Integrative Path Planning for Multi-Rotor Logistics UAVs Considering UAV Dynamics, Energy Efficiency, and Obstacle Avoidance †
Abstract
1. Introduction
- Based on comprehensive UAV dynamics, we formulated the theoretical energy model for the energy consumption of multi-rotor logistics UAVs as a function of the UAV’s payload weight and velocity in vertical and horizontal flight, and this model has been fully incorporated for the energy-efficient trajectory planning problem for UAVs.
- A time-discretization method was proposed to solve the optimal trajectory planning problem of multi-rotor UAVs in a static environment with obstacles, and the model was formulated as a quadratically constrained program problem that was solved efficiently and effectively to achieve the minimum energy cost under different logistics time and payload requirements.
2. Mathematical Model
2.1. Energy Consumption Model of Multi-Rotor UAVs
2.1.1. Vertical Flight
2.1.2. Horizontal Flight
2.2. Trajectory Planning Model
3. Experiment and Discussion
3.1. Numerical Experiment
- 1.
- Apply the A* algorithm to search for a feasible path composed of discrete waypoints.
- 2.
- Choose the waypoints to expand and generate a series of connected obstacle-free blocks.
- 3.
| Algorithm 1: Reallocation of mission time |
|
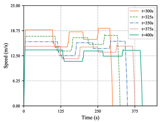
3.2. Impact of Different Mission Times and Payloads
3.3. Mission Time Optimization
| Algorithm 2: Mission time optimization |
|
4. Conclusions and Future Work
Author Contributions
Funding
Institutional Review Board Statement
Informed Consent Statement
Data Availability Statement
Acknowledgments
Conflicts of Interest
References
- D’Andrea, R. Guest Editorial Can Drones Deliver? IEEE Trans. Autom. Sci. Eng. 2014, 11, 647–648. [Google Scholar] [CrossRef]
- Ma, F.; Xu, Z.; Xiong, F. Research on Route Planning of Plant Protection UAV Based on Area Modular Division. In Proceedings of the 11th International Conference on Intelligent Human-Machine Systems and Cybernetics (IHMSC), HangZhou, China, 24–25 August 2019; pp. 101–104. [Google Scholar] [CrossRef]
- Ma, T.; Li, B.Y.; Nie, G.F. An Energy Saving Routing Strategy with Differentiated Service Provide Ability for UAV Assisted Disaster Rescue. In Proceedings of the 7th International Conference on Computer and Communications (ICCC), Chengdu, China, 10–13 December 2021; pp. 64–69. [Google Scholar] [CrossRef]
- Li, Y.; Liu, M.; Jiang, D.D. Application of unmanned aerial vehicles in logistics: A literature review. Sustainability 2022, 14, 14473. [Google Scholar] [CrossRef]
- Dorling, K.; Heinrichs, J.; Messier, G.G.; Magierowski, S. Vehicle Routing Problems for Drone Delivery. IEEE Trans. Syst. Man Cybern. Syst. 2017, 47, 70–85. [Google Scholar] [CrossRef]
- Zeng, Y.; Zhang, R. Energy-Efficient UAV Communication With Trajectory Optimization. IEEE Trans. Wirel. Commun. 2017, 16, 3747–3760. [Google Scholar] [CrossRef]
- Quan, L.; Han, L.X.; Zhou, B.Y.; Shen, S.J.; Gao, F. Survey of UAV motion planning. IET Cyber-Syst. Robot. 2020, 2, 14–21. [Google Scholar] [CrossRef]
- LaValle, S.M. Rapidly-Exploring Random Trees: A New Tool for Path Planning; The Annual Research Report; The MIT Press: Cambridge, MA, USA, 1 January 1998; Available online: https://api.semanticscholar.org/CorpusID:14744621 (accessed on 13 December 2024).
- Likhachev, M.; Gordon, G.; Thrun, S. ARA*: Anytime A* with Provable Bounds on Sub-Optimality. In Proceedings of the 16th International Conference on Neural Information Processing Systems, Cambridge, MA, USA, 9–11 December 2003; pp. 767–774. [Google Scholar] [CrossRef]
- Sim´eon, T.; Laumond, J.-P.; Nissoux, C. Visibility-based probabilistic roadmaps for motion planning. Adv. Robot. 2000, 14, 477–493. [Google Scholar] [CrossRef]
- Lavalle, S.; Kuffner, J. Rapidly-Exploring Random Trees: Progress and Prospects. Algorithmic and Computational Robotics: New Directions; CRC Press: Boca Raton, FL, USA, 1 January 2000; Available online: https://api.semanticscholar.org/CorpusID:264621287 (accessed on 13 December 2024).
