations of Sobolev type without uniqueness. Nonlinear Anal. Model. Control 2023, 45, 1086–1107. [Google Scholar] [CrossRef]
- Hussain, S.; Sarwar, M.; Malaiki, N.; Azmi, F. Existence and controllability of fractional semilinear mixed Volterra-Fredholm integro-differential equation. Alex. Eng. J. 2023, 73, 259–267. [Google Scholar] [CrossRef]
- Khan, A.; Shah, K.; Abdeljawad, T.; Alqudah, M.A. Existence of results and computational analysis of a fractional order two strain epidemic model. Results Phys. 2022, 39, 1–11. [Google Scholar] [CrossRef]
- Kusnezov, D.; Bulgac, A.; Dang, G.D. Quantum Levy processes and fractional kinetics. Phys. Rev. Lett. 1999, 82, 1136–1139. [Google Scholar] [CrossRef]
- Baleanu, D.; Hasanabadi, M.; Vaziri, A.M.; Jajarmi, A. A new intervention strategy for an HIV/AIDS transmission by a general fractional modeling and an optimal control approach. Chaos Solitons Fractals 2023, 167, 113078. [Google Scholar] [CrossRef]
- Hussain, S.; Sarwar, M.; Nisar, K.S.; Shah, K. Controllability of fractional differential evolution equation of order γ∈(1, 2) with nonlocal conditions. AIMS Math. 2023, 8, 14188–14206. [Google Scholar] [CrossRef]
- Povstenko, Y. Fractional Thermoelasticity; Springer: New York, NY, USA, 2015. [Google Scholar]
- Ge, Z.M.; Jhuang, W.R. Chaos, control and synchronization of a fractional order rotational mechanical system with a centrifugal governor. Chaos Solitons Fractals 2007, 33, 270–289. [Google Scholar] [CrossRef]
- Hilfer, R. Application of Fractional Calculus in Physics; World Science Publishing: Singapore, 2000. [Google Scholar]
- Kilbas, A.A.; Srivastava, H.M.; Trujillo, J.J. Theory and Applications of Fractional Differential Equations. In North-Holland Mathematics Studies; Elsevier Science: Amsterdam, The Netherlands, 2006. [Google Scholar]
- Goedegebure, N.; Marynets, K. A numerical Bernstein splines approach for nonlinear initial value problems with Hilfer fractional derivative. arXiv 2025, arXiv:2503.22335. [Google Scholar] [CrossRef]
- Subashini, R.; Ravichandran, C.; Jothimani, K.; Baskonus, H.M. Existence results of Hilfer integro-differential equations with fractional order. Discr. Contin. Dynam. Syst. S 2020, 13, 911–923. [Google Scholar] [CrossRef]
- Kavitha, K.; Vijayakumar, V. Discussion on controllability of non-densely defined Hilfer fractional neutral differential equations with finite delay. Int. J. Nonlinear Sci. Numer. Simul. 2022, 24, 1751–1767. [Google Scholar] [CrossRef]
- Kavitha, K.; Vijayakumar, V.; Shukla, A.; Nisar, K.S.; Udhayakumar, R. Results on approximate controllability of Sobolev-type fractional neutral differential inclusions of Clarke’s subdifferential type. Chaos Solitons Fractals 2021, 151, 111264. [Google Scholar] [CrossRef]
- Gu, H.; Trujillo, J.J. Existence of integral solution for evolution equation with Hilfer fractional derivative. Appl. Math. Comput. 2015, 257, 344–354. [Google Scholar]
- Wang, J.R.; Zhang, Y.R. Nonlocal initial value problems for differential equations with Hilfer fractional derivative. Appl. Math. Comput. 2015, 266, 850–859. [Google Scholar] [CrossRef]
- Pierri, M.; O’Regan, D.; Rolnik, V. Existence of solutions for semi-linear abstract differential equations with not instantaneous impulses. Appl. Math. Comput. 2013, 219, 6743–6749. [Google Scholar] [CrossRef]
- Hernandez, E.; O’Regan, D. On a new class of abstract impulsive differential equations. Proc. Amer. Math. Soc. 2013, 141, 1641–1649. [Google Scholar] [CrossRef]
- Liu, K.; Feckan, M.; O’Regan, D. (ω, c)-periodic solutions for time-varying non-instantaneous impulsive differential systems. Appl. Anal. 2021, 101, 5469–5489. [Google Scholar]
- Chen, P.; Zhang, X.; Li, Y. Existence of mild solutions to partial differential equations with noninstantaneous impulses. Electron. J. Differ. Equ. 2016, 241, 1–11. [Google Scholar]
