Automatic Distraction by Sexual Images: Gender Differences
Abstract
1. Introduction
1.1. Sexual Content Induced Delay (SCID)
1.2. Gender Differences and the Mechanisms of the SCID
1.3. Male vs. Female Images
1.4. Aims and Hypothesis of the Present Studies
2. Experiment 1
2.1. Methods
Participants
2.2. Materials
2.3. Procedure
2.4. Data Analysis
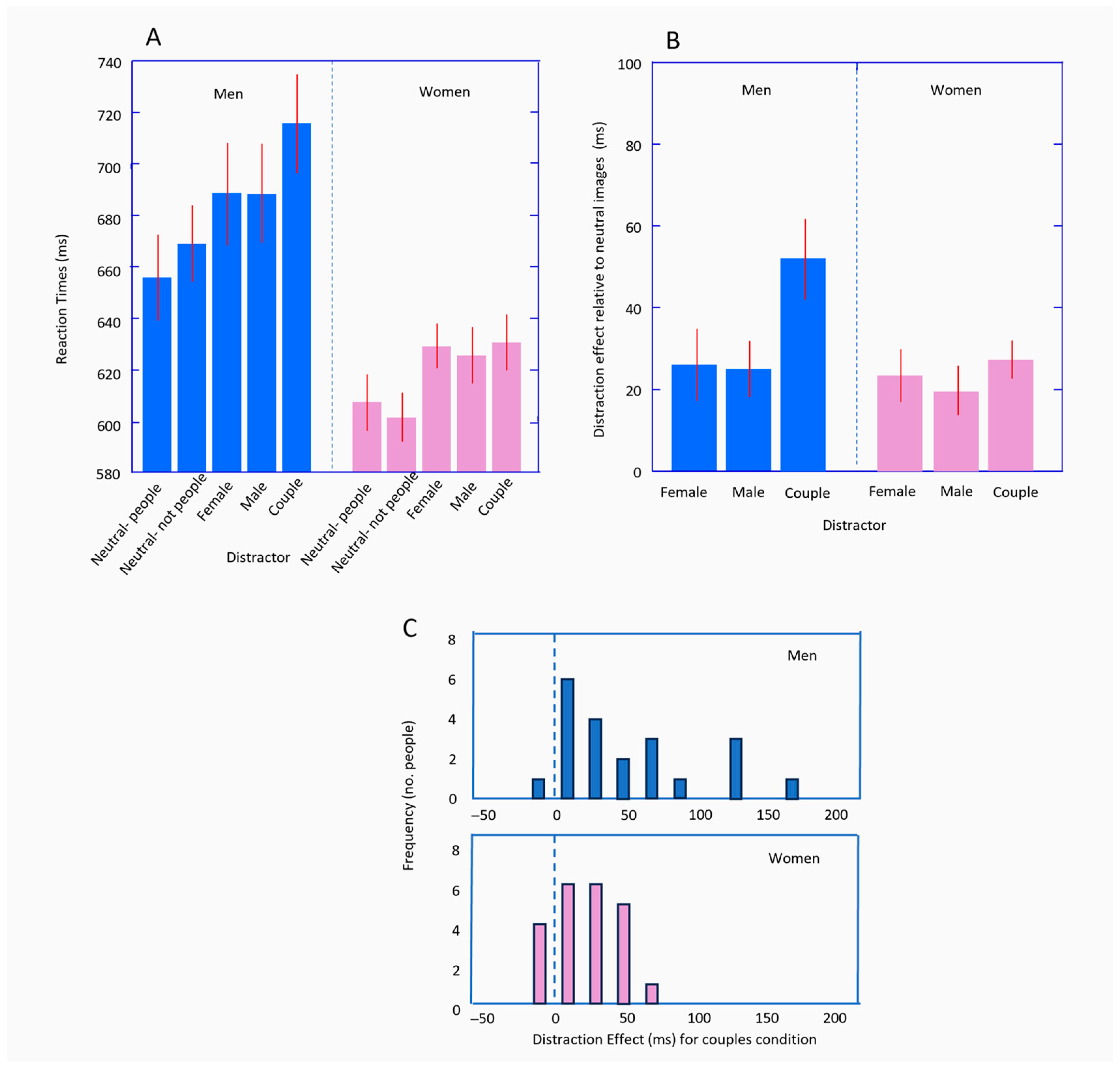
2.5. Results
2.6. Summary and Discussion
3. Experiment 2
3.1. Methods
3.2. Results
3.3. Summary and Discussion
4. General Discussion
4.1. Sexual Content Induced Delay
4.2. Female vs. Male Images
4.3. Nature of the Sexual Stimuli
4.4. Reliability and Clinical Use
4.5. Limitations and Future Directions
5. Conclusions
Author Contributions
Funding
Institutional Review Board Statement
Informed Consent Statement
Data Availability Statement
Conflicts of Interest
Appendix A
References
- Ohman, A.; Flykt, A.; Esteves, F. Emotion drives attention: Detecting the snake in the grass. J. Exp. Psychol.-Gen. 2001, 130, 466–478. [Google Scholar] [CrossRef] [PubMed]
- Lipp, O.V.; Derakshan, N. Attentional bias to pictures of fear-relevant animals in a dot probe task. Emotion 2005, 5, 365–369. [Google Scholar] [CrossRef] [PubMed]
- Erthal, F.S.; De Oliveira, L.; Mocaiber, I.; Pereira, M.G.; Machado-Pinheiro, W.; Volchan, E.; Pessoa, L. Load-dependent modulation of affective picture processing. Cogn. Affect. Behav. Neurosci. 2005, 5, 388–395. [Google Scholar] [CrossRef]
- Jordan, K.; Fromberger, P.; Von Herder, J.; Steinkrauss, H.; Nemetschek, R.; Witzel, J.; Müller, J.L. Impaired attentional control in pedophiles in a sexual distractor task. Front. Psychiatry 2016, 7, 193. [Google Scholar] [CrossRef]
- Rönspies, J.; Schmidt, A.F.; Melnikova, A.; Krumova, R.; Zolfagari, A.; Banse, R. Indirect Measurement of Sexual Orientation: Comparison of the Implicit Relational Assessment Procedure, Viewing Time, and Choice Reaction Time Tasks. Arch. Sex. Behav. 2015, 44, 1483–1492. [Google Scholar] [CrossRef]
- Santtila, P.; Mokros, A.; Viljanen, K.; Koivisto, M.; Sandnabba, N.K.; Zappala, A.; Osterheider, M. Assessment of sexual interest using a choice reaction time task and priming: A feasibility study. Leg. Criminol. Psychol. 2009, 14, 65–82. [Google Scholar] [CrossRef]
- Gress, C.L.Z.; Anderson, J.O.; Laws, D.R. Delays in attentional processing when viewing sexual imagery: The development and comparison of two measures. Leg. Criminol. Psychol. 2013, 18, 66–82. [Google Scholar] [CrossRef]
- Snowden, R.J.; Craig, R.L.; Gray, N.S. Indirect Behavioral Measures of Cognition among Sexual Offenders. J. Sex Res. 2011, 48, 192–217. [Google Scholar] [CrossRef]
- Mokros, A.; Dombert, B.; Osterheider, M.; Zappala, A.; Santtila, P. Assessment of pedophilic sexual interest with an attentional choice reaction time task. Arch. Sex. Behav. 2010, 39, 1081–1090. [Google Scholar] [CrossRef]
