Abstract
In this article, we extend the recently proposed theoretical framework for nonequilibrium magnetothermal effects induced by a sudden magnetic field quenching to anisotropic 3d-metal complexes with arbitrary spins. The formalism is applicable not only to the case of complete magnetic field switching off, but also to the case of partial field quenching. A simple and universal semiquantitative rule is formulated, which allows for the prediction of the sign of a thermal effect (that means heat absorption or heat release) from the magnetic field dependencies of the spin energy levels. In many specific cases, this rule can be used to predict the sign of the magnetothermal effect prior to calculations, based on an analysis of the field dependencies of the spin levels of the complexes under study. According to this rule, each excited state contributes to cooling or heating depending on whether it becomes destabilized or stabilized as the field decreases. The performed numerical analysis of the specific heat release, as a function of temperature and initial and final magnetic fields for complexes with spins S = 1, 3/2, 2, and 5/2, demonstrates that systems with easy-axis magnetic anisotropy (D < 0) exhibit heat absorption in cases of complete and incomplete field quenching, with the effect being strongly enhanced in the latter case. In contrast, in complexes with easy-plane-type anisotropy (D > 0), the sign of the thermal effect is shown to be dependent on the temperature, the initial and final values of the magnetic field, and also on whether the spin of the complex is integer or half-integer. These results provide clear and practical guidelines for the design of low-temperature molecular magnetic refrigerants operating in fast field-quenching regimes.
1. Introduction
The magnetocaloric effect (MCE) provides a well-established route to low-temperature refrigeration based on the reversible exchange of energy between magnetic and thermal degrees of freedom [1,2,3,4,5,6,7,8,9,10,11,12,13,14,15,16,17,18,19]. Conventional magnetic cooling relies on quasi-static thermodynamic cycles consisting of isothermal magnetization and adiabatic demagnetization. During the process the spin system remains close to thermal equilibrium with the phonon bath (or another subsystem with continuous excitation spectrum). Extensive theoretical and experimental work has shown that, within this equilibrium framework, optimal molecular refrigerants should combine a large spin ground state with minimal magnetic anisotropy in order to maximize the magnetic entropy change upon demagnetization. A special situation arises in the context of rotational MCEs considered in [18,19,20], where the magnetic anisotropy plays pivotal role.
In a series of recent papers [21,22,23,24], we proposed and developed an alternative theoretical approach dealing with the nonequilibrium thermal processes induced by a sudden magnetic field switching off in molecular spin systems that can be utilized in magnetic chilling [21,22,23,24]. Unlike the conventional MCE, based on the quasistatic process where the system remains close to the thermodynamic equilibrium, the approach developed in Refs. [21,22,23,24] focuses on the nonequilibrium regime, which assumes that the magnetic field is varied according to timescales that are much shorter than the characteristic spin–lattice relaxation time. The subsequent relaxation toward a new thermal equilibrium is accompanied by the heat exchange with the molecule and phonon bath, giving rise to cooling or heating effects that are qualitatively distinct from those encountered in conventional MCE. Thus, in Refs. [20,23] we investigated the nonequilibrium thermal processes occurring in mononuclear transition metal complexes subjected to fast (sudden) magnetic field quenching and demonstrated that magnetic anisotropy can be a factor promoting cooling. This is quite distinct from the conventional MCE, within which the magnetic anisotropy is considered to be detrimental for magnetic cooling.
The initial formulation of this approach [21,24], however, had two important limitations that motivated the present work. First, the theory was developed for the simplest case of a mononuclear complex with spin S = 1. Second, only the case of complete magnetic field quenching was analyzed, whereas in realistic experimental situations the field is often reduced to a finite non-zero value. The purpose of the present work is to overcome these limitations and to provide a comprehensive description of nonequilibrium magnetothermal processes in anisotropic 3d-metal complexes with arbitrary spin values. For 3d-metal complexes the full spin of the electronic shell is a good quantum number, while the spin–orbital coupling is relatively small. We consider both integer and half-integer spins and explicitly address the effects of incomplete magnetic field quenching. Particular attention is paid to identifying simple physical principles that govern the sign and magnitude of the thermal response. To this end, we formulate a transparent semiquantitative rule that relates the direction of heat flow to the stabilization or destabilization of individual spin levels upon field reduction. By combining this conceptual analysis with the quantitative calculations for representative 3d-complexes with S = 1, 3/2, 2, and 5/2, we systematically explore how magnetic anisotropy, spin magnitude, and the field-quenching protocol control the resulting magnetothermal behavior. The results reveal clear qualitative differences between the systems with the easy-axis and easy-plane anisotropies, and uncover regimes in which incomplete field quenching can significantly enhance cooling efficiency. These insights provide a solid theoretical basis for exploiting nonequilibrium effects in the design of molecular magnetic refrigerants and for guiding future experimental studies in this practically promising and rapidly developing area.
2. Theoretical Approach: Semiquantitative and Quantitative Consideration
In this section we formulate the theoretical framework used to describe nonequilibrium magnetothermal processes induced by fast magnetic field quenching in axially anisotropic 3d-metal complexes. The aim of this section is not only to provide a quantitative expression for the heat exchanged during such processes, but also to develop a physically transparent interpretation that allows one to understand (and in many cases anticipate) the sign of the thermal effect. The presentation is therefore organized into two complementary parts. First, we introduce the spin Hamiltonian and discuss the key features of the energy spectrum that are relevant to magnetothermal phenomena. Second, we define the nonequilibrium protocol associated with sudden field reduction and derive the expression for the heat exchanged during subsequent relaxation, highlighting the origins of the individual contributions of particular exciting states and their physical meaning.
2.1. Spin Hamiltonian and Energy Spectrum
Let us consider a series of 3d-metal complexes for which the spins S = 1, 3/2, 2 and 5/2 are allowed depending on the populations of d-orbitals in a strong cubic crystal field. We assume also that the axial magnetic anisotropy is dominant and therefore the magnetic properties can be described by the spin Hamiltonian formalism (see contemporary review article [25] focused on magnetic anisotropy):
The first term in Equation (1) describes the axial zero field splitting (ZFS), where D is the axial ZFS parameter, and is Z-component of the spin operator. The cases of D < 0 and D > 0 correspond to the “easy-axis type” and “easy-plane type” of magnetic anisotropy, respectively. The second term in Equation (1) is the operator of Zeeman interaction, in which it is assumed that external magnetic field is directed along the anisotropy Z-axis, where BZ ≡ B is the Z-component of the magnetic field, μB is the Bohr magneton and g|| is the axial component of the g-tensor. The choice of the magnetic field direction along the anisotropy axis ensures that the magnetic quantum number MS remains a good quantum number. As a consequence, the eigenstates of the Hamiltonian are pure Zeeman states and the eigenvalues are simple analytical functions of the magnetic field. Explicit expressions for the energy levels for systems with S = 1, 3/2, 2, and 5/2 are summarized in Table A1 (Appendix A), which also contains the corresponding eigenvectors |MS>.
The plots of the energy levels vs. field evaluated for the cases of D < 0 and D > 0 are also shown in Appendix A (Figure A1 and Figure A2). In view of the subsequent analysis of the magnetothermal effects, it is convenient to consider the energy of the ground Zeeman level for each case as an energy reference point. With this convention, the energies of all excited states are positive and correspond directly to the excitation gaps between the ground and excited levels. This choice is not merely technical: it allows us to express the heat exchange during relaxation in a particularly transparent form and plays a central role in the formulation of the guiding rules discussed below.
