Prevalence of the Burden of Diseases Causing Visual Impairment and Blindness in South Africa in the Period 2010–2020: A Systematic Scoping Review and Meta-Analysis
Abstract
1. Introduction
2. Methodology
2.1. Search Strategy and Identification of Relevant Studies
- Studies on human subjects across all ages
- Studies on eye diseases, ocular conditions, refractive error, and visual impairment
- Primary studies, published in English
- Studies published in the period 2010 to 2020
- Studies conducted within South Africa
- Reviews and other studies that were not primary
- Studies on animals
- Incomplete studies
- Studies that did not quantify VI and Blindness prevalence
2.2. Quality Appraisal
2.3. Data Analysis
3. Results
3.1. Characteristics of the Eligible Studies
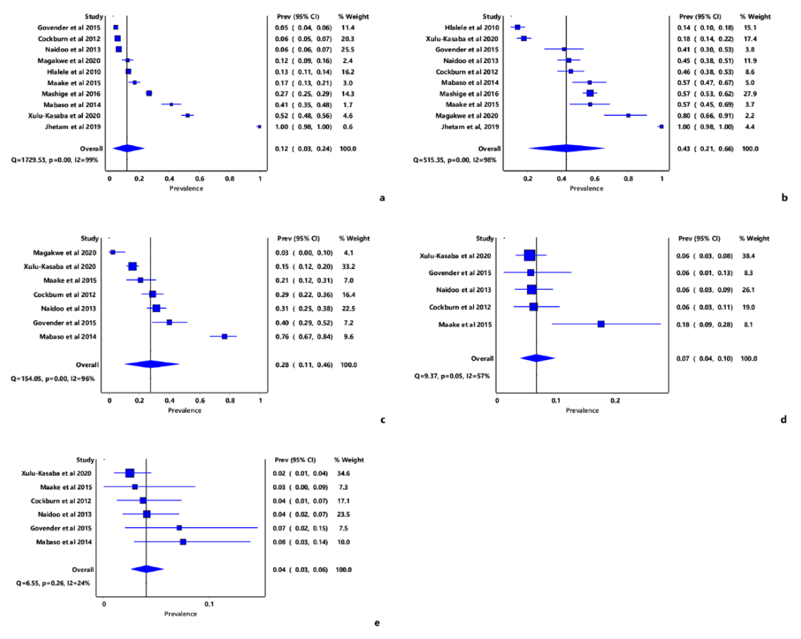
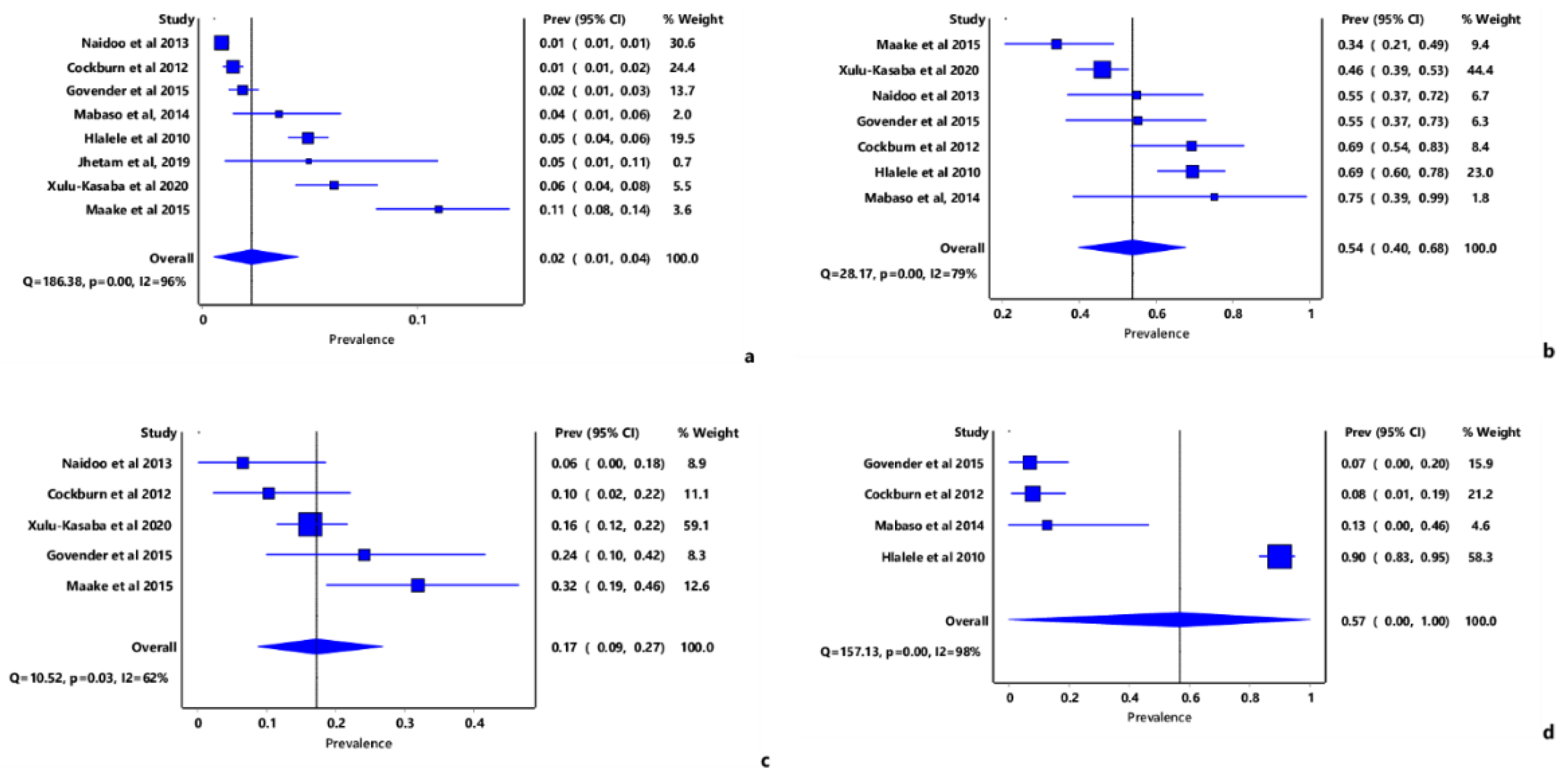
3.2. Pooling Prevalence Estimates and Heterogeneity Analyses
4. Discussion
Limitations and Areas for Future Research
5. Conclusions
Supplementary Materials
Author Contributions
Funding
Data Availability Statement
Acknowledgments
Conflicts of Interest
