Next Article in Journal
Frequency Selective Surfaces: Design, Analysis, and Applications
Previous Article in Journal
Optimized Architecture for Efficient OFDMA Network Design
 
 
Font Type:
Arial Georgia Verdana
Font Size:
Aa Aa Aa
Line Spacing:
Column Width:
Background:
Article

Bridging the Digital Divide in Mexico: A Critical Analysis of Telecommunications Infrastructure and Predictive Models for Policy Innovation

by
Carolina Del-Valle-Soto
1,*,†,
Ramon A. Briseño
2,†,
Juan-Carlos López-Pimentel
1,
Ramiro Velázquez
3,
Leonardo J. Valdivia
1 and
José Varela-Aldás
4
1
Facultad de Ingeniería, Universidad Panamericana, Álvaro del Portillo 49, Zapopan 45010, Mexico
2
Centro Universitario de Ciencias Económico Administrativas, Universidad de Guadalajara, Zapopan 45180, Mexico
3
Facultad de Ingeniería, Universidad Panamericana, Aguascalientes 20296, Mexico
4
Centro de Investigación en Ciencias Humanas y de la Educación—CICHE, Facultad de Ingenierías, Ingeniería Industrial, Universidad Tecnológica Indoamérica, Ambato 180103, Ecuador
*
Author to whom correspondence should be addressed.
These authors contributed equally to this work.
Telecom 2024, 5(4), 1076-1101; https://doi.org/10.3390/telecom5040055
Submission received: 14 October 2024 / Revised: 30 October 2024 / Accepted: 1 November 2024 / Published: 4 November 2024

Abstract

This work presents an in-depth evaluation of the telecommunications landscape in Mexico from 2015 to 2023. The study’s primary focus is on the disparities in broadband access, telecommunications infrastructure, and digital inclusion across various regions, particularly between urban and rural areas. By employing predictive models and correlation analysis, the paper identifies key factors influencing technology adoption and service bundling in households. A significant contribution of this research lies in its identification of strong correlations between broadband access, GDP growth, and the penetration of multiple telecommunication services such as fixed telephony, broadband internet, and television. The predictive models developed offer crucial insights into the regional inequalities of digital access, revealing patterns that policymakers can use to prioritize infrastructure investments. The findings underscore the essential role of public policy innovation in promoting digital inclusion, particularly in underdeveloped regions, and provide a robust analytical framework for understanding how advanced telecommunications services contribute to socio-economic development. Through this analytical approach, the study demonstrates the critical relationship between telecommunications infrastructure and regional economic performance, offering data-driven recommendations to bridge the digital divide and enhance connectivity in underserved areas. The results offer significant value for future research and policy initiatives aimed at fostering equitable access to Information and communication technologies, promoting economic growth, and ensuring broader societal inclusion in the digital age.

1. Introduction

The intersection of telecommunications, technological infrastructure, and digital inclusion has become increasingly important in the context of modern socio-economic development. Telecommunications services, such as broadband access, fixed telephony, and digital television, are essential drivers of connectivity, enabling greater access to information, education, and economic opportunities [1]. In countries like Mexico, where regional disparities often affect the availability and quality of these services, the concept of the “digital divide” emerges as a critical challenge that needs to be addressed [2]. The digital divide represents the gap between those with access to modern information and communication technologies (ICTs) and those without, significantly impacting economic growth and societal equality.
The growing significance of broadband access as a fundamental utility has been widely recognized, particularly in terms of its impact on economic development and social inclusion [3]. Access to high-speed internet is crucial for enhancing productivity, facilitating access to education, and enabling efficient service delivery across various sectors, including healthcare and government services. Recent studies emphasize that regions with greater broadband penetration exhibit higher levels of economic activity, suggesting a positive feedback loop between connectivity and growth [4]. In the context of Mexico, broadband penetration varies significantly between urban and rural areas, highlighting existing regional inequalities. This disparity underlines the importance of targeted investment in broadband infrastructure to enhance economic opportunities, particularly in underserved areas.
To tackle this issue effectively, predictive models are used to analyze patterns of technology adoption and service bundling across different regions. These models help identify areas where gaps exist, thus informing public policies that can target investment in infrastructure and promote equitable access [5]. Understanding the relationships between broadband penetration, technology adoption, and economic indicators is crucial for developing strategic initiatives that support digital inclusion and promote socio-economic progress [6].
Figure 1 presents a detailed representation of the critical elements in telecommunications and their interrelationships. At the center, the concept of “Telecommunications and Digital Divide” is introduced, branching into four major areas: broadband access, digital inclusion, telecommunications infrastructure, and public policy. Each area is further subdivided to show specific components. For example, broadband access is split into fixed and mobile broadband, with a focus on the disparities between urban and rural regions. Digital inclusion emphasizes its impact on education, economic development, and social inclusion, highlighting how these factors contribute to bridging the digital divide. Telecommunications infrastructure is depicted through elements such as fiber optics, service bundling, and predictive models, which are crucial for understanding consumer behavior and promoting technological adoption. Public policy focuses on investment in infrastructure, targeted broadband policies, and strategies to reduce the digital divide, showing how government actions play a vital role in shaping the telecommunications landscape. The diagram also reflects the influence of external factors, such as the COVID-19 pandemic, on technological adoption and consumer behavior.
The evolution toward 6G promises transformative changes in telecommunications by amplifying connectivity speeds, reducing latency, and supporting unprecedented data volumes. As this shift progresses, 6G is anticipated to drive critical advancements in augmented reality, autonomous systems, and artificial intelligence integration, each demanding more sophisticated network capabilities than currently available. This next-generation network will also expand the potential of IoT ecosystems, enabling billions of devices to communicate seamlessly and in real time. The implications of 6G for Mexico are particularly significant, as this technology has the potential to bridge existing connectivity gaps, offering high-speed internet access even in remote areas that 4G and 5G infrastructures struggle to reach. With thoughtful planning, the rollout of 6G could be a critical component in bridging the digital divide, empowering underserved regions with enhanced access to education, healthcare, and economic resources [7].
Furthermore, 6G is expected to transform digital inclusivity through improved spectrum utilization and innovative networking paradigms. Emerging concepts, such as reconfigurable intelligent surfaces and terahertz communications, will become integral to the 6G infrastructure, making connectivity more adaptable to user density and environmental factors. For Mexico, this means that areas with high population density or challenging geographies could benefit from a more reliable and versatile network, particularly valuable for urban and rural connectivity alike [8]. As telecommunications policy evolves, the strategic integration of 6G could catalyze economic growth, foster technological innovation, and create a more inclusive digital society, making Mexico a key player in the global digital economy.
This work provides a thorough and insightful analysis, especially in its development of predictive models to understand variables impacting broadband access, computer equipment, and service bundling. While the concern about potential overfitting due to high correlation among these variables is valid, our approach demonstrates careful attention to mitigating this risk. By acknowledging the interconnections among these factors, we take steps to address multicollinearity and refine the robustness of their model. This contributes positively to the understanding of the digital divide, as it provides nuanced insights into how various factors collectively influence digital access. Moreover, this detailed analysis sets a strong foundation for further research, offering a valuable tool for policymakers aiming to bridge the digital divide effectively.

Contribution

The study presented here analyzes the dynamics of telecommunications service adoption across Mexico from 2015 to 2023, focusing on broadband access, technological infrastructure, and household service bundling. This research aims to evaluate the impact of telecommunications on closing the digital divide in Mexico, a pressing issue in contemporary policy discussions regarding equitable access to ICT. The findings underscore the correlations between access to modern telecommunications infrastructure, such as fiber optic broadband, and socio-economic indicators like Gross Domestic Product (GDP) by region. These correlations are essential to understanding the current state of the telecommunications landscape and its potential to bridge the digital divide, which persists in the less-developed regions of Mexico. The analysis reveals a significant digital divide, particularly reflected by the disparity between households with bundled telecommunications services and those with limited subscriptions. Households subscribing to multiple services are more likely to access broadband, while those relying on a single service face limited connectivity, underscoring an economic and infrastructural gap. This divide not only affects internet access but also impacts the broader potential for socio-economic advancement, as access to reliable internet is increasingly critical for educational opportunities, economic activities, and access to government services.
The predictive models used in this study contribute directly to informing public policy aimed at closing the digital divide. By identifying regions where technological adoption remains low, the models help policymakers prioritize investments in infrastructure, particularly fiber optics, which shows moderate yet growing importance in the more connected areas [9]. Furthermore, the correlation between broadband adoption and multiple service bundles provides insights into consumer behavior, highlighting the potential of bundling strategies as an effective policy tool to encourage technology adoption. This research highlights the critical role that predictive models and robust data analysis play in shaping public policies for telecommunications in Mexico. The findings emphasize the importance of targeted investments in infrastructure, promoting service bundling as a means to enhance broadband adoption, and ultimately addressing the persistent disparities in digital access. The conclusions drawn here are pivotal in designing effective, inclusive telecommunications policies that contribute to reducing Mexico’s digital divide and ensuring equitable access to ICTs for all citizens.
Figure 2 presents the primary barriers to telecommunications and information technology immersion in many regions. These barriers include the lack of broadband access, which disproportionately affects rural areas, and the high costs of infrastructure, making it difficult to expand networks in underdeveloped regions [10]. Regulatory constraints represent policy and governmental hurdles that slow down technological adoption. Digital literacy gaps further exacerbate the issue, as a lack of knowledge limits individuals’ ability to use available technologies effectively. Urban–rural disparities highlight the uneven distribution of services, where urban centers have far better connectivity compared to rural areas. Limited investment in infrastructure, especially in less economically viable regions, hampers progress [11]. Finally, low technological adoption in certain populations leads to slower overall advancement, particularly when combined with the other limiting factors. Together, these barriers create a complex challenge for achieving widespread technological integration.

