Next Issue
Volume 7, March
Previous Issue
Volume 6, September
 
 

Appl. Mech., Volume 6, Issue 4 (December 2025) – 19 articles

Cover Story (view full-size image): Composite 3D printing is emerging as a powerful alternative to traditional metal optomechanics. By combining carbon-fiber-reinforced polymers with continuous fiber reinforcement, researchers demonstrate that lightweight, rigid, and customizable components can replace conventional aluminum parts in demanding laser systems. The study showcases real-world applications, from precision mounts to stray-light shielding, proving that modern composite prints can deliver stability, accuracy, and design flexibility while significantly reducing weight and manufacturing cost. View this paper
  • Issues are regarded as officially published after their release is announced to the table of contents alert mailing list.
  • You may sign up for e-mail alerts to receive table of contents of newly released issues.
  • PDF is the official format for papers published in both, html and pdf forms. To view the papers in pdf format, click on the "PDF Full-text" link, and use the free Adobe Reader to open them.
Order results
Result details
Select all
Export citation of selected articles as:
11 pages, 721 KB  
Communication
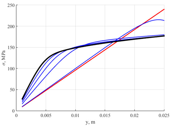
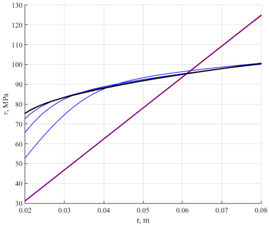
A Creep Model with a Real Structural Parameter for Deformable Solids
by Rafael Shaikhutdinov
Appl. Mech. 2025, 6(4), 91; https://doi.org/10.3390/applmech6040091 - 17 Dec 2025
Viewed by 105
Abstract
Creep in metals as a phenomenon has been comprehensively studied in solid mechanics as well as in materials science. This interest stems from two key motivations: assessing the strength characteristics of components subjected to prolonged exposure at high temperatures and enhancing our understanding [...] Read more.
Creep in metals as a phenomenon has been comprehensively studied in solid mechanics as well as in materials science. This interest stems from two key motivations: assessing the strength characteristics of components subjected to prolonged exposure at high temperatures and enhancing our understanding of plastic deformation mechanisms. As it is known, the mechanics of deformable solids employ constitutive equations when describing creep behavior, whereas strength physics utilize models aimed at quantifying a particular creep deformation mechanism or mechanisms in novel materials and to predict the performance of the parts manufactured from them. However, such models are rarely encountered within traditional mechanics problem-solving frameworks. To bridge this gap, this study demonstrates how some classic boundary value problems can incorporate the kinetic equation of a metal creep model with a real structural parameter derived from the theory of irreversible deformations. The main derivation steps and numerical solutions are provided for steady and transient creep conditions, along with visualizations illustrating the distribution of actual structural parameters. This research outlines promising pathways for incorporating diverse structural creep models—typically associated with materials science—into solid mechanics. These findings lay the groundwork for more accurate predictions of evolving material properties in applications where creep deformations play a critical role. Full article
(This article belongs to the Collection Fracture, Fatigue, and Wear)
Show Figures

Figure 1

24 pages, 4737 KB  
Article
Investigation of Mechanical Behavior and Damage Mechanisms in Synthetic and Bio-Based Sandwich Composites Using Acoustic Emission
by Hana Driss, Abderrahim El Mahi, Mourad Bentahar, Moez Beyaoui and Mohamed Haddar
Appl. Mech. 2025, 6(4), 90; https://doi.org/10.3390/applmech6040090 - 12 Dec 2025
Viewed by 166
Abstract
This paper presents the mechanical characterisation of sandwich composites. Different specimen configurations have been tested with a three-point bending load and their mechanical behavior has been discussed. In addition, the acoustic emission technique was used to detect the onset of damage mechanisms and [...] Read more.
This paper presents the mechanical characterisation of sandwich composites. Different specimen configurations have been tested with a three-point bending load and their mechanical behavior has been discussed. In addition, the acoustic emission technique was used to detect the onset of damage mechanisms and to monitor their evolution. The proposed analysis is based on processing recorded acoustic emission bursts. An unsupervised classification approach, combining the k-means algorithm with Principal Component Analysis (PCA), is used to group the detected acoustic events. The cluster analysis of the acquired data allows for correlation with the damage mechanisms occurring in sandwich composites. In addition to the advantages of multivariate data analysis, the results highlight the influence of sensor placement on the analysis of damage mechanisms is investigated. A suitable sensor configuration is proposed to improve the detection of acoustic emission activity. The originality of this work lies in the combined mechanical–AE interpretation that provides new insight into the damage behaviour of both a synthetic and a bio-based sandwich material. The comparative analysis of these two types of materials, coupled with a dedicated evaluation of sensor placement effects on defect detection, offers a contribution not previously reported in the literature. Full article
(This article belongs to the Collection Fracture, Fatigue, and Wear)
Show Figures

