FRCNN-Based Reinforcement Learning for Real-Time Vehicle Detection, Tracking and Geolocation from UAS
Abstract
1. Introduction
- The object density is high in complex urban scenarios such as densely filled parking areas, at intersections, or in clogged streets, and determining the location of an individual vehicle can become troublesome [16]. Additionally, vehicles might be blocked by trees, boards, or different developments to some extent. Different variables that plague the recognition of vehicles include complex backgrounds, shadows, shifting light conditions, and distinctions in the vehicles’ types, appearances, and directions. This multitude of variables lessens the adequacy of the usual methods such as an optical stream, outline distinction, and foundation deduction.
- Differences in the top aerial view and the terrestrial view of the vehicle make detection more challenging. The airborne pictures lack the front-view physiognomy of the vehicle and vehicles show rectilinear shapes in the top view. Another change observed in the aerial imagery is that of scale (resolution). The size of vehicles when captured from UAVs is small compared to normal ground images. For instance, in a 5K × 3K pixel image captured from a UAS, a vehicle might appear at 50 × 50 pixels. Therefore, it becomes challenging to detect the vehicle as it is difficult to find the variations in its features that distinguish it from other similar-looking vehicles. Resolution also makes it challenging to differentiate vehicles from other objects such as big containers, garbage bins, street signs, and other rectilinear objects.
- Low-elevation UAVs are more plagued by sudden movements and natural variables. Given that the camera perspectives and flying elevations of more modest UAVs change quickly, the information they acquire fluctuates significantly. Moreover, the carrying capacity of small UAVs restricts the weight of the computational hardware they can fly with onboard.
- (1)
- A proposed adaptive filtering method for reducing noise which enhances the reliability of the detection algorithm;
- (2)
- To develop a top–bottom-hat transformation assisted by the Overlapped Segmentation-Based Morphological Operation, which is to be employed in the detection phase;
- (3)
- To initiate the elimination of background regions by motion–feature point analysis of the obtained object regions using a conjugated technique of DBSCAN clustering and KLT trackers;
- (4)
- To develop an efficient reinforcement-connecting algorithm for assigning the vehicle labels corresponding to their cluster trajectories.
2. Previous Studies
3. Proposed Methodology
3.1. Noise Reduction
- (a)
- Denoising
3.2. Object Detector
- (a)
- Erosion:
- (b)
- Dilation:
3.3. Feature Point Descriptor
3.4. Geolocation Motion Detector
3.5. Decision Making
3.6. GKMF (Gaussian Kernel Membership Function) -OMDP Approach for Interval-Valued Decision Dystem (IDS)
3.6.1. Optimal Policy for Decision Making
- (1)
- Convolution layer
- (2)
- RPN Layer
- (3)
- ROI layer
- (4)