2. Related Works

The work presented in this document focuses on the telecommunications landscape in Mexico, particularly the digital divide, broadband penetration, and the adoption of fiber-optic networks across different regions. We describe a summary of the most relevant works in Table 1. This analysis aligns with similar research efforts worldwide, where the correlation between economic development and telecommunications infrastructure is a pivotal focus. In [12], the authors emphasize the role of digital inclusion, identifying economic and educational determinants that influence broadband access, particularly in the context of the COVID-19 pandemic. Similarly, in [13], the authors investigate how Mexico’s educational system faces challenges in bridging the digital divide, correlating regional disparities with gaps in technology adoption. These works underline the critical importance of internet access in enabling socio-economic development, a key theme explored in our study, which uses predictive models to guide public policies aimed at fostering equal access to ICT across Mexico.
Studies by Reddick et al., in [5], and Ghosh, in [4], highlight the direct link between broadband penetration and economic growth, where regions with higher broadband access consistently demonstrate greater economic activity. These findings are corroborated by Gabarró et al., in [9], who propose strategic models for improving broadband connectivity in developing regions, particularly in Latin America. These strategies include targeted investment in fiber-optic networks and service bundling, which is reflected in the correlations presented in this work. The thesis highlights the need for robust telecommunications infrastructure, which directly influences household service bundling and regional GDP, a relationship also explored in [14], in his seminal work on bridging the global digital divide.
Table 2 compares the digital divide and telecommunications infrastructure across Mexico and other regions, emphasizing key aspects such as broadband access, socioeconomic impact, technological adoption, and public policy. The findings reveal that broadband access disparities, particularly between urban and rural areas, are prevalent in both Mexico and nations like China and Southeast Asia, where fiber optic development is prioritized to bridge digital gaps. The socioeconomic impact is also significant, as broadband penetration correlates with regional GDP in Mexico and other areas, such as Sub-Saharan Africa, where mobile networks drive economic development. In terms of technological adoption, both Mexico and South Korea show a shift from cable to fiber optics, with mobile broadband remaining crucial in rural locations, as seen in Nigeria. Lastly, targeted public policies and investments are essential; Mexico’s emphasis on regional investment aligns with ASEAN and Middle Eastern strategies to enhance digital inclusion and economic growth through infrastructure development.
Table 1. Comparison of related works in telecommunications and the digital divide.
Table 1. Comparison of related works in telecommunications and the digital divide.
ReferenceYearKey FocusRegionMain FindingsService of Greatest Impact
[15]2020Broadband impact on economic growthSoutheast AsiaFound that broadband increases GDP growth in ASEAN countriesBroadband Internet
[16]2019Telecom infrastructure and developmentSub-Saharan AfricaExplored the role of mobile networks in socio-economic developmentMobile networks
[17]2017Digital divide in rural areasChinaHighlighted digital exclusion in rural Chinese regions due to limited infrastructure5G Networks
[18]2008ICT adoption for inclusive developmentIndiaICT adoption shown to reduce inequality in urban vs. rural education accessICT infrastructure
[19]2012Broadband expansion policy effectsLatin AmericaExamined how broadband expansion policies improved regional developmentFiber optics
[20]2017Role of cloud computing in telecomMiddle EastShowed how cloud services support growth of telecom in the Gulf Cooperation CouncilCloud-based services
[21]2017Telecom infrastructure’s role in digital economySouth KoreaTelecom infrastructure found to be a cornerstone for digital economic transformationHigh-speed Internet
[22]2017Mobile technologies and the digital divideNigeriaDemonstrated mobile technology’s potential to close the rural–urban digital divideMobile broadband
[23]2021AI applications in telecom sectorGlobalDiscussed how AI integration is transforming telecom efficiencyAI-driven telecom services
[24]2018Smart cities and telecom networksEuropeSmart city development heavily reliant on robust telecom networksIoT and 5G networks
[25]2018Closing the digital divide in rural communitiesKenyaExplored strategies for increasing broadband penetration in rural areasSatellite Internet
[26]2010Telecom policy and economic growthSouth KoreaFound telecom policies directly correlate with national economic growthFiber optics and 5G
[27]1998Impact of telecom investment on education and healthChileShowed telecom infrastructure improving access to digital education and healthcareFiber and wireless networks
[28]2024Broadband penetration and social equityChinaDemonstrated how increasing broadband access reduces economic inequalityBroadband Internet
[29]2022Digital economy and telecom infrastructureChinaExplored how digital economy growth is directly tied to improvements in telecom infrastructureFiber optics and AI-driven services
Table 2. Comparative analysis of telecommunications findings in Mexico and other countries.
Table 2. Comparative analysis of telecommunications findings in Mexico and other countries.
AspectFindings in Mexico (from the Study)Comparable Findings in Other Countries
Broadband AccessSignificant disparities exist between urban and rural areas, with urban regions having more consistent broadband access. The study emphasizes the role of fiber optics in reducing digital disparities over time.In Southeast Asia, broadband access is linked to GDP growth, but urban–rural divides remain prominent. Similarly, China and India report significant urban–rural disparities affecting digital inclusion [30,31].
Socioeconomic ImpactBroadband access is correlated with regional GDP growth in Mexico. Households with multiple telecommunications services are more likely to have broadband, highlighting economic inequality in access.In Sub-Saharan Africa, mobile networks primarily drive socioeconomic development, while Latin American countries, including Brazil, show GDP growth linked to broadband expansion and service bundling [30,32].
Technological AdoptionFixed broadband and fiber optic technologies show a correlation with multi-service adoption, though fiber optic has yet to become dominant. Cable modem usage is declining in favor of higher-speed options.Countries like South Korea and China report a shift towards fiber optics and high-speed options, while mobile broadband remains crucial for connectivity in rural areas of Nigeria and Kenya [33,34].
Public Policy and InvestmentThe study advocates targeted investment in broadband and infrastructure in underserved areas to bridge the digital divide and support economic growth.Similar recommendations are found in studies from ASEAN and the Middle East, where public investment in telecommunications infrastructure is tied to both economic growth and digital inclusivity [35,36].