Ethical Approval and Consent to Participate
References
- Bourne, R.R.A.; Flaxman, S.R.; Braithwaite, T.; Cicinelli, M.V.; Das, A.; Jonas, J.B.; Keeffe, J.; Kempen, J.H.; Leasher, J.; Limburg, H.; et al. Magnitude, temporal trends, and projections of the global prevalence of blindness and distance and near vision impairment: A systematic review and meta-analysis. Lancet Glob. Health 2017, 5, e888–e897. [Google Scholar] [CrossRef]
- World Health Organisation. Universal Eye Health: A Global Action Plan 2014–2019; World Health Organisation: Geneva, Switzerland, 2013. [Google Scholar]
- Naidoo, K. Poverty and blindness in Africa. Clin. Exp. Optom. 2007, 90, 415–421. [Google Scholar] [CrossRef] [PubMed]
- Bhutta, Z.A.; Salam, R.A.; Das, J.K.; Lassi, Z.S. Tackling the existing burden of infectious diseases in the developing world: Existing gaps and the way forward. Infect. Dis. Poverty 2014, 3, 28. [Google Scholar] [CrossRef] [PubMed]
- WHO & World Bank. World Report on Disability. 2011. Available online: https://www.who.int/disabilities/world_report/2011/report.pdf (accessed on 31 October 2020).