- Agarwal, R.; O’Regan, D.; Hristova, S.; Cicek, M. Practical stability with respect to initial time difference for Caputo fractional differential equations. Commun. Nonlinear Sci. Numer. Simul. 2017, 42, 106–120. [Google Scholar] [CrossRef]
- Benchohra, M.; Seba, D. Impulsive fractional differential equations in Banach Spaces. Electron. J. Qual. Theory Differ. Equ. 2009, 8, 1–14. [Google Scholar] [CrossRef]
- Cicek, M.; Yakar, C.; Gücen, M.B. Practical stability in terms of two measures for fractional order dynamic systems in Caputo’s sense with initial time difference. J. Frankl. Inst. 2014, 351, 732–742. [Google Scholar] [CrossRef]
- Gautama, G.R.; Dabas, J. Mild solution for fractional functional integro-differential equation with not instantaneous impulse. Malaya J. Mat. 2014, 2, 428–437. [Google Scholar] [CrossRef]
- Sankaranarayanan, V.; Mahindrakar, A.D. Switched control of a nonholonomic mobile robot. Commun. Nonlinear Sci. Numer. Simul. 2009, 14, 2319–2327. [Google Scholar] [CrossRef]
- Cristiano, R.; Carvalho, T.; Tonon, D.J.; Pagano, D.J. Hopf and Homoclinic bifurcations on the sliding vector field of switching systems in ℝn: A case study in power electronics. Phys. D Nonlinear Phenom. 2017, 347, 12–20. [Google Scholar] [CrossRef]
- Zhang, X.; Zhang, K.; Li, H.; Cao, Q.; Jin, L.; Li, P. Porous graphitic carbon microtubes derived from willow catkins as a substrate of MnO2 for supercapacitors. J. Power Sources 2017, 344, 176–184. [Google Scholar] [CrossRef]
- Liu, R.; Chang, X.H.; Chen, Z.; Li, Z.; Huang, W.; Xiong, J. Dissipative control for switched nonlinear singular systems with dynamic quantization. Commun. Nonlinear Sci. Numer. Simul. 2023, 127, 107551. [Google Scholar] [CrossRef]
- Li, X.; Zeng, Z.; Shen, J.; Zhang, C.; Zhao, Y. Rectification of depth measurement using pulsed thermography with logarithmic peak second derivative method. Infrared Phys. Technol. 2018, 89, 1–7. [Google Scholar] [CrossRef]
- Wang, J.R.; Ibrahim, A.G.; O’Regan, D. Hilfer-type fractional differential switched inclusions with noninstantaneous impulsive and nonlocal conditions. Nonlinear Anal. Model. Control 2018, 23, 921–941. [Google Scholar] [CrossRef]
- Kumar, V.; Malik, M.; Baleanu, D. Results on Hilfer fractional switched dynamics system with non-instantaneous impulses. J. Phys. 2022, 172, 1–15. [Google Scholar]
- Durgaa, N.; Nageshwari, S.; Chalishajar, D.N. Total controllability of stochastic non-instantaneous impulsive Hilfer fractional switched dynamic systems with deviated arguments. Stoch. Anal. Appl. 2025, 43, 273–302. [Google Scholar] [CrossRef]
- Lee, J.H.; Lee, K.S. Iterative learning control applied to batch processes: An overview. Control. Eng. Pract. 2007, 15, 1306–1318. [Google Scholar] [CrossRef]
- Pierallini, M.; Angelini, F.; Mengacci, R.; Palleschi, A.; Bicchi, A.; Garabini, M. Iterative learning control for compliant underactuated arms. IEEE Trans. Syst. Man. Cybern. Syst. 2023, 53, 3810–3822. [Google Scholar] [CrossRef]
- Pei, S.; Zhao, Z.; Liu, F.; Miao, M.; Jin, S.; Sun, F. Iterative learning control for tricalcium neutralization process with initial disturbance. Chem. Eng. Technol 2023, 46, 1028–1038. [Google Scholar] [CrossRef]
- Wang, H.; Han, Z.; Wu, Y.; Liu, Z. Rapid adaptation for active pantograph control in high-speed railway via deep meta reinforcement learning. IEEE Trans. Cybern. 2024, 54, 2783–2796. [Google Scholar] [CrossRef]
- Wei, Y.; Bao, X.J.; Shang, W.; Liao, J.Z. Iterative learning control for non-linear discrete-time systems with iterative varying reference trajectory and varying trail lengths under random initial state shifts. J. Intell. Robot. Syst. 2025, 111, 58. [Google Scholar] [CrossRef]
- Wang, Y.; Wang, Y.; Chen, X.; Wang, Y.; Chang, Z. An improved deep deterministic policy gradient pantograph active control strategy for high-speed railways. Electronics 2024, 13, 3545. [Google Scholar] [CrossRef]