Figure 1

17 pages, 870 KB  
Article
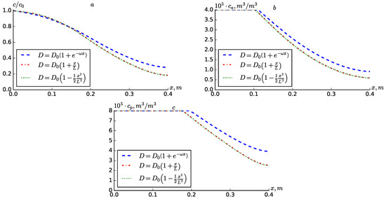
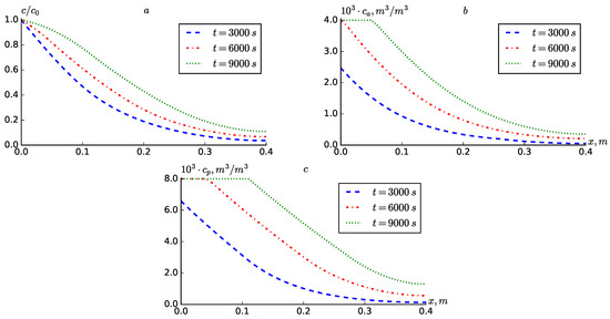
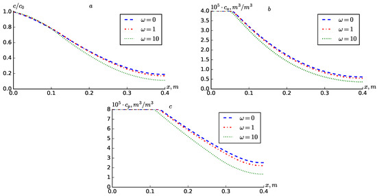
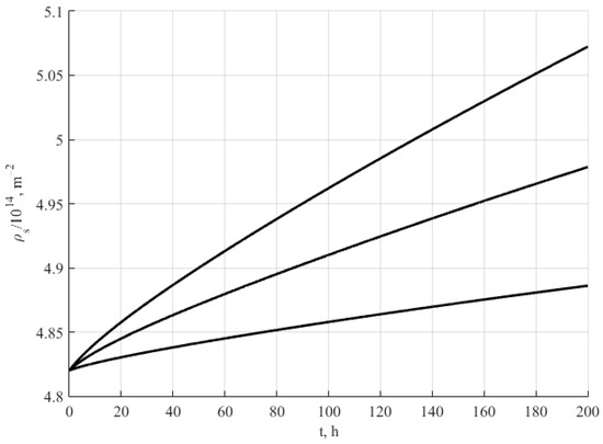
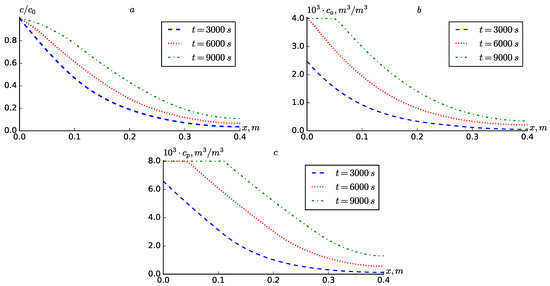
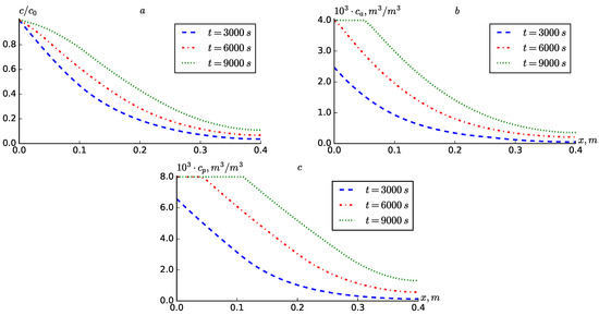
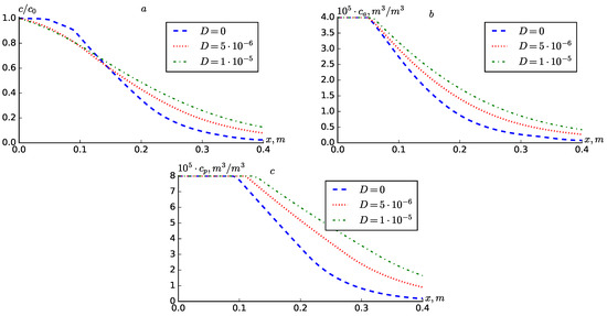
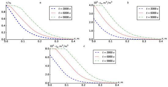
Degradable Solute Transport in Porous Media with Variable Hydrodynamic Dispersion
by Bekzodjon Fayziev, Otabek Sagdullaev, Shukhrat Djalilov, Odil Khaydarov, Jabbor Mustofoqulov, Erkin Akhmedov, Asror Mustafakulov and Akbar Toyirov
Appl. Mech. 2025, 6(4), 89; https://doi.org/10.3390/applmech6040089 - 10 Dec 2025
Viewed by 139
Abstract
Degradable solute transport in porous media significantly influences various ecological, geological, and industrial processes. In this paper, a mathematical model for solute transport in porous media with varying hydrodynamic dispersion is examined, integrating balance and kinetic equations alongside initial and boundary conditions. The [...] Read more.
Degradable solute transport in porous media significantly influences various ecological, geological, and industrial processes. In this paper, a mathematical model for solute transport in porous media with varying hydrodynamic dispersion is examined, integrating balance and kinetic equations alongside initial and boundary conditions. The model is enhanced by include variable hydrodynamic dispersion. Numerical approaches are utilized to address the problem, and a solution algorithm founded on the finite difference method is introduced. Computer simulations are conducted to examine the impact of different model parameters on solute transport, and the findings are evaluated. Numerical tests were performed for constant dispersion and three representative spatially variable forms—exponential, linear, and parabolic—for same other model parameters. Simulations show that neglecting diffusion/dispersion significantly delays the transport of material and underestimates both aqueous concentrations and adsorbed reserves. The results demonstrate that accounting for variable hydrodynamic dispersion significantly enhances the accuracy of solute transport predictions. The exponential form of dispersion produces stronger spreading effects, while the linear and parabolic forms show moderate variations. These findings underline the importance of incorporating scale-dependent dispersion in modeling contaminant migration in porous media. Full article
Show Figures