- Baumeister, R.F.; Catanese, K.R.; Vohs, K.D. Is there a gender difference in strength of sex drive? Theoretical views, conceptual distinctions, and a review of relevant evidence. Personal. Soc. Psychol. Rev. 2001, 5, 242–273. [Google Scholar] [CrossRef]
- Dawson, S.J.; Chivers, M.L. Gender differences and similarities in sexual desire. Curr. Sex. Health Rep. 2014, 6, 211–219. [Google Scholar] [CrossRef]
- Rupp, H.A.; Wallen, K. Sex differences in response to visual sexual stimuli: A review. Arch. Sex. Behav. 2008, 37, 206–218. [Google Scholar] [CrossRef]
- Geer, J.H.; Bellard, H.S. Sexual content induced delays in unprimed lexical decisions: Gender and context effects. Arch. Sex. Behav. 1996, 25, 379–395. [Google Scholar] [CrossRef] [PubMed]
- Geer, J.H.; Melton, J.S. Sexual content-induced delay with double-entendre words. Arch. Sex. Behav. 1997, 26, 295–316. [Google Scholar] [CrossRef] [PubMed]
- Conaglen, H.M. Sexual content induced delay: A reexamination investigating relation to sexual desire. Arch. Sex. Behav. 2004, 33, 359–367. [Google Scholar] [CrossRef] [PubMed]
- Geer, J.H.; Judice, S.; Jackson, S. Reading times for erotic material: The pause to reflect. J. Gen. Psychology 1994, 121, 345–352. [Google Scholar] [CrossRef]
- Most, S.B.; Smith, S.D.; Cooter, A.B.; Levy, B.N.; Zald, D.H. The naked truth: Positive, arousing distractors impair rapid target perception. Cogn. Emotion 2007, 21, 964–981. [Google Scholar] [CrossRef]
- Imhoff, R.; Barker, P.; Schmidt, A.F. To what extent do erotic images elicit visuospatial versus cognitive attentional processes? Consistent support for a (non-spatial) sexual content-induced delay. Arch. Sex. Behav. 2020, 49, 531–550. [Google Scholar] [CrossRef]
- Carretié, L. Exogenous (automatic) attention to emotional stimuli: A review. Cogn. Affect. Behav. Neurosci. 2014, 14, 1228–1258. [Google Scholar] [CrossRef]
- Codispoti, M.; De Cesarei, A.; Biondi, S.; Ferrari, V. The fate of unattended stimuli and emotional habituation: Behavioral interference and cortical changes. Cogn. Affect. Behav. Neurosci. 2016, 16, 1063–1073. [Google Scholar] [CrossRef]
- Kagerer, S.; Wehrum, S.; Klucken, T.; Walter, B.; Vaitl, D.; Stark, R. Sex attracts: Investigating individual differences in attentional bias to sexual stimuli. PLoS ONE 2014, 9, e107795. [Google Scholar] [CrossRef] [PubMed]
- Strahler, J.; Kruse, O.; Wehrum-Osinsky, S.; Klucken, T.; Stark, R. Neural correlates of gender differences in distractibility by sexual stimuli. Neuroimage 2018, 176, 499–509. [Google Scholar] [CrossRef] [PubMed]
- Strahler, J.; Baranowski, A.; Walter, B.; Huebner, N.; Stark, R. Attentional bias toward and distractibility by sexual cues: A meta-analytic integration. Neurosci. Biobehav. Rev. 2019, 105, 276–287. [Google Scholar] [CrossRef] [PubMed]
- Oliver, M.B.; Hyde, J.S. Gender differences in sexuality—A metaanalysis. Psychol. Bull. 1993, 114, 29–51. [Google Scholar] [CrossRef]
- Frankenbach, J.; Weber, M.; Loschelder, D.D.; Kilger, H.; Friese, M. Sex drive: Theoretical conceptualization and meta-analytic review of gender differences. Psychol. Bull. 2022, 148, 621. [Google Scholar] [CrossRef]
