A Butterfly Algorithm That Combines Chaos Mapping and Fused Particle Swarm Optimization for UAV Path Planning
Abstract
1. Introduction
- (1)
- By using disorderly mapping to start the butterfly group, the variety of the butterfly group is strengthened.
- (2)
- Combining the butterfly rule with the PSO rule leverages the qualities of the PSO rule to accelerate the convergence pace of the butterfly rule.
- (3)
- Integrating active search strategies modifies the equilibrium between global exploration and local exploitation in the BOA, thus enhancing the algorithm’s search capacity.
- (4)
- Implementing a population restart mechanism involves removing inferior individuals from the population and replacing them with newly generated individuals.
2. Algorithm Description
2.1. Basic Butterfly Optimization Algorithm
| Algorithm 1 Butterfly Optimization Algorithm | |
| 1: | Generation initial population of Butterfly |
| 2: | Define sensor modality , power exponent and switch probability |
| 3: | For t = 1:the max iterations do |
| 4: | For each butterfly do |
| 5: | Calculate fragrance for using Equation (1) |
| 6: | End for |
| 7: | Find the best |
| 8: | For each butterfly do |
| 9: | Generate a random number from [0, 1] |
| 10: | If then |
| 11: | Move towards the best butterfly/solution using Equation (2) |
| 12: | else |
| 13: | Move randomly using Equation (3) |
| 14: | End if |
| 15: | End for |
| 16: | Update the value of |
| 17: | End for |
| 18: | Output the best solution found |
2.2. Particle Swarm Optimization
2.3. Improving the Butterfly Algorithm
2.3.1. Chaos Mapping for Initializing the Butterfly Population
2.3.2. Hybrid BOA with PSO
2.3.3. Population Restart
2.3.4. Dynamic Search Strategy
2.3.5. Improved Butterfly Optimization Algorithm
| Algorithm 2 Improved Butterfly Optimisation Algorithm | |
| 1: | Butterfly population initialized using ICMIC chaotic mapping |
| 2: | Initialize parameters , , , |
| 3: | Define sensor modality and power exponent |
| 4: | Calculate fitness for each butterfly and find the global best fitness |
| 5: | For t = 1:the max iterations do |
| 6: | For each butterfly do |
| 7: | Calculate fragrance using Equation (1) |
| 8: | Calculate the fitness of the current butterfly |
| 9: | Calculate the switching probability using Equation (13) |
| 10: | Calculate using Equation (6) |
| 11: | If then |
| 12: | Move towards the best butterfly using Equation (10) |
| 13: | else |
| 14: | Move randomly using Equation (11) |
| 15: | End if |
| 16: | Calculate the fitness of the current butterfly |
| 17: | End for |
| 18: | Find the best fitness |
| 19: | For each butterfly do |
| 20: | Update the velocity using Equation (8) |
| 21: | If the global best fitness < fitness of the butterfly after search then |
| 22: | Update the position of the butterfly using Equation (9) |
| 23: | End if |
| 24: | Perform collision detection and update the position of irrational butterflies |
| 25: | Calculate the fitness of each butterfly, update the best fitness and best position |
| 26: | End for |
| 27: | If then |
| 28: | Restart inferior butterfly individuals using Equation (12) |