- Guo, Y.; Liu, X.; Jia, Q. HPO-RRT*: A sampling-based algorithm for UAV real-time path planning in a dynamic environment. Complex Intell. Syst. 2023, 9, 7133–7153. [Google Scholar] [CrossRef]
- Fan, J.M.; Chen, X.; Liang, X. UAV trajectory planning based on bi-directional APF-RRT* algorithm with goal-biased. Expert Syst. Appl. 2023, 213, 119137. [Google Scholar] [CrossRef]
- He, Y.; Hou, T.; Wang, M. A new method for unmanned aerial vehicle path planning in complex environments. Sci. Rep. 2024, 14, 9257. [Google Scholar] [CrossRef]
- Huang, Y.L.; Guo, S.J. Path planning of mobile robots based on improved A* algorithm. In Proceedings of the 2022 Asia Conference on Advanced Robotics, Automation, and Control Engineering (ARACE), Qingdao, China, 26–28 August 2022; pp. 133–137. [Google Scholar] [CrossRef]
- Gao, F.; Wu, W.; Lin, Y.; Shen, S.J. Online Safe Trajectory Generation For Quadrotors Using Fast Marching Method and Bernstein Basis Polynomial. In Proceedings of the IEEE International Conference on Robotics and Automation (ICRA), Brisbane, QLD, Australia, 21–25 May 2018; pp. 344–351. [Google Scholar] [CrossRef]
- Mellinger, D.; Kumar, V. Minimum snap trajectory generation and control for quadrotors. In Proceedings of the IEEE International Conference on Robotics and Automation, Shanghai, China, 9–13 May 2011; pp. 2520–2525. [Google Scholar] [CrossRef]
- Richter, C.; Bry, A.; Roy, N. Polynomial Trajectory Planning for Aggressive Quadrotor Flight in Dense Indoor Environments. In Robotics Research, Proceedings of the 16th International Symposium ISRR, Singapore, 16–19 December 2013; Inaba, M., Corke, P., Eds.; Springer Publishing Company: Cham, Switzerland, 2016; pp. 649–666. [Google Scholar] [CrossRef]
- Chen, J.; Su, K.Y.; Shen, S.J. Real-Time Safe Trajectory Generation for Quadrotor Flight in Cluttered Environments. In Proceedings of the IEEE International Conference on Robotics and Biomimetics, Zhuhai, China, 6–9 December 2015; pp. 1678–1685. [Google Scholar] [CrossRef]
- Chen, J.; Liu, T.B.; Shen, S.J. Online Generation of Collision-Free Trajectories for Quadrotor Flight in Unknown Cluttered Environments. In Proceedings of the IEEE International Conference on Robotics and Automation, Stockholm, Sweden, 16–21 May 2016; pp. 1476–1483. [Google Scholar] [CrossRef]
- Gao, F.; Shen, S.J. Online quadrotor trajectory generation and autonomous navigation on point clouds. In Proceedings of the IEEE International Symposium on Safety, Security, and Rescue Robotics, Lausanne, Switzerland, 23–27 October 2016; pp. 139–146. [Google Scholar] [CrossRef]
- Tang, L.B.; Wang, H.S.; Liu, Z.; Wang, Y. A real-time quadrotor trajectory planning framework based on B-spline and nonuniform kinodynamic search. J. Field Robot. 2020, 38, 452–475. [Google Scholar] [CrossRef]
- Foehn, P.; Romero, A.; Scaramuzza, D. Time-optimal planning for quadrotor waypoint flight. Sci. Robot. 2021, 6, eabh1221. [Google Scholar] [CrossRef] [PubMed]
- Zeng, Y.; Xu, J.; Zhang, R. Energy Minimization for Wireless Communication With Rotary-Wing UAV. IEEE Trans. Wirel. Commun. 2019, 18, 2329–2345. [Google Scholar] [CrossRef]
- Raj, R.; Murray, C. The multiple flying sidekicks traveling salesman problem with variable drone speeds. Transp. Res. Part C Emerg. Technol. 2020, 120, 102813. [Google Scholar] [CrossRef]