- MacKay, D.G.; Shafto, M.; Taylor, J.K.; Marian, D.E.; Abrams, L.; Dyer, J.R. Relations between emotion, memory, and attention: Evidence from taboo Stroop, lexical decision, and immediate memory tasks. Memory Cogn. 2004, 32, 474–488. [Google Scholar] [CrossRef]
- Williams, L.J.; Evans, J.R. Evidence for perceptual defense using a lexical decision task. Percept. Motor Skills 1980, 50, 195–198. [Google Scholar] [CrossRef]
- Brown, J.D.; L’Engle, K.L. X-rated: Sexual attitudes and behaviors associated with US early adolescents’ exposure to sexually explicit media. Commun. Res. 2009, 36, 129–151. [Google Scholar] [CrossRef]
- Morgan, E.M. Associations between young adults’ use of sexually explicit materials and their sexual preferences, behaviors, and satisfaction. J. Sex Res. 2011, 48, 520–530. [Google Scholar] [CrossRef]
- Wiemer, J.; Kurstak, S.; Sellmann, F.; Lindner, K. Sexual stimuli cause behavioral disinhibition in both men and women, but even more so in men. Arch. Sex. Behav. 2023, 52, 1445–1460. [Google Scholar] [CrossRef]
- Chivers, M.L.; Rieger, G.; Latty, E.; Bailey, J.M. A sex difference in the specificity of sexual arousal. Psychol. Sci. 2004, 15, 736–744. [Google Scholar] [CrossRef] [PubMed]
- Snowden, R.J.; Wichter, J.; Gray, N.S. Implicit and explicit measurements of sexual preference in gay and heterosexual men: A comparison of priming techniques and the implicit association task. Arch. Sex. Behav. 2008, 37, 558–565. [Google Scholar] [CrossRef] [PubMed]
- Snowden, R.J.; Fitton, E.; McKinnon, A.; Gray, N.S. Sexual attraction to both genders in ambiphilic men: Evidence from implicit cognitions. Arch. Sex. Behav. 2020, 49, 503–515. [Google Scholar] [CrossRef]
- Chivers, M.L. The specificity of women’s sexual response and its relationship with sexual orientations: A review and ten hypotheses. Arch. Sex. Behav. 2017, 46, 1161–1179. [Google Scholar] [CrossRef]
- Snowden, R.J.; Gray, N.S. Implicit Sexual Associations in Heterosexual and Homosexual Women and Men. Arch. Sex. Behav. 2013, 42, 475–485. [Google Scholar] [CrossRef]
- Wright, L.W.; Adams, H.E. Assessment of sexual preference using a choice-reaction time task. J. Psychopathol. Behav. Assess. 1994, 16, 221–231. [Google Scholar] [CrossRef]
- Wright, L.W.; Adams, H.E. The effects of stimuli that vary in erotic content on cognitive processes. J. Sex Res. 1999, 36, 145–151. [Google Scholar] [CrossRef]
- Dawson, S.J.; Fretz, K.M.; Chivers, M.L. Visual attention patterns of women with androphilic and gynephilic sexual attractions. Arch. Sex. Behav. 2017, 46, 141–153. [Google Scholar] [CrossRef]
- Snowden, R.J.; Curl, C.; Jobbins, K.; Lavington, C.; Gray, N.S. Automatic Direction of Spatial Attention to Male Versus Female Stimuli: A Comparison of Heterosexual Men and Women. Arch. Sex. Behav. 2016, 45, 843–853. [Google Scholar] [CrossRef]