Figure 1

25 pages, 4344 KB  
Article
Mechanical Behavior of Thermoplastic Unidirectional-Tape-Reinforced Polycarbonate Produced by Additive Manufacturing: Experimental Analysis and Practical Numerical Modeling
by Hagen Bankwitz, Jörg Matthes and Jörg Hübler
Appl. Mech. 2025, 6(4), 88; https://doi.org/10.3390/applmech6040088 - 9 Dec 2025
Viewed by 278
Abstract
Additive Manufacturing (AM) using Fused Layer Modelling (FLM) often results in polymer components with limited and highly anisotropic mechanical properties, exhibiting structural weaknesses in the layer direction (Z-direction) due to low interlaminar adhesion. The main objective of this work was to investigate and [...] Read more.
Additive Manufacturing (AM) using Fused Layer Modelling (FLM) often results in polymer components with limited and highly anisotropic mechanical properties, exhibiting structural weaknesses in the layer direction (Z-direction) due to low interlaminar adhesion. The main objective of this work was to investigate and quantify these mechanical limitations and to develop strategies for their mitigation. Specifically, this study aimed to (1) characterize the anisotropic behavior of unreinforced Polycarbonate (PC) components, (2) evaluate the effect of continuous, unidirectional (UD) carbon fiber tape reinforcement on mechanical performance, and (3) validate experimental findings through Finite Element Method (FEM) simulations to support predictive modeling of reinforced FLM structures. Methods involved experimental tensile and 3-point bending tests on specimens printed in all three spatial directions (X, Y, Z), validated against FEM simulations in ANSYS Composite PrepPost (ACP) using an orthotropic material model and the Hashin failure criterion. Results showed unreinforced samples had a pronounced anisotropy, with tensile strength reduced by over 70% in the Z direction. UD tape integration nearly eliminated this orthotropic behavior and led to strength gains of over 400% in tensile and flexural strength in the Z-direction. The FEM simulations showed very good agreement regarding initial stiffness and failure load. Targeted UD tape reinforcement effectively compensates for the weaknesses of FLM structures, although the quality of the tape–matrix bond and process reproducibility remain decisive factors for the reliability of the composite system, underscoring the necessity for targeted process optimization. Full article
(This article belongs to the Special Issue Cutting-Edge Developments in Computational and Experimental Mechanics)
Show Figures

Figure 1

18 pages, 1303 KB  
Article
Timoshenko Theories in the Analysis of Cantilever Beams Subjected to End Mass and Dynamic End Moment
by Maria Anna De Rosa and Maria Lippiello
Appl. Mech. 2025, 6(4), 87; https://doi.org/10.3390/applmech6040087 - 4 Dec 2025
Viewed by 306
Abstract
This paper investigates the effects of shear deformation on the flutter and divergence instabilities of a cantilever beam subjected to a concentrated mass and applied dynamic couple. The beam is modeled using classical and truncated Timoshenko beam theory, accounting for both shear deformation [...] Read more.
This paper investigates the effects of shear deformation on the flutter and divergence instabilities of a cantilever beam subjected to a concentrated mass and applied dynamic couple. The beam is modeled using classical and truncated Timoshenko beam theory, accounting for both shear deformation and rotary inertia. The inclusion of rotary inertia is shown to significantly influence the dynamic response, particularly for beams with greater thickness. According to Hamilton’s principle, the equations of motion for the cantilevered beam are derived, applying both classical and truncated Timoshenko beam theories. Auxiliary functions are utilized to solve the resulting system analytically. Various numerical examples are presented, illustrating typical results to demonstrate the effectiveness of the proposed approach. The numerical findings show significant convergence and computational effectiveness. The effect of the location of a concentrated mass and the dynamic couple applied at the free end is analyzed for various beam slenderness ratios and curvature positions, emphasizing their impact on modifying the critical instability limits. To highlight the significance of shear effects, a comparison is made between the outcomes of the Timoshenko model and those of the Euler-Bernoulli beam model, showing notable variations in the anticipated divergence and flutter stability characteristics. All the examples were executed using both classical theory and the truncated Timoshenko theory, and the findings indicated a remarkable level of convergence. Finally, a numerical comparisons with literature papers was performed. The results achieved showed strong alignment. Full article
Show Figures