- Eckert, K.A.; Carter, M.J.; Lansingh, V.C.; Wilson, D.A.; Furtado, J.M.; Frick, K.D.; Resnikoff, S. A Simple Method for Estimating the Economic Cost of Productivity Loss Due to Blindness and Moderate to Severe Visual Impairment. Ophthalmic Epidemiol. 2015, 22, 349–355. [Google Scholar] [CrossRef]
- World Health Organisation. Blindness and Vision Impairment; World Health Organisation: Geneva, Switzerland, 2021; Available online: http://www.who.int/en/news-room/fact-sheets/detail/blindness-and-visual-impairment (accessed on 12 November 2021).
- Statistics South Africa. World Population Day: How Does SA Compare? 2019. Available online: http://www.statssa.gov.za/?p=12324 (accessed on 19 December 2021).
- IAPB. Eye Health Can No Longer Be Overlooked in Universal Health Coverage. 2019. Available online: https://www.iapb.org/news/eye-health-can-no-longer-be-overlooked-in-universal-health-coverage/ (accessed on 22 August 2020).
- The World Bank. World Bank Country and Lending Groups. Available online: https://datahelpdesk.worldbank.org/knowledgebase/articles/906519 (accessed on 28 September 2019).
- African Development Bank Group. Southern Africa Economic Outlook 2019; African Development Bank Group: Abidjan, Ivory Coast, 2019. [Google Scholar]
- Scott, K. South Africa Is the World’s Most Unequal Country. 25 Years of Freedom Have Failed to Bridge the Divide. 2019. Available online: https://edition.cnn.com/2019/05/07/africa/south-africa-elections-inequality-intl/index.html#:~:text=The%20gap%20between%20rich%20and,exist%2C%20the%20World%20Bank%20found.&text=Poverty%20levels%20are%20highest%20among,race%20people%20in%20the%20country (accessed on 31 October 2020).
- Naidoo, K.S.; Jaggernath, J.; Ramson, P.; Chinanayi, F.; Zhuwau, T.; Øverland, L. The prevalence of self-reported vision difficulty in economically disadvantaged regions of South Africa. Afr. J. Disabil. 2015, 4, 136. [Google Scholar] [CrossRef][Green Version]
- Global Giving Foundation. Sustainable Development Goals. 2015. Available online: https://www.globalgiving.org/sdg/?rf=ggad_15&gclid=CjwKCAjw64bPBRApEiwAJhG-fgI7eMf50BiPr0FEZntrBFOgmtzR1NXnXRvRX66J7oIaczXQnf1SpRoCHB0QAvD_BwE (accessed on 10 October 2017).
- Joanna Briggs Institute. The Joanna Briggs Institute Reviewers’ Manual 2015 Methodology for JBI Scoping Reviews; The Johanna Briggs Institute: Adelaide, Australia, 2015. [Google Scholar]
- Anderson, S.; Allen, P.; Peckham, S.; Goodwin, N. Asking the right questions: Scoping studies in the commissioning of research on the organisation and delivery of health services. BioMed Cent. Health Res. Policy Syst. 2008, 6, 7. [Google Scholar] [CrossRef]
- Liberati, A.; Altman, D.G.; Tetzlaff, J.; Mulrow, C.; Gøtzsche, P.C.; Ioannidis, J.P.A.; Clarke, M.; Devereaux, P.J.; Kleijnen, J.; Moher, D. The PRISMA Statement for Reporting Systematic Reviews and Meta-Analyses of Studies That Evaluate Health Care Interventions: Explanation and Elaboration. PLoS Med. 2009, 62, e1–e34. [Google Scholar] [CrossRef]
- Arksey, H.; O’Malley, L. Scoping studies: Towards a methodological framework. Int. J. Soc. Res. Methodol. 2005, 8, 19–32. [Google Scholar] [CrossRef]
- Levac, D.; Colquhoun, H.; O’Brien, K.K. Scoping studies: Advancing the methodology. Implement. Sci. 2010, 5, 69. [Google Scholar] [CrossRef]
- Hong, Q.N.; Fàbregues, S.; Bartlett, G.; Boardman, F.; Cargo, M.; Dagenais, P.; Gagnon, M.P.; Griffiths, F.; Nicolau, B.; O’Cathain, A.; et al. Mixed Methods Appraisal Tool (MMAT) Version 2018. In Education for Information; IOS Press: Amsterdam, The Netherlands, 2018; Volume 34, pp. 285–291. [Google Scholar]
- Hlalele, M.M.; Shamanna, B.M. Rapid Assessment of Avoidable Blindness in South Africa (North West Province). 2012. Available online: http://raabdata.info/repository/ (accessed on 23 July 2020).