- Snowden, R.J.; Gray, N.S.; Rollings, J.; Uzzell, K.S. Automatic attention to sexual images of men and women in androphilic, ambiphilic, and gynephilic women. J. Bisexuality 2023, 23, 170–185. [Google Scholar] [CrossRef]
- Lalumière, M.L.; Sawatsky, M.L.; Dawson, S.J.; Suschinsky, K.D. The empirical status of the preparation hypothesis: Explicating women’s genital responses to sexual stimuli in the laboratory. Arch. Sex. Behav. 2020, 5, 1–20. [Google Scholar] [CrossRef] [PubMed]
- Bradley, M.M.; Miccoli, L.; Escrig, M.A.; Lang, P.J. The pupil as a measure of emotional arousal and autonomic activation. Psychophysiology 2008, 45, 602–660. [Google Scholar] [CrossRef] [PubMed]
- Snowden, R.J.; O’Farrell, K.R.; Burley, D.; Erichsen, J.T.; Newton, N.V.; Gray, N.S. The pupil’s response to affective pictures: Role of image duration, habituation, and viewing mode. Psychophysiology 2016, 53, 1217–1223. [Google Scholar] [CrossRef]
- Hess, E.H.; Polt, J.M. Pupil size as related to interest value of visual stimuli. Science 1960, 132, 349–350. [Google Scholar] [CrossRef]
- Attard-Johnson, J.; Vasilev, M.R.; Ciardha, C.Ó.; Bindemann, M.; Babchishin, K.M. Measurement of sexual interests with pupillary responses: A meta-analysis. Arch. Sex. Behav. 2021, 50, 3385–3411. [Google Scholar] [CrossRef]
- Finke, J.B.; Deuter, C.E.; Hengesch, X.; Schächinger, H. The time course of pupil dilation evoked by visual sexual stimuli: Exploring the underlying ANS mechanisms. Psychophysiology 2017, 54, 1444–1458. [Google Scholar] [CrossRef]
- Sarlo, M.; Buodo, G. To each its own? Gender differences in affective, autonomic, and behavioral responses to same-sex and opposite-sex visual sexual stimuli. Physiol. Behav. 2017, 171, 249–255. [Google Scholar] [CrossRef]
- Safron, A.; Sylva, D.; Klimaj, V.; Rosenthal, A.M.; Li, M.; Walter, M. Neural correlates of sexual orientation in heterosexual, bisexual, and homosexual men. Sci. Rep. 2017, 7, 413–414. [Google Scholar] [CrossRef]
- Stark, R.; Schienle, A.; Girod, C.; Walter, B.; Kirsch, P.; Blecker, C.; Ott, U.; Schäfer, A.; Sammer, G.; Zimmermann, M.; et al. Erotic and disgust-inducing pictures—Differences in the hemodynamic responses of the brain. Biol. Psychol. 2005, 70, 19–29. [Google Scholar] [CrossRef]
- Cisler, J.M.; Bacon, A.K.; Williams, N.L. Phenomenological characteristics of attentional biases towards threat: A critical review. Cogn. Ther. Res. 2009, 33, 221–234. [Google Scholar] [CrossRef]
- Hedge, C.; Powell, G.; Sumner, P. The reliability paradox: Why robust cognitive tasks do not produce reliable individual differences. Behav. Res. Methods 2018, 50, 1166–1186. [Google Scholar] [CrossRef] [PubMed]
- Parsons, S.; Kruijt, A.-W.; Fox, E. Psychological science needs a standard practice of reporting the reliability of cognitive-behavioral measurements. Adv. Methods Pract. Psychol. Sci. 2019, 2, 378–395. [Google Scholar] [CrossRef]