Figure 1

35 pages, 1130 KB  
Article
Five-Dimensional Euler Equations for Rotating Bodies
by Vladimir Kobelev
Appl. Mech. 2025, 6(4), 86; https://doi.org/10.3390/applmech6040086 - 4 Dec 2025
Viewed by 180
Abstract
This manuscript examines the rotational dynamics of rigid bodies in five-dimensional Euclidean space. This results in ten coupled nonlinear differential equations for angular velocities. Restricting rotations along certain axes reduces the 5D equations to sets of 4D Euler equations, which collapse to the [...] Read more.
This manuscript examines the rotational dynamics of rigid bodies in five-dimensional Euclidean space. This results in ten coupled nonlinear differential equations for angular velocities. Restricting rotations along certain axes reduces the 5D equations to sets of 4D Euler equations, which collapse to the classical 3D Euler equations. This demonstrates consistency with established mechanics. For bodies with equal principal moments of inertia (e.g., hyperspheres and Platonic solids), the rotation velocities remain constant over time. In cases with six equal and four distinct inertia moments, the solutions exhibit harmonic oscillations with frequencies determined by the initial conditions. Rotations are stable when the body spins around an axis with the largest or smallest principal moment of inertia, thus extending classical stability criteria into higher dimensions. This study defines a 5D angular momentum operator and derives commutation relations, thereby generalizing the familiar 3D and 4D cases. Additionally, it discusses the role of Pauli matrices in 5D and the implications for spin as an intrinsic property. While mathematically consistent, the hypothesis of a fifth spatial dimension is ultimately rejected since it contradicts experimental evidence. This work is valuable mainly as a theoretical framework for understanding spin and symmetry. This paper extends Euler’s equations to five dimensions (5D), demonstrates their reduction to four dimensions (4D) and three dimensions (3D), provides closed-form and oscillatory solutions under specific inertia conditions, analyzes stability, and explores quantum mechanical implications. Ultimately, it concludes that 5D space is not physically viable. Full article
Show Figures

Graphical abstract

20 pages, 3715 KB  
Article
Static Analysis Method and Structural Optimization of Box-Type Subgrade for High-Speed Railways
by Jianfeng Fang, Gentian Hong, Xin Wen, Runmin Wang, Qiang Shentu, Tao Chen and Weichao Li
Appl. Mech. 2025, 6(4), 85; https://doi.org/10.3390/applmech6040085 - 3 Dec 2025
Viewed by 245
Abstract
A method based on a statically indeterminate planar frame model was developed for the analysis and evaluation of box-type subgrade structures in high-speed railways. The objective of this study is to establish a concise and mechanically rigorous framework capable of quantifying the effects [...] Read more.
A method based on a statically indeterminate planar frame model was developed for the analysis and evaluation of box-type subgrade structures in high-speed railways. The objective of this study is to establish a concise and mechanically rigorous framework capable of quantifying the effects of key geometric parameters on bending moments, shear forces, and slab deflection, thereby providing guidance for structural refinement. Symbolic derivation and structural mechanics theory are combined to formulate the analytical model, and finite element simulations in Abaqus are used to verify the theoretical predictions under the design loads of the Quzhou–Lishui railway section located between Quzhou City and Lishui City in Zhejiang Province, China. Key findings show the maximum bending moments at the slab center and web-slab junction, reaching 14,818 kN·m, and the maximum shear forces of 16,934 kN at the web-slab junction. The top slab center showed the maximum deflection, approximately 7.5 × 10−2 mm. Simulation errors were below 5%. The optimization results recommend a web spacing of 4.5–5 m and a web height of 5–8 m. In an engineering case, reducing the web spacing from 6 m to 5 m and adjusting the web height from 7 m to 6.5 m dropped the top-slab mid-span bending moment from 10,628 kN·m to 5603 kN·m (an 89.7% reduction). Concrete use fell by 2.61% (from 24,900 to 24,250 m3/km), and overall costs dropped by about 5%. These findings demonstrate that the proposed analytical method provides an effective basis for rational parameter selection and preliminary structural design of box-type railway subgrades. Full article
Show Figures

Figure 1

35 pages, 3149 KB  
Article
Exploring the Potential of Physics-Informed Neural Networks for the Structural Analysis of 2D Frame Structures
by Felix Deckert, Lukas Lippold, Thomas Most and Carsten Könke
Appl. Mech. 2025, 6(4), 84; https://doi.org/10.3390/applmech6040084 - 24 Nov 2025
Viewed by 739
Abstract
Within the present paper, Physics-Informed Neural Networks (PINN) are investigated for the analysis of frame structures in two dimensions. The individual structural elements are represented by Euler–Bernoulli beams with additional axial stiffness. The transverse and axial displacements are approximated by individual neural networks [...] Read more.
Within the present paper, Physics-Informed Neural Networks (PINN) are investigated for the analysis of frame structures in two dimensions. The individual structural elements are represented by Euler–Bernoulli beams with additional axial stiffness. The transverse and axial displacements are approximated by individual neural networks and the differential equations are considered by minimizing a joined global loss function within the simultaneous training process. The boundary conditions at the supports of the structure and the coupling conditions at the element connections are considered in the global loss function and specific weighting factors are defined and tuned within the training. The combination of several structural elements within one analysis by training a set of neural networks simultaneously by a joined loss function is the main novelty of the current study. The formulation of coupling conditions for different scenarios is illustrated. Additionally, a nondimensionalization approach is introduced in order to achieve an automatic scaling of the individual loss function terms. Several examples have been investigated as follows: a simple beam structure first with quadratic load and second with varying cross-section properties is analyzed with respect to the convergency of the networks accuracy compared to the analytical solutions. Two more sophisticated examples with several elements connected at rigid corners were investigated, where the fulfillment of the consistency of the displacements and the equilibrium conditions of the internal forces is a crucial condition within the loss function of the network training. The results of the PINN framework are verified successfully with traditional finite element solutions for the presented examples. Nevertheless, the weighting of the individual loss function terms is the crucial point in the presented approach, which will be discussed in the paper. Full article
Show Figures