We have intentionally restricted the frame of the model to the axially symmetric Hamiltonian of magnetic anisotropy, also assuming a particular field direction along the main axis. This allows us to achieve maximum clarity in the interpretation of the main results, in particular the role of the sign of D, the visualization of the semiquantitative rule that relates the direction of the heat flow depending on the stabilization or destabilization of individual spin levels upon field reduction (see next sections). Extending the theory to a common case of triaxial symmetry and the study of the angular dependence of the thermal effects is actual but it would overload the present consideration although the computational procedure [21] is adapted to the general case.
2.2. Nonequilibrium Protocol and Definition of the Thermal Effect
We focus on the thermal processes caused by a fast (sudden) change in the magnetic field from the initial value Bi to the final value Bf, where Bf < Bi. It is assumed that in the course of such event only the magnitude of the field is changed while its direction remains unchanged. The change in the field magnitude is assumed to occur on a timescale which is much shorter than the characteristic spin–lattice relaxation time. This assumption calls into the question of the experimental feasibility of performing a magnetic field quench on reasonable timescales. In this regard, it is worth noting that at low temperatures (4–20 K) the timescales for direct relaxation processes (T1) in octahedrally coordinated 3d spin ions (Cr3+ (S = 3/2), Fe3+ (S = 5/2), Mn2+ (S = 5/2), Ni2+ (S = 1)) are typically 10−6–10−3 sec at 4–10 K (see books [26,27,28,29,30] containing exhaustive set of data on this subject and theoretical consideration of spin relaxation). These relaxation times (at least the longest ones) are expected to be large enough to achieve the required nonequilibrium regime. One can expect that this regime can be easily achieved in single-molecule magnets (SMMs), where slow relaxation arises from a strong magnetic anisotropy, resulting in an effective energy barrier separating spin states [28,29,30]. The well studied (experimentally and theoretically) systems such as Mn12–acetate and Fe8 magnetic clusters have then been expanded to the giant high-nuclearity metal networks [31].
At initial field B = Bi, the complex (i.e., spin subsystem) is assumed to be in a thermal equilibrium with the phonon bath, and thus it is characterized by the set of Boltzmann populations of the spin Hamiltonian eigenstates. The Boltzmann population of the kth eigenstate is defined as follows:
where are the eigenvalues of the spin Hamiltonian at B = Bi (k = 1, 2···2S + 1) numerated in order of increasing energy, is the Boltzmann constant, and T is the temperature. Upon fast changing the field from Bi to Bf, the thermal equilibrium proves to be broken down. Provided that the effective time of the field change is much faster than the spin–lattice relaxation, the populations of the states do not have time to adapt to the new energy pattern corresponding to the field Bf. This means that immediately after the fast field change, the levels keep the initial populations , although they cease to be equilibrium ones. Strictly speaking this statement is true only because MS is a good quantum number and hence the fast change in the field does not result in a rise of transitions between different Zeeman states. The latter condition can be violated if, for example, different |MS> states are mixed by BX and BY components of the magnetic field or by rhombic ZFS term ; however, such contributions to the spin Hamiltonian are neglected in order to avoid heavy details in the present study. The internal energy, the complex acquired immediately after the field change, thus represents the following sum of the products of eigenvalues of the spin Hamiltonian, Equation (1), evaluated at final field B = Bf, and the initial equilibrium populations nk(Bi,T):
Note that the sum in Equation (3) does not include the term with k = 1 (ground state) because its energy is zero due to the adopted choice of the energy reference point. At a second step of the magnetothermal process the spin–phonon relaxation brings the system to the new equilibrium state. Here, we consider the case when the heat can be quickly removed from the sample, and so the temperature at the end of relaxation process is assumed to be the same as the initial temperature T. Such a process can be conditionally called “isothermal”, although strictly speaking the term “isothermal” is applicable only to equilibrium processes. The final equilibrium state is characterized by the new set of the Boltzmann populations and the new internal energy.
Then, the heat exchange between the spin subsystem to the phonon bath occurs. This means that heat release W, occurring as a result of the fast decrease in the magnetic field, represents the following difference in the initial and the final internal energies of the spin subsystem:
According to this expression, the heat release is a sum of the partial contributions of all the excited states. Note that the term arising from the ground state is zero due to our choice of the energy reference point, although, of course, the ground state contributes to all Boltzmann populations via the partition function. The positive sign of W means the heat flow from the spin subsystem to the phonon bath, while the negative sign of W marks the opposite process.
2.3. Semiquantitative Interpretation and Guiding Rule
Equation (5) provides an exact quantitative expression for the thermal effect induced by fast magnetic field quenching. At the same time, its structure allows for a simple and physically transparent interpretation. Each kth contribution represents the product of the final (at B = Bf) energy of the kth excited state and the difference in its initial and final equilibrium populations. Depending on change in the energy gap between the kth excited state and the ground state in the initial and final magnetic field, one can distinguish two physically different situations: (1) the initial population of the kth state is larger than the final population of this state, which gives rise to positive contribution of the kth state to W; (2) the initial population is smaller than the final one and so the partial contribution to W is negative. Provided that the energy of the kth state is counted from the ground state, the difference is positive if Ek(Bf) > Ek(Bi) and it is negative if Ek(Bf) < Ek(Bi). This simple rule proves to be quite useful for semiquantitative analysis of the magnetothermal effect, allowing, in many cases, us to predict whether the heat is released (W > 0) or it is absorbed (W < 0), as well as to rationalize the obtained numerical results.
3. Magnetothermal Processes in 3d-Metal Complexes with Easy-Axis Anisotropy (D < 0)
We begin the analysis of nonequilibrium magnetothermal behavior with the case of easy-axis magnetic anisotropy (D < 0), which is of particular relevance for molecular systems exhibiting slow magnetic relaxation and blocking phenomena. In such systems, referred as single molecular magnets, the presence of an anisotropy barrier suppresses fast spin–lattice relaxation, making the regime of sudden magnetic field quenching experimentally more accessible and physically well justified. As for the magnetocaloric phenomenon, two different cases with different expected experimental manifestations are to be considered: (1) complete magnetic field switching off (Bi ≠ 0, Bf = 0), and (2) incomplete field quenching when Bi ≠ 0 and Bf ≠ 0.
3.1. The Case of Complete Magnetic Field Quenching
Let us first consider the case of complete and sudden switching off of the magnetic field, corresponding to a change from an initial field value Bi > 0 to a final field Bf = 0. Figure 1 shows the temperature dependence of the heat exchange W evaluated for complexes with spins S = 1, 3/2, 2, and 5/2 using Equation (5) and the expressions for the energies of the Zeeman states collected in Appendix A, Table A1 (for all systems it is assumed that D = −1 cm−1 and g|| = 2).
Figure 1.
Temperature dependencies of W, evaluated for four 3d-metal complexes with D = −1 cm−1, g|| = 2 at Bf = 0 T and the following two values of the initial field: Bi = 0.5 T (a) and Bi = 1 T (b).
A striking and robust feature common to all these systems is that the value W is negative at finite temperatures, indicating heat absorption by the spin subsystem and, consequently, the cooling of the phonon bath. This behavior is common for all spin values and persists over the entire temperature range considered.
