Abstract
In this work, we report on AlGaN/GaN HEMT sensors for acetone concentration below and in a broad range of the sensor temperature varying from RT to 300 . At RT, in the presence of acetone, a smooth and monotonic decrease of the current is observed with a rather large response of and with a large response time (several minutes) and memory effect. At a high temperature (300 ), a current decrease is first observed just after the acetone injection, then followed by an increase, which saturates and stabilizes at a constant value. In order to clarify this unexpected behaviour, a detailed study of the sensor response versus the temperature and acetone injection flow is carried out. The outcome of this investigation is that a competition between the current variations induced by both the sensor and gas flow temperature difference from one side and the acetone dipolar moment from the other side can explain this transient. Our study highlights that AlGaN/GaN HEMT-based sensors allow for very sensitive acetone detection at both room and high temperatures. Nevertheless, care must be taken during the characterization and operation of such sensors especially at high operating temperatures. On the other hand, the high temperature operation helps to improve the sensor response and suppress the memory effect.
1. Introduction
With the recent progress in biomedicine and biosensors, in environmental and industrial control, acetone detection emerges as a huge challenge to be met with small, wearable and less expensive sensors. In fact, acetone is one of the important volatile organic compounds (VOCs) used as a biomarker of several diseases [1] and is widely used in research laboratories and biochemical industries. Modern electronic devices, with their reduced sizes and fast time response can play a major role in this field of sensing.
AlGaN/GaN HEMTs have been shown to be efficient sensors for a broad range of physical parameters, in either liquid or dry condition, such as pressure sensors [2,3], gas detection [4,5], pH sensors [6] and, more recently, used as biosensors for the rapid detection of viruses [7]. These achievements could pave the way for the use of these HEMT transistors in electronic nose development, particularly useful for VOC detection. In the acetone case, sensors with responsivity in the range below are desired [1].
Pioneering works on chemical and gas sensing using AlGaN/GaN HEMTs started at the beginning of the 2000s [8,9,10,11]. Neuberger et al. reported on polar liquid sensing at room temperature using a gate-less HEMT. They tested both acetone, propanol and methanol in the liquid phase and showed that, whatever the polar liquid, the drain current decreased from its clean air value to a lower value in the presence of acetone. The same trend was reported by Mehandru et al. [11]. They used the AlGaN/GaN HEMT to measure acetone and alcohol effects, and the sensing mechanism was attributed to the interaction between the dipole moments and the 2D gas. However, the magnitude of the changes did not correlate with the dipole moment of the liquids, suggesting that steric hindrance effects or the mismatch orientation of the adsorbed molecules should play a role in the detection mechanism [10]. HEMT-based sensing of acetone in the gaseous phase was also tested by Sun et al. [12]. For that, they used a WO gated AlGaN/GaN HEMT integrated with a micro-heater allowing the operation of the HEMT at a temperature higher than 200 . In contrast to the previously cited studies, they observed a large increase of the drain current of the HEMT in the presence of acetone.
In this work, in an attempt to elucidate the reason for the discrepancies in the sensor response to acetone in the gaseous phase, we report on a Pt-gated AlGaN/GaN HEMT sensor for acetone concentration ranging from to and for operating temperatures varying from room temperature up to 300 .
2. Device Fabrication and Measurement Setup
The AlGaN/GaN heterostructure was grown by metal organic vapour phase epitaxy (MOVPE) on a semi-insulating GaN template on a sapphire substrate using trimethylgallium (TMGa), trimethylaluminium (TMAl) and ammonia (NH) as the gallium, aluminium and nitrogen sources, respectively. The epilayers consisted of a thick undoped GaN layer and a thick undoped AlGaN layer with an aluminium (Al) composition of 30%, which was verified by XRD measurements. AFM measurements showed a smooth surface with an RMS roughness of . For the sensor fabrication, source and drain contacts were defined by optical lithography. Using an electron beam evaporator, the ohmic contact was achieved by the multilayer Ti/Al/Ni/Au deposition followed by a rapid thermal annealing at for under a nitrogen atmosphere. Rectangular-shaped gates were defined by optical lithography, and the platinum (Pt) contact was evaporated with a thickness of followed by lift-off to obtain 16 sensors on a single chip with a size of (see Figure 1).
