Beyond the Light-Cone Propagation of Relativistic Wavefunctions: Numerical Results
Abstract
1. Introduction
2. Positive Energy Propagation
2.1. Standard Relativistic Wave Equations
2.2. The Salpeter or Relativistic Schrödinger Equation
2.3. Foldy–Wouthuysen Density for the Klein–Gordon or Dirac Equation
3. Non-Causality and Its Physical Implications
3.1. Non-Causality of the Propagator
3.2. Physicality of Positive Energy Propagation
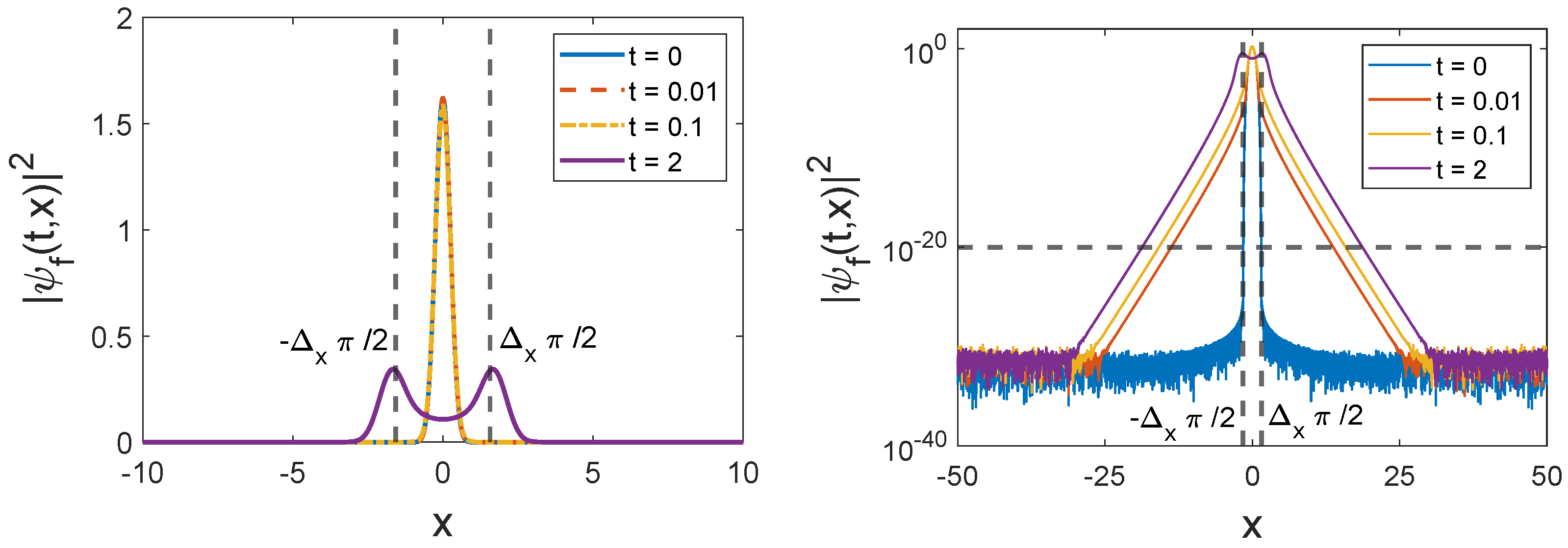
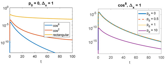
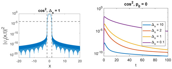
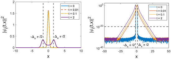
4. Results
4.1. Method
4.2. Numerical Results
5. Discussion and Conclusions
Author Contributions
Funding
Informed Consent Statement
Data Availability Statement
Conflicts of Interest
References
- Hegerfeldt, G.C. Instantaneous spreading and Einstein causality in quantum theory. Ann. Phys. 1998, 7, 716–725. [Google Scholar] [CrossRef]
- Kosinski, P. Salpeter Equation and Causality. Prog. Theor. Phys. 2012, 128, 59–65. [Google Scholar] [CrossRef]
- Beck, C. Local Quantum Measurement and Relativity; Springer Nature Switzerland: Cham, Switzerland, 2021. [Google Scholar]
- Greiner, W. Field Quantization; Springer: Berlin/Heidelberg, Germany, 1996. [Google Scholar]
- Padmanabhan, T. Obtaining the non-relativistic quantum mechanics from quantum field theory: Issues, folklores and facts. Eur. Phys. J. C 2018, 78, 563. [Google Scholar] [CrossRef]
- Kowalski, K.; Rembielinski, J. Salpeter equation and probability current in the relativistic Hamiltonian quantum mechanics. Phys. Rev. A 2011, 84, 012108. [Google Scholar] [CrossRef]
- Zou, L.; Zhang, P.; Silenko, A.J. Position and spin in relativistic quantum mechanics. Phys. Rev. A 2020, 101, 032117. [Google Scholar] [CrossRef]
- Pavsic, M. Localized States in Quantum Field Theory. Adv. Appl. Clifford Algebr. 2018, 28, 89. [Google Scholar] [CrossRef]
- Ruijsenaars, S.N.M. On Newton-Wigner localization and superluminal propagation speeds. Ann. Phys. 1981, 137, 33–43. [Google Scholar] [CrossRef]
- Rosenstein, B.; Usher, M. Explicit illustration of causality violation: Noncausal relativistic wave-packet evolution. Phys. Rev. D 1987, 36, 2381. [Google Scholar] [CrossRef]
- Al-Hashimi, M.H.; Wiese, U.J. Minimal position-velocity uncertainty wave packets in relativistic and non-relativistic quantum mechanics. Ann. Phys. 2009, 324, 2599–2621. [Google Scholar] [CrossRef]
- Eckstein, M.; Miller, T. Causal evolution of wave packets. Phys. Rev. A 2017, 95, 032106. [Google Scholar] [CrossRef]