- Wang, H.; Han, Z.; Wang, X.; Wu, Y.; Liu, Z. Contrastive learning-based Bayes-adaptive meta-reinforcement learning for active pantograph control in high-speed railways. IEEE Trans. Cybern. 2025; 1–15, early access. [Google Scholar] [CrossRef]
- Bhangale, N.; Kachhia, K.B.; Aguilar, J.G. Fractional viscoelastic models with Caputo generalized fractional derivative. Math. Methods. Appl. Sci. 2023, 46, 7835–7846. [Google Scholar] [CrossRef]
- Wang, F.Z.; Shi, L.; Wu, H.; Helian, N.; Chua, L.O. Fractional memristor. Appl. Phys. Lett. 2017, 1114, 243502. [Google Scholar] [CrossRef]
- Zhang, C.; Wang, L.; Ye, W.; Wu, J.; Shen, Z.; Menshov, I. Mathematical modeling of transport phenomena in compressible multicomponent flows. J. Comput. Phys. 2023, 472, 111628. [Google Scholar] [CrossRef]
- Vivek, D.; Sunmitha, S.; Elsayed, E.M. P-type iterative learning control for impulsive pantograph equations with Hilfer fractional derivative. Math. Found. Comput. 2025; 1–17, early access. [Google Scholar] [CrossRef]
- Lan, Y.H.; Zhou, Y. Dα-Type iterative learning control for fractional-order linear time-delay systems. Asian J. Control 2013, 15, 669–677. [Google Scholar] [CrossRef]
- Yu, X.; Debbouche, A.; Wang, J.R. On the iterative learning control of fractional impulsive evolution equations in Banach spaces. Math. Meth. Appl. Sci. 2015, 40, 6061–6069. [Google Scholar] [CrossRef]
- Cao, X.; Feckan, M.; Shen, D.; Wang, J. Iterative learning control for impulsive multi-agent systems with varying trial lengths. Nonlinear Anal. Model. Control. 2022, 27, 445–465. [Google Scholar] [CrossRef]
- Liu, S.; Wang, J.; Shen, D.; O’Regan, D. Iterative learning control for noninstantaneous impulsive fractional-order systems with varying trial lengths. Int. J. Robust Nonlinear Control. 2018, 28, 6202–6238. [Google Scholar] [CrossRef]
- Liu, S.; Debbouche, A.; Wang, J. ILC method for solving controllability of fractional differential equations with noninstantaneous impulses. J. Comput. Appl. Math. 2018, 339, 343–355. [Google Scholar] [CrossRef]
- Vivek, D.; Sunmitha, S.; Sivasundaram, S. Iterative learning control for Hilfer-type fractional-order quaternion-valued impulsive systems. Math. Eng. Sci. Aerosp. 2025, 16, 1–17. [Google Scholar]
- Vivek, D.; Sunmitha, S.; Sivasundaram, S. Analysis of convergence in ILC for nonlinear pantograph equations with impulses using Hilfer fractional derivative. MESA 2025, 16, 579–591. [Google Scholar]
- Haubold, H.J.; Mathai, A.M.; Saxena, R.K. Mittag-leffler functions and their applications. J. Appl. Math. 2011, 2011, 51. [Google Scholar] [CrossRef]
- Ye, H.; Gao, J.; Ding, Y. A generalized Gronwall inequality and its application to a fractional differential equation. J. Math. Anal. Appl. 2007, 328, 1075–1081. [Google Scholar] [CrossRef]
- Lan, Y.H. Iterative learning control with initial state learning for fractional order nonlinear systems. Comput. Math. Appl. 2012, 64, 3210–3216. [Google Scholar] [CrossRef]
- Luo, Z.J.; Wang, J.R. Study on iterative learning control for Riemann-Liouville fractional order systems. Diff. Equ. Appl. 2017, 9, 123–139. [Google Scholar] [CrossRef]
Disclaimer/Publisher’s Note: The statements, opinions and data contained in all publications are solely those of the individual author(s) and contributor(s) and not of MDPI and/or the editor(s). MDPI and/or the editor(s) disclaim responsibility for any injury to people or property resulting from any ideas, methods, instructions or products referred to in the content. |
© 2025 by the authors. Licensee MDPI, Basel, Switzerland. This article is an open access article distributed under the terms and conditions of the Creative Commons Attribution (CC BY) license (https://creativecommons.org/licenses/by/4.0/).