Figure 1.
(Left) Photograph of a two inch wafer processed HEMT acetone sensor. (Middle) single ship of 16 sensors. (Right) SEM image showing a single HEMT sensor.
For gas sensing, the sensors were placed in a closed chamber and electrically connected to a source measurement unit for device polarization and current measurements. The acetone flow was prepared by bubbling a controlled carrier flow of nitrogen in a bubbler containing the solvents in the liquid phase and carried out to the chamber.
3. Sensing Mechanism
The acetone sensing mechanism using a AlGaN/GaN HEMT device was described by Rabba and Stien [13]. The drain current can be described by:
where W is the gate width, is the channel position-dependent electron drift velocity, is the charge density in the transistor channel and m is the Al mole fraction in the AlGaN layer. The expression of this sheet density is obtained by solving the 1D Poisson’s equation given by:
where is the dielectric constant of the , q is the electronic charge, d is the thickness of the AlGaN layer, is the gate voltage, is the drain–source voltage, is the Fermi level energy with respect to the GaN conduction band, m is the aluminium composition and is the threshold voltage of the HEMT, which is negative for a normally-on HEMT. corresponds to the potential variation induced by the acetone molecule dipole calculated using the Helmholtz condenser model and given by:
where is the dipole density per unit area, p is the dipole moment of the polar molecule in Debye (D), is the angle between the dipole moment vector and the surface normal, is the relative permittivity of the gas and is the vacuum permittivity.
For normally-on HEMT, the 2D electron gas induces positive charges on the gate, which attract and trap the acetone molecular dipoles, leading to a depletion of the 2D gas and thus a current decrease (see Figure 2). This corresponds to an induced negative , in Equation (2).
Figure 2.
Sketch of the operation principle of an HEMT for acetone sensing.
4. Results
4.1. Room Temperature Measurements
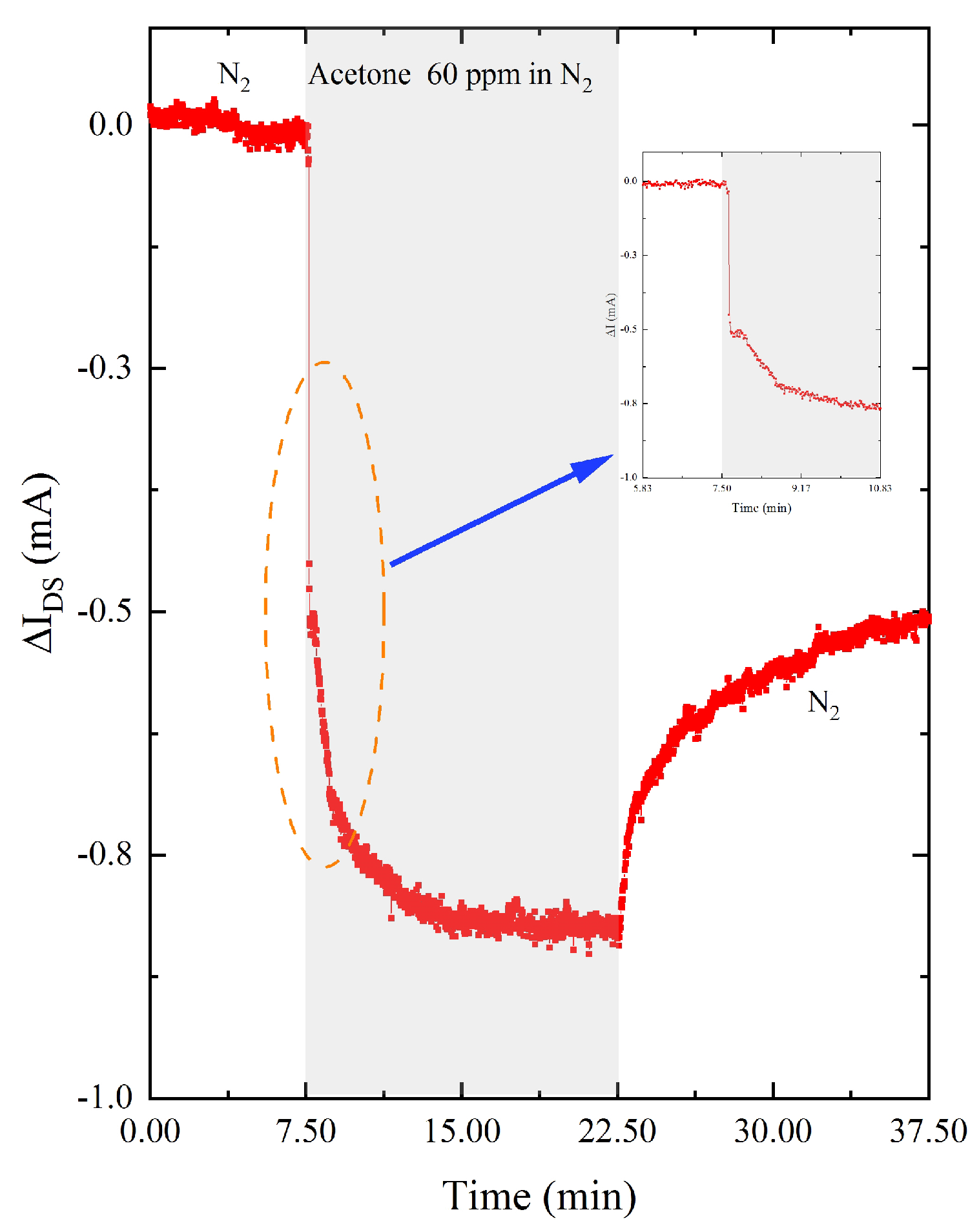
Figure 3 shows the typical time dependence of the induced drain current variation, , when the gas flow is switched from pure () to acetone diluted in at a concentration of and then to pure . A sharp decrease of the current is observed just after the acetone switching. The current then stabilizes for a few seconds (see the inset of Figure 3), starts to decrease again with a smaller slope and finally saturates to reach a constant value. When the gas flow is switched back to pure , a slow increase of the current followed by a saturation without full recovering is observed. Note that a full recovery is obtained after a few hours of operation.