| 29: | End if |
| 30: | Update the perceptual modality |
| 31: | End for |
| 32: | Return the best solution |
3. Experiment and Result Analysis
3.1. CEC2020 Experiments
3.2. Dynamic Search Strategy Experiment
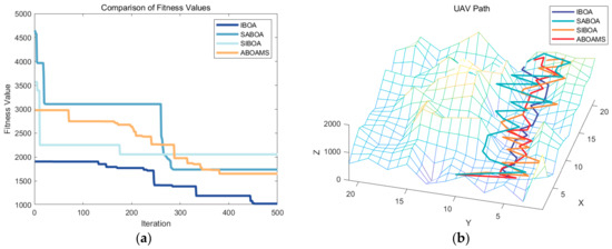
3.3. Path Planning Experiment
3.4. Time Complexity
4. Conclusions
Author Contributions
Funding
Data Availability Statement
Conflicts of Interest
References
- Li, J.; Xiong, X.; Yang, Y. A Method of UAV Navigation Planning Based on ROS and Improved A-star Algorithm. In Proceedings of the 2023 CAA Symposium on Fault Detection, Supervision and Safety for Technical Processes (SAFEPROCESS), Yibin, China, 22–24 September 2023; IEEE: New York, NY, USA, 2023; pp. 1–5. [Google Scholar]
- Hu, J.; Xie, K. Path Planning Algorithm for UAV Based on Smooth Rapidly Exploring Random Tree. In Proceedings of the 2022 International Conference on Human Machine Interaction, Beijing, China, 6–8 May 2022; pp. 79–83. [Google Scholar]
- Qi, D.; Zhang, Z.; Zhang, Q. Path planning of multirotor UAV based on the improved ant colony algorithm. J. Robot. 2022, 2022, 2168964. [Google Scholar] [CrossRef]
- Li, H.; Lv, T.; Shui, Y.; Zhang, J.; Zhang, H.; Zhao, H.; Ma, S. An Improved grey wolf optimizer with weighting functions and its application to Unmanned Aerial Vehicles path planning. Comput. Electr. Eng. 2023, 111, 108893. [Google Scholar] [CrossRef]
- Hao, G.; Lv, Q.; Huang, Z.; Zhao, H.; Chen, W. UAV Path Planning Based on Improved Artificial Potential Field Method. Aerospace 2023, 10, 562. [Google Scholar] [CrossRef]
- Liu, H. A novel path planning method for aerial UAV based on improved genetic algorithm. In Proceedings of the 2023 Third International Conference on Artificial Intelligence and Smart Energy (ICAIS), Coimbatore, India, 2–4 February 2023; IEEE: New York, NY, USA, 2023; pp. 1126–1130. [Google Scholar]
- Zhang, C.; Zhou, W.; Qin, W.; Tang, W. A novel UAV path planning approach: Heuristic crossing search and rescue optimization algorithm. Expert Syst. Appl. 2023, 215, 119243. [Google Scholar] [CrossRef]
- He, Y.; Wang, M. An improved chaos sparrow search algorithm for UAV path planning. Sci. Rep. 2024, 14, 366. [Google Scholar] [CrossRef]
- Yu, X.; Jiang, N.; Wang, X.; Li, M. A hybrid algorithm based on grey wolf optimizer and differential evolution for UAV path planning. Expert Syst. Appl. 2023, 215, 119327. [Google Scholar] [CrossRef]
- Chen, B.; Yang, J.; Zhang, H.; Yang, M. An improved spherical vector and truncated mean stabilization based bat algorithm for uav path planning. IEEE Access 2023, 11, 2396–2409. [Google Scholar] [CrossRef]
- Sonny, A.; Yeduri, S.R.; Cenkeramaddi, L.R. Autonomous UAV path planning using modified PSO for UAV-assisted wireless networks. IEEE Access 2023, 11, 70353–70367. [Google Scholar] [CrossRef]
- Meng, K.; Chen, C.; Wu, T.; Xin, B.; Liang, M.; Deng, F. Evolutionary State Estimation-Based Multi-Strategy Jellyfish Search Algorithm for Multi-UAV Cooperative Path Planning. IEEE Trans. Intell. Veh. 2024. early access. [Google Scholar] [CrossRef]