- Lang, P.J.; Bradley, M.M.; Cuthbert, B.N. International Affective Picture System (IAPS): Technical Manual and Affective Ratings; Technical Report A-8; The Center for Research in Psychophysiology, University of Florida: Gainesville, FL, USA, 2008. [Google Scholar]
- Marchewka, A.; Żurawski, Ł.; Jednoróg, K.; Grabowska, A. The Nencki Affective Picture System (NAPS): Introduction to a novel, standardized, wide-range, high-quality, realistic picture database. Behav. Res. Methods 2014, 46, 596–610. [Google Scholar] [CrossRef] [PubMed]
- Kinsey, A.C.; Pomeroy, W.B.; Martin, C.E. Sexual Behavior in the Human Male; W. B. Saunders: Philadelphia, PA, USA, 1948. [Google Scholar]
- Wagenmakers, E.J.; Brown, S. On the linear relation between the mean and the standard deviation of a response time distribution. Psychol. Rev. 2007, 114, 830–841. [Google Scholar] [CrossRef]
- Grimshaw, G.M.; Kranz, L.S.; Carmel, D.; Moody, R.E.; Devue, C. Contrasting reactive and proactive control of emotional distraction. Emotion 2018, 18, 26–38. [Google Scholar] [CrossRef]
- Sumner, P. Determinants of saccade latency. In The Oxford Handbook of Eye Movements; Oxford University Press: Oxford, UK, 2011; pp. 413–424. [Google Scholar]
- Lambiase, J.; Reichert, T. Sex and the marketing of contemporary consumer magazines: How men’s magazines sexualized their covers to compete with Maxim. In Sex in Consumer Culture; Routledge: London, UK, 2013; pp. 91–110. [Google Scholar]
- Reichert, T. Sex in advertising research: A review of content, effects, and functions of sexual information in consumer advertising. Annu. Rev. Sex Res. 2002, 13, 241–273. [Google Scholar] [CrossRef]
- Houwer, J.D.; Hermans, D. Differences in the affective processing of words and pictures. Cogn. Emot. 1994, 8, 1–20. [Google Scholar] [CrossRef]
- Kensinger, E.A.; Schacter, D.L. Processing emotional pictures and words: Effects of valence and arousal. Cogn. Affect. Behav. Neurosci. 2006, 6, 110–126. [Google Scholar] [CrossRef]
- Hinojosa, J.A.; Carretié, L.; Valcárcel, M.A.; Méndez-Bértolo, C.; Pozo, M.A. Electrophysiological differences in the processing of affective information in words and pictures. Cogn. Affect. Behav. Neurosci. 2009, 9, 173–189. [Google Scholar] [CrossRef]
- Gronau, N.; Cohen, A.; Ben-Shakhar, G. Dissociations of personally significant and task-relevant distractors inside and outside the focus of attention: A combined behavioral and psychophysiological study. J. Exp. Psychol. Gen. 2003, 132, 512. [Google Scholar] [CrossRef]
- Janssen, E.; Vorst, H.; Finn, P.; Bancroft, J. The Sexual Inhibition (SIS) and Sexual Excitation (SES) Scales: I. Measuring sexual inhibition and excitation proneness in men. J. Sex Res. 2002, 39, 114–126. [Google Scholar] [CrossRef] [PubMed]
- Carpenter, D.; Janssen, E.; Graham, C.; Vorst, H.; Wicherts, J. Women’s scores on the Sexual Inhibition/Sexual Excitation Scales (SIS/SES): Gender similarities and differences. J. Sex Res. 2008, 45, 36–48. [Google Scholar] [CrossRef] [PubMed]