- Torre, A.; Lattanzi, A.; Levi, D. Time-Dependent Free-Particle Salpeter Equation: Numerical and Asymptotic Analysis in the Light of the Fundamental Solution. Ann. Der Phys. 2017, 529, 1600231. [Google Scholar] [CrossRef]
- Greiner, W. Relativistic Quantum Mechanics; Springer: Berlin/Heidelberg, Germany, 1996. [Google Scholar]
- Wachter, A. Relativistic Quantum Mechanics; Springer: Berlin/Heidelberg, Germany, 2011. [Google Scholar]
- Salpeter, E.E. Mass Corrections to the Fine Structure of Hydrogen-Like Atoms. Phys. Rev. 1952, 87, 328. [Google Scholar] [CrossRef]
- Rosenstein, B.; Horwitz, L.P. Probability current versus charge current of a relativistic particle. J. Phys. A Math. Gen. 1985, 18, 2115. [Google Scholar] [CrossRef]
- Lucha, W.; Schoeberl, F.F. All Around the Spinless Salpeter Equation. arXiv 1994, arXiv:hep-ph/9410221. [Google Scholar]
- Foldy, L.L.; Wouthuysen, S.A. On the Dirac Theory of Spin 1/2 Particles and Its Non-Relativistic Limit. Phys. Rev. 1950, 78, 29. [Google Scholar] [CrossRef]
- Case, K.M. Some Generalizations of the Foldy–Wouthuysen Transformation. Phys. Rev. 1954, 95, 1323. [Google Scholar] [CrossRef]
- Alkhateeb, M.; Matzkin, A. Relativistic Bohmian Trajectories and Klein–Gordon Currents for Spin-0 Particles. Found. Phys. 2022, 52, 104. [Google Scholar] [CrossRef]
- Redmount, I.H.; Suen, W.M. Path integration in relativistic quantum mechanics. Int. J. Mod. Phys. A 1993, 8, 1629–1635. [Google Scholar] [CrossRef]
- Newton, T.D.; Wigner, E.P. Localized States for Elementary Systems. Rev. Mod. Phys. 1949, 21, 400. [Google Scholar] [CrossRef]
- Karpov, E.; Ordonez, G.; Petrosky, T.; Prigogine, I.; Pronko, G. Causality, delocalization, and positivity of energy. Phys. Rev. A 2000, 62, 012103. [Google Scholar] [CrossRef]
- Pavsic, M. Manifestly covariant canonical quantization of the scalar field and particle localization. Mod. Phys. Lett. A 2018, 33, 1850114. [Google Scholar] [CrossRef]
- Pavsic, M. A new perspective on quantum field theory revealing possible existence of another kind of fermions forming dark matter. Int. J. Geom. Meth. Mod. Phys. 2022, 19, 2250184. [Google Scholar] [CrossRef]
- Silenko, A.J.; Zhang, P.; Zou, L. Reply to Comment on “Relativistic Quantum Dynamics of Twisted Electron Beams in Arbitrary Electric and Magnetic Fields”. Phys. Rev. Lett. 2019, 122, 159302. [Google Scholar] [CrossRef] [PubMed]
- Gutiérrez de la Cal, X.; Alkhateeb, M.; Pons, M.; Matzkin, A.; Sokolovski, D. Klein paradox for bosons, wave packets and negative tunnelling times. Sci. Rep. 2020, 10, 19225. [Google Scholar] [CrossRef] [PubMed]