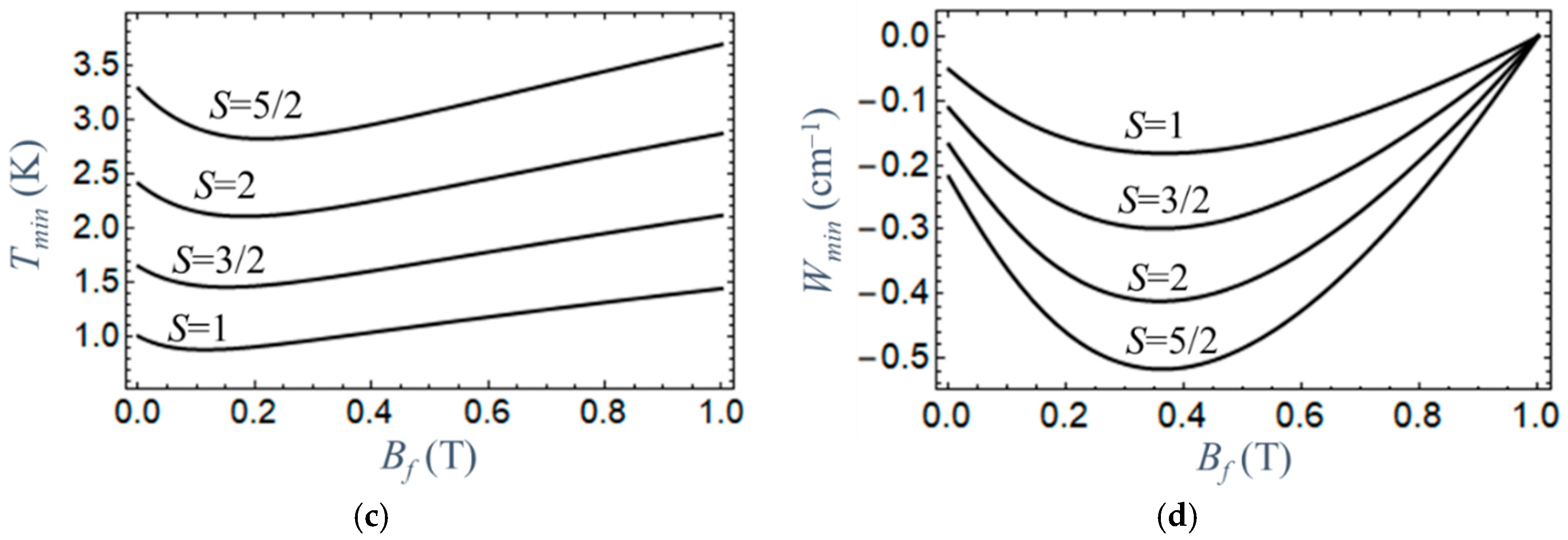
This result can be understood using the guiding rule formulated in Section 2.3. This result can be realized based on the above-stated rule concerning the signs of the partial contributions to W. Indeed, as one can see from Figure A1 (Appendix A), the energy gaps between the ground and all the excited states are decreased upon switching off the magnetic field (all Ek(Bf = 0) < Ek(Bi) and hence for all excited states. As a result, the overall heat release value is negative, which means the heat absorption (cooling) occurs for all complexes with D < 0. Each W(T) curve in Figure 1 passes through the minimum corresponding to the most efficient heat absorption. It follows from the comparison of the temperature dependencies calculated for different complexes that the efficiency of heat absorption increases with the increase in spin S, and its maximum (minimum of W) is shifted towards higher temperatures. This is evidently due to the fact that the number of excited states, which produce negative contributions to W, is higher for complexes with higher S. This can also be seen from the plots in Figure 2, in which the values Tmin and Wmin = W(Tmin) are shown as functions of the field Bi.
Figure 2.
Temperatures Tmin at which the heat release reaches minimal value (maximal heat absorption), evaluated for four 3d-metal complexes with D = −1 cm−1, g|| = 2, Bf = 0 T as functions of the initial magnetic field Bi (a), and the minimal heat release values Wmin = W(Tmin) evaluated as functions of Bi with the same set of D, g|| and Bf (b).
3.2. The Case of Incomplete Magnetic Field Quenching
Now let us examine what happens if the field is quenched incompletely, i.e., with sudden change in the field from Bi to Bf ≠ 0, where Bf < Bi. Similarly to the case of full field quenching, the inequalities Ek(Bf ≠ 0) < Ek(Bi) are satisfied for all excited states (see Figure A1) and hence all differences are negative. This means that W should be negative at all finite temperatures as in the case of full field quenching; however, the magnitudes of W at Bf ≠ 0 can differ essentially from those found for Bf = 0. The latter directly follows from Figure 3, showing Tmin and Wmin evaluated as functions of the final field Bf, which varies from 0 to Bi. It is seen that Tmin and Wmin exhibit non-monotonic behavior as functions of the field Bf. Thus, the value Wmin decreases with the increase in the final field, until it reaches the minimum after which Wmin starts to increase. The minima in Figure 3b,d correspond to the maximal possible heat absorption at the given Bi. The plots in Figure 3 clearly demonstrate this way of enhancing the heat absorption in systems with D < 0, by manipulating the spin of the complex and the initial and the final magnetic fields.

Figure 3.
Tmin evaluated for four 3d-metal complexes as functions of the final magnetic field Bf at Bi = 0.5 T (a) and Bi = 1 T (c); the minimal heat release values Wmin, evaluated as functions of Bf with Bi = 0.5 T (b) and Bi = 1 T (d). The values D = −1 cm−1 and g|| = 2 are used for all systems.
To rationalize the above dependencies of the heat absorption on Bf, one should take into account that the increase in Bf leads to the increase in all Ek(Bf), thus tending to increase the absolute values of all partial contributions to W, but, at the same time, it decreases the differences , which tends to decrease |W|. At relatively weak Bf, the first tendency prevails and so the efficiency of heat absorption enhances with the increase in Bf, while at stronger Bf the second tendency is dominating, which results in reducing the field absorption with the increase in Bf.