3. Materials and Methods

The provided data for this work contains datasets on internet connectivity for the years 2015 to 2023, indicating structured data organized in spreadsheets with columns for variables and rows for data entries. Each file likely includes tables with indicators on internet connectivity, categorized by region, household characteristics, and potentially the type of technology used, such as fiber optic, DSL, or mobile broadband. The variables may include connectivity rates, types of internet connections, regional differences, and possibly demographic factors like household size, income level, or urban/rural classification. Specific indicators could address the percentage of the population with access to different types of internet, along with average speed and quality metrics. Since these files span three different years, they suggest a time-series component, allowing for trend analysis in internet access across time, which could reveal significant shifts or improvements in digital infrastructure. Given that the data likely cover multiple regions or states in Mexico, the dataset is expected to be extensive in terms of rows, especially if each file contains detailed data for each state or major municipality. These datasets are ideal for longitudinal analysis to observe internet adoption trends, examine regional disparities, and assess the impact of infrastructure developments over time. They also support studies in digital inclusion and access to technology, making them valuable for shaping policy initiatives aimed at reducing the digital divide.
This article emphasizes the significance of using logistic regression within telecommunications infrastructure analysis, primarily because of its ability to predict the likelihood of an outcome based on multiple influencing factors. Specifically, the choice of logistic regression in the article is justified by its suitability for binary outcomes, such as classifying states into high or low fiber optic adoption categories. This predictive capacity is valuable for policy innovation, as it can identify regions with a higher probability of adopting advanced telecommunications infrastructure. Logistic regression is particularly fitting for this study due to its efficiency in handling categorical target variables and its interpretability, which enables policymakers to easily assess the effect of predictors (e.g., broadband access, computer equipment availability, and bundled services) on fiber optic adoption. Unlike linear regression, logistic regression accommodates the bounded nature of probabilities, ensuring that outputs remain within a plausible range (0 to 1), which is essential for making accurate predictions about technology adoption likelihoods. Moreover, logistic regression is advantageous over other models due to its relative simplicity and robustness in handling multicollinearity, as indicated by the model’s use of correlation matrices to assess relationships between telecommunications services, infrastructure variables, and digital access. This alignment with logistic regression allows for the generation of clear, actionable insights into how digital inclusion initiatives should be prioritized across Mexico. Thus, logistic regression is justified as an optimal choice within the article’s framework due to its predictive reliability, interpretability, and alignment with the binary nature of the digital divide assessment.
In the data analyzed in this study, we have tables (from 2015 to 2023) that contain various indicators of telecommunications service penetration and household equipment by federal entity. Among the variables are
  • Fixed telephony, fixed broadband, restricted television, analog and digital television.
  • Computer equipment, radio devices.
  • Distribution of services in households (none, one, two, or three services).
  • Broadband connection technologies (cable modem, DSL, fiber optic, other technologies).
Table 3 shows the correlation between broadband access, telecommunications services, and technology adoption in households. It highlights strong relationships between fixed broadband, computer equipment, and the subscription to multiple services, while also revealing weaker links with older technologies like cable modems. The correlation analysis reveals strong relationships between fixed broadband access, technological infrastructure, and the adoption of multiple services. A high correlation (0.87) between fixed broadband and computer equipment suggests that households with greater access to technology are more likely to adopt broadband services. Additionally, fixed broadband penetration is significantly correlated with the subscription to multiple services, particularly two (0.90) and three services (0.92), indicating that households bundling telecommunication services are more likely to have broadband access. Fiber optic technology, while moderately correlated with fixed broadband (0.68) and multiple services (0.66 for three services), shows growing relevance in regions with more advanced infrastructure but has not yet surpassed older technologies. In contrast, cable modem technology displays weaker correlations with broadband (0.39) and multiple services, suggesting it is less commonly used in areas with modern infrastructure, where fiber optic may be more prevalent. Notably, a negative correlation (−0.32) between fixed broadband and households with only one service highlights a digital divide, where less technologically equipped households are less likely to have broadband access, underscoring the disparities in service availability and technological adoption.
The 2016 correlation matrix in Table 4 reveals several important insights into the relationships between broadband access, technological infrastructure, and service adoption in households. A strong correlation between fixed broadband and computer equipment (0.80) highlights that households with greater access to computers are more likely to have broadband connections. Similarly, there is a high correlation (0.91) between fixed broadband and the subscription to three services, indicating that households bundling multiple telecommunications services are more likely to have broadband access, reinforcing the trend of bundled offerings. On the other hand, the correlation between fixed broadband and fiber optic technology is moderate (0.47), suggesting that while fiber optic is associated with advanced infrastructure, its influence is not yet dominant. Interestingly, cable modem technology shows a much weaker correlation with broadband access (0.47) and with other services, reflecting the declining relevance of older technologies in regions with modern infrastructure. The inverse relationship between having only one service and fixed broadband access (−0.72) indicates that households subscribing to fewer services are less likely to have broadband, signaling a digital divide.
The 2017 correlation matrix in Table 5 provides insightful relationships between broadband access, telecommunications services, and technology adoption in households. A strong correlation between fixed broadband and computer equipment (0.87) suggests that households with better access to technology are more likely to adopt broadband services. Additionally, the correlation between fixed broadband and the subscription to three services (0.88) highlights that households bundling multiple telecommunications services tend to have a higher likelihood of fixed broadband adoption. This suggests a growing trend in which households with more comprehensive service packages are likely to benefit from improved access to broadband. The correlation between fixed broadband and fiber optic technology is moderate (0.59), reflecting that while fiber optic networks are expanding, they are not yet the dominant technology. However, the relatively low correlation between fixed broadband and cable modem (0.44) indicates that older cable-based technologies are less prevalent in areas with advanced broadband infrastructure, as fiber optic gradually takes a stronger position in the market. The negative correlation between one-service households and fixed broadband (−0.81) points to a significant digital divide. Households with fewer service subscriptions are less likely to have broadband access, suggesting that limited service adoption may be linked to less developed infrastructure or lower demand for modern telecommunications services. This pattern is further reflected in the weaker correlations between one service and other technological factors, highlighting the divide between more connected, multi-service households and those with limited telecommunications options.
The 2018 correlation matrix in Table 6 highlights several key relationships between broadband access, technology adoption, and service subscriptions. A strong correlation between fixed broadband and computer equipment (0.87) indicates that households with better access to technology are more likely to have broadband services. The high correlation between fixed broadband and households with three services (0.92) suggests that bundling multiple services is a significant factor in broadband adoption, reflecting a trend towards integrated service packages. Additionally, the correlation between fixed broadband and fiber optic technology is moderate (0.53), indicating the gradual adoption of more advanced infrastructure, although fiber optic is not yet dominant. Conversely, cable modem shows a weaker correlation with broadband (0.44), suggesting that it is becoming less relevant in areas with modern infrastructure. The negative correlation between one-service households and broadband access (−0.78) underscores the ongoing digital divide, where households with fewer service subscriptions are less likely to have broadband, highlighting disparities in technology access.
The 2019 correlation matrix in Table 7 reveals strong connections between broadband access, technology adoption, and the bundling of telecommunications services in households. Fixed broadband shows a high correlation with computer equipment (0.89), indicating that households with greater access to computers are more likely to have broadband services. The correlation between fixed broadband and households with three services is particularly strong (0.95), reinforcing the idea that bundling multiple services drives broadband adoption. Moderate correlations with fiber optic technology (0.50) suggest that while fiber is important for broadband access, its impact is still evolving. On the other hand, cable modem exhibits a weaker correlation (0.26), indicating its reduced relevance in regions with modern infrastructure. The negative correlation between one-service households and broadband access (−0.78) highlights the digital divide, showing that fewer service subscriptions are linked to lower broadband adoption.
The 2020 correlation matrix in Table 8 reveals strong patterns in broadband access, technology adoption, and service bundling in households. Fixed broadband is highly correlated with computer equipment (0.89), reinforcing the idea that households with greater access to computers are more likely to adopt broadband. The strong correlation with households subscribing to three services (0.92) suggests that bundling multiple services remains a key driver for broadband adoption. Interestingly, fiber optic technology shows only a moderate correlation with fixed broadband (0.49), reflecting that while fiber is important, it has not yet become the dominant broadband technology. Cable modem exhibits a much weaker correlation (0.18), indicating its diminishing role in regions with modern telecommunications infrastructure. The negative correlation between one-service households and broadband access (−0.76) highlights a persistent digital divide, where households with fewer services are less likely to adopt broadband. This gap underscores the disparities in technology access and the importance of bundled services in promoting connectivity.
The 2021 correlation matrix in Table 9 shows strong links between broadband access, technology adoption, and service bundling. Fixed broadband has a high correlation with computer equipment (0.90), indicating that households with more access to technology are more likely to adopt broadband. Additionally, there is a strong relationship between fixed broadband and households subscribing to three services (0.91), underscoring that service bundling plays a significant role in broadband adoption. Fiber optic technology shows a moderate correlation with fixed broadband (0.49), suggesting that although fiber optics is growing, it is not yet the leading broadband technology. Conversely, cable modem has a weaker correlation (0.18), signaling its decline in more advanced regions. The negative correlation between one-service households and broadband access (−0.76) highlights the digital divide, where households with fewer services have significantly less broadband access. This disparity emphasizes the importance of both bundled services and technological infrastructure in driving broadband penetration and addressing connectivity gaps.
The 2022 correlation matrix in Table 10 highlights key relationships between broadband access, technology adoption, and service bundling. Fixed broadband shows a strong correlation with computer equipment (0.89), indicating that households with more technology are more likely to have broadband. The high correlation with three-service households (0.92) emphasizes the importance of bundling multiple services in driving broadband adoption. The correlation with fiber optic technology is moderate (0.51), suggesting fiber optics is gaining relevance but still not dominant. Cable modem shows a weak correlation (0.21), reflecting its decreasing significance in regions with more advanced infrastructure. The negative correlation between one-service households and broadband access (−0.72) underscores the persistent digital divide, where fewer services correlate with lower broadband adoption. This emphasizes the role of bundled services and infrastructure in closing the connectivity gap.
The 2023 correlation matrix in Table 11 reveals significant relationships between broadband access, technology adoption, and service bundling in households. Fixed broadband shows a strong correlation with computer equipment (0.84), underscoring that households with greater access to technology are more likely to have broadband. The high correlation with three-service households (0.89) highlights how bundling multiple services remains a key driver for broadband adoption. Fiber optic technology, with a moderate correlation to broadband (0.49), shows its increasing but not yet dominant role in connectivity. Conversely, cable modem’s lower correlation (0.24) suggests it is becoming less significant as more advanced technologies take precedence. The negative correlation between one-service households and broadband access (−0.66) emphasizes the persistent digital divide, where limited service adoption continues to restrict broadband availability. This underlines the growing importance of expanding technological infrastructure and promoting service bundling to ensure broader digital inclusion, especially in an era where access to ICTs is critical for economic and social development.
The correlation tables (Table 3, Table 4, Table 5, Table 6, Table 7, Table 8, Table 9, Table 10 and Table 11) suggest consistent values in the relationship between fiber optic use and fixed broadband across multiple years. However, these seemingly stable correlations do not necessarily contradict the claim of fiber optic growth. Rather, they underscore that while fiber optics have increasingly penetrated the market as an alternative to traditional broadband technologies, they may still play a complementary role in enhancing overall broadband infrastructure. Thus, even as fiber optic installations expand, the correlation remains close to other services, reflecting both the complementary use of multiple technologies within households and the slower pace of market replacement for fixed broadband services. This underscores that growth in fiber optics is indeed occurring, albeit within an established broadband ecosystem where multiple access technologies coexist.
In Figure 3 and Figure 4, we show comparative insights that reveal a shift toward bundled telecommunications services, preferences for high-speed internet access, and a competitive trend favoring fiber optic technology over cable modems. The matrices reflect an ongoing evolution in consumer behavior influenced by technological advancement and an increasing integration of digital services in households. The correlation matrices from 2015 and 2023 reveal notable shifts in the relationships between broadband access, telecommunications services, and technology adoption in households. Observing these matrices side by side highlights how advancements in technology, changing consumer behavior, and greater service availability have reshaped the interdependence of these variables. One notable change is in the correlation between fixed broadband access and computer equipment adoption, which has decreased slightly from 0.87 in 2015 to 0.84 in 2023. This suggests that while broadband access and computer equipment remain strongly interdependent, the reliance on broadband for owning computer equipment may have declined slightly as alternative internet access options, such as mobile broadband, have become more prevalent. The relationship between fixed broadband and digital TV also shows a shift, increasing from a correlation of 0.67 in 2015 to 0.78 in 2023. This stronger correlation suggests that digital TV has become more reliant on broadband, likely due to the increasing integration of streaming services, which require stable, high-speed internet. Households may now consider broadband access essential for high-quality, on-demand digital content. An intriguing shift can be seen in the relationship between fixed broadband and the choice of a single service. The correlation has intensified in a negative direction, from −0.32 in 2015 to −0.66 in 2023. This indicates that as broadband access becomes more widespread, households are increasingly opting for multiple telecommunications services rather than relying on a single option. This change suggests a diversification in household service portfolios, likely motivated by the greater availability of bundled services that combine internet, television, and other utilities. A marked shift also appears between fiber optic and cable modem technologies. In 2015, these variables had nearly no correlation (−0.03), while in 2023, the correlation is more negative (−0.53), indicating an increasing competition between the two technologies. As fiber optic access has expanded, offering faster and more reliable internet, it has likely begun replacing traditional cable modems in many households, reflecting consumer preference for high-speed internet. Although the correlation between computer equipment and the adoption of three services remains strong, it has slightly decreased from 0.92 in 2015 to 0.81 in 2023. This shift might reflect a diversification in devices beyond computers, such as smartphones or tablets, suggesting that households are increasingly using various devices for telecommunications rather than relying solely on computers. The correlation between single-service and three-service adoption has also shifted substantially, with the relationship becoming more negative over time, moving from −0.18 in 2015 to −0.61 in 2023. This reflects a clear trend toward multi-service packages as consumers increasingly favor bundled options over isolated, single services. Lastly, the correlation between the adoption of two services and fixed broadband has decreased, moving from 0.90 in 2015 to 0.77 in 2023. This trend may indicate that households are increasingly gravitating toward either single high-quality services or more extensive three-service bundles, with less interest in two-service options. This evolution suggests that consumer preferences may be polarizing towards either minimalist or all-inclusive telecommunications solutions.
We use the year 2023 as the basis to establish a predictive model regarding fiber optic adoption in households. The methodology continues by loading the dataset containing information on internet access, computer equipment availability, the percentage of households with three telecommunication services, and fiber optic adoption rates across the Mexican states. To facilitate logistic regression, fiber optic adoption is transformed into a binary variable: states with fiber optic adoption rates greater than or equal to 20% are labeled as high adoption (1), while those with rates below 20% are labeled as low adoption (0). A correlation matrix is calculated to explore how the predictor variables—internet access, computer equipment, and three services—relate to each other and to fiber optic adoption. The dataset is then divided into predictor variables (X) and the binary fiber optic adoption target (y). The data are split into training (70%) and testing (30%) subsets, with the training set used to build a logistic regression model. This model estimates the likelihood that a state will adopt fiber optic technology based on its internet access, equipment availability, and services. Cross-validation with five folds is applied to ensure model reliability and reduce overfitting by training and testing the model on different subsets of the data. Finally, predictions for all states are generated, and a bar chart visualizes the predicted probabilities of fiber optic adoption across the Mexican states, highlighting which regions are more likely to adopt advanced technology based on the model’s outputs. This method is depicted in Figure 4 with the correlation matrix.
In Table 12, x 1 , x 2 , and x 3 represent the predictor variables used in the logistic regression model to predict fiber optic adoption.
x 1 refers to broadband access, which indicates the percentage of households with access to broadband internet in each state. x 2 corresponds to computer equipment, representing the percentage of households with access to a computer. x 3 stands for three services, showing the percentage of households with three fixed telecommunication services (e.g., phone, television, and internet). These predictor variables are used to train the logistic regression model, which aims to forecast whether a state will exhibit high or low adoption of fiber optic technology (the target variable). Each predictor contributes to the model through its respective coefficient, and the model calculates the probability of fiber optic adoption, which is then converted into a binary outcome (0 or 1) to signify low or high adoption. The purpose of these variables is to analyze how internet access, computer availability, and the number of telecommunication services influence the likelihood of fiber optic adoption.
Figure 5 shows the predicted probability of fiber optic adoption across Mexican states, based on factors such as broadband access, availability of computer equipment, and the percentage of households with three telecommunication services. Each bar represents a state, and the height of the bar indicates the likelihood that households in that state will adopt fiber optic technology. Higher bars reflect states with a greater probability of adopting fiber optic infrastructure, suggesting that these regions have more favorable conditions, such as better internet access and higher technology adoption rates. Conversely, states with shorter bars have lower probabilities of fiber optic adoption, indicating less favorable conditions for adopting this technology.
The correlation matrix shown in Figure 6 was generated using Pearson’s correlation coefficient, which shows the linear relationships between the four variables. These relationships help highlight which factors may have a positive or negative correlation with each other in the context of reducing the digital divide. For instance, negative correlations may suggest that improvements in certain areas (such as technological infrastructure) correlate with a reduction in households relying on only one service.
Now, based on Table 13, the concepts are explained as follows. The intercept is the baseline value when all other variables are zero. The infrastructure growth, a small positive coefficient, suggests that increased infrastructure growth slightly increases the probability of being in the high “one service” category, though the effect is minimal. Digital TV penetration, a negative coefficient, indicates that as digital TV penetration increases, the probability of relying on only one service decreases. Combined services, a positive coefficient, suggests that households with access to multiple services are more likely to be in the high “one service” category, though the relationship is counterintuitive and may indicate other latent factors. Therefore, the negative correlation between one service and infrastructure growth (−0.3077) suggests that as infrastructure grows, fewer households rely on just one service. The strong positive correlation between digital TV penetration and combined services (0.7778) indicates that states with higher digital TV penetration tend to have a higher number of households subscribing to multiple services.
Figure 7 displays the predicted probabilities of reducing the digital divide for each Mexican state. Higher bars indicate regions where the digital divide is expected to diminish, suggesting that these regions have favorable conditions for improving digital access. The model helps identify areas where policies and investments could have the most significant impact on reducing the digital divide.