- Luye, P.; Robert, E.; Cargo, M.; Bartlett, G.; O’Cathain, A.; Griffiths, F.; Boardman, F.; Gagnon, M.P.; Rousseau, M.C. Mixed Method Appraisal Tool. 2011. Available online: http://mixedmethodsappraisaltoolpublic.pbworks.com/w/file/fetch/84371689/MMAT%202011%20criteria%20and%20tutorial%202011-06-29updated2014.08.21.pdf (accessed on 23 July 2020).
- Doi, S.A.; Barendregt, J.J.; Khan, S.; Thalib, L.; Williams, G. Advances in the Meta-analysis of heterogeneous clinical trials I: The inverse variance heterogeneity model. Contemp. Clin. Trials. 2015, 45, 130–138 doiorg/101016/jcct201505009. [Google Scholar] [CrossRef]
- Barendregt, J.; Doi, S. MetaXL User Guide Version 5.3; EpiGear International Pty Ltd.: Sunrise Beach, Australia, 2016. [Google Scholar]
- Govender, P.; Ramson, P.; Visser, L. Rapid assessment of avoidable blindness in the northern eThekwini district of KwaZulu-Natal Province, South Africa. Afr. Vis. Eye Health 2015, 74, 1–7. [Google Scholar] [CrossRef]
- Jhetam, S.; Mashige, K.P. Ocular findings and vision status of learners with oculocutaneous albinism. Afr. Vis. Eye Health 2019, 78, 1–6. [Google Scholar] [CrossRef]
- Mashige, K.P.; Jaggernath, J.; Ramson, P.; Martin, C.; Chinanayi, F.S.; Naidoo, K.S. Prevalence of refractive errors in the INK area, Durban, South Africa. Optom. Vis. Sci. 2016, 93, 243–250. [Google Scholar] [CrossRef] [PubMed]
- Naidoo, K.; Sweeney, D.F.; Jaggernath, J.; Holden, B.A. A population-based study of visual impairment in the Lower Tugela health district in KZN, SA. Afr. Vis. Eye Health 2013, 72, 110–118. [Google Scholar] [CrossRef]
- Xulu-Kasaba, Z.N.; Mashige, K.P.; Mthembu, M.G.; Mazibuko, N.S.; Mabunda, N.A.; Randeree, A.S.; Parsad, A. A profile of patients presenting at a low vision clinic in a resource-limited setting. Afr. Vis. Eye Health 2020, 79, 1–7. [Google Scholar] [CrossRef]
- Cockburn, N.; Steven, D.; Lecuona, K.; Joubert, F.; Rogers, G.; Cook, C.; Polack, S. Prevalence, causes and socio-economic determinants of vision loss in Cape Town, South Africa. PLoS ONE 2012, 7, e30718. [Google Scholar] [CrossRef]
- Maake, M.M.; Oduntan, O.A. Prevalence and causes of visual impairment in patients seen at Nkhensani Hospital Eye Clinic, South Africa. Afr. J. Prim. Health Care Fam. Med. 2015, 7, 728. [Google Scholar] [CrossRef]
- Mabaso, R.G.; Oduntan, O.A. Risk factors for visual impairment and blindness amongst black adult diabetics receiving treatment at Government healthcare facilities in Mopani District, Limpopo province, South Africa. Afr. J. Prim. Health Care Fam. Med. 2014, 6, E1–E8. [Google Scholar] [CrossRef]
- Magakwe, T.S.S.; Xulu-Kasaba, Z.N.; Hansraj, R. Prevalence and distribution of visual impairment and refractive error amongst school-going children aged 6–18 years in Sekhukhune District (Limpopo, South Africa). Afr. Vis. Eye Health 2020, 79, 551. [Google Scholar] [CrossRef]
- Chadha, R.K.; Subramanian, A. The effect of visual impairment on quality of life of children aged 3–16 years. Br. J. Ophthalmol. 2011, 95, 642–645. [Google Scholar] [CrossRef]