Figure 1

19 pages, 2686 KB  
Article
The Method of Cleaning Cutting Fluid Using Ultrasonic Treatment
by Anna Kim, Adil Kadyrov, Kirill Sinelnikov, Karibek Sherov and Vassiliy Yurchenko
Appl. Mech. 2025, 6(4), 83; https://doi.org/10.3390/applmech6040083 - 18 Nov 2025
Viewed by 591
Abstract
Cutting fluids are widely used in mechanical engineering to reduce friction and heat generation during metal machining. However, during operation, these fluids become contaminated with metal particles, dust, and microorganisms, leading to degradation of their functional properties and environmental concerns. This study investigates [...] Read more.
Cutting fluids are widely used in mechanical engineering to reduce friction and heat generation during metal machining. However, during operation, these fluids become contaminated with metal particles, dust, and microorganisms, leading to degradation of their functional properties and environmental concerns. This study investigates the ultrasonic cleaning and regeneration of contaminated cutting fluids. A rheological model of the elastic–viscous medium was analyzed, and a physical model describing the ultrasonic cleaning mechanism was proposed. Experimental investigations were conducted to validate the theoretical assumptions. The results confirmed that ultrasonic treatment promotes dispersion and phase separation of the fluid, removes putrefactive odor, and partially destroys microorganisms. The regenerated fluid exhibited enhanced clarity and stability compared with the contaminated samples. The findings contribute to a deeper understanding of the physicochemical processes occurring during ultrasonic treatment and demonstrate the potential of this method for sustainable reuse of cutting fluids in industrial applications. Full article
Show Figures

Figure 1

14 pages, 2504 KB  
Article
Comparative Study of Single Cyclone Validation and Predictive Simulation of Multi-Cyclone Configurations
by Mihaela Constantin, Cătălina Dobre, Anca Chelmuș, Nicolae Băran, Daniel Taban, Beatrice Ibrean, Daniel Dima and Mugurel Oprea
Appl. Mech. 2025, 6(4), 82; https://doi.org/10.3390/applmech6040082 - 4 Nov 2025
Viewed by 479
Abstract
Cyclone separators are widely used for gas–solid separation due to their robustness and low operating cost. This study focuses on the experimental validation of a single cyclone configuration and the development of a MATLAB-based numerical framework. The model employs a Euler–Lagrange approach to [...] Read more.
Cyclone separators are widely used for gas–solid separation due to their robustness and low operating cost. This study focuses on the experimental validation of a single cyclone configuration and the development of a MATLAB-based numerical framework. The model employs a Euler–Lagrange approach to capture centrifugal, drag, and gravitational forces acting on spherical polyethylene particles (D = 5 mm). Laboratory-scale measurements of airflow, pressure drop, and separation efficiency showed strong agreement with the numerical model (deviation < 6%), confirming its reliability for the single cyclone case. Beyond this validated framework, exploratory simulations were carried out for series and parallel cyclone configurations to provide predictive insights into possible design trade-offs. Unlike high-fidelity CFD–DEM models, which are computationally intensive and allow detailed turbulence and particle–particle interactions, the present MATLAB model is simplified but transparent and fast to implement. Its originality lies in demonstrating a low-cost, experimentally calibrated tool that can support preliminary design decisions. The multi-cyclone results should be interpreted as predictive trends, as no direct experimental validation was possible within the present setup. These findings offer preliminary guidance for balancing efficiency, energy demand, and throughput in applied mechanics of multiphase flow systems. Full article
Show Figures

Figure 1

19 pages, 8095 KB  
Article
The Use of Composite 3D Printing in the Design of Optomechanical Components
by Šárka Němcová, Jan Heřmánek, Pavel Crha, Karolina Macúchová, Václav Němec, Radek Pobořil, Tomáš Tichý, Ondřej Uher, Martin Smrž and Tomáš Mocek
Appl. Mech. 2025, 6(4), 81; https://doi.org/10.3390/applmech6040081 - 3 Nov 2025
Viewed by 657
Abstract
This article demonstrates that 3D-printed parts can replace metal parts in optomechanics in the correct circumstances. Three examples are shown: a clamping fork for pedestal holders where stability is important, an adjustable mirror holder where the rigidity is the main criterion, and a [...] Read more.
This article demonstrates that 3D-printed parts can replace metal parts in optomechanics in the correct circumstances. Three examples are shown: a clamping fork for pedestal holders where stability is important, an adjustable mirror holder where the rigidity is the main criterion, and a stray light shield where the transmissivity is critical. By combining carbon-fiber-reinforced polymers (CFRPs) with 3D printing, it is possible to produce components that fill the gap between standard 3D-printed plastics and metal parts in terms of strength and stability. These parts are designed to be lighter, more compact, and easier to modify, while keeping good mechanical properties such as resistance to vibration, shape accuracy, and controlled thermal expansion. The article focuses on the application of composite 3D printing on optomechanical components. It compares different methods of composite 3D printing, including fused filament fabrication (FFF) with either chopped fibers or with continuous fiber reinforcement. Three examples from the HiLASE Centre demonstrate how these parts are used in practice, confirming that it is indeed possible to 3D print components that are lighter and cheaper yet still highly functional compared to their off-the-shelf counterparts—for example, lightweight and stiff mounts, shielding against stray laser light, or flexible elements allowing fine mechanical adjustments. Simulations of the deformations are included to compare the printed and metal versions. The article ends with a summary of the benefits and limitations of using 3D-printed composites in optomechanics. Full article
Show Figures