4. Results

To conduct a detailed analysis of the relationship between the gross domestic product (GDP) for each Mexican state by year and the penetration rates of fixed telecommunications services, namely fixed telephony, fixed internet access, and restricted television (cable or satellite), we need to consider several critical aspects and correlations across multiple years.

4.1. Correlation Between GDP and Telecommunications Penetration

Telecommunications services, especially fixed services like telephone, internet, and television, are essential for economic development. The degree to which these services are accessible to households often correlates with the economic output of a region. High penetration rates generally indicate better infrastructure, more developed economies, and better connectivity, all of which are catalysts for higher GDP growth. Thus, we would expect to see a positive correlation between higher GDP states and greater penetration rates for these services.
Fixed Telephony: Telephone services were historically a crucial aspect of telecommunications infrastructure, but over time, their relative importance has been diminished by mobile networks. However, a high penetration rate of fixed telephony may still suggest well-established infrastructure, which often correlates with a higher GDP. States with higher GDPs, such as Mexico City, Nuevo Leon, or Jalisco, should demonstrate higher or at least stable fixed telephony penetration rates over the years, while states with lower GDPs might show declining trends or consistently low penetration rates.
Fixed Internet Access. The penetration of fixed internet access is perhaps the most critical modern telecommunications service for supporting economic activity. High-speed internet access enables businesses to operate more efficiently, supports e-commerce, and promotes educational advancements. Therefore, we expect to see a strong correlation between states with higher GDPs and higher internet penetration rates. Wealthier states with advanced urban areas and business centers, such as Mexico City, Monterrey, and Guadalajara, are likely to lead in internet penetration, while states with lower GDPs, particularly in rural areas, may lag behind.
Restricted Television (Cable/Satellite). Restricted television, including services like cable and satellite, often reflects discretionary spending and entertainment consumption patterns. While not as critical to economic productivity as internet services, high penetration rates in wealthier states might indicate greater disposable income and demand for premium services. States with high GDPs may see greater penetration of restricted TV, while lower-GDP states may prioritize basic services like internet over entertainment subscriptions.

4.2. Yearly Comparison and Economic Trends

Analyzing the penetration rates across 2015–2016, 2017–2018, 2019–2020, and 2021–2022, we should observe the following trends and their implications for GDP and telecommunications development.
2015–2016: This period likely represents a baseline for fixed telecommunications penetration across Mexican states. During this time, the disparity between wealthier and poorer states in terms of internet penetration may still be pronounced. As mobile networks expand, the reliance on fixed telephony could begin to decline, especially in states with strong economic growth. This behavior is described in Figure 8.
2017–2018: During this period, we would expect fixed internet access penetration to increase significantly, especially in wealthier states, as more businesses and households demand reliable internet for economic and educational purposes. Restricted television services could start showing a split, where wealthier states may adopt it more widely, reflecting disposable income differences. This behavior is described in Figure 9.
2019–2020: The global COVID-19 pandemic in 2020 had profound impacts on both GDP and telecommunications services. The need for internet connectivity surged dramatically as more individuals and businesses relied on digital services for remote work, online education, and healthcare. States with better pre-existing internet infrastructure may have navigated the pandemic more successfully, leading to a divergence in economic recovery and digital service penetration. Fixed telephony may have further declined as mobile networks and internet-based communications became more prevalent. This behavior is described in Figure 10.
2021–2022: As economies began to recover from the pandemic, we would expect the correlation between GDP and fixed internet penetration to strengthen. States with higher GDPs that invested in telecommunications infrastructure are likely to demonstrate both stronger economic growth and higher rates of internet and restricted television services. Conversely, states that lagged in both economic recovery and telecommunications penetration may continue to fall behind. This behavior is described in Figure 11.

4.3. Regional Disparities and Infrastructure Challenges

There are pronounced regional disparities in Mexico, particularly between the industrialized northern and central states, and the southern and more rural areas. These disparities are often reflected in both GDP figures and access to telecommunications services.
Northern and central states such as Nuevo Leon, Jalisco, Mexico City, and Queretaro typically have higher GDPs and better telecommunications infrastructure. We would expect these states to exhibit consistently high penetration rates across all services (fixed telephony, internet, and restricted TV).
Southern states such as Chiapas, Guerrero, and Oaxaca often struggle with lower GDPs and insufficient infrastructure. These states may show lower penetration rates across the board, particularly for fixed internet and restricted television, which are less accessible due to both economic and logistical challenges in these regions.