- Gilbert, C.; Awan, H. Blindness in children. BMJ 2003, 327, 760–761. [Google Scholar] [CrossRef] [PubMed]
- Naipal, S.; Rampersad, N. Visual ability in adolescents with visual impairment. Br. J. Vis. Impair. 2019, 38, 151–159. [Google Scholar] [CrossRef]
- Wolffsohn, J.; Cochrane, A. Design of the Low Vision Quality-of-Life Questionnaire (LVQOL) and measuring the outcome of low-vision rehabilitation. Am. J. Ophthalmol. 2001, 130, 793–802. [Google Scholar] [CrossRef]
- Jones, N.; Bartlett, H. The impact of visual impairment on nutritional status: A systematic review. Br. J. Vis. Impair. 2018, 36, 17–30. [Google Scholar] [CrossRef]
- Morelle, M.; Tabane, R. Challenges experienced by learners with visual impairments in South African township mainstream primary schools. S. Afr. J. Educ. 2019, 39, 1–6. [Google Scholar] [CrossRef]
- Saw, S.-M.; Husain, R.; Gazzard, G.M.; Koh, D.; Widjaja, D.; Tan, D.T.H. Causes of low vision and blindness in rural Indonesia. Br. J. Ophthalmol. 2003, 87, 1075–1078. [Google Scholar] [CrossRef]
- United Nations. An Ageing World Poses New Challenges for Development Strategists. 2006. Available online: https://www.un.org/esa/socdev/media/articles/artapr07.html (accessed on 11 October 2020).
- Roser, M.; Ortiz-Ospina, E.; Ritchie, H. Life Expectancy. 2019. Available online: https://ourworldindata.org/life-expectancy (accessed on 14 November 2020).
- Sightsavers. Global Blindness Set to Triple by 2050. 2017. Available online: https://www.sightsavers.org/news/2017/08/global-blindness-triple-2050/ (accessed on 14 October 2017).
- World Health Organization. Global Data on Impairments 2010; WHO: Geneva, Switzerland, 2012; Available online: https://www.who.int/blindness/GLOBALDATAFINALforweb.pdf (accessed on 17 December 2021).
- Green, D.; Ducorroy, G.; McElnea, E.; Naughton, A.; Skelly, A.; O’Neill, C.; Kenny, D.; Keegan, D. The Cost of Blindness in the Republic of Ireland 2010–2020. J. Ophthalmol. 2016, 2016, 4691276. [Google Scholar] [CrossRef]
- Amador, M.; Torres, J. Visual Disability and Causes of Preventable Blindness. In Topics in Primary Care Medicine; IntechOpen: London, UK, 2019. [Google Scholar] [CrossRef]
- Ajaiyeoba, A.I.; Isawumi, M.A.; Adeoye, A.O.; Oluleye, T.S. Prevalence and causes of blindness and visual impairment among school children in south-western Nigeria. Int. Ophthalmol. 2005, 26, 121–125. [Google Scholar] [CrossRef]
- Singh, N.; Eeda, S.S.; Gudapati, B.K.; Reddy, S.; Kanade, P.; Shantha, G.P.S.; Rani, P.K.; Chakrabarti, S.; Khanna, R.C. Prevalence and Causes of Blindness and Visual Impairment and Their Associated Risk Factors, in Three Tribal Areas of Andhra Pradesh, India. PLoS ONE 2014, 9, e100644. [Google Scholar] [CrossRef]
- Ansah, D.O. Prevalence and Causes of Visual Impairment among Patients in Juaben Hospital Eye Clinic, Ghana. Mathews. J. Ophthalmol. 2017, 2, 1–5. [Google Scholar]
- World Health Organisation. World Report on Vision; World Health Organization: Geneva, Switzerland, 2019; Available online: https://www.who.int/news-room/detail/08-10-2019-who-launches-first-world-report-on-vision (accessed on 3 September 2020).