- Du, P.; He, X.; Cao, H.; Garg, S.; Kaddoum, G.; Hassan, M.M. AI-based energy-efficient path planning of multiple logistics UAVs in intelligent transportation systems. Comput. Commun. 2023, 207, 46–55. [Google Scholar] [CrossRef]
- Zhang, J.; Campbell, J.F.; Sweeney, D.C., II; Hupman, A.C. Energy consumption models for delivery drones: A comparison and assessment. Transp. Res. Part D Transp. Environ. 2021, 90, 102668. [Google Scholar] [CrossRef]
- Cheng, C.; Adulyasak, Y.; Rousseau, L.-M. Drone routing with energy function: Formulation and exact algorithm. Transp. Res. Part B 2020, 139, 365–387. [Google Scholar] [CrossRef]
- Du, P.; Shi, Y.; Cao, H.; Garg, S.; Alrashoud, M.; Shukla, P.K. AI-Enabled Trajectory Optimization of Logistics UAVs With Wind Impacts in Smart Cities. IEEE Trans. Consum. Electron. 2024, 70, 3885–3897. [Google Scholar] [CrossRef]
- Rinaldi, M.; Primatesta, S.; Guglieri, G.; Rizzo, A. Multi-Auctioneer Market-based Task Scheduling for Persistent Drone Delivery. In Proceedings of the 2023 International Conference on Unmanned Aircraft Systems (ICUAS), Warsaw, Poland, 6–9 June 2023; pp. 790–797. [Google Scholar] [CrossRef]
- Thibbotuwawa, A. Energy Consumption in Unmanned Aerial Vehicles: A Review of Energy Consumption Models and Their Relation to the UAV Routing. In Proceedings of the Information Systems Architecture and Technology: Proceedings of the 39th International Conference on Information Systems Architecture and Technology—ISAT 2018, Nysa, Poland, 16–18 September 2018; Springer: Cham, Switzerland, 2018; pp. 173–184. [Google Scholar] [CrossRef]
- Stolaroff, J.K.; Samaras, C.; Mitchell, A.S.; Ceperley, D.; O’Neill, E.R.; Lubers, A. Energy use and life cycle greenhouse gas emissions of drones for commercial package delivery. Nat. Commun. 2018, 9, 409. [Google Scholar] [CrossRef] [PubMed]
- Stolaroff, J.K.; Samaras, C.; Mitchell, A.S.; Ceperley, D.; O’Neill, E.R.; Lubers, A. A power consumption model for multi-rotor small unmanned aircraft systems. In Proceedings of the 2017 International Conference on Unmanned Aircraft Systems (ICUAS), Miami, FL, USA, 13–16 June 2017; pp. 310–315. [Google Scholar] [CrossRef]
- Yang, Z.H.; Xu, W.; Shikh-Bahaei, M. Energy Efficient UAV Communication With Energy Harvesting. IEEE Trans. Veh. Technol. 2020, 69, 1913–1927. [Google Scholar] [CrossRef]
- Yan, H.; Chen, Y.F.; Yang, S.-H. New Energy Consumption Model for Rotary-Wing UAV Propulsion. IEEE Wirel. Commun. Lett. 2021, 10, 2009–2012. [Google Scholar] [CrossRef]
- Dai, X.H.; Duo, B.; Yuan, X.J.; Tang, W.B. Energy-Efficient UAV Communications: A Generalised Propulsion Energy Consumption Model. IEEE Wirel. Commun. Lett. 2022, 10, 2150–2154. [Google Scholar] [CrossRef]
- Gao, N.; Zeng, Y.; Wang, J.; Wu, D.; Zhang, C.Y.; Song, Q.H.; Qian, J.; Jin, S. Energy model for UAV communications: Experimental validation and model generalization. China Commun. 2021, 18, 253–264. [Google Scholar] [CrossRef]
- Chan, C.W.; Kam, T.Y. A procedure for power consumption estimation of multi-rotor unmanned aerial vehicle. J. Phys. Conf. Ser. 2020, 1509, 012015. [Google Scholar] [CrossRef]
- Bramwell, A.; Done, G.; Balmford, D. Bramwell’s Helicopter Dynamics, 2nd ed.; Butterworth-Heinemann: Oxford, UK, 2000; pp. 33–114. [Google Scholar] [CrossRef]