- Segmentation mask layer
- (5)
- Fully connected layer
3.6.2. Convolution Layer
3.6.3. RPN Layer
3.6.4. ROI Layer
3.6.5. Segmentation Mask Layer
3.6.6. Fully Connected Layer
4. Results and Discussion
4.1. Dataset
4.2. Performance Analysis of Proposed OSBMO for Object Detection
4.3. Performance Analysis of Proposed DBSCAN for Geolocation Motion Detection
4.4. Performance Analysis of Proposed RL for Object Detection
5. Conclusions
Author Contributions
Funding
Institutional Review Board Statement
Informed Consent Statement
Data Availability Statement
Acknowledgments
Conflicts of Interest
References
- Kelechi, A.H.; Alsharif, M.H.; Oluwole, D.A.; Achimugu, P.; Ubadike, O.; Nebhen, J.; Aaron-Anthony, A.; Uthansakul, P. The Recent Advancement in Unmanned Aerial Vehicle Tracking Antenna: A Review. Sensors 2021, 21, 5662. [Google Scholar] [CrossRef] [PubMed]
- Chen, R.; Li, X.; Li, S. A lightweight CNN model for refining moving vehicle detection from satellite videos. IEEE Access 2020, 8, 221897–221917. [Google Scholar] [CrossRef]
- Chen, Y.; Zhao, D.; Er, M.J.; Zhuang, Y.; Hu, H. A novel vehicle tracking and speed estimation with varying UAV altitude and video resolution. Int. J. Remote Sens. 2021, 42, 4441–4466. [Google Scholar] [CrossRef]
- Balamuralidhar, N.; Tilon, S.; Nex, F. MultEYE: Monitoring system for real-time vehicle detection, tracking and speed estimation from UAV imagery on edge-computing platforms. Remote Sens. 2021, 13, 573. [Google Scholar] [CrossRef]
- Butilă, E.V.; Boboc, R.G. Urban Traffic Monitoring and Analysis Using Unmanned Aerial Vehicles (UAVs): A Systematic Literature Review. Remote Sens. 2022, 14, 620. [Google Scholar] [CrossRef]
- Shan, D.; Lei, T.; Yin, X.; Luo, Q.; Gong, L. Extracting key traffic parameters from UAV video with on-board vehicle data validation. Sensors 2021, 21, 5620. [Google Scholar] [CrossRef]
- Zhou, W.; Liu, Z.; Li, J.; Xu, X.; Shen, L. Multi-target tracking for unmanned aerial vehicle swarms using deep reinforcement learning. Neurocomputing 2021, 466, 285–297. [Google Scholar] [CrossRef]
- Byun, S.; Shin, I.-K.; Moon, J.; Kang, J.; Choi, S.-I. Road traffic monitoring from UAV images using deep learning networks. Remote Sens. 2021, 13, 4027. [Google Scholar] [CrossRef]
- Srivastava, S.; Narayan, S.; Mittal, S. A survey of deep learning techniques for vehicle detection from UAV images. J. Syst. Archit. 2021, 117, 102152. [Google Scholar] [CrossRef]
- Darehnaei, Z.G.; Fatemi, S.M.J.R.; Mirhassani, S.M.; Fouladian, M. Ensemble Deep Learning Using Faster R-CNN and Genetic Algorithm for Vehicle Detection in UAV Images. IETE J. Res. 2021, 1–10. [Google Scholar] [CrossRef]
- Abdelmalek, B.; Zarzour, H.; Kechida, A.; Taberkit, A.M. Vehicle detection from UAV imagery with deep learning: A review. IEEE Trans. Neural Netw. Learn. Syst. 2021, 33, 6047–6067. [Google Scholar]
- Wu, X.; Li, W.; Hong, D.; Tao, R.; Du, Q. Deep learning for unmanned aerial vehicle-based object detection and tracking: A survey. IEEE Geosci. Remote Sens. Mag. 2021, 10, 91–124. [Google Scholar] [CrossRef]