- Xulu-Kasaba, Z.; Kalinda, C. Prevalence of Blindness and its major causes in Sub-Saharan African in 2020: A systematic review and meta-analysis. Br. J. Vis. Impair. 2021. [Google Scholar] [CrossRef]
- Maberley, D.A.L.; Hollands, H.; Chuo, J.; Tam, G.; Konkal, J.; Roesch, M.; Veselinovic, A.; Witzigmann, M.; Bassett, K. The prevalence of low vision and blindness in Canada. Eye 2006, 20, 341–346. [Google Scholar] [CrossRef] [PubMed]
- Chong, C.; McGhee, C.N.J.; Dai, S.H. Causes of childhood low vision and blindness in New Zealand. Clin. Exp. Ophthalmol. 2019, 47, 165–170. [Google Scholar] [CrossRef] [PubMed]
- Statistics South Africa. Household Access to Services Stabilised 2019. 2019. Available online: http://www.statssa.gov.za/?p=12211 (accessed on 2 May 2021).
- World Health Organisation. Trachoma: World Health Organisation. 2020. Available online: https://www.who.int/news-room/fact-sheets/detail/trachoma (accessed on 27 August 2020).
- Lietman, T.; Fry, A. Can we eliminate trachoma? Br. J. Ophthalmol. 2001, 85, 385. [Google Scholar] [CrossRef] [PubMed][Green Version]
- Karimurio, J.; Ilako, D.R.; Adala, H.S.; Gichangi, M.; Kilima, P. Knowledge, practices and perceptions of trachoma and its control among communities of Narok County, Kenya. Trop. Dis. Travel Med. Vaccines 2016, 2, 13. [Google Scholar] [CrossRef]
- Malhotra, S.; Vashist, P.; Gupta, N.; Kalaivani, M.; Rath, R.; Gupta, S.K. Prevalence and causes of visual impairment among adults aged 15–49 years in a rural area of north India—A population-based study. Indian J. Ophthalmol. 2018, 66, 951–956. [Google Scholar] [CrossRef]
- Kaphle, D.; Gyawali, R.; Kandel, H.; Reading, A.; Msosa, J.M. Vision Impairment and Ocular Morbidity in a Refugee Population in Malawi. Optom. Vis. Sci. 2016, 93, 188–193. [Google Scholar] [CrossRef]
- Karimurio, J.; Gichangi, M.; Ilako, D.R.; Adala, H.S.; Kilma, P. Prevalence of trachoma in six districts of Kenya. East Afr. Med. J. 2006, 83, 63–68. [Google Scholar] [CrossRef][Green Version]
- World Health Organisation. Trachoma: World Health Organisation. 2022. Available online: https://www.who.int/news-room/fact-sheets/detail/trachoma (accessed on 10 January 2022).
- Gebre, T.; Kello, A.; Emerson, P. Current status of trachoma elimination in Africa. Int. J. Infect. Dis. 2020, 101, 383. [Google Scholar] [CrossRef]
- World Health Organisation. Sight Test and Glasses Could Dramatically Improve the Lives of 150 Million People with Poor Vision. 2006. Available online: https://www.who.int/mediacentre/news/releases/2006/pr55/en/ (accessed on 11 October 2020).
- Pascolini, D.; Mariotti, S.P. Global estimates of visual impairment: 2010. Br. J. Ophthalmol. 2012, 96, 614–618. [Google Scholar] [CrossRef]
- Mutati, G.; Mumbi, W.; Mboni, C.; Kayula, C.; Chisi, S.; Mwacalimba, F.; Nyalazi, J.; Mulenga, P.; Mashilipa, E.; Ndhlovu, J. Rapid Assesment of Avoidable Blindness In Munchinga Province, Zambia. Health Press Zamb. Bull. 2019, 3, 55–63. [Google Scholar]
- Lehasa, A. Rapid Assessment of Avoidable Blindness in Botswana. 2015. Available online: http://raabdata.info/repository (accessed on 12 February 2021).
- Valanculos, A.; Sanz, F.; Sardon, A.; Dias, F. Rapid Assessment of Avoidable Blindness (Inhambane). 2016. Available online: http://raabdata.info/repository (accessed on 12 February 2021).