- Meng, A.Q.; Gao, X.Z.; Zhao, Y.; Yang, Z.X. Three-Dimensional Trajectory Optimization for Energy-Constrained UAV-Enabled IoT System in Probabilistic LoS Channel. IEEE Internet Things J. 2022, 9, 1109–1121. [Google Scholar] [CrossRef]














| Notation | Description | Simulation Value |
|---|---|---|
| A | Rotor disc area in , | 0.503 |
| Drag coefficient | - | |
| D | Parasite drag in , | - |
| Climbing power | - | |
| Induced power of vertical flight | - | |
| Induced power of horizontal flight | - | |
| Profile power of vertical flight | - | |
| Profile power of horizontal flight | - | |
| Parasite power | - | |
| R | Rotor radius | 0.4 |
| Fuselage equivalent flat plate area | 0.0151 | |
| T | Thrust force | - |
| V | Forward velocity | - |
| Climbing velocity | - | |
| W | Weight of multi-rotor UAV | 20 |
| Angular velocity of rotor | 300 | |
| b | Number of blades | 4 |
| c | Length of chord | 0.0157 |
| Drag force of blade element | - | |
| Horizontal component force of blade element | - | |
| Resultant force of blade element | - | |
| Vertical component force of blade element | - | |
| Lift force of blade element | - | |
| Width of blade element | - | |
| r | Distance from the rotation axis to the blade element | - |
| s | Rotor solidity | 0.05 |
| Mass flow rate | - | |
| Induced velocity | - | |
| Induced velocity in hovering | 4.03 | |
| Angle of attack | - | |
| Air density | 1.225 | |
| Average drag coefficient | 0.012 | |
| Incremental correction factor | 0.1 | |
| Advance ratio, | - |
| Parameter | Value | Parameter | Value |
|---|---|---|---|
| 116.25 | 20 | ||
| 0 | 30 | ||
| 0.22 | 2 | ||
| 123.20 | 2 | ||
| 12.45 | M | 6 | |
| 0.28 | N | 100 |
Disclaimer/Publisher’s Note: The statements, opinions and data contained in all publications are solely those of the individual author(s) and contributor(s) and not of MDPI and/or the editor(s). MDPI and/or the editor(s) disclaim responsibility for any injury to people or property resulting from any ideas, methods, instructions or products referred to in the content. |
© 2025 by the authors. Licensee MDPI, Basel, Switzerland. This article is an open access article distributed under the terms and conditions of the Creative Commons Attribution (CC BY) license (https://creativecommons.org/licenses/by/4.0/).
Share and Cite
Wu, K.; Lan, J.; Lu, S.; Wu, C.; Liu, B.; Lu, Z. Integrative Path Planning for Multi-Rotor Logistics UAVs Considering UAV Dynamics, Energy Efficiency, and Obstacle Avoidance. Drones 2025, 9, 93. https://doi.org/10.3390/drones9020093
Wu K, Lan J, Lu S, Wu C, Liu B, Lu Z. Integrative Path Planning for Multi-Rotor Logistics UAVs Considering UAV Dynamics, Energy Efficiency, and Obstacle Avoidance. Drones. 2025; 9(2):93. https://doi.org/10.3390/drones9020093
Chicago/Turabian StyleWu, Kunpeng, Juncong Lan, Shaofeng Lu, Chaoxian Wu, Bingjian Liu, and Zenghao Lu. 2025. "Integrative Path Planning for Multi-Rotor Logistics UAVs Considering UAV Dynamics, Energy Efficiency, and Obstacle Avoidance" Drones 9, no. 2: 93. https://doi.org/10.3390/drones9020093
APA StyleWu, K., Lan, J., Lu, S., Wu, C., Liu, B., & Lu, Z. (2025). Integrative Path Planning for Multi-Rotor Logistics UAVs Considering UAV Dynamics, Energy Efficiency, and Obstacle Avoidance. Drones, 9(2), 93. https://doi.org/10.3390/drones9020093