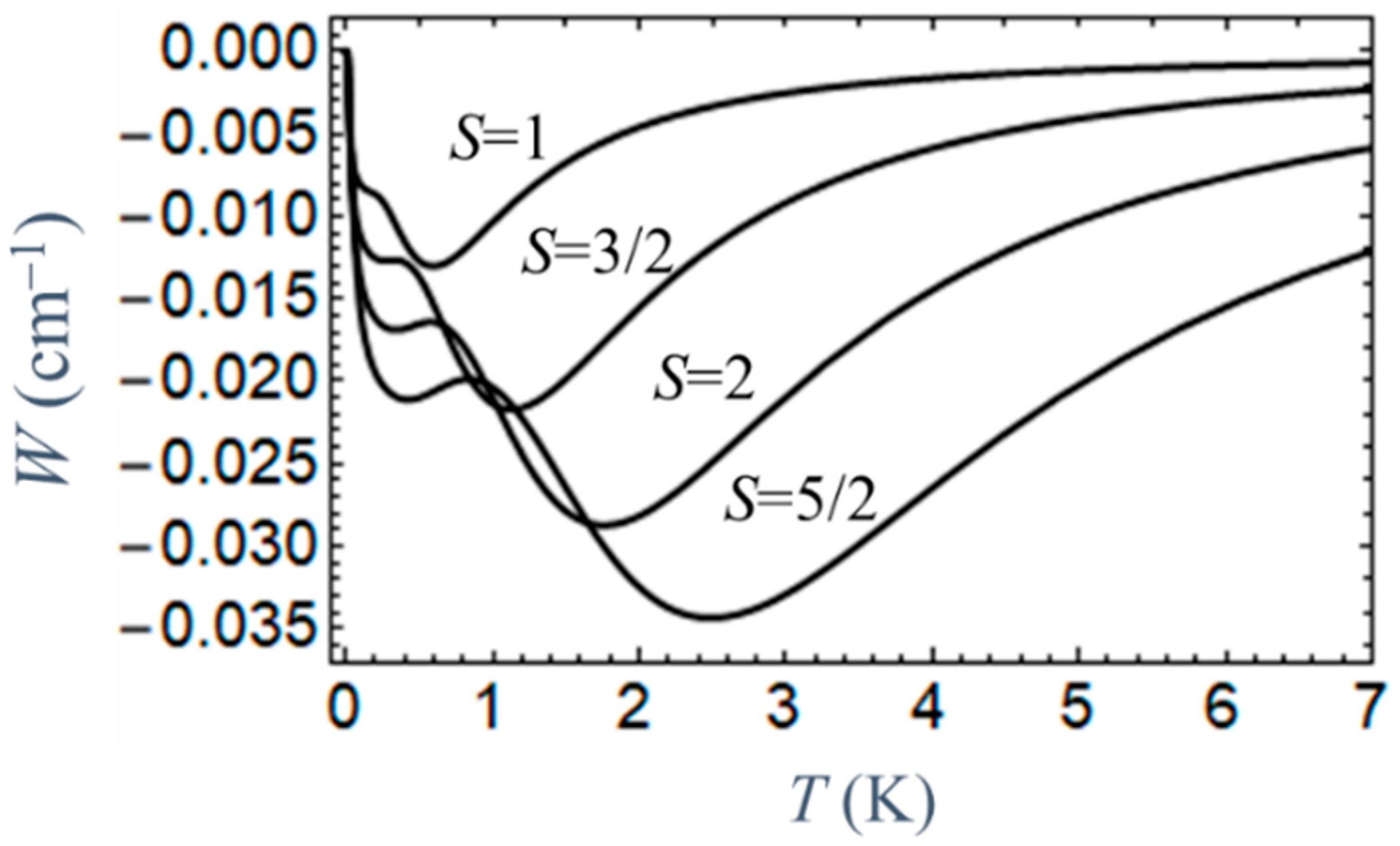
As for the shapes of the W(T) curves evaluated for the case of incomplete field quenching, they are qualitatively the same as those obtained for the case of full field quenching (see Figure 4), except for the special case when both initial and final fields are weak. In the latter case, additional peculiarity (e.g., additional local minima) can appear at low temperatures (see Figure 4), which arises from the slight Zeeman splitting of the ground |MS = ±S > doublet.
Figure 4.
Temperature dependencies of W, evaluated for four 3d-metal complexes with D = −1 cm−1 and g|| = 2 at Bi = 0.3 T and Bf = 0.01 T.
The discussed case of easy-axis-type magnetic anisotropy is most topical for the present study because such systems typically exhibit slower magnetic anisotropy associated with the presence of the barrier for magnetization reversal, as happens in the majority of single molecule magnets and single ion magnets. As a result, the condition for fast (compared with the relaxation) field change is technically more feasible in systems with D < 0, and this allows us to justify to full extent the proposed formalism for the description of the nonequilibrium processes.
4. Magnetothermal Processes in 3d-Metal Complexes with Easy-Plane Anisotropy (D > 0)
The nonequilibrium magnetothermal behavior of systems with easy-plane magnetic anisotropy (D > 0) is significantly different from that of the easy-axis complexes discussed in the previous section. From an experimental perspective, such systems are generally less favorable for the observation of nonequilibrium effects because the absence of an anisotropy barrier typically leads to faster spin–lattice relaxation. Nevertheless, their theoretical analysis is highly instructive, as it reveals how the sign and magnitude of the thermal response emerge from a delicate balance of competing contributions from different spin levels. For this reason, below we will analyze this case as well, although in less detail than the case of D < 0.
4.1. The Case of Complete Magnetic Field Quenching
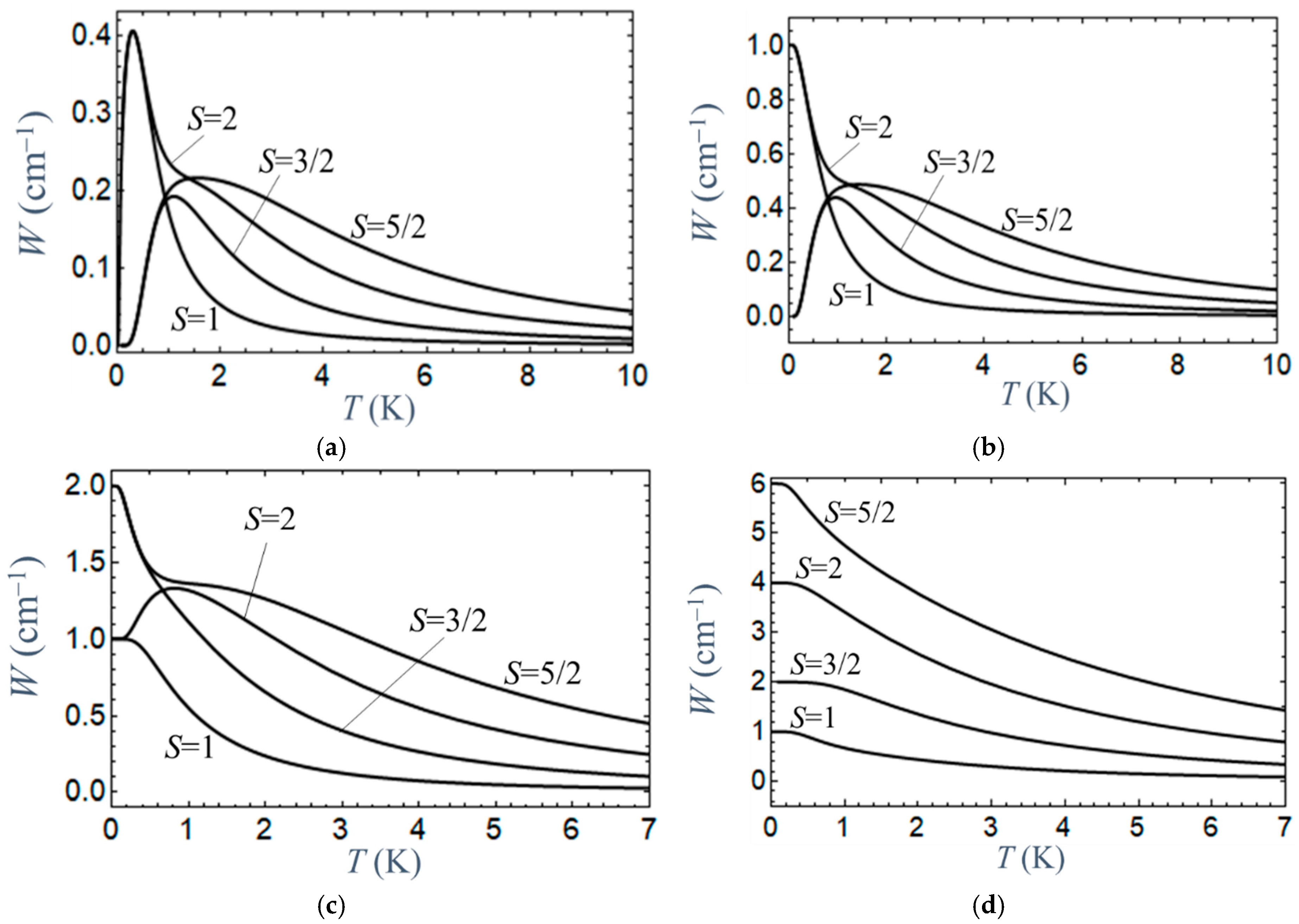
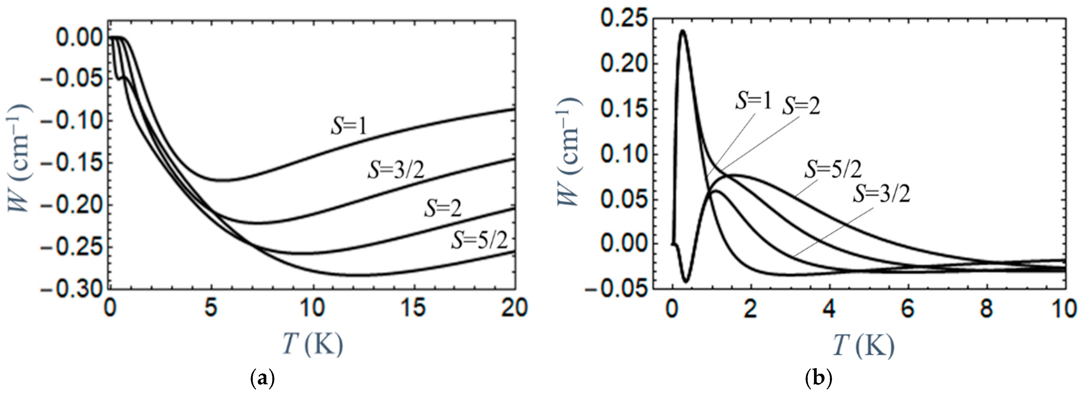
Figure 5 shows a family of W(T) curves calculated for a series of 3d-metal complexes with easy-plane anisotropy (D > 0) for several values of the initial magnetic field, assuming that the final field is zero, i.e., the case of complete and sudden field switching off. The calculations are performed for four representative spin values and for the same anisotropy and g-factor parameters, so that the influence of the initial field and the spin magnitude can be analyzed in a systematic manner.
Figure 5.
Temperature dependencies of W, evaluated for four 3d-metal complexes with D = 1 cm−1, g|| = 2, and Bf = 0 T and the following four values of the initial field: Bi = 1 T (a), Bi = 1.5 T (b), Bi = 2.5 T (c), and Bi = 5 T (d).
A striking qualitative difference with respect to the case of easy-axis anisotropy (D < 0) is immediately apparent. While for D < 0 the heat exchange W is negative at all finite temperatures, indicating heat absorption by the spin subsystem, for all complexes with D > 0 the calculated values of W are positive over the entire temperature range shown in Figure 5, irrespective of the value of the initial magnetic field Bi. This observation suggests that heat release, rather than the heat absorption, occurs in systems with D > 0 at complete magnetic field quenching.
To rationalize the physical origin of this behavior, it is essential to recall that, in contrast to the D < 0 case, the complexes with D > 0 exhibit a qualitatively different energy level structure. In particular, different excited states respond differently to the reduction in the magnetic field: some states are stabilized whereas others are destabilized. As a result, individual excited states produce competing contributions to W, and the overall sign of the thermal effect is determined by the ratio of these contributions.