4.4. Technological Transition and Service Adoption

Across the analyzed years, there has likely been a technological shift. The decline of fixed telephony in favor of mobile services and the increasing importance of fixed internet, particularly broadband, reflect the changing priorities of households and businesses.
Internet access has become a necessity for modern economic activity, with penetration rates directly tied to educational opportunities, business capabilities, and overall quality of life. States with higher GDPs may have been quicker to adopt fiber optic and broadband internet services, which significantly enhance both speed and reliability.
Restricted TV services may exhibit a slower growth rate compared to internet access, as more households opt for internet-based streaming services, especially in wealthier states where high-speed internet is more readily available.
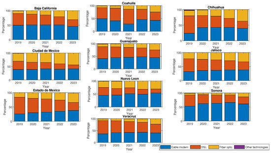
Figure 12 illustrates the technology adoption trends in ten Mexican states—Baja California, Coahuila, Chihuahua, Ciudad de Mexico, Guanajuato, Jalisco, Estado de Mexico, Nuevo Leon, Sonora, and Veracruz—between 2018 and 2023. These states are selected due to their high GDP and economic development [37], making them critical points of analysis for understanding the telecommunications infrastructure in Mexico’s most economically robust regions. The technologies analyzed include cable modem, DSL, fiber optic, and other technologies, with the figure displaying their percentage of penetration for each state over the selected years. The stacked bar plots in the figure offer a detailed breakdown of the evolution of telecommunications technologies across these top 10 states, with each bar representing a specific year from 2018 to 2023. The proportions of the various technologies are visually stacked, providing an intuitive understanding of how the technology landscape has shifted within each state. The analysis reveals several important trends:
  • Fiber optic growth: One of the most striking trends across nearly all states is the consistent increase in fiber optic adoption over time. States like Ciudad de Mexico and Nuevo Leon demonstrate significant progress in fiber optic adoption, with Ciudad de Mexico increasing its fiber optic penetration from 23% in 2018 to 44% in 2023, reflecting a strong investment in modern, high-speed internet infrastructure. This is a critical indicator of digital modernization, as fiber optic technology is essential for supporting the demands of high-speed internet necessary for economic growth and advanced digital services.
  • Decline of DSL and cable modem: There is a noticeable decline in DSL and cable modem penetration, particularly in states like Nuevo Leon, Sonora, and Veracruz. For example, Nuevo Leon sees a drop in cable modem usage from 45% in 2018 to 15% in 2023, signaling a shift toward more advanced technologies like fiber optic. The decline in DSL, especially in states like Estado de Mexico and Chihuahua, mirrors a nationwide move away from outdated technologies that cannot support the bandwidth demands of modern digital economies.
  • Technological diversity and disparity: The figure also highlights the technological diversity between states. While some states, such as Sonora and Nuevo Leon, have moved aggressively toward fiber optic infrastructure, others like Veracruz and Guanajuato still maintain higher percentages of DSL and cable modem technologies, though they are also transitioning. This technological disparity can reflect differences in regional investment and economic focus, with certain areas lagging in their ability to modernize their telecommunications infrastructure as rapidly as others.
  • Emergence of fiber optics as a leader: By 2023, in almost all states, fiber optic technology emerges as a leading telecommunication service, especially in economically advanced regions such as Ciudad de Mexico and Nuevo Leon, where fiber optic has surpassed other technologies. These trends suggest that fiber optics will become the backbone of telecommunications infrastructure in Mexico’s top economic states, essential for supporting future 5G networks, smart cities, and digital services that are critical for continued economic growth and global competitiveness.

5. Discussion

The research presented in this document is a critical exploration of the relationship between telecommunications infrastructure, digital inclusion, and economic growth within the context of Mexico. A fundamental theme of the study is the persistent digital divide that continues to affect both urban and rural populations. The paper evaluates how different variables, such as broadband access, service bundling, and fiber optic penetration, influence the digital landscape. One of the standout aspects of the study is its use of predictive models to identify regions with low technological adoption and to offer policy recommendations. This data-driven approach is essential in addressing the disparities in technological access across the country. Furthermore, the correlation between multiple services and broadband adoption underscores the importance of tailored service offerings to drive higher technology uptake, particularly in underserved regions. The models proposed are not just academic exercises but offer real-world applications, especially in informing public policy decisions that can better allocate infrastructure investments.
From a methodological perspective, the use of Pearson’s correlation matrix and logistic regression model demonstrates a rigorous statistical approach to understanding the dynamics of telecommunications service adoption. By linking broadband access, computer availability, and multiple service subscriptions, the research highlights key variables that affect fiber optic adoption. This type of modeling is essential for policymakers, as it provides a clear indication of where investments can be most effective. The research further explores the correlation between these variables, showing that infrastructure growth and digital TV penetration have a direct impact on the likelihood of multiple service adoption, while access to only one service remains a challenge in regions with slower infrastructure development. This detailed analysis contributes significantly to the literature on telecommunications and offers a comprehensive framework for improving digital inclusion in Mexico.
One of the paper’s most important contributions is its focus on the practical implications of its findings. By using predictive models to forecast the reduction of the digital divide across different states, the research offers a roadmap for strategic investments in telecommunications infrastructure. The predicted probabilities for fiber optic adoption by state, for example, provide a granular understanding of where public policy can have the most significant impact. This type of predictive analytics is invaluable for governmental planning and budget allocation, as it allows for targeted interventions in regions that are most in need of technological advancement. The research does not stop at identifying problems but actively proposes solutions that can help bridge the digital divide, particularly through service bundling and promoting multi-service adoption strategies.
However, there are some limitations to consider. While the research provides a robust framework for analyzing telecommunications data, the complexity of the digital divide suggests that there may be additional social and economic factors not fully accounted for in the model. For instance, digital literacy and affordability are critical variables that could influence technology adoption but are not directly explored in depth. Moreover, while the study emphasizes infrastructure investment, it does not fully address the regulatory and bureaucratic challenges that may impede the rollout of new technologies. Future research could expand on these aspects, integrating more qualitative data to complement the quantitative models and providing a more holistic view of the barriers to digital inclusion. Despite these gaps, the study remains a valuable resource for understanding the intersection of technology, infrastructure, and socio-economic development.
The bridging of the digital divide hinges significantly on addressing regulatory barriers, economic incentives, and public policy variations. These elements are critical because they shape the model’s capacity to account for factors that impact digital inclusion effectively. While predictive models can identify correlations between broadband access, infrastructure availability, and digital inclusion, regulatory barriers often introduce complexities that such models may not fully capture. For instance, restrictive regulatory frameworks may limit the deployment of telecommunications infrastructure in underserved areas, stalling efforts to expand broadband access even where technical capabilities exist. This creates a lag in digital inclusion that goes beyond what the model predicts, necessitating more nuanced inputs related to regulatory impact. Economic incentives, or the lack thereof, also play a pivotal role in digital access disparities. Areas with low profitability for service providers, often rural or low-income regions, may see limited infrastructure investment despite high demand for connectivity. The model may indicate a potential market for broadband in such areas, yet without robust economic incentives, providers may hesitate to commit resources. This introduces a gap between the model’s projections and real-world outcomes, highlighting the need for policies that encourage investment in less lucrative regions through subsidies or tax breaks. Public policy variations across regions lead to inconsistencies in digital inclusion outcomes. Some regions may have policies aimed at incentivizing broadband deployment and digital literacy, while others may lack such initiatives. This variability means that a single predictive model, without accounting for these policy differences, may overlook critical influences on digital inclusion. Thus, while the model is a powerful tool for identifying broad patterns, its capacity for policy innovation could be constrained unless it incorporates regulatory, economic, and policy factors comprehensively.
The current predictive models’ exclusion of temporal dynamics in technology adoption and evolving infrastructure, like the transition from DSL (Digital Subscriber Line) to fiber optic networks, limits their effectiveness in providing comprehensive insights for future planning. As technology adoption follows patterns influenced by economic factors, regulatory changes, and consumer preferences, ignoring the temporal dimension creates a static model that may fail to reflect real-world shifts in digital access over time. The transition from DSL to fiber optic networks, for example, represents more than a mere technological upgrade—it reshapes digital access capabilities due to fiber optics’ higher bandwidth and reliability. This shift is gradual and regionally variable, meaning that areas adopting fiber optic early experience different economic and social impacts compared to those still dependent on DSL or other older technologies. Without integrating these temporal aspects, models overlook how such transitions affect regional digital inclusion differently over time.
Additionally, technology adoption is not instantaneous; it often follows an S-curve, where adoption accelerates once a critical mass of users is reached and may plateau in late stages. Failure to account for this progression could lead to models that underestimate the pace of adoption in emerging technologies or overestimate infrastructure demand for outdated technologies. Consequently, policymakers relying on these models may misallocate resources, investing in infrastructure that fails to align with the actual technology trajectory. Therefore, by incorporating temporal dynamics, these predictive models could better anticipate future needs, enabling more precise policy decisions and infrastructure investments that align with evolving technology landscapes.
The influence of digital inclusion in Mexico is profound, spanning economic, educational, and social domains. First, digital inclusion serves as a driver for economic growth, particularly by enhancing access to ICTs in underserved areas. Regions with robust digital connectivity experience a noticeable increase in productivity, as businesses gain access to digital marketplaces, e-commerce, and remote work opportunities. This digital integration has been shown to stimulate local economies, reduce operational costs, and expand consumer reach. Furthermore, greater digital access allows for increased participation in the national and global economy, reducing regional economic disparities. Educationally, digital inclusion significantly impacts access to resources, particularly in rural or low-income areas where physical educational infrastructure may be limited. Students with access to the internet benefit from digital tools and platforms that provide enhanced learning experiences, online courses, and interaction with educational resources unavailable locally. The impact of digital inclusion on education in Mexico became especially evident during the COVID-19 pandemic when digital access determined students’ ability to continue their education. On a social level, digital inclusion supports greater civic engagement and enhances access to government services, health care, and social support networks. It fosters an informed and connected citizenry, which is crucial for addressing socio-economic inequalities and promoting social mobility. However, in areas with limited connectivity, residents are often excluded from these benefits, exacerbating existing divides and reinforcing cycles of poverty. Therefore, digital inclusion in Mexico not only promotes equitable economic development but also plays a critical role in democratizing education, civic engagement, and access to essential services. Enhancing digital access is vital for Mexico’s progress, ensuring that all citizens can fully participate in and contribute to the digital economy and society.