- Avola, D.; Cinque, L.; Diko, A.; Fagioli, A.; Foresti, G.; Mecca, A.; Pannone, D.; Piciarelli, C. MS-Faster R-CNN: Multi-stream backbone for improved Faster R-CNN object detection and aerial tracking from UAV images. Remote Sens. 2021, 13, 1670. [Google Scholar] [CrossRef]
- Memon, S.A.; Ullah, I. Detection and tracking of the trajectories of dynamic UAVs in restricted and cluttered environment. Expert Syst. Appl. 2021, 183, 115309. [Google Scholar] [CrossRef]
- Xin, L.; Zhang, Z. A vision-based target detection, tracking, and positioning algorithm for unmanned aerial vehicle. Wirel. Commun. Mob. Comput. 2021, 2021, 5565589. [Google Scholar]
- Boudjit, K.; Ramzan, N. Human detection based on deep learning YOLO-v2 for real-time UAV applications. J. Exp. Theor. Artif. Intell. 2022, 34, 527–544. [Google Scholar] [CrossRef]
- Zhao, X.; Pu, F.; Wang, Z.; Chen, H.; Xu, Z. Detection, tracking, and geolocation of moving vehicle from uav using monocular camera. IEEE Access 2019, 7, 101160–101170. [Google Scholar] [CrossRef]
- Redmon, J.; Farhadi, A. Yolov3: An incremental improvement. arXiv 2018, arXiv:1804.02767. [Google Scholar]
- Valappil, N.K.; Memon, Q.A. CNN-SVM based vehicle detection for UAV platform. Int. J. Hybrid Intell. Syst. 2021, preprint. [Google Scholar]
- Li, B.; Yang, Z.-P.; Chen, D.-Q.; Liang, S.-Y.; Ma, H. Maneuvering target tracking of UAV based on MN-DDPG and transfer learning. Def. Technol. 2021, 17, 457–466. [Google Scholar] [CrossRef]
- Espsoito, N.; Fontana, U.; D’Autilia, G.; Bianchi, L.; Alibani, M.; Pollini, L. A hybrid approach to detection and tracking of unmanned aerial vehicles. In Proceedings of the AIAA Scitech 2020 Forum, Orlando, FL, USA, 6–10 January 2020; p. 1345. [Google Scholar]
- Shao, Y.; Mei, Y.; Chu, H.; Chang, Z.; Jing, Q.; Huang, Q.; Zhan, H.; Rao, Y. Using Multiscale Infrared Optical Flow-based Crowd motion estimation for Autonomous Monitoring UAV. In Proceedings of the 2018 Chinese Automation Congress (CAC), Xi’an, China, 30 November–2 December 2018; IEEE: Piscataway, NJ, USA, 2018; pp. 589–593. [Google Scholar]
- Quanfu, F.; Brown, L.; Smith, J. A closer look at Faster R-CNN for vehicle detection. In Proceedings of the 2016 IEEE Intelligent Vehicles Symposium (IV), Gotenburg, Sweden, 19–22 June 2016; IEEE: Piscataway, NJ, USA, 2016; pp. 124–129. [Google Scholar]
- Sutton, R.S.; Precup, D.; Singh, S. Between MDPs and semi-MDPs: A framework for temporal abstraction in reinforcement learning. Artif. Intell. 1999, 1, 181–211. [Google Scholar] [CrossRef]
- Benjdira, B.; Khursheed, T.; Koubaa, A.; Ammar, A.; Ouni, K. Car detection using unmanned aerial vehicles: Comparison between faster r-cnn and yolov3. In Proceedings of the 2019 1st International Conference on Unmanned Vehicle Systems-Oman (UVS), Muscat, Oman, 5–7 February 2019; IEEE: Piscataway, NJ, USA, 2019; pp. 1–6. [Google Scholar]











| Author [Citation] | Techniques | Features | Challenges |
|---|---|---|---|
| Avola et al. [13] | Faster R-CNN |
|
|