Let us first consider the simplest situation, illustrated in Figure 5a, corresponding to a relatively weak initial magnetic field and particular case of S = 1. As can be seen from the left-hand part of the energy level diagram in Figure A2 in this case, the ground state is not changed upon switching the field off. In the low-temperature limit only the ground state is populated both before and after the quenching. Consequently, the heat exchange W tends to zero as T→0, in full analogy with the behavior observed for D < 0.
At finite temperatures, however, excited states become thermally populated and start contributing to W. One can see that the difference nk(Bi,T) − nk(Bf,T) is positive for the excited state |−1> and it is negative for the state |1>. These two states therefore contribute to W with opposite signs. Since the positive contribution from the state |−1> (which is the first excited state at non-zero applied field) is stronger than the negative contribution of the state |1> (second excited state), the overall effect of these two contributions to W proves to be positive. This reasoning explains why, for weak initial fields, all complexes with D > 0 are expected to exhibit positive W values, as observed in Figure 5a. It is also worth noting that the maximum W(T) of the heat absorption is more pronounced for systems with integer spins S = 1 and 2 than for those with half-integer spins S = 3/2 and 5/2. This spectacular difference originates from the energy level structure: first excited state for the half-integer spins systems lies at higher energy (see Figure A2 and Table A1) which reduces its thermal population at low and intermediate temperatures. For the same reason, the maxima of W(T) for systems with integer spins occur at lower temperatures than the maxima for the half-integer spins.
At stronger initial field, the ground state can change upon quenching the field. Figure 5b shows the situation when for systems with S = 1 and 2 the ground state in applied field is |−1> and its population in the low-temperature limit is 1. At zero field, this state becomes excited and the equilibrium population of this state vanishes. In the low-temperature limit, the value W is equal to the difference in equilibrium populations of the state |−1> at non-zero and zero fields (it is equal to 1) multiplied by the energy of this state at zero field that is equal to |D|. Therefore, in the low-temperature limit one obtains that W = |D|. Note that for systems with half-integer spins the change in the ground Zeeman state occurs at higher initial field. Thus, in the case shown in Figure 5b, the low-temperature limits for complexes with integer spins S = 1 and 2 are both equal to |D|, while for systems with non-integer spins, S = 3/2 and 5/2, they are equal to zero.
A further increase in the initial magnetic field leads to the regime shown in Figure 5c, in which switching the field off changes the ground state for all considered systems. In this case, the low-temperature limit W becomes equal to energy gap |D| for complexes with S = 1 and 2, and to 2|D| for systems with S = 3/2 and 5/2 (Figure 5c). Note that for systems with S = 1 and 3/2, the functions W(T) monotonically increase approaching the low-temperature limits, while for systems with S = 2 and 5/2 the temperature behavior proves to be non-monotonic due to the influence of the higher-lying excited states, which become thermally populated at intermediate temperatures and modify the balance of positive and negative contributions to W.
Finally, a specific feature of the thermal processes in systems with S = 2 and 5/2 and D > 0 is that in addition to the above described low-temperature limits |D| and 2|D| discussed above, the low-temperature limits 4|D| appear for S = 2 and 6|D| for S = 5/2, as illustrated in Figure 5d. This behavior reflects the fact that, in these systems, different Zeeman sublevels are the ground states depending on the strength of the applied magnetic field. For example, the level |−2> from S = 2 and the sublevel |−5/2> from S = 5/2 are stabilized at sufficiently high magnetic fields, as clearly seen from the energy level diagrams in Figure A2.