- Nkurikiye, J.; Mathenge, W. Rapid Assessment of Avoidable Blindness (Rwanda). 2015. Available online: http://raabdata.info/repository (accessed on 12 February 2021).
- Lindfield, R.; Griffiths, U.; Bozzani, F.; Mumba, M.; Munsanje, J. A rapid assessment of avoidable blindness in Southern Zambia. PLoS ONE 2012, 7, e38483. [Google Scholar] [CrossRef] [PubMed]
- Lecuona, K.; Cook, C. South Africa’s cataract surgery rates: Why are we not meeting our targets? S. Afr. Med. J. Suid-Afrik. Tydskr. Vir Geneeskd. 2011, 101, 510–512. [Google Scholar]
- Aboobaker, S.; Courtright, P. Barriers to cataract surgery in Africa: A systematic review. Middle East Afr. J. Ophthalmol. 2016, 23, 145–149. [Google Scholar] [CrossRef] [PubMed]
- Mbambisa, A. Cataract surgery under pressure—SA Ophthalmological Society. Med. Brief. Afr. Med. Media Dig. 2020. Available online: https://www.medicalbrief.co.za/archives/cataract-surgery-under-pressure-sa-ophthalmological-society/ (accessed on 20 November 2020).
- World Health Organisation. Blindness and Vision Impairment. 2019. Available online: https://www.who.int/news-room/fact-sheets/detail/blindness-and-visual-impairment (accessed on 25 May 2020).
- Courtright, P.; Mathenge, W.; Kello, A.B.; Cook, C.; Kalua, K.; Lewallen, S. Setting targets for human resources for eye health in sub-Saharan Africa: What evidence should be used? Hum. Resour. Health 2016, 14, 11. [Google Scholar] [CrossRef] [PubMed]
- Faal, H.; Cook, C.; Thulasiraj, R. Managing Information in Eye Care Programmes: The Health Systems Perspective. Community Eye Health 2010, 23, 50–52. Available online: https://pubmed.ncbi.nlm.nih.gov/21311666 (accessed on 20 November 2020).
- International Centre for Eye Health. Cataract Surgical Rates. Community Eye Health Journal. 2017. Available online: https://cehjournal.org/useful-resources/ (accessed on 20 August 2020).
- Barron, P.; Asia, B. The district health system. S. Afr. Health Rev. 2001, 2001, 17–48. [Google Scholar]
- Ekpenyong, B. Ophthalmic Skills Assessment of Primary Health Care Workers at Primary Health Care Facilities in Rural Communities in Cross River State, Nigeria. J. Niger. Optom. Assoc. 2018, 20, 55–59. [Google Scholar]
- Khandekar, R.; Vora, U.; Deshmukh, R.; Al Harby, S. Knowledge of Primary Prevention of Diabetic Retinopathy among General Ophthalmologists, Mid Level Eye Care Personnel and General Physicians in Oman. Middle East Afr. J. Ophthalmol. 2011, 18, 204–208. [Google Scholar] [CrossRef]
- Fatima, I.; Ahmed, I. Knowledge, Attitude, Practice (KAP) study regarding optometric services among general practitioners in Lahore. Ophthalmol. Pak. 2018, 8, 14–17. Available online: https://www.ophthalmologypakistan.com/op/index.php/OP/article/view/238/138 (accessed on 26 September 2020).