Figure 1

24 pages, 4695 KB  
Article
Analysis on the Leakage and Rubbing Force of the Combined Finger Seal Based on Equivalent Dynamic Model Considering Thermal Effects
by Jifan Zhang, Hua Su, Yiting Su and Kun Zhou
Appl. Mech. 2025, 6(4), 80; https://doi.org/10.3390/applmech6040080 - 30 Oct 2025
Viewed by 338
Abstract
This study proposes a combined finger seal configuration composed of different structural laminates. An equivalent dynamic model of the finger seal system, accounting for thermal effects, is established. The effects of configuration type and operating conditions, including pressure differential, rotor displacement excitation, and [...] Read more.
This study proposes a combined finger seal configuration composed of different structural laminates. An equivalent dynamic model of the finger seal system, accounting for thermal effects, is established. The effects of configuration type and operating conditions, including pressure differential, rotor displacement excitation, and temperature, on the dynamic leakage and rubbing force of the combined finger seal are investigated. The finger seal composed of two structural forms (X-type and Y-type) of finger laminates in this paper has a comprehensive advantage in leakage rate and rubbing force compared with the finger seal composed of a single structural seal slice. Compared with the leakage performance of the combined type of finger seals with different finger beam lengths, the maximum leakage rate of the 3Y+2X type finger seal proposed in this paper can be reduced by 29%. For the 3Y+2X finger seal structure and the calculation conditions (including pressure difference, displacement excitation and temperature) of this work, as the pressure difference increases, the seal leakage rate increases, and the peak value and impulse of the rubbing force also increase. The increase in rotor displacement excitation leads to an increase in both the leakage rate and the rubbing force. The increase in environmental temperature leads to an increase in leakage rate of the finger seal, but both the peak value of the rubbing force and the impact force reduce. Under different pressure differences and displacement excitation, the sealing leakage in a 300 °C high-temperature environment is slightly greater than that at normal temperature, but the friction force is less than that at normal temperature. Full article
(This article belongs to the Special Issue Thermal Mechanisms in Solids and Interfaces 2nd Edition)
Show Figures

Figure 1

15 pages, 9679 KB  
Article
Impact Testing of AISI 1010 Low-Carbon Steel Spot-Welded Joints
by Ralph Kenneth Castillo, Neamul Khandoker, Sumaiya Islam and Abdul Md Mazid
Appl. Mech. 2025, 6(4), 79; https://doi.org/10.3390/applmech6040079 - 24 Oct 2025
Viewed by 607
Abstract
Resistance spot welding is a process used to join overlapping metals using pressure and electric current, commonly applied in the automotive industry for joining car bodies. This study aimed to understand the mechanical performance of spot welds under dynamic impact conditions. Various welding [...] Read more.
Resistance spot welding is a process used to join overlapping metals using pressure and electric current, commonly applied in the automotive industry for joining car bodies. This study aimed to understand the mechanical performance of spot welds under dynamic impact conditions. Various welding schedules were tested to observe the effects of different welding currents and times on the impact energy absorbed by spot welds. The results showed that the impact energy absorbed ranged from 26 J to 98 J, with higher welding currents and times generally increasing the impact energy due to more heat input. However, excessive welding parameters led to decreased impact energy. Statistical analysis and modeling revealed that optimal impact energy is achieved with a welding current of 5 kA and welding time of 6.728 cycles. Full article
Show Figures

Figure 1

29 pages, 3420 KB  
Article
Numerical and Geometric Analysis of Side-Wall Inclination Angle Effects on Longitudinal Hat-Stiffeners in Steel Plates
by Guilherme Garcia Madsen, Mariana Alvarenga Alves, Luiz Alberto Oliveira Rocha, Elizaldo Domingues dos Santos, William Ramires Almeida and Liércio André Isoldi
Appl. Mech. 2025, 6(4), 78; https://doi.org/10.3390/applmech6040078 - 20 Oct 2025
Viewed by 751
Abstract
Thin steel plates with stiffeners are widely employed in several branches of engineering, combining mechanical strength with low weight and serving as both structural and cladding components. However, the influence of the side-wall inclination angle of hat-stiffeners on the stiffness distribution and deflection [...] Read more.
Thin steel plates with stiffeners are widely employed in several branches of engineering, combining mechanical strength with low weight and serving as both structural and cladding components. However, the influence of the side-wall inclination angle of hat-stiffeners on the stiffness distribution and deflection patterns of steel plates remains insufficiently explored. This study conducts computational modeling to evaluate the deflection of thin steel plates reinforced with hat-stiffeners. The plates were considered simply supported and subjected to a uniformly distributed load. The Constructal Design method and the exhaustive search technique were employed, allowing for geometric evaluation and optimization. A fraction corresponding to 30% of the plate volume was removed and redistributed to generate longitudinal hat-stiffener geometries by varying its side-wall angle and thickness. The smaller base of the hat-stiffeners was imposed as a geometric constraint and therefore kept fixed. The results indicate a nonlinear trend between the side-wall angle, the moment of inertia, and the resulting deflection, leading to a new geometrical pattern that connects the angular inclination to the overall stiffness behavior of the plate. Angles between 105° and 130° provided the best performance, reducing the maximum deflection by 93.72% compared with the reference plate and improving it by around 7.5% relative to previous studies. These findings illustrate how geometric configuration can enhance performance in line with Constructal Design principles. Full article
Show Figures