4.2. Incomplete Magnetic Field Quenching
We now turn to the case of incomplete magnetic field quenching, in which the magnetic field is suddenly reduced from an initial value Bi to a finite final value Bf > 0. As has already been noted above, this situation is qualitatively different from that of completely switching the field off, particularly for the systems with easy-plane anisotropy (D > 0). As can be distinguished from the case of negative D, when the difference between the complete and incomplete switching the field off is only in the magnitude of the thermal effect but not in its sign, the case of positive anisotropy (D > 0) gives rise to a much wider variety for the types of thermal behavior depending on the initial and the final field values. Below we discuss several representative regimes illustrating this diversity.
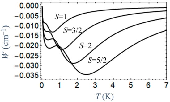
4.2.1. Regime I: Both Initial and Final Fields Above All Critical Values
Figure 6a shows the case when both the initial and the final fields exceed all critical values at which the change in the ground Zeeman states occur for all considered systems. In this case, the energy gaps between the ground and all excited states are diminished upon changing the magnetic field from Bi to Bf, as can be seen from the right-hand parts of the energy level diagrams in Figure A2. Consequently, all the differences nk(Bi,T) − nk(Bf,T) are negative; thus, according to the general expression for W, this guarantees negative values of the heat exchange at all finite temperatures. This behavior is quite similar to that described above for systems with D < 0, and is drastically different from that exhibited by systems with D > 0 at full field quenching.
Figure 6.
Temperature dependencies of W evaluated for four 3d-metal complexes with D = 1 cm−1 and g|| = 2 at the following two sets of initial and final fields: Bi = 5 T and Bf = 4.5 T (a), and Bi = 1 T and Bf = 0.4 T (b).
Thus, in this regime, incomplete field quenching produces heat absorption (W < 0) for all systems with D > 0. Remarkably, this behavior closely resembles that found for systems with easy-axis anisotropy (D < 0) and is in sharp contrast to the heat release observed for D > 0 under full field quenching. This example clearly demonstrates that for positive anisotropy the sign of the magnetothermal effect is not fixed by the anisotropy alone but can be reversed by an appropriate choice of the quenching protocol.
4.2.2. Regime II: Weak Initial Field Below All Critical Values
A different situation is shown in Figure 6b, which corresponds to the weak initial magnetic field that lies below all critical values for the considered systems. In this regime, the magnetothermal response exhibits a pronounced dependence on whether the spin is integer or half-integer. It is seen that the systems with integer and half-integer spins exhibit thermal effects of opposite signs at low temperatures. This qualitative difference originates from the fundamentally different nature of the ground states in low magnetic fields, giving rise to specific features of the heat release for complexes with integer spins S = 1 and 2 and the heat absorption for complexes with half-integer spins S = 3/2 and 5/2. This difference is because the ground states of systems with half-integer spins are magnetic and split by the external magnetic field into Zeeman sublevels with MS = −1/2 (ground state) and MS = 1/2 (first excited state). When the field is quenched incompletely (for example, from Bi = 1T to Bf = 0.4 T, as in Figure 6b), the energy of the level |1/2> remains non-zero and hence this state contributes to W. Since the quenching of the field diminishes the energy gap between the states |−1/2> and |1/2>, the partial contribution of the state |1/2> to W proves to be negative. At low temperatures this contribution dominates over the positive contributions of the higher excited states, and hence the overall effect is the heat absorption. Unlike this, the ground state of systems with integer spins is non-magnetic at low field (state |0>) and hence no such negative contribution to W can appear. As a consequence, for systems with S = 1 and S = 2, the low-temperature behavior under incomplete field quenching remains similar to that observed for complete switching the field off, and heat release occurs.
4.2.3. High-Temperature Heat Absorption Under Incomplete Field Quenching
Figure 6b also reveals an important additional feature: along with the low-temperature heat absorption, the high-temperature heat absorption can appear in all considered systems. Unlike the low-temperature heat absorption expected only in systems with half-integer spins, the high-temperature cooling effect can be considered as a more general consequence of incomplete field quenching, which can occur for both integer and half-integer spins. Its origin lies in the fact that with a not-fully quenched magnetic field the excited level resulting in a negative contribution to W (e.g., the state |1> for the system with S = 1) is higher in energy than the level resulting in a positive contribution (for example, the state |−1> for S = 1 complex). Due to this difference in energy, the negative contribution becomes dominating, despite the fact that differences in populations evaluated for these two states would seem to suggest a thermal effect of the opposite sign.
The described high-temperature absorption occurs also when switching the field off changes the ground state. This situation is shown in Figure 7, in which the cases of complete and incomplete field switching off are compared for complex with S = 3/2. It is seen that at Bf ≠ 0, the W(T) curve at low temperatures shows a monotonic decrease like in the case of full field quenching; however, at higher temperatures the W values become negative, and the W(T) curve passes through the minimum and then goes to zero. It is also remarkable that, in case of incomplete field quenching, the low-temperature limit proves to be lower than that which arises when the field is fully switched off. Thus, for a complex with S = 3/2, the energy gap between the ground state |−3/2> and the first excited state |−1/2> is equal to 2|D| − g μB Bf in the case shown in Figure 7. As a result, WT→0 = 2|D|−g μB Bf proves to be smaller than the low-temperature limit WT→0 = 2|D| occurring at full field quenching.
Figure 7.
Temperature dependencies of W evaluated for 3d-metal complex with S = 3/2, D = 1 cm−1 and g|| = 2 at Bi = 2.5 T and two Bf values shown in the plot.
The results presented in this section demonstrate that the protocol of incomplete magnetic field quenching can introduce an additional and highly effective control for nonequilibrium magnetothermal processes in systems with easy-plane anisotropy. Depending on the initial and final field values, as well as on the spin of the system, the incomplete quenching might lead to heat release or heat absorption in different temperature ranges. This rich variety of the types of behavior contrasts to the more rigid response of easy-axis systems and highlights the unique flexibility offered by complexes with D > 0 in nonequilibrium magnetothermal applications.
5. Conclusions, Implications and Outlook
In this work, we have developed a generalized theoretical framework for describing nonequilibrium magnetothermal processes induced by fast magnetic field quenching in axially anisotropic mononuclear 3d-metal complexes with arbitrary spin values. Extending earlier treatments restricted to the simplest S = 1 case and complete field switching off, the present study provides a unified description applicable to both integer and half-integer spins, and to experimentally realistic protocols involving incomplete magnetic field quenching. In this sense, the theory establishes a consistent microscopic basis for analyzing nonequilibrium thermal effects in anisotropic molecular spin systems.
A central conceptual outcome of this study is the formulation of the heat exchange W as a sum of partial contributions, each determined by the excitation energy of a given spin level and by the change in its equilibrium Boltzmann population between the initial and final magnetic fields. By adopting the ground Zeeman state as the reference energy at each field value, we obtain a representation in which the physical origin of the thermal response becomes particularly transparent. This approach leads to a simple semiquantitative guiding rule linking the sign of the thermal effect to the stabilization or destabilization of individual spin levels upon field reduction, thereby enabling qualitative predictions prior to explicit numerical calculations.
The application of this framework to representative complexes with spins S = 1, 3/2, 2, and 5/2 reveals a clear distinction between the properties of the systems with easy-axis (D < 0) and easy-plane (D > 0) magnetic anisotropies. For systems characterized by the easy-axis anisotropy, fast field reduction consistently results in heat absorption over the entire finite temperature range, reflecting the systematic decrease in excitation gaps upon quenching. The magnitude of the cooling effect is found to increase with both spin multiplicity and initial magnetic field strength, and it can be significantly enhanced through appropriate tuning of the final field in incomplete-quenching protocols.