6. Conclusions

The research highlights several critical challenges facing the deployment of advanced telecommunications infrastructure, particularly in the context of 5G adoption in Mexico. First, uneven infrastructure development across states reveals significant disparities, with regions like Mexico City far ahead of areas such as Chiapas and Oaxaca. This unevenness risks deepening the digital divide as new technologies like 5G are introduced. Second, the dominance of legacy technologies like DSL and cable modems in many states could hinder the transition to fiber optic and 5G, as outdated systems must be maintained alongside new infrastructure, slowing overall progress. Third, economic disparities between states suggest that regions with lower GDP may struggle to invest in the necessary infrastructure, leading to slower adoption of 5G in economically disadvantaged areas. Fourth, spectrum reallocation challenges, particularly those related to the digital dividend, present regulatory and logistical hurdles as the transition from analog TV to mobile services is likely to face resistance from existing users. Finally, the rural–urban divide poses another significant barrier, as urban areas with higher population densities and established infrastructure are expected to see faster 5G deployment, further widening the digital gap. Additionally, consumer readiness, as indicated by varying levels of ICT equipment ownership across states, suggests that the adoption of advanced technologies like 5G will not occur uniformly, with certain regions being more prepared than others for this transition.
The proposed solutions present a comprehensive and multifaceted strategy to tackle the challenges of implementing the digital dividend and 5G technology across Mexico. Central to this approach is targeted infrastructure investment in underserved regions, leveraging public–private partnerships to maximize impact. A phased 5G rollout, beginning in urban centers and gradually expanding to rural areas, ensures strategic development while addressing the rural–urban divide. Efficient spectrum reallocation and sharing policies are critical to overcoming regulatory challenges, while incentives for fiber optic deployment are necessary to support the backbone of 5G infrastructure. Additionally, digital literacy programs aim to boost ICT adoption and consumer readiness, complementing a competitive yet inclusive regulatory framework that prioritizes widespread coverage. The approach also advocates for technology-neutral policies, allowing for tailored, context-specific solutions, and cross-sector collaboration to share costs and accelerate deployment. The establishment of 5G innovation hubs is proposed to drive technological adoption, alongside adaptive regulation that evolves with technological advancements. This holistic strategy seeks to bridge the digital divide, enhance telecommunications services nationwide, and position Mexico as a leader in digital innovation within Latin America, thereby fostering economic growth through improved connectivity.

Author Contributions

C.D.-V.-S. developed the analysis, supervised the research methodology and the approach of this work, prepared the scenario, analyzed the results, and coordinated the overall project. R.A.B. reviewed, interpreted, and drafted the comparison results and tables; conducted the literature review; and assisted with the statistical analysis. J.-C.L.-P. and R.V. were involved in the formal analysis and manuscript preparation, and contributed to the design of the experiments. L.J.V. made the figures, performed their comparison, conducted the formal analysis, and assisted in data visualization. J.V.-A. was involved in data collection, processed the data for analysis, and assisted in drafting the discussion section. All authors have read and agreed to the published version of the manuscript.

Funding

This research received no external funding.

Institutional Review Board Statement

Not applicable.

Informed Consent Statement

Not applicable.

Data Availability Statement

Data available by the authors on request.

Conflicts of Interest

The authors declare no conflicts of interest.