Figure 3.
Typical time dependence of the induced drain current variation, , when the gas flow is switched from pure () to acetone diluted in at a concentration of , then to pure . Measurements were carried out at room temperature and at a bias polarisation of .
The sensitivity (), relative variation () and response time (10% to 90% of the total induced current variation) of the sensor were derived from the data of Figure 3. The sensitivity, relative sensitivity and response time were equal to , 2.4% and 131 s, respectively. Table 1 summarizes the values of this set of characteristics obtained for different acetone concentrations.
Table 1.
Values of the sensitivity , relative variation and response time of the HEMT sensor at room temperature and for different concentrations.
A large decrease of the sensitivity is observed when the acetone concentration is increased from 30 to 120 ppm. Such behaviour cannot be explained by a saturation of the current variation due to a memory effect because each measurement started only after a full recovery of the sensor. A possible reason for this unexpected decrease of the sensor performance is a cooling of the sensor by the gas flow. When the gas flow is introduced into the chamber, the temperature of the sensor decreases and reaches a minimum before increasing when the equilibrium is reached in the chamber. This transient cooling of the sensor induces a current transient, which might partially compensate for the decrease of the current induced by the acetone, leading to the behaviour shown in the inset of Figure 3. The transient cooling of the sensor becomes larger when the acetone concentration is increased since the gas flow is increased correspondingly. This assumption is supported by data reported recently by Sun et al. [12] who reported a low sensitivity of for acetone in air at , conditions for which the gas flow cooling might play a large role. The increase of the response time with the increase of acetone concentration could also be explained by the transient cooling, which affects mainly the saturation region of the sensor response and thus the time at which 90% of the response is reached.
4.2. High Temperature Measurements
To explore the effect of the cooling transient on the sensor response, we performed acetone sensing at a higher temperature up to , for which larger cooling transients are expected, and for different exposure times of the sensor to the acetone flow. Results obtained at for an acetone concentration of 60 ppm and a time exposure varying from to are reported in Figure 4a–d.