- Bursell, S.-E.; Fonda, S.J.; Lewis, D.G.; Horton, M.B. Prevalence of diabetic retinopathy and diabetic macular edema in a primary care-based teleophthalmology program for American Indians and Alaskan Natives. PLoS ONE 2018, 13, e0198551. [Google Scholar] [CrossRef] [PubMed]
- Jani, P.D.; Forbes, L.; Choudhury, A.; Preisser, J.S.; Viera, A.J.; Garg, S. Evaluation of Diabetic Retinal Screening and Factors for Ophthalmology Referral in a Telemedicine Network. JAMA Ophthalmol. 2017, 135, 706–714. [Google Scholar] [CrossRef] [PubMed]
- Pareja-Ríos, A.; Bonaque-González, S.; Serrano-García, M.; Cabrera-López, F.; Abreu-Reyes, P.; Marrero-Saavedra, M. Tele-ophthalmology for diabetic retinopathy screening: 8 years of experience. Arch. Soc. Esp. Oftalmol. 2017, 92, 63–70. [Google Scholar] [CrossRef] [PubMed]
- Tuulonen, A.; Ohinmaa, T.; Alanko, H.I.; Hyytinen, P.; Juutinen, A.; Toppinen, E. The application of teleophthalmology in examining patients with glaucoma: A pilot study. J. Glaucoma 1999, 8, 367–373. [Google Scholar] [CrossRef]
- Sommer, A.C.; Blumenthal, E.Z. Telemedicine in ophthalmology in view of the emerging COVID-19 outbreak. Graefe’s Arch. Clin. 2020, 258, 2341–2352. [Google Scholar] [CrossRef]
- Statistics South Africa. Community Survey: Provinces at a Glance. Rep. No. 03-01-03; Statistics South Africa Community Survey: Retrieved 2 October 2017; 2016 Contract No.: 03-01-03; p. 7. Available online: http://www.statssa.gov.za/publications/03-01-06/03-01-062016.pdf (accessed on 2 October 2017).
- Westaway, A. Rural Poverty in the Eastern Cape Province: Legacy of Apartheid or Consequence of Contemporary Segregationism? Dev. South. Afr. 2012, 29, 115–125. [Google Scholar] [CrossRef]
- Statistics South Africa. Mid-Year Population Estimates; Statistics South Africa, 2016. Available online: https://www.statssa.gov.za/publications/P0302/P03022016.pdf (accessed on 30 August 2021).
- Xulu-Kasaba, Z.; Mashige, K.; Naidoo, K. An assessment of human resource distribution for public eye health services in KwaZulu-Natal, South Africa. Afr. Vis. Eye Health 2021, 80, 8. [Google Scholar] [CrossRef]



| Population | People with visual anomalies and ocular disease |
| Concept | Prevalence of disease The leading global causes of visual impairment and blindness were used to identify studies—uncorrected refractive errors (URE), cataract, macular degeneration, glaucoma, diabetic retinopathy, corneal opacity, and trachoma. |
| Context | South Africa in the period 2010–2020, as this was part of a larger study that explored prevalences of VI and blindness in Sub-Saharan Africa (SSA) in the same period. |
Publisher’s Note: MDPI stays neutral with regard to jurisdictional claims in published maps and institutional affiliations. |
© 2022 by the authors. Licensee MDPI, Basel, Switzerland. This article is an open access article distributed under the terms and conditions of the Creative Commons Attribution (CC BY) license (https://creativecommons.org/licenses/by/4.0/).
Share and Cite
Xulu-Kasaba, Z.N.; Kalinda, C. Prevalence of the Burden of Diseases Causing Visual Impairment and Blindness in South Africa in the Period 2010–2020: A Systematic Scoping Review and Meta-Analysis. Trop. Med. Infect. Dis. 2022, 7, 34. https://doi.org/10.3390/tropicalmed7020034
Xulu-Kasaba ZN, Kalinda C. Prevalence of the Burden of Diseases Causing Visual Impairment and Blindness in South Africa in the Period 2010–2020: A Systematic Scoping Review and Meta-Analysis. Tropical Medicine and Infectious Disease. 2022; 7(2):34. https://doi.org/10.3390/tropicalmed7020034
Chicago/Turabian StyleXulu-Kasaba, Zamadonda Nokuthula, and Chester Kalinda. 2022. "Prevalence of the Burden of Diseases Causing Visual Impairment and Blindness in South Africa in the Period 2010–2020: A Systematic Scoping Review and Meta-Analysis" Tropical Medicine and Infectious Disease 7, no. 2: 34. https://doi.org/10.3390/tropicalmed7020034
APA StyleXulu-Kasaba, Z. N., & Kalinda, C. (2022). Prevalence of the Burden of Diseases Causing Visual Impairment and Blindness in South Africa in the Period 2010–2020: A Systematic Scoping Review and Meta-Analysis. Tropical Medicine and Infectious Disease, 7(2), 34. https://doi.org/10.3390/tropicalmed7020034