References

  1. Vasylieva, T.A.; Kryklii, O.A.; Petrushenko, Y.M. Digital Inclusion of Population: Economic, Social, Educational Determinants in the COVID-19 Era; Centre of Sociological Research: Szczecin, Poland, 2021. [Google Scholar]
  2. Calleros, C.B.G.; García, J.G.; Calleros, J.M.G. Addressing the Digital Divide with Educational Systems in Mexico: Challenges and Opportunities. In From Digital Divide to Digital Inclusion: Challenges, Perspectives and Trends in the Development of Digital Competences; Springer: Singapore, 2024; pp. 347–375. [Google Scholar]
  3. Qiang, C.Z.W.; Rossotto, C.M.; Kimura, K. Economic impacts of broadband. In Information and Communications for Development 2009: Extending Reach and Increasing Impact; World Bank: Washington, DC, USA, 2009; Volume 3, pp. 35–50. [Google Scholar]
  4. Ghosh, S. Broadband penetration and economic growth: Do policies matter? Telemat. Inform. 2017, 34, 676–693. [Google Scholar] [CrossRef]
  5. Reddick, C.G.; Enriquez, R.; Harris, R.J.; Sharma, B. Determinants of broadband access and affordability: An analysis of a community survey on the digital divide. Cities 2020, 106, 102904. [Google Scholar] [CrossRef] [PubMed]
  6. James, J. Bridging the Global Digital Divide; Edward Elgar Publishing: Cheltenham, UK, 2003. [Google Scholar]
  7. Chafii, M.; Bariah, L.; Muhaidat, S.; Debbah, M. Twelve scientific challenges for 6G: Rethinking the foundations of communications theory. IEEE Commun. Surv. Tutor. 2023, 25, 868–904. [Google Scholar] [CrossRef]
  8. Bazzi, A.; Chafii, M. On outage-based beamforming design for dual-functional radar-communication 6G systems. IEEE Trans. Wirel. Commun. 2023, 22, 5598–5612. [Google Scholar] [CrossRef]
  9. Gabarró, P.P.; Zaballos, A.G.; Rodriguez, E.I.; Sepúlveda, A.; Wong, A.; Yoo, C. Strategies and Business Models for Improving Broadband Connectivity in Latin America and the Caribbean: Guidelines for the Planning, Investment, and Rollout of Broadband Networks; Inter-American Development Bank: Washington, DC, USA, 2021. [Google Scholar]
  10. Hambly, H.; Rajabiun, R. Rural broadband: Gaps, maps and challenges. Telemat. Inform. 2021, 60, 101565. [Google Scholar] [CrossRef]
  11. Raihan, M.M.; Subroto, S.; Chowdhury, N.; Koch, K.; Ruttan, E.; Turin, T.C. Dimensions and barriers for digital (in) equity and digital divide: A systematic integrative review. Digit. Transform. Soc. 2024. ahead-of-print. [Google Scholar] [CrossRef]
  12. Carbajal, H.A.L. Telecommunication Sector Policies for the Development of Information and Communication Technologies in Panama: Part I; Inter-American Development Bank: Washington, DC, USA, 2018. [Google Scholar]
  13. Technet, N.; Alliance, N.T. Broadband Assessment and Recommendations: Education, Healthcare, and Economic Development; New Mexico Department of Information Technology: Santa Fe, NM, USA, 2013. [Google Scholar]
  14. Avilés, J.M. A tale of two reforms: Telecommunications reforms in Mexico. Telecommun. Policy 2020, 44, 101942. [Google Scholar] [CrossRef]
  15. Camba, A.L.; Camba Jr, A.C. The cointegration relationship and causal link of internet penetration and broadband subscription on economic growth: Evidence from ASEAN countries. J. Econ. Bus. 2020, 3, 1–9. [Google Scholar] [CrossRef][Green Version]
  16. Owusu-Manu, D.G.; Jehuri, A.B.; Edwards, D.J.; Boateng, F.; Asumadu, G. The impact of infrastructure development on economic growth in sub-Saharan Africa with special focus on Ghana. J. Financ. Manag. Prop. Constr. 2019, 24, 253–273. [Google Scholar] [CrossRef]
  17. Shenglin, B.; Bosc, R.; Jiao, J.; Li, W.; Simonelli, F.; Zhang, R. Digital infrastructure: Overcoming the Digital divide in China and the European Union; Centre for European Policy Studies: Brussels, Belgium, 2017. [Google Scholar]
  18. Mohanty, P.C. Bridging digital divide: The role of ICT for rural development in India. In Proceedings of the 2008 International Symposium on Information Technology, Toronto, ON, Canada, 6–11 July 2008; Volume 2, pp. 1–12. [Google Scholar]
  19. Yamakawa, P.; Cadillo, G.; Tornero, R. Critical factors for the expansion of broadband in developing countries: The case of Peru. Telecommun. Policy 2012, 36, 560–570. [Google Scholar] [CrossRef]
  20. Weber, A.S.; Turjoman, R.; Shaheen, Y.; Al Sayyed, F.; Hwang, M.J.; Malick, F. Systematic thematic review of e-health research in the Gulf cooperation council (Arabian gulf): Bahrain, Kuwait, Oman, Qatar, Saudi Arabia and United Arab Emirates. J. Telemed. Telecare 2017, 23, 452–459. [Google Scholar] [CrossRef] [PubMed]
  21. Larson, J.F. Network-centric digital development in Korea: Origins, growth and prospects. Telecommun. Policy 2017, 41, 916–930. [Google Scholar] [CrossRef]
  22. Ogbo, E.; Brown, T.; Sicker, D. Understanding Mobile Service Substitution and the Urban–Rural Digital Divide in Nigeria; Available at SSRN 2944367; Elsevier: New York, NY, USA, 2017. [Google Scholar] [CrossRef]
  23. Chen, H.; Li, L.; Chen, Y. Explore success factors that impact artificial intelligence adoption on telecom industry in China. J. Manag. Anal. 2021, 8, 36–68. [Google Scholar] [CrossRef]
  24. Silva, B.N.; Khan, M.; Han, K. Towards sustainable smart cities: A review of trends, architectures, components, and open challenges in smart cities. Sustain. Cities Soc. 2018, 38, 697–713. [Google Scholar] [CrossRef]
  25. Wyche, S.; Olson, J. Gender, mobile, and mobile internet| Kenyan women’s rural realities, mobile internet access, and “Africa rising”. Inf. Technol. Int. Dev. 2018, 14, 15. [Google Scholar]
  26. Lam, P.L.; Shiu, A. Economic growth, telecommunications development and productivity growth of the telecommunications sector: Evidence around the world. Telecommun. Policy 2010, 34, 185–199. [Google Scholar] [CrossRef]
  27. Rosenblut, J. Telecommunications in Chile: Success and post-deregulatory challenges in a rapidly emerging economy. J. Int. Aff. 1998, 565–581. [Google Scholar]
  28. Zhang, C.; Weng, X. Can broadband infrastructure construction promote equality of opportunity? Evidence from a quasi-natural experiment in China. J. Asian Econ. 2024, 93, 101759. [Google Scholar] [CrossRef]
  29. Wang, Y. Development of the digital economy: A case study of 5G technology. In Digital Transformation in Industry: Digital Twins and New Business Models; Springer: Berlin/Heidelberg, Germany, 2022; pp. 215–225. [Google Scholar]
  30. Bahrini, R.; Qaffas, A.A. Impact of information and communication technology on economic growth: Evidence from developing countries. Economies 2019, 7, 21. [Google Scholar] [CrossRef]
  31. Peng, Z.; Dan, T. Digital dividend or digital divide? Digital economy and urban–rural income inequality in China. Telecommun. Policy 2023, 47, 102616. [Google Scholar] [CrossRef]
  32. Bánhidi, Z. The impact of broadband networks on growth and development in South America. Period. Polytech. Soc. Manag. Sci. 2021, 29, 33–39. [Google Scholar] [CrossRef]
  33. Koh, J.; Shin, S.; Om, K.; Kim, I. Analysis of the Broadband Internet Penetration in South Korea: Drivers and Challenges. In Proceedings of the Agent and Multi-Agent Systems: Technologies and Applications: Third KES International Symposium, KES-AMSTA 2009, Uppsala, Sweden, 3–5 June 2009; Proceedings 3; Springer: Berlin/Heidelberg, Germany, 2009; pp. 490–499. [Google Scholar]
  34. Hasbi, M.; Dubus, A. Determinants of mobile broadband use in developing economies: Evidence from Sub-Saharan Africa. Telecommun. Policy 2020, 44, 101944. [Google Scholar] [CrossRef]
  35. Jing, A.H.Y.; Ab-Rahim, R. Information and communication technology (ICT) and economic growth in ASEAN-5 countries. J. Public Adm. Gov. 2020, 10, 20–33. [Google Scholar] [CrossRef]
  36. Ohemeng, F.L.K.; Ofosu-Adarkwa, K. Overcoming the digital divide in developing countries: An examination of Ghana’s strategies to promote universal access to information communication technologies (ICTs). J. Dev. Soc. 2014, 30, 297–322. [Google Scholar] [CrossRef]
  37. Vargas-Canales, J.M. Technological capabilities for the adoption of new technologies in the agri-food sector of Mexico. Agriculture 2023, 13, 1177. [Google Scholar] [CrossRef]
Figure 1. Key concepts in telecommunications, digital inclusion, and public policy, highlighting the relationships between broadband access, infrastructure, and technological adoption.
Figure 1. Key concepts in telecommunications, digital inclusion, and public policy, highlighting the relationships between broadband access, infrastructure, and technological adoption.
Telecom 05 00055 g001
Figure 2. Key barriers to telecommunications and information technology immersion, including lack of broadband access, high infrastructure costs, regulatory constraints, digital literacy gaps, and urban–rural disparities.
Figure 2. Key barriers to telecommunications and information technology immersion, including lack of broadband access, high infrastructure costs, regulatory constraints, digital literacy gaps, and urban–rural disparities.
Telecom 05 00055 g002
Figure 3. Correlation matrix of telecommunications data in 2015.
Figure 3. Correlation matrix of telecommunications data in 2015.
Telecom 05 00055 g003
Figure 4. Correlation matrix of telecommunications data in 2023.
Figure 4. Correlation matrix of telecommunications data in 2023.
Telecom 05 00055 g004
Figure 5. Predicted probability of fiber optic adoption across Mexican states based on broadband access, computer equipment availability, and telecommunication services.
Figure 5. Predicted probability of fiber optic adoption across Mexican states based on broadband access, computer equipment availability, and telecommunication services.
Telecom 05 00055 g005
Figure 6. Correlation matrix of digital divide reduction.
Figure 6. Correlation matrix of digital divide reduction.
Telecom 05 00055 g006
Figure 7. Predicted reduction of the digital divide by Mexican states.
Figure 7. Predicted reduction of the digital divide by Mexican states.
Telecom 05 00055 g007
Figure 8. Overview of the telecommunications penetration rates and GDP correlation for Mexican states in 2015–2016.
Figure 8. Overview of the telecommunications penetration rates and GDP correlation for Mexican states in 2015–2016.
Telecom 05 00055 g008
Figure 9. Overview of the telecommunications penetration rates and GDP correlation for Mexican states in 2017–2018.
Figure 9. Overview of the telecommunications penetration rates and GDP correlation for Mexican states in 2017–2018.
Telecom 05 00055 g009
Figure 10. Overview of the telecommunications penetration rates and GDP correlation for Mexican states in 2019–2020.
Figure 10. Overview of the telecommunications penetration rates and GDP correlation for Mexican states in 2019–2020.
Telecom 05 00055 g010
Figure 11. Overview of the telecommunications penetration rates and GDP correlation for Mexican states in 2021–2022.
Figure 11. Overview of the telecommunications penetration rates and GDP correlation for Mexican states in 2021–2022.
Telecom 05 00055 g011
Figure 12. Technology adoption trends in Mexico’s top 10 states by GDP (2018-2023), showing the shift from legacy systems like DSL and cable modem to increasing fiber optic penetration.
Figure 12. Technology adoption trends in Mexico’s top 10 states by GDP (2018-2023), showing the shift from legacy systems like DSL and cable modem to increasing fiber optic penetration.
Telecom 05 00055 g012
Table 3. Correlation matrix showing relationships between broadband access, telecommunications services, and technology adoption in households in 2015.
Table 3. Correlation matrix showing relationships between broadband access, telecommunications services, and technology adoption in households in 2015.
Fixed BroadbandComputer EquipmentDigital TVFiber OpticCable ModemOne ServiceTwo ServicesThree Services
Fixed broadband1.0000000.8715320.6700180.6779810.386096−0.3212120.9034380.921147
Computer equipment0.8715321.0000000.6860500.5910410.309805−0.1237360.8472010.920141
Digital TV0.6700180.6860501.0000000.4811570.232304−0.0008290.5562940.739781
Fiber optic0.6779810.5910410.4811571.000000−0.031073−0.2732300.5765250.663063
Cable modem0.3860960.3098050.232304−0.0310731.0000000.0589220.4605810.246790
One service−0.321212−0.123736−0.000829−0.2732300.0589221.000000−0.325279−0.183437
Two services0.9034380.8472010.5562940.5765250.460581−0.3252791.0000000.773803
Three services0.9211470.9201410.7397810.6630630.246790−0.1834370.7738031.000000
Table 4. Correlation matrix showing relationships between broadband access, telecommunications services, and technology adoption in households in 2016.
Table 4. Correlation matrix showing relationships between broadband access, telecommunications services, and technology adoption in households in 2016.
Fixed BroadbandComputer EquipmentDigital TVFiber OpticCable ModemOne ServiceTwo ServicesThree Services
Fixed broadband1.0000000.8015920.5804970.4708250.468374−0.7198310.2933740.907377
Computer equipment0.8015921.0000000.5582170.5425940.265385−0.5664880.6378440.874621
Digital TV0.5804970.5582171.0000000.5804800.112861−0.3925960.2644070.593664
Fiber optic0.4708250.5425940.5804801.000000−0.168171−0.4477160.3395650.552365
Cable modem0.4683740.2653850.112861−0.1681711.000000−0.1254510.0155920.240801
One service−0.719831−0.566488−0.392596−0.447716−0.1254511.000000−0.159323−0.714323
Two services0.2933740.6378440.2644070.3395650.015592−0.1593231.0000000.490781
Three services0.9073770.8746210.5936640.5523650.240801−0.7143230.4907811.000000
Table 5. Correlation matrix showing relationships between broadband access, telecommunications services, and technology adoption in households in 2017.
Table 5. Correlation matrix showing relationships between broadband access, telecommunications services, and technology adoption in households in 2017.
Fixed BroadbandComputer EquipmentDigital TVFiber OpticCable ModemOne ServiceTwo ServicesThree Services
Fixed broadband1.0000000.8667520.6214930.5862250.439649−0.8099090.4654680.876769
Computer equipment0.8667521.0000000.6769890.5205910.286243−0.6682840.7001950.870984
Digital TV0.6214930.6769891.0000000.6021200.156982−0.4618600.3163920.619053
Fiber optic0.5862250.5205910.6021201.000000−0.116813−0.4532210.1463320.504131
Cable modem0.4396490.2862430.156982−0.1168131.000000−0.2232870.3468940.223005
One service−0.809909−0.668284−0.461860−0.453221−0.2232871.000000−0.283728−0.814433
Two services0.4654680.7001950.3163920.1463320.346894−0.2837281.0000000.464148
Three services0.8767690.8709840.6190530.5041310.223005−0.8144330.4641481.000000
Table 6. Correlation matrix showing relationships between broadband access, telecommunications services, and technology adoption in households in 2018.
Table 6. Correlation matrix showing relationships between broadband access, telecommunications services, and technology adoption in households in 2018.
Fixed BroadbandComputer EquipmentDigital TVFiber OpticCable ModemOne ServiceTwo ServicesThree Services
Fixed broadband1.0000000.8680920.6910000.5265870.438583−0.7805090.7922220.917220
Computer equipment0.8680921.0000000.7455830.4955920.273335−0.5520660.8881020.839517
Digital TV0.6910000.7455831.0000000.4706880.199581−0.5904550.6746430.723552
Fiber optic0.5265870.4955920.4706881.000000−0.179148−0.5132770.3777690.488648
Cable modem0.4385830.2733350.199581−0.1791481.000000−0.1792560.3387500.203630
One service−0.780509−0.552066−0.590455−0.513277−0.1792561.000000−0.515744−0.747310
Two services0.7922220.8881020.6746430.3777690.338750−0.5157441.0000000.725897
Three services0.9172200.8395170.7235520.4886480.203630−0.7473100.7258971.000000
Table 7. Correlation matrix showing relationships between broadband access, telecommunications services, and technology adoption in households in 2019.
Table 7. Correlation matrix showing relationships between broadband access, telecommunications services, and technology adoption in households in 2019.
Fixed BroadbandComputer EquipmentDigital TVFiber OpticCable ModemOne ServiceTwo ServicesThree Services
Fixed broadband1.0000000.8850820.7362250.4958980.257323−0.7819520.8175120.952958
Computer equipment0.8850821.0000000.7387550.4979440.229856−0.5621600.9008490.849793
Digital TV0.7362250.7387551.0000000.3823020.165753−0.5921460.6862960.722573
Fiber optic0.4958980.4979440.3823021.000000−0.492840−0.4839870.3904710.496118
Cable modem0.2573230.2298560.165753−0.4928401.0000000.0359330.2857250.150481
One service−0.781952−0.562160−0.592146−0.4839870.0359331.000000−0.540067−0.764224
Two services0.8175120.9008490.6862960.3904710.285725−0.5400671.0000000.749639
Three services0.9529580.8497930.7225730.4961180.150481−0.7642240.7496391.000000
Table 8. Correlation matrix showing relationships between broadband access, telecommunications services, and technology adoption in households in 2020.
Table 8. Correlation matrix showing relationships between broadband access, telecommunications services, and technology adoption in households in 2020.
Fixed BroadbandComputer EquipmentDigital TVFiber OpticCable ModemOne ServiceTwo ServicesThree Services
Fixed broadband1.0000000.8913030.7685060.4901630.180869−0.7607110.8141230.917299
Computer equipment0.8913031.0000000.8003240.4658410.245534−0.5317160.8248560.870421
Digital TV0.7685060.8003241.0000000.3887140.188530−0.5063260.6950150.770946
Fiber optic0.4901630.4658410.3887141.000000−0.543899−0.3029170.2298690.460515
Cable modem0.1808690.2455340.188530−0.5438991.000000−0.0899220.2939630.210580
One service−0.760711−0.531716−0.506326−0.302917−0.0899221.000000−0.491307−0.723960
Two services0.8141230.8248560.6950150.2298690.293963−0.4913071.0000000.652131
Three services0.9172990.8704210.7709460.4605150.210580−0.7239600.6521311.000000
Table 9. Correlation matrix showing relationships between broadband access, telecommunications services, and technology adoption in households in 2021.
Table 9. Correlation matrix showing relationships between broadband access, telecommunications services, and technology adoption in households in 2021.
Fixed BroadbandComputer EquipmentDigital TVFiber OpticCable ModemOne ServiceTwo ServicesThree Services
Fixed broadband1.0000000.8951900.7688750.4857140.176637−0.7648640.8190940.913101
Computer equipment0.8951901.0000000.7685170.4540650.229037−0.5337520.8229340.880537
Digital TV0.7688750.7685171.0000000.3883230.187858−0.5171810.6938080.770785
Fiber optic0.4857140.4540650.3883231.000000−0.550459−0.3022880.2266690.465302
Cable modem0.1766370.2290370.187858−0.5504591.000000−0.1162000.3002780.191932
One service−0.764864−0.533752−0.517181−0.302288−0.1162001.000000−0.495644−0.721532
Two services0.8190940.8229340.6938080.2266690.300278−0.4956441.0000000.649757
Three services0.9131010.8805370.7707850.4653020.191932−0.7215320.6497571.000000
Table 10. Correlation matrix showing relationships between broadband access, telecommunications services, and technology adoption in households in 2022.
Table 10. Correlation matrix showing relationships between broadband access, telecommunications services, and technology adoption in households in 2022.
Fixed BroadbandComputer EquipmentDigital TVFiber OpticCable ModemOne ServiceTwo ServicesThree Services
Fixed broadband1.0000000.8948100.7599040.5066950.207507−0.7164980.8161490.917950
Computer equipment0.8948101.0000000.7490690.4800010.257393−0.4906540.8212310.879336
Digital TV0.7599040.7490691.0000000.3900230.211686−0.4871000.6845930.765491
Fiber optic0.5066950.4800010.3900231.000000−0.520216−0.2850170.2564430.476297
Cable modem0.2075070.2573930.211686−0.5202161.000000−0.1165140.3175400.230639
One service−0.716498−0.490654−0.487100−0.285017−0.1165141.000000−0.460922−0.675027
Two services0.8161490.8212310.6845930.2564430.317540−0.4609221.0000000.663341
Three services0.9179500.8793360.7654910.4762970.230639−0.6750270.6633411.000000
Table 11. Correlation matrix showing relationships between broadband access, telecommunications services, and technology adoption in households in 2023.
Table 11. Correlation matrix showing relationships between broadband access, telecommunications services, and technology adoption in households in 2023.
Fixed BroadbandComputer EquipmentDigital TVFiber OpticCable ModemOne ServiceTwo ServicesThree Services
Fixed broadband1.0000000.8433760.7792580.4884130.238999−0.6600230.7746400.889362
Computer equipment0.8433761.0000000.7381570.5107040.249285−0.5411390.7328090.809528
Digital TV0.7792580.7381571.0000000.4724890.120345−0.4706180.6908320.747504
Fiber optic0.4884130.5107040.4724891.000000−0.533534−0.3585280.2925930.503477
Cable modem0.2389990.2492850.120345−0.5335341.000000−0.0941720.3536490.186307
One service−0.660023−0.541139−0.470618−0.358528−0.0941721.000000−0.418586−0.610186
Two services0.7746400.7328090.6908320.2925930.353649−0.4185861.0000000.595885
Three services0.8893620.8095280.7475040.5034770.186307−0.6101860.5958851.000000
Table 12. Model coefficients.
Table 12. Model coefficients.
EstimateSEtStatp Value
(Intercept)−1.00052.9241−0.342150.73224
x 1 0.0083960.0844370.0994350.92079
x 2 −0.108060.13164−0.820890.41171
x 3 0.279480.215771.29530.19522
Table 13. Model coefficients.
Table 13. Model coefficients.
EstimateSEtStatp Value
(Intercept)1−0.3077−0.5052−0.7024
x 1 −0.307710.38490.455
x 2 −0.50520.384910.7778
x 3 −0.70240.4550.77781
Disclaimer/Publisher’s Note: The statements, opinions and data contained in all publications are solely those of the individual author(s) and contributor(s) and not of MDPI and/or the editor(s). MDPI and/or the editor(s) disclaim responsibility for any injury to people or property resulting from any ideas, methods, instructions or products referred to in the content.