Figure 4.
Typical time dependence of the induced drain current variation, , when the gas flow is switched from pure () to acetone diluted in at a concentration of , then to pure for different time exposures varying from (a), (b), (c) and (d). Measurements were carried out at and at a bias polarisation of .
Fort the shortest exposure time, a sharp and fast decrease of the current is observed just after the acetone switching. Then, the current variation saturates and reaches a constant value. When the gas flow is switched back to pure , a slow increase of the current followed by a saturation with a full recovery is observed. The sensitivity, relative variation and response time were equal to , 1.9% and 6 s, respectively. As expected, the sensor response and the recovery time were smaller at a high temperature than at room temperature. Nevertheless, note that the sensitivity is almost four times smaller than that obtained at room temperature. This is likely due to the transient cooling effect, which partially compensates for the acetone induced current decrease. For a longer exposure time, the cooling of the sensor by the gas flow increases, while the compensation effect increases. A larger current increase due to the cooling occurs, leading to an effective sensitivity decrease. This cooling induced current increase extends after the switching to pure N gas and then slowly decreases before reaching the initial current value (not shown here). For a long exposure time, there is thus a strong competition between the current decrease due to the acetone interaction with the gate and the current increase due to the sensor cooling by the gas flow. As shown in Figure 5, for a very long exposure time (30 min), the sensor cooling effect on the current becomes fully dominant and completely hides the acetone response.
Figure 5.
Typical time dependence of the induced drain current variation, , when the gas flow is switched from pure () to acetone diluted in at a concentration of for 30 min, then to pure , then to acetone diluted in at a concentration of for 30 mn and finally to pure . Measurements were carried out at and at a bias polarisation of .
5. Conclusions
At room temperature, in the presence of acetone, a smooth and monotonic decrease of the HEMT sensor current is observed with a rather large sensitivity, but with a slow response time and a very long recovering time. The sensor response is in agreement with the electrostatic interaction between the 2D gas of the HEMT with the dipolar moment of the acetone molecules. At a high temperature (), a cooling effect due the gas flow, which counter balances the acetone response, is observed. This cooling effect becomes dominant for a long exposure time of the sensor to acetone gas flow and can completely hide the sensor response to acetone. AlGaN/GaN HEMT-based sensors are shown to allow for very sensitive acetone detection at both room and high temperatures. Nevertheless, care must be taken during the characterization and operation of such sensors especially at high operating temperatures. Increasing the latter can help to improve the response and recovery time, but requires the control or cancellation of the current transient due to the cooling of the sensor by the gas flow.
Author Contributions
Conceptualisation, measurements, writing, original draft preparation, methodology: A.A.; Software, methodology, devices processing: Y.H.; Devices growth: S.S.; Resources: S.G.; Discussion, methodology: P.V.; Methodology, writing, review and editing: J.P.S.; Supervision, project administration, funding acquisition, review and editing: A.O.
Funding
This research is partially funded by the European Program FEDER and the Region Grand Est in France.
Acknowledgments
The authors would like to thank the Region Grand Est (France) and the EU program FEDER (Fonds européen de développement régional) for their financial support.
Conflicts of Interest
The authors declare no conflict of interest.