In contrast, complexes with easy-plane anisotropy exhibit a richer and more intricate nonequilibrium behavior. Depending on temperature, spin, and the chosen field-quenching protocol, such systems may display either heat release or heat absorption. The analysis highlights the key role of level crossings and competing contributions from different excited states, as well as the distinct behavior of Kramers and non-Kramers systems at low temperatures. These results demonstrate that easy-plane anisotropy, while experimentally more demanding due to faster relaxation, offers access to a broader spectrum of nonequilibrium thermal regimes.
Overall, the present study elucidates how magnetic anisotropy, the spin magnitude, and the field-quenching protocol jointly govern nonequilibrium magnetothermal responses in molecular spin systems. The derived conceptual framework and guiding principles offer a foundation for the rational design of molecular magnetic refrigerants optimized for fast, nonequilibrium cooling cycles, and they outline experimentally testable regimes in which anisotropy—traditionally considered detrimental in equilibrium magnetocaloric cooling—can instead play a constructive or even decisive role in enhancing cooling performance. From the experimental standpoint, the present results have direct relevance to highly anisotropic molecular nanomagnets and single-molecule magnets, where nonequilibrium magnetic dynamics and rapid field-sweep protocols are undoubtedly accessible. This perspective may contribute to the rational design of molecular spin systems optimized for magnetothermal technologies and advanced low-temperature cooling concepts.
Author Contributions
Conceptualization, A.P. and B.T.; methodology, A.P., V.B. and B.T.; software, A.P. and V.B.; writing—original draft preparation, A.P., V.B. and B.T.; writing—review and editing, A.P. and B.T.; funding acquisition, A.P. All authors have read and agreed to the published version of the manuscript.
Funding
This research was funded by Russian Science Foundation (Project No. 25-13-00010).
Data Availability Statement
The original contributions presented in this study are included in the article. Further inquiries can be directed to the corresponding authors.
Acknowledgments
A.P. and V.B. acknowledge financial support from the Russian Science Foundation (Project No. 25-13-00010).
Conflicts of Interest
The authors declare no conflict of interest.
Appendix A. Eigen-System of the Hamiltonian, Equation (1) and Plots of the Energy Levels vs. Magnetic Field for the Cases of D < 0 and D > 0
Table A1.
Expressions for the eigenvalues of the spin Hamiltonian, Equation (1), for the complexes with S = 1, 3/2, 2 and 5/2.
Table A1.
Expressions for the eigenvalues of the spin Hamiltonian, Equation (1), for the complexes with S = 1, 3/2, 2 and 5/2.
| S | MS | Expressions for Energies |
|---|---|---|
| 1 | ±1 | |
| 0 | ||
| 3/2 | ±3/2 | |
| ±1/2 | ||
| 2 | ±2 | |
| ±1 | ||
| 0 | ||
| 5/2 | ±5/2 | |
| ±3/2 | ||
| ±1/2 |
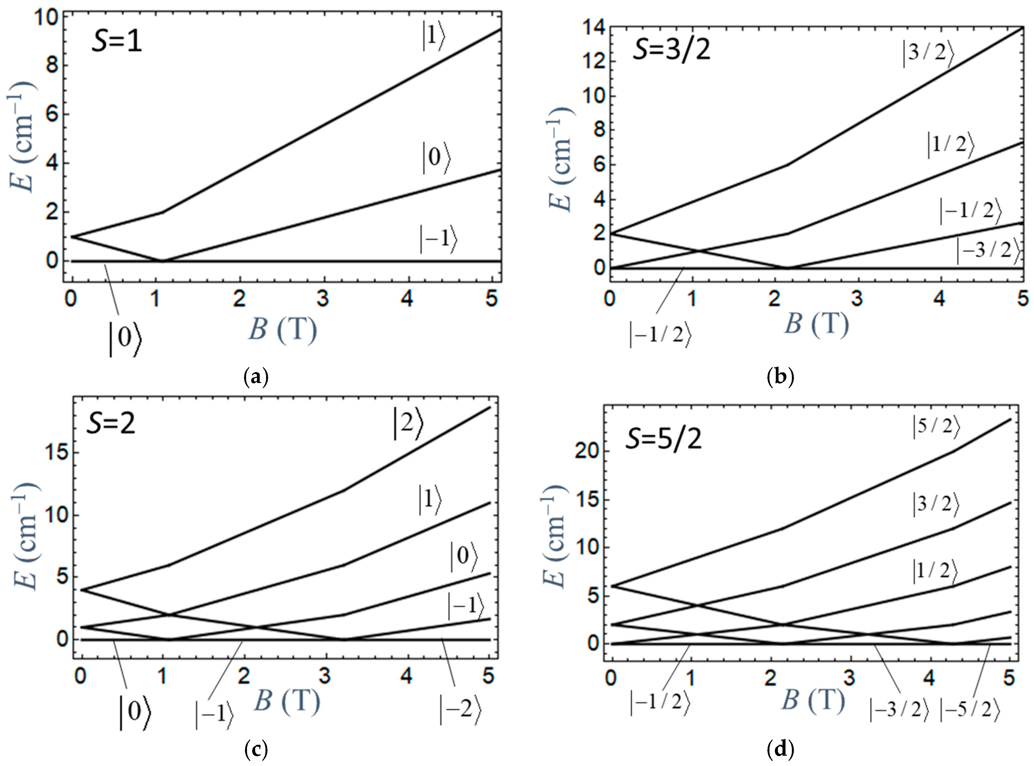
The field dependencies of the energy levels evaluated for the cases of D < 0 and D > 0 are shown in Figure A1 and Figure A2, correspondingly. The diagrams in Figure A1 and Figure A2 reveal essential qualitative differences between the systems possessing easy-axis and easy-plane anisotropies. The following features of these energy patterns should be noted, which are important for subsequent analysis. (1) In the case of D < 0, the ground state in the applied magnetic field is that with minimal MS in all considered systems, and the energy gaps between this state and different excited states are always diminished upon quenching the magnetic field (Figure A1). (2) In the systems with D > 0, different Zeeman states can become the ground ones, depending on the magnitude of the field, so switching off the field can change the ground state, as evidenced in Figure A2. In particular, one can observe, such a kind of crossover in the S = 1 systems, in which the ground state with MS = ±1 in a strong field is changed to the MS = 0 state in a weak field. For systems with S = 2 and 5/2, three different ground Zeeman states appear depending on the strength of the field. (3) At D > 0 the change in the energy gaps separating the excited states depends both on the excited state and on the initial and the final values of the magnetic field. In the main text the physical consequences of these features are considered in more detail.
Figure A1.
Energy levels of 3d-metal complexes with S = 1 (a), 3/2 (b), 2 (c) and 5/2 (d) and D = −1 cm−1 plotted as functions of the magnetic field applied along the Z-axis. Here and in all subsequent plots it is assumed that g|| = 2. Here and also in Figure A2, the energy of the ground Zeeman state is chosen as the reference energy.
Figure A1.