- Jiao, K.; Chen, J.; Xin, B.; Li, L.; Zheng, Y.; Zhao, Z. Three-dimensional path planning with enhanced gravitational search algorithm for unmanned aerial vehicle. Robotica 2024, 42, 2453–2487. [Google Scholar] [CrossRef]
- Cheng, Y.; Li, D.; Wong, W.E.; Zhao, M.; Mo, D. Multi-UAV collaborative path planning using hierarchical reinforcement learning and simulated annealing. Int. J. Perform. Eng. 2022, 18, 463. [Google Scholar]
- Shi, H.; Zhao, Z.; Chen, J.; Zhou, M.; Liu, Y. Enhancing UAV Path Planning in Multi-Agent Reinforcement Learning through Adaptive Dimensionality Reduction. Preprints 2024. [Google Scholar] [CrossRef]
- Xi, M.; Dai, H.; He, J.; Li, W.; Wen, J.; Xiao, S.; Yang, J. A lightweight reinforcement learning-based real-time path planning method for unmanned aerial vehicles. IEEE Internet Things J. 2024, 11, 21061–21071. [Google Scholar] [CrossRef]
- Luo, X.; Wang, Q.; Gong, H.; Tang, C. UAV path planning based on the average TD3 algorithm with prioritized experience replay. IEEE Access 2024, 12, 38017–38029. [Google Scholar] [CrossRef]
- Arora, S.; Singh, S. Butterfly optimization algorithm: A novel approach for global optimization. Soft Comput. 2019, 23, 715–734. [Google Scholar] [CrossRef]
- Sharma, S.; Chakraborty, S.; Saha, A.K.; Nama, S.; Sahoo, S.K. mLBOA: A modified butterfly optimization algorithm with lagrange interpolation for global optimization. J. Bionic Eng. 2022, 19, 1161–1176. [Google Scholar] [CrossRef]
- Sharma, S.; Saha, A.K.; Roy, S.; Mirjalili, S.; Nama, S. A mixed sine cosine butterfly optimization algorithm for global optimization and its application. Clust. Comput. 2022, 25, 4573–4600. [Google Scholar] [CrossRef]
- Li, Y.; Yu, X.; Liu, J. An opposition-based butterfly optimization algorithm with adaptive elite mutation in solving complex high-dimensional optimization problems. Math. Comput. Simul. 2023, 204, 498–528. [Google Scholar] [CrossRef]
- Sharma, S.; Saha, A.K.; Majumder, A.; Nama, S. MPBOA-A novel hybrid butterfly optimization algorithm with symbiosis organisms search for global optimization and image segmentation. Multimed. Tools Appl. 2021, 80, 12035–12076. [Google Scholar] [CrossRef]
- Arora, S.; Singh, S. An improved butterfly optimization algorithm with chaos. J. Intell. Fuzzy Syst. 2017, 32, 1079–1088. [Google Scholar] [CrossRef]
- Guo, Y.; Liu, X.; Chen, L. Improved butterfly optimisation algorithm based on guiding weight and population restart. J. Exp. Theor. Artif. Intell. 2021, 33, 127–145. [Google Scholar] [CrossRef]
- Gao, W.X.; Liu, S.; Xiao, Z.Y.; Yu, J.F. Butterfly optimization algorithm based on Cauchy variation and adaptive weight. Comput. Eng. Appl. 2020, 56, 43–50. [Google Scholar]
- Kennedy, J.; Eberhart, R. Particle Swarm Optimization. In Proceedings of the IEEE International Conference on Neural Networks, Perth, Australia, 27 November–1 December 1995. [Google Scholar]
- Wang, Y.R.; Zhang, D.M. Butterfly optimization algorithm combining sine cosine and iterative chaotic map with infinite collapses. Pattern Recognit. Artif. Intell. 2020, 33, 660–669. [Google Scholar]