- Alkhateeb, M.; Gutierrez de la Cal, X.; Pons, M.; Sokolovski, D.; Matzkin, A. Relativistic time-dependent quantum dynamics across supercritical barriers for Klein–Gordon and Dirac particles. Phys. Rev. A 2021, 103, 042203. [Google Scholar] [CrossRef]
- Alkhateeb, M.; Matzkin, A. Relativistic spin-0 particle in a box: Bound states, wave packets, and the disappearance of the Klein paradox. Am. J. Phys. 2022, 90, 297. [Google Scholar] [CrossRef]
- Mourou, G.; Mironov, S.; Khazanov, E.; Sergeev, A. Single cycle thin film compressor opening the door to Zeptosecond-Exawatt physics. Eur. Phys. J. Spec. Top. 2014, 223, 1181. [Google Scholar] [CrossRef]
- Bakke, F.; Wergeland, H. Wave packets of relativistic electrons. Physica 1973, 69, 5–11. [Google Scholar] [CrossRef]
- Hoffmann, S.E. The minimum width in relativistic quantum mechanics. J. Phys. B 2018, 51, 165302. [Google Scholar] [CrossRef]
- Krekora, P.; Su, Q.; Grobe, R. Relativistic Electron Localization and the Lack of Zitterbewegung. Phys. Rev. Lett. 2004, 93, 043004. [Google Scholar] [CrossRef]






| , | - | - | - | |
| , | - | - | ||
| rectangular, |
| Wavefunction | ||||
|---|---|---|---|---|
| rectangular | ||||
Disclaimer/Publisher’s Note: The statements, opinions and data contained in all publications are solely those of the individual author(s) and contributor(s) and not of MDPI and/or the editor(s). MDPI and/or the editor(s) disclaim responsibility for any injury to people or property resulting from any ideas, methods, instructions or products referred to in the content. |
© 2023 by the authors. Licensee MDPI, Basel, Switzerland. This article is an open access article distributed under the terms and conditions of the Creative Commons Attribution (CC BY) license (https://creativecommons.org/licenses/by/4.0/).
Share and Cite
Gutierrez de la Cal, X.; Matzkin, A. Beyond the Light-Cone Propagation of Relativistic Wavefunctions: Numerical Results. Dynamics 2023, 3, 60-70. https://doi.org/10.3390/dynamics3010005
Gutierrez de la Cal X, Matzkin A. Beyond the Light-Cone Propagation of Relativistic Wavefunctions: Numerical Results. Dynamics. 2023; 3(1):60-70. https://doi.org/10.3390/dynamics3010005
Chicago/Turabian StyleGutierrez de la Cal, Xabier, and Alex Matzkin. 2023. "Beyond the Light-Cone Propagation of Relativistic Wavefunctions: Numerical Results" Dynamics 3, no. 1: 60-70. https://doi.org/10.3390/dynamics3010005
APA StyleGutierrez de la Cal, X., & Matzkin, A. (2023). Beyond the Light-Cone Propagation of Relativistic Wavefunctions: Numerical Results. Dynamics, 3(1), 60-70. https://doi.org/10.3390/dynamics3010005