Energy levels of 3d-metal complexes with S = 1 (a), 3/2 (b), 2 (c) and 5/2 (d) and D = −1 cm−1 plotted as functions of the magnetic field applied along the Z-axis. Here and in all subsequent plots it is assumed that g|| = 2. Here and also in Figure A2, the energy of the ground Zeeman state is chosen as the reference energy.

Figure A2.
Energy levels of 3d-metal complexes with S = 1 (a), 3/2 (b), 2 (c) and 5/2 (d), and D = 1 cm−1.
Figure A2.
Energy levels of 3d-metal complexes with S = 1 (a), 3/2 (b), 2 (c) and 5/2 (d), and D = 1 cm−1.

References
- Konieczny, P.; Sas, W.; Czernia, D.; Pacanowska, A.; Fitta, M.; Pełka, R. Magnetic cooling: A molecular perspective. Dalton Trans. 2022, 51, 12762–12780. [Google Scholar] [CrossRef] [PubMed]
- Evangelisti, M.; Roubeau, O.; Palacios, E.; Camon, A.; Hooper, T.N.; Brechin, E.K.; Alonso, J.J. Cryogenic Magnetocaloric Effect in a Ferromagnetic Molecular Dimer. Angew. Chem. Int. Ed. 2011, 50, 6606–6609. [Google Scholar] [CrossRef]
- Garlatti, E.; Carretta, S.; Schnack, J.; Amoretti, G.; Santini, P. Theoretical design of molecular magnets for magnetic refrigeration. Appl. Phys. Lett. 2013, 103, 202410. [Google Scholar] [CrossRef]
- Evangelisti, M.; Candini, A.; Ghirri, A.; Affronte, M. Spin-enhanced magnetocaloric effect in molecular nanomagnets. Appl. Phys. Lett. 2005, 87, 072504. [Google Scholar] [CrossRef]
- Evangelisti, M.; Candini, A.; Affronte, M.; Pasca, E.; de Jongh, L.J.; Scott, R.T.W.; Brechin, E.K. Magnetocaloric effect in spindegenerated molecular nanomagnets. Phys. Rev. B 2009, 79, 104414. [Google Scholar] [CrossRef]
- Manoli, M.; Johnstone, R.D.L.; Parsons, S.; Murrie, M.; Affronte, M.; Evangelisti, M.; Brechin, E.K. A Ferromagnetic Mixed-Valent Mn Supertetrahedron: Towards Low-Temperature Magnetic Refrigeration with Molecular Clusters. Angew. Chem. Int. Ed. 2007, 46, 4456–4460. [Google Scholar] [CrossRef] [PubMed]
- Manoli, M.; Collins, A.; Parsons, S.; Candini, A.; Evangelisti, M.; Brechin, E.K. Mixed-valent Mn supertetrahedra and planar discs as enhanced magnetic coolers. J. Am. Chem. Soc. 2008, 130, 11129–11139. [Google Scholar] [CrossRef]
- Agapaki, E.; Charkiolakis, E.K.; Nichol, G.S.; Gracia, D.; Evangelisti, M.; Brechin, E.K. Magnetocaloric effect in a high-spin ferromagnetic molecular cluster. Front. Chem. 2024, 12, 1494609. [Google Scholar] [CrossRef]
- Affronte, M.; Ghirri, A.; Carretta, S.; Amoretti, G.; Piligkos, S.; Timco, G.A.; Winpenny, R.E.P. Engineering molecular rings for magnetocaloric effect. Appl. Phys. Lett. 2004, 84, 3468–3470. [Google Scholar] [CrossRef]
- Spichkin, Y.I.; Zvezdin, A.K.; Gubin, S.P.; Mischenko, A.S.; Tishin, A.M. Magnetic molecular clusters as promising materials for refrigeration in low-temperature regions. J. Phys. D Appl. Phys. 2001, 34, 1162–1166. [Google Scholar] [CrossRef]
- Evangelisti, M.; Luis, F.; de Jongh, L.J.; Affronte, M. Magnetothermal properties of molecule-based materials. J. Mater. Chem. 2006, 16, 2534–2549. [Google Scholar] [CrossRef]
- Sessoli, R. Chilling with magnetic molecules. Angew. Chem. Int. Ed. 2012, 51, 43–45. [Google Scholar] [CrossRef] [PubMed]
- Zheng, X.Y.; Kong, X.J.; Zheng, Z.; Long, L.S.; Zheng, L.S. High-nuclearity lanthanide-containing clusters as potential molecular magnetic coolers. Acc. Chem. Res. 2018, 51, 517–525. [Google Scholar] [CrossRef] [PubMed]
- Bałanda, M.; Pełka, R.; Fitta, M.; Laskowski, Ł.; Laskowska, M. Relaxation and magnetocaloric effect in the Mn12 molecular nanomagnet incorporated into mesoporous silica: Comparative study. RSC Adv. 2016, 6, 49179–49186. [Google Scholar] [CrossRef]
- Fang, M.; Dang, Y.; Ma, M.; Shao, Y.; Luan, Y.; Tang, Z.; Ma, Y.; Shi, B. Two tetranuclear lanthanide complexes respectively featuring magnetocaloric effect and slow magnetization relaxation. J. Mol. Struct. 2025, 1334, 141750. [Google Scholar] [CrossRef]
- Zheng, Y.-Z.; Evangelisti, M.; Winpenny, R.E.P. Co–Gd phosphonate complexes as magnetic refrigerants. Chem. Sci. 2011, 2, 99–102. [Google Scholar] [CrossRef]
- Zheng, Y.-Z.; Evangelisti, M.; Winpenny, R.E.P. Large Magnetocaloric Effect in a Wells–Dawson Type {Ni6Gd6P6} Cage. Angew. Chem. Int. Ed. 2011, 50, 3692–3695. [Google Scholar] [CrossRef]
- Konieczny, P.; Czernia, D.; Kajiwara, T. Rotating magnetocaloric effect in highly anisotropic TbIII and DyIII single molecular magnets. Sci. Rep. 2022, 12, 16601. [Google Scholar] [CrossRef]
- Beckmann, C.; Ehrens, J.; Schnack, J. Rotational magnetocaloric effect of anisotropic giant-spin molecular magnets. J. Magn. Magn. Mater. 2019, 482, 113–119. [Google Scholar] [CrossRef]
- Lorusso, G.; Roubeau, O.; Evangelisti, M. Rotating Magnetocaloric Effect in an Anisotropic Molecular Dimer. Angew. Chem. Int. Ed. 2016, 55, 3360–3363. [Google Scholar] [CrossRef]
- Palii, A.; Tsukerblat, B. Thermal processes in anisotropic metal complexes induced by non-adiabatic switching of magnetic field. Dalton Trans. 2024, 53, 9161–9270. [Google Scholar] [CrossRef]
- Palii, A.; Belonovich, V.; Aldoshin, S.; Tsukerblat, B. Modelling thermal effects in Heisenberg dimers initiated by fast magnetic field switching off. J. Chem. Phys. 2025, 163, 024130. [Google Scholar] [CrossRef]
- Palii, A.; Belonovich, V.; Aldoshin, S.; Tsukerblat, B. Non-equilibrium magnetothermal effects in Ising dimers: Relevance to the problem of low-temperature magnetic refrigeration. Phys. Chem. Chem. Phys. 2025, 27, 16607–16619. [Google Scholar] [CrossRef]
- Palii, A.; Belonovich, V.; Tsukerblat, B. Refrigeration