- Fan, Y.; Shao, J.; Sun, G.; Shao, X. A self-adaption butterfly optimization algorithm for numerical optimization problems. IEEE Access 2020, 8, 88026–88041. [Google Scholar] [CrossRef]
- Liu, K.; Dai, Y. Adaptive butterfly optimization algorithm based on mutation strategies. Appl. Res. Comput./Jisuanji Yingyong Yanjiu 2022, 39. [Google Scholar] [CrossRef]










| No. | Functions | |
|---|---|---|
| Unimodal Function | 1 | Shifted and Rotated Bent Cigar Function |
| Basic Functions | 2 3 | Shifted and Rotated Schwefel’s Function Shifted and Rotated Lunacek bi-Rastrigin Function |
| 4 | Expanded Rosenbrock’s plus Griewangk’s Function | |
| Hybrid Functions | 5 6 | Hybrid Function 1 Hybrid Function 2 |
| 7 | Hybrid Function 3 | |
| Composition Functions | 8 9 | Composition Function 1 Composition Function 2 |
| 10 | Composition Function 3 |
| Functions | ABOAMS | BOA | SABOA | SGGTSO | SIBOA | GWO | PSO | IBOA | |
|---|---|---|---|---|---|---|---|---|---|
| Min | 3.02 × 1010 | 2.89 × 1010 | 3.87 × 1010 | 4.66 × 109 | 3.36 × 109 | 3.81 × 104 | 1.05 × 102 | 3.94 × 107 | |
| F1 | Max | 6.86 × 1010 | 4.44 × 1010 | 5.11 × 1010 | 1.91 × 1010 | 1.79 × 1010 | 2.36 × 109 | 5.57 × 109 | 9.89 × 108 |
| Avg | 4.21 × 1010 | 3.61 × 1010 | 4.97 × 1010 | 1.20 × 1010 | 1.04 × 1010 | 3.03 × 108 | 9.16 × 108 | 1.69 × 108 | |
| Min | 6.21 × 103 | 5.34 × 103 | 5.30 × 103 | 3.01 × 103 | 4.79 × 103 | 1.60 × 103 | 1.38 × 103 | 2.31 × 103 | |
| F2 | Max | 7.34 × 103 | 7.39 × 103 | 7.62 × 103 | 5.12 × 103 | 5.93 × 103 | 4.53 × 103 | 2.59 × 103 | 4.78 × 103 |
| Avg | 6.86 × 103 | 6.73 × 103 | 6.92 × 103 | 4.07 × 103 | 5.35 × 103 | 2.63 × 103 | 1.98 × 103 | 3.35 × 103 | |
| Min | 1.03 × 103 | 1.14 × 103 | 1.17 × 103 | 9.11 × 102 | 9.36 × 102 | 7.47 × 102 | 7.28 × 102 | 7.79 × 102 | |
| F3 | Max | 2.45 × 103 | 1.65 × 103 | 1.20 × 103 | 1.06 × 103 | 1.05 × 103 | 8.25 × 102 | 7.64 × 102 | 9.18 × 102 |
| Avg | 1.24 × 103 | 1.38 × 103 | 1.19 × 103 | 9.87 × 102 | 9.97 × 102 | 7.76 × 102 | 7.45 × 102 | 8.32 × 102 | |
| Min | 3.17 × 105 | 2.91 × 105 | 5.48 × 105 | 3.66 × 103 | 2.97 × 103 | 1.90 × 103 | 1.90 × 103 | 1.90 × 103 | |
| F4 | Max | 1.52 × 107 | 3.86 × 106 | 2.67 × 107 | 2.73 × 105 | 2.54 × 105 | 2.41 × 103 | 1.27 × 104 | 1.99 × 103 |
| Avg | 3.36 × 106 | 1.85 × 106 | 8.85 × 106 | 5.75 × 104 | 3.68 × 104 | 1.95 × 103 | 2.28 × 103 | 1.93 × 103 | |
| Min | 8.52 × 106 | 2.30 × 106 | 1.66 × 107 | 1.24 × 105 | 2.16 × 105 | 4.00 × 104 | 1.44 × 104 | 3.07 × 104 | |
| F5 | Max | 1.53 × 108 | 2.70 × 107 | 5.57 × 107 | 1.09 × 107 | 5.91 × 106 | 2.27 × 106 | 5.25 × 105 | 4.38 × 105 |
| Avg | 4.18 × 107 | 1.28 × 107 | 4.96 × 107 | 2.48 × 106 | 1.46 × 106 | 6.41 × 105 | 1.91 × 105 | 1.52 × 105 | |
| Min | 3.30 × 103 | 3.48 × 103 | 3.72 × 103 | 2.20 × 103 | 2.54 × 103 | 1.64 × 103 | 1.66 × 103 | 1.79 × 103 | |
| F6 | Max | 5.30 × 103 | 5.55 × 103 | 6.38 × 103 | 3.23 × 103 | 3.26 × 103 | 2.29 × 103 | 2.07 × 103 | 2.59 × 103 |
| Avg | 4.41× 103 | 4.39 × 103 | 4.61 × 103 | 2.70 × 103 | 2.87 × 103 | 1.88 × 103 | 1.86 × 103 | 2.21 × 103 | |
| Min | 7.09 × 106 | 2.03 × 106 | 5.82 × 106 | 4.42 × 104 | 7.91 × 104 | 7.38 × 103 | 3.10 × 103 | 1.42 × 104 | |