- Carvalho, J.; Czop, O.; Rocha, M.; Nobre, P.; Soares, S. Gender differences in the automatic attention to romantic vs sexually explicit stimuli. J. Sex. Med. 2018, 15, 1083–1092. [Google Scholar] [CrossRef] [PubMed]
- Zuckerman, M.; Kolin, E.A.; Price, L.; Zoob, I. Development of a sensation-seeking scale. J. Consult. Psychol. 1964, 28, 477–482. [Google Scholar] [CrossRef]
- Micucci, A.; Ferrari, V.; De Cesarei, A.; Codispoti, M. Contextual modulation of emotional distraction: Attentional capture and motivational significance. J. Cogn. Neurosci. 2020, 32, 621–633. [Google Scholar] [CrossRef]
- Snowden, R.J.; Gray, N.S.; Uzzell, K.S. Implicit sexual cognitions in women with ambiphilic sexual attractions: A comparison to androphilic and gynephilic women. Arch. Sex. Behav. 2024, 53, 141–152. [Google Scholar] [CrossRef]
- Timmers, A.D.; Blumenstock, S.M.; DeBruine, L.; Chivers, M.L. The role of attractiveness in gendered sexual response patterns. J. Sex Res. 2023. online ahead of print. [Google Scholar] [CrossRef]
- Spape, J.; Timmers, A.D.; Yoon, S.; Ponseti, J.; Chivers, M.L. Gender-specific genital and subjective sexual arousal to prepotent sexual features in heterosexual women and men. Biol. Psychol. 2014, 102, 1–9. [Google Scholar] [CrossRef]
- Yoon, J.; Knight, R.A. Sexual material perception in sexually coercive men: Disattending deficit and its covariates. Sex. Abuse 2011, 23, 275–291. [Google Scholar] [CrossRef]



| Experiment 1 | Experiment 2 | ||||
|---|---|---|---|---|---|
| Couple | Male | Female | Male | Female | |
| Distractor | |||||
| All | 0.36 | 0.11 | −0.05 | 0.27 | 0.49 |
| Men | 0.64 | 0.26 | −0.33 | 0.40 | 0.57 |
| Women | −0.29 | 0.07 | 0.28 | 0.07 | 0.27 |
Disclaimer/Publisher’s Note: The statements, opinions and data contained in all publications are solely those of the individual author(s) and contributor(s) and not of MDPI and/or the editor(s). MDPI and/or the editor(s) disclaim responsibility for any injury to people or property resulting from any ideas, methods, instructions or products referred to in the content. |
© 2024 by the authors. Licensee MDPI, Basel, Switzerland. This article is an open access article distributed under the terms and conditions of the Creative Commons Attribution (CC BY) license (https://creativecommons.org/licenses/by/4.0/).
Share and Cite
Snowden, R.J.; Midgley, P.; Gray, N.S. Automatic Distraction by Sexual Images: Gender Differences. Sexes 2024, 5, 778-795. https://doi.org/10.3390/sexes5040050
Snowden RJ, Midgley P, Gray NS. Automatic Distraction by Sexual Images: Gender Differences. Sexes. 2024; 5(4):778-795. https://doi.org/10.3390/sexes5040050
Chicago/Turabian StyleSnowden, Robert J., Poppy Midgley, and Nicola S. Gray. 2024. "Automatic Distraction by Sexual Images: Gender Differences" Sexes 5, no. 4: 778-795. https://doi.org/10.3390/sexes5040050
APA StyleSnowden, R. J., Midgley, P., & Gray, N. S. (2024). Automatic Distraction by Sexual Images: Gender Differences. Sexes, 5(4), 778-795. https://doi.org/10.3390/sexes5040050