References
- Wilson, A. Advances in Electronic-Nose Technologies for the Detection of Volatile Biomarker Metabolites in the Human Breath. Metabolites 2015, 5, 140–163. [Google Scholar] [CrossRef] [PubMed]
- Kang, B.S.; Kim, S.; Kim, J.; Mehandru, R.; Ren, F.; Baik, K.; Pearton, S.J.; Gila, B.P.; Abernathy, C.R.; Pan, C.C.; et al. AlGaN/GaN high electron mobility transistor structures for pressure and pH sensing. Phys. Status Solidi (C) 2005, 2, 2684–2687. [Google Scholar] [CrossRef]
- Gajula, D.; Jahangir, I.; Koley, G. High Temperature AlGaN/GaN Membrane Based Pressure Sensors. Micromachines 2018, 9, 207. [Google Scholar] [CrossRef] [PubMed]
- Bishop, C.; Halfaya, Y.; Soltani, A.; Sundaram, S.; Li, X.; Streque, J.; Gmili, Y.E.; Voss, P.L.; Salvestrini, J.P.; Ougazzaden, A. Experimental Study and Device Design of NO, NO2, and NH3Gas Detection for a Wide Dynamic and Large Temperature Range Using Pt/AlGaN/GaN HEMT. IEEE Sens. J. 2016, 16, 6828–6838. [Google Scholar] [CrossRef]
- Halfaya, Y.; Bishop, C.; Soltani, A.; Sundaram, S.; Aubry, V.; Voss, P.; Salvestrini, J.P.; Ougazzaden, A. Investigation of the Performance of HEMT-Based NO, NO2 and NH3 Exhaust Gas Sensors for Automotive Antipollution Systems. Sensors 2016, 16, 273. [Google Scholar] [CrossRef] [PubMed]
- Sama, N.Y.; Bouhnane, H.; Gautier, S.; Ahaitouf, A.; Matray, J.M.; Salvestrini, J.P.; Ougazzaden, A.; Hathcock, A.; He, D.; Vuong, T.Q.P.; et al. Investigation of Sc2O3 Based All-Solid-State EIS Structure for AlGaN/GaN HEMT pH Sensor. In Proceedings of the 2019 IEEE SENSORS, Montreal, QC, Canada, 27–30 October 2019. [Google Scholar] [CrossRef]
- Yang, J.; Carey, P.; Ren, F.; Mastro, M.A.; Beers, K.; Pearton, S.J.; Kravchenko, I.I. Zika virus detection using antibody-immobilized disposable cover glass and AlGaN/GaN high electron mobility transistors. Appl. Phys. Lett. 2018, 113, 032101. [Google Scholar] [CrossRef]
- Kao, K.W.; Hsu, M.C.; Chang, Y.H.; Gwo, S.; Yeh, J.A. A Sub-ppm Acetone Gas Sensor for Diabetes Detection Using 10 nm Thick Ultrathin InN FETs. Sensors 2012, 12, 7157–7168. [Google Scholar] [CrossRef] [PubMed]
- Neuberger, R.; Müller, G.; Ambacher, O.; Stutzmann, M. High-Electron-Mobility AlGaN/GaN Transistors (HEMTs) for Fluid Monitoring Applications. Phys. Status Solidi (A) 2001, 185, 85–89. [Google Scholar] [CrossRef]
- Pearton, S.J.; Kang, B.S.; Kim, S.; Ren, F.; Gila, B.P.; Abernathy, C.R.; Lin, J.; Chu, S.N.G. GaN-based diodes and transistors for chemical, gas, biological and pressure sensing. J. Phys. Condens. Matter 2004, 16, R961–R994. [Google Scholar] [CrossRef]
- Mehandru, R.; Luo, B.; Kang, B.; Kim, J.; Ren, F.; Pearton, S.; Pan, C.C.; Chen, G.T.; Chyi, J.I. AlGaN/GaN HEMT based liquid sensors. Solid-State Electron. 2004, 48, 351–353. [Google Scholar] [CrossRef]
- Sun, J.; Sokolovskij, R.; Iervolino, E.; Santagata, F.; Liu, Z.; Sarro, P.M.; Zhang, G. Characterization of an Acetone Detector Based on a Suspended WO3-Gate AlGaN/GaN HEMT Integrated With Microheater. IEEE Trans. Electron Devices 2019, 66, 4373–4379. [Google Scholar] [CrossRef]
- Rabbaa, S.; Stiens, J. Validation of a triangular quantum well model for GaN-based HEMTs used in pH and dipole moment sensing. J. Phys. D Appl. Phys. 2012, 45, 475101. [Google Scholar] [CrossRef]
Publisher’s Note: MDPI stays neutral with regard to jurisdictional claims in published maps and institutional affiliations. |
© 2020 by the authors. Licensee MDPI, Basel, Switzerland. This article is an open access article distributed under the terms and conditions of the Creative Commons Attribution (CC BY) license (https://creativecommons.org/licenses/by/4.0/).