Figure 1

20 pages, 5576 KB  
Article
Analysis of Performance of Bone-Anchored Implants for Amputation Limb Prostheses
by Riyam Basim Al-Tameemi, Hashem Mazaheri, Jumaa Salman Chiad and Mahdi Shaban
Appl. Mech. 2025, 6(4), 77; https://doi.org/10.3390/applmech6040077 - 17 Oct 2025
Viewed by 658
Abstract
Bone-anchored implants have transformed prosthetic technology by providing a promising alternative to traditional socket-based prostheses through enhanced stability, comfort, and natural limb functionality. These advancements result from developments in osseointegration techniques, improved surgical methods, and innovative implant materials. To address current limitations, continued [...] Read more.
Bone-anchored implants have transformed prosthetic technology by providing a promising alternative to traditional socket-based prostheses through enhanced stability, comfort, and natural limb functionality. These advancements result from developments in osseointegration techniques, improved surgical methods, and innovative implant materials. To address current limitations, continued research remains essential to enhance safety and effectiveness, thereby promoting wider adoption of these advanced prosthetic solutions. This study focuses on modeling bone-anchored implants for limb prostheses in amputees. The research evaluates structural behavior and performance of osseointegrated implants under various conditions while optimizing implant design. The investigation examines different materials including aluminum, Ti-6Al-4V, and Ti-6Al-4V coated with 10 µm platinum. Additionally, implants of different lengths (207 mm, 217 mm, and 197 mm) were analyzed. The results indicate that Ti-6Al-4V and Ti-6Al-4V coated with ten µm platinum reduce stress by 46% and 65%, respectively. Ti-6Al-4V coated with platinum demonstrates the lowest equivalent stress, highlighting the coating’s effectiveness. Furthermore, the coated implant exhibits the lowest deformation—22.92% less than aluminum and 5.13% less than uncoated Ti-6Al-4V. Shorter implant lengths reduce deformation through increased stiffness, whereas longer implants, such as the 217 mm length display greater deformation due to enhanced flexibility. Full article
Show Figures

Figure 1

29 pages, 30122 KB  
Article
Micro-Structured Multifunctional Greener Coatings Obtained by Plasma Spray
by Spyridoula G. Farmaki, Dimitrios A. Exarchos, Panagiota T. Dalla, Elias A. Ananiadis, Vasileios Kechagias, Alexandros E. Karantzalis and Theodore E. Matikas
Appl. Mech. 2025, 6(4), 76; https://doi.org/10.3390/applmech6040076 - 13 Oct 2025
Viewed by 751
Abstract
The increasing reliance on conventional coatings such as WC-Co raises serious environmental and health concerns due to the toxicity of cobalt and the ecological footprint of these materials. To address this challenge, the present study explores the development of eco-friendly multifunctional coatings via [...] Read more.
The increasing reliance on conventional coatings such as WC-Co raises serious environmental and health concerns due to the toxicity of cobalt and the ecological footprint of these materials. To address this challenge, the present study explores the development of eco-friendly multifunctional coatings via the Plasma Spray (PS) process, using titanium (Ti), silicon carbide (SiC), and tungsten carbide-cobalt (WC-Co) mixtures as alternative feedstocks. Steel substrates were coated under different deposition strategies (powder mixing, layer-by-layer) and current settings (800-900 A). The coatings were characterized by scanning electron microscopy (SEM/EDX), 3D profilometry, sliding wear testing, and potentiodynamic corrosion measurements. Results showed that Ti-WC (mix, 900 A) and Ti-SiC (layer, 900 A) coatings achieved the most favorable performance, combining excellent adhesion, uniform coverage, reduced porosity, and improved resistance to wear and corrosion compared to conventional Cr2O3 coatings. Notably, Ti-WC coatings provided surface roughness values comparable to Cr2O3, while significantly lowering the environmental impact. These findings demonstrate that PS-based Ti-WC and Ti-SiC systems can serve as sustainable and high-performance alternatives for protective applications in harsh environments, particularly in marine industries, supporting the transition toward coatings with reduced ecological footprint. Full article
Show Figures