Share and Cite

MDPI and ACS Style

Del-Valle-Soto, C.; Briseño, R.A.; López-Pimentel, J.-C.; Velázquez, R.; Valdivia, L.J.; Varela-Aldás, J. Bridging the Digital Divide in Mexico: A Critical Analysis of Telecommunications Infrastructure and Predictive Models for Policy Innovation. Telecom 2024, 5, 1076-1101. https://doi.org/10.3390/telecom5040055

AMA Style

Del-Valle-Soto C, Briseño RA, López-Pimentel J-C, Velázquez R, Valdivia LJ, Varela-Aldás J. Bridging the Digital Divide in Mexico: A Critical Analysis of Telecommunications Infrastructure and Predictive Models for Policy Innovation. Telecom. 2024; 5(4):1076-1101. https://doi.org/10.3390/telecom5040055

Chicago/Turabian Style

Del-Valle-Soto, Carolina, Ramon A. Briseño, Juan-Carlos López-Pimentel, Ramiro Velázquez, Leonardo J. Valdivia, and José Varela-Aldás. 2024. "Bridging the Digital Divide in Mexico: A Critical Analysis of Telecommunications Infrastructure and Predictive Models for Policy Innovation" Telecom 5, no. 4: 1076-1101. https://doi.org/10.3390/telecom5040055

APA Style

Del-Valle-Soto, C., Briseño, R. A., López-Pimentel, J.-C., Velázquez, R., Valdivia, L. J., & Varela-Aldás, J. (2024). Bridging the Digital Divide in Mexico: A Critical Analysis of Telecommunications Infrastructure and Predictive Models for Policy Innovation. Telecom, 5(4), 1076-1101. https://doi.org/10.3390/telecom5040055

Article Metrics

Back to TopTop