| Zhao et al. [17] | YOLOv3 |
|
|
| Valappil et al. [19] | CNN-SVM |
|
|
| Li et al. [20] | MN-DDPG |
|
|
| Espsoito et al. [21] | Faster R-CNN |
|
|
| Shao et al. [22] | Crowd motion estimation system |
|
|
| Method | Global Consistency Error | Rand Index | Variation of Information |
|---|---|---|---|
| Proposed: OSBMO | 0.00789 | 0.95678 | 0.05883 |
| Existing: Watershed | 0.03482 | 0.89675 | 0.27554 |
| Existing: LevelSet | 0.08834 | 0.85678 | 0.11784 |
| Existing: Region Growing | 0.09499 | 0.81739 | 0.58831 |
| No. of Frames | Object 1 | Object 2 | Object 3 | Object 4 | Object 5 |
|---|---|---|---|---|---|
| 100 | 38,705 | 26,314 | 21,754 | 19,474 | 9994 |
| 200 | 43,705 | 47,247 | 35,475 | 35,147 | 15,225 |
| 300 | 55,754 | 58,331 | 47,475 | 47,247 | 20,435 |
| 400 | 64,648 | 66,341 | 57,741 | 52,201 | 36,634 |
| 500 | 79,447 | 79,224 | 77,485 | 79,024 | 47,291 |
| Method | Clustering Error Rate | Accuracy | Mean Squared Error |
|---|---|---|---|
| Proposed DBSC | 0.82201 | 86.7866 | 0.58392 |
| Existing CLARA | 11.87632 | 80.4481 | 12.77381 |
| Existing FCM | 56.94459 | 80.9932 | 180.483 |
| Existing K-means clustering | 87.89034 | 79.1002 | 58.92581 |
| Existing PAM | 123.8477 | 79.6883 | 276.7011 |
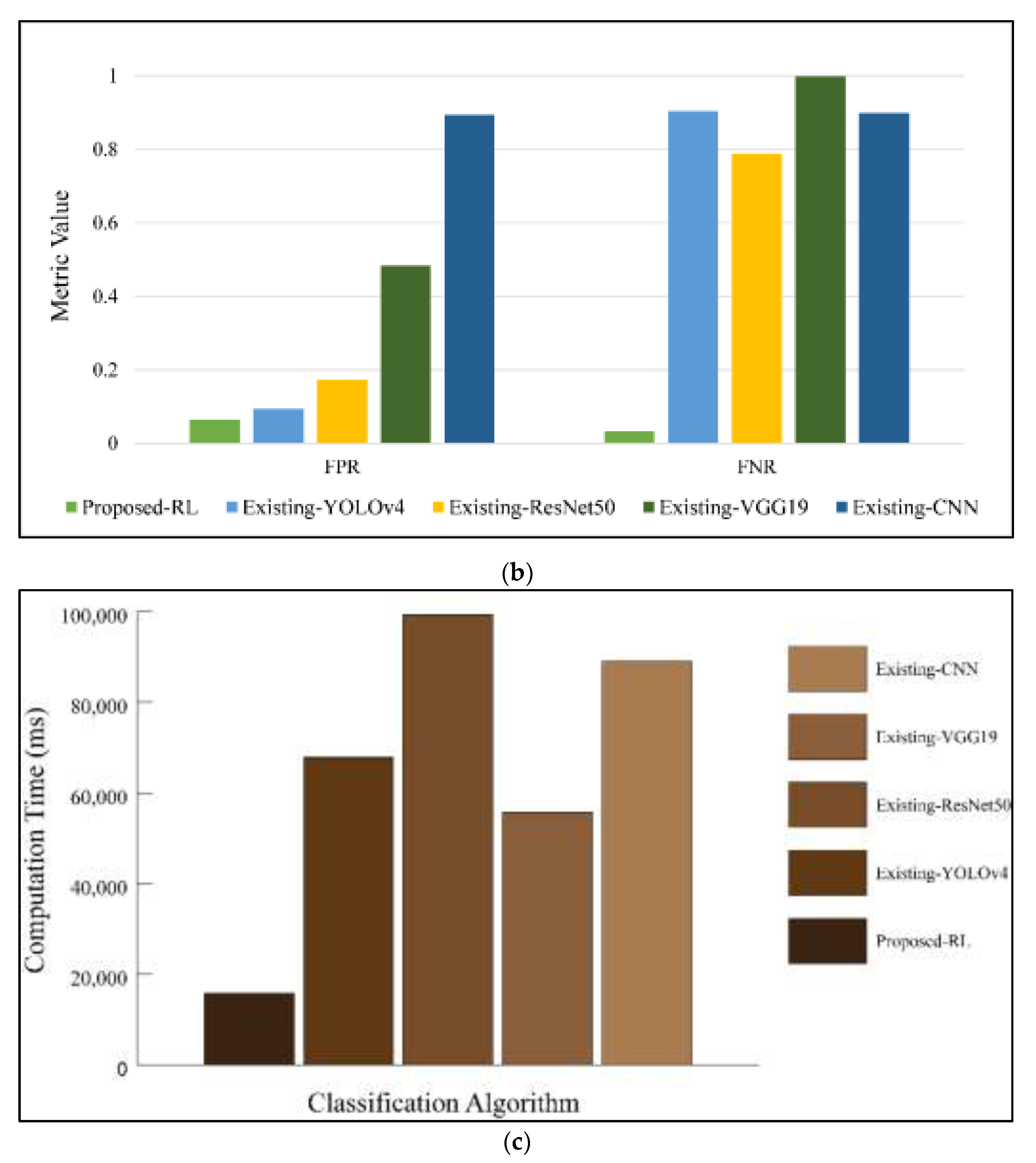
| Method | Accuracy | Precision | Recall | FPR | FNR | Computation Time |
|---|---|---|---|---|---|---|
| Proposed: RL | 96.8342 | 93.6754 | 92.6482 | 0.0646 | 0.03396 | 15,785 |
| Existing: YOLOv4 | 90.1843 | 89.7643 | 90.7653 | 0.0939 | 0.90403 | 67,823 |
| Existing: ResNet50 | 88.3834 | 88.2242 | 87.522 | 0.1736 | 0.78891 | 99,234 |
| Existing: VGG19 | 83.7456 | 83.3146 | 86.7103 | 0.4829 | 0.99905 | 55,746 |
| Existing: CNN | 80.9933 | 82.1318 | 80.2295 | 0.8943 | 0.89932 | 89,003 |
Publisher’s Note: MDPI stays neutral with regard to jurisdictional claims in published maps and institutional affiliations. |
© 2022 by the authors. Licensee MDPI, Basel, Switzerland. This article is an open access article distributed under the terms and conditions of the Creative Commons Attribution (CC BY) license (https://creativecommons.org/licenses/by/4.0/).
Share and Cite
Singh, C.H.; Mishra, V.; Jain, K.; Shukla, A.K. FRCNN-Based Reinforcement Learning for Real-Time Vehicle Detection, Tracking and Geolocation from UAS. Drones 2022, 6, 406. https://doi.org/10.3390/drones6120406
Singh CH, Mishra V, Jain K, Shukla AK. FRCNN-Based Reinforcement Learning for Real-Time Vehicle Detection, Tracking and Geolocation from UAS. Drones. 2022; 6(12):406. https://doi.org/10.3390/drones6120406
Chicago/Turabian StyleSingh, Chandra Has, Vishal Mishra, Kamal Jain, and Anoop Kumar Shukla. 2022. "FRCNN-Based Reinforcement Learning for Real-Time Vehicle Detection, Tracking and Geolocation from UAS" Drones 6, no. 12: 406. https://doi.org/10.3390/drones6120406
APA StyleSingh, C. H., Mishra, V., Jain, K., & Shukla, A. K. (2022). FRCNN-Based Reinforcement Learning for Real-Time Vehicle Detection, Tracking and Geolocation from UAS. Drones, 6(12), 406. https://doi.org/10.3390/drones6120406