Figure 1

15 pages, 543 KB  
Article
Residual Stress in Surface-Grown Cylindrical Vessels via Out-of-Plane Material Configuration
by Eric Puntel
Appl. Mech. 2025, 6(4), 75; https://doi.org/10.3390/applmech6040075 - 10 Oct 2025
Viewed by 601
Abstract
We consider an axysimmetric cylindrical vessel grown by surface deposition at the inner boundary. The residual stress in the vessel can vary, e.g., depending on the loading history during growth. Can we represent and characterize a stress-free material (namely, reference) configuration for the [...] Read more.
We consider an axysimmetric cylindrical vessel grown by surface deposition at the inner boundary. The residual stress in the vessel can vary, e.g., depending on the loading history during growth. Can we represent and characterize a stress-free material (namely, reference) configuration for the vessel? Extending an idea initially proposed for surface growth occurring on a fixed boundary, the material configuration is introduced as a two-dimensional manifold immersed in a three-dimensional space. The problem is first formulated in fairly general terms for an incompressible neo-Hookean material in plane strain and then specialized to material configurations represented by ruled surfaces. An illustrative example using geometric and material parameters of carotid arteries shows the characterization of different material configurations based on their three-dimensional slope and computes the corresponding residual stress fields. Finally, such a slope is shown to be in a one to one relationship with the customary measure of residual stress in arteries, i.e., the opening angle in response to a cut. The present work introduces a novel framework for residual stress and shows its applicability in a special setting. Several generalizations and extensions are certainly necessary in the following sections to further test and assess the proposed method. Full article
Show Figures

Figure 1

25 pages, 999 KB  
Article
Modeling Kinematic and Dynamic Structures with Hypergraph-Based Formalism
by Csaba Hajdu and Norbert Hegyi
Appl. Mech. 2025, 6(4), 74; https://doi.org/10.3390/applmech6040074 - 9 Oct 2025
Cited by 1 | Viewed by 1069
Abstract
This paper introduces a hypergraph-based formalism for modeling kinematic and dynamic structures in robotics, addressing limitations of the existing formats such as Unified Robot Description Format (URDF), MuJoCo-XML, and Simulation Description Format (SDF). Our method represents mechanical constraints and connections as hyperedges, enabling [...] Read more.
This paper introduces a hypergraph-based formalism for modeling kinematic and dynamic structures in robotics, addressing limitations of the existing formats such as Unified Robot Description Format (URDF), MuJoCo-XML, and Simulation Description Format (SDF). Our method represents mechanical constraints and connections as hyperedges, enabling the native description of multi-joint closures, tendon-driven actuation, and multi-physics coupling. We present a tensor-based representation derived via star-expansion, implemented in the Hypergraph Model Cognition Framework (HyMeKo) language. Comparative experiments show a substantial reduction in model verbosity compared to URDF while retaining expressiveness for large-language model integration. The approach is demonstrated on simple robotic arms and a quarter vehicle model, with derived state-space equations. This work suggests that hypergraph-based models can provide a modular, compact, and semantically rich alternative for the next-generation simulation and design workflows. The introduced formalism reaches 50% reduction compared to URDF descriptions and 20% reduction compared to MuJoCo-XML descriptions. Full article
Show Figures

Figure 1

18 pages, 3975 KB  
Article
Accelerated Carbonation for Improving Mechanical Performance of Sustainable Fiber-Cements Containing Lime Sludge
by Rudicler Pereira Ramos, Felipe Vahl Ribeiro, Cristian da Conceição Gomes, Thamires Alves da Silveira, Arthur Behenck Aramburu, Neftali Lenin Villarreal Carreno, Angela Azevedo de Azevedo and Rafael de Avila Delucis
Appl. Mech. 2025, 6(4), 73; https://doi.org/10.3390/applmech6040073 - 30 Sep 2025
Viewed by 957
Abstract
The combined effects of accelerated carbonation and lime sludge incorporation on the mechanical and durability performance of fiber-cement composites were assessed in this study. Lime sludge was used to replace 0%, 10%, and 20% of the cement in the composites, which were then [...] Read more.
The combined effects of accelerated carbonation and lime sludge incorporation on the mechanical and durability performance of fiber-cement composites were assessed in this study. Lime sludge was used to replace 0%, 10%, and 20% of the cement in the composites, which were then autoclave-cured and carbonated more quickly for two or eight hours. With LS20-C8 (20% lime sludge, 8 h carbonation) achieving the highest carbonation efficiency (74.0%), X-ray diffraction (XRD) verified the gradual conversion of portlandite into well-crystallized calcium carbonate (CaCO3). In terms of mechanical performance, LS20-C8 outperformed the control by increasing toughness by 16.7%, flexural strength by 14.2%, compressive strength by 14.6%, and compressive modulus by 20.3%. The properties of LS20-C8 were better preserved after aging under wetting-drying cycles, as evidenced by lower losses of toughness (10.0%) and compressive strength (10.1%) compared to the control (14.6% and 18.3%, respectively). The mechanical improvements were explained by optical microscopy, which showed decreased porosity and an enhanced fiber–matrix interface. Overall, the findings show that adding lime sludge to accelerated carbonation improves durability, toughness, strength, and stiffness while decreasing porosity. This method helps to value industrial byproducts and is a sustainable and efficient way to create long-lasting fiber-cement composites. Full article
Show Figures

Figure 1

Previous Issue
Next Issue
Back to TopTop