| F7 | Max | 1.04 × 108 | 3.94 × 107 | 2.09 × 108 | 5.72 × 106 | 2.43 × 106 | 8.93 × 105 | 1.34 × 106 | 2.05 × 105 |
| Avg | 3.84 × 107 | 1.45 × 107 | 6.72 × 107 | 9.59 × 105 | 5.13 × 105 | 2.02 × 105 | 1.49 × 105 | 6.16 × 104 | |
| Min | 6.13 × 103 | 6.04 × 103 | 6.64 × 103 | 2.82 × 103 | 2.90 × 103 | 2.26 × 103 | 2.30 × 103 | 2.33 × 103 | |
| F8 | Max | 8.93 × 103 | 8.73 × 103 | 9.69 × 103 | 6.18 × 103 | 4.68 × 103 | 6.63 × 103 | 4.90 × 103 | 2.42 × 103 |
| Avg | 7.36 × 103 | 7.66 × 103 | 8.39 × 103 | 3.85 × 103 | 3.38 × 103 | 3.26 × 103 | 2.96 × 103 | 2.36 × 103 | |
| Min | 3.21 × 103 | 3.50 × 103 | 3.42 × 103 | 3.04 × 103 | 3.05 × 103 | 2.81 × 103 | 2.84 × 103 | 2.56 × 103 | |
| F9 | Max | 4.18 × 103 | 4.16 × 103 | 4.27 × 103 | 3.36 × 103 | 3.21 × 103 | 2.93 × 103 | 3.03 × 103 | 3.11 × 103 |
| Avg | 3.71 × 103 | 3.79 × 103 | 3.73 × 103 | 3.15 × 103 | 3.13 × 103 | 2.86 × 103 | 2.91 × 103 | 2.96 × 103 | |
| Min | 4.82 × 103 | 5.78 × 103 | 9.38 × 103 | 3.20 × 103 | 3.24 × 103 | 2.91 × 103 | 2.91 × 103 | 2.81 × 103 | |
| F10 | Max | 1.60 × 104 | 1.01 × 104 | 1.14 × 104 | 4.54 × 103 | 4.14 × 103 | 3.05 × 103 | 3.05 × 103 | 2.97 × 103 |
| Avg | 8.80 × 103 | 7.50 × 103 | 1.11 × 104 | 3.75 × 103 | 3.60 × 103 | 2.98 × 103 | 2.93 × 103 | 2.89 × 103 |
| ABOAMS | BOA | SABOA | SGGTSO | SIBOA | GWO | PSO | IBOA |
|---|---|---|---|---|---|---|---|
| 6.57 s | 6.34 s | 6.78 s | 1.34 s | 6.48 s | 1.44 s | 6.4 s | 6.48 s |
Disclaimer/Publisher’s Note: The statements, opinions and data contained in all publications are solely those of the individual author(s) and contributor(s) and not of MDPI and/or the editor(s). MDPI and/or the editor(s) disclaim responsibility for any injury to people or property resulting from any ideas, methods, instructions or products referred to in the content. |
© 2024 by the authors. Licensee MDPI, Basel, Switzerland. This article is an open access article distributed under the terms and conditions of the Creative Commons Attribution (CC BY) license (https://creativecommons.org/licenses/by/4.0/).
Share and Cite
Wang, L.; Zhang, X.; Zheng, H.; Wang, C.; Gao, Q.; Zhang, T.; Li, Z.; Shao, J. A Butterfly Algorithm That Combines Chaos Mapping and Fused Particle Swarm Optimization for UAV Path Planning. Drones 2024, 8, 576. https://doi.org/10.3390/drones8100576
Wang L, Zhang X, Zheng H, Wang C, Gao Q, Zhang T, Li Z, Shao J. A Butterfly Algorithm That Combines Chaos Mapping and Fused Particle Swarm Optimization for UAV Path Planning. Drones. 2024; 8(10):576. https://doi.org/10.3390/drones8100576
Chicago/Turabian StyleWang, Linlin, Xin Zhang, Huilong Zheng, Chuanyun Wang, Qian Gao, Tong Zhang, Zhongyi Li, and Jing Shao. 2024. "A Butterfly Algorithm That Combines Chaos Mapping and Fused Particle Swarm Optimization for UAV Path Planning" Drones 8, no. 10: 576. https://doi.org/10.3390/drones8100576
APA StyleWang, L., Zhang, X., Zheng, H., Wang, C., Gao, Q., Zhang, T., Li, Z., & Shao, J. (2024). A Butterfly Algorithm That Combines Chaos Mapping and Fused Particle Swarm Optimization for UAV Path Planning. Drones, 8(10), 576. https://doi.org/10.3390/drones8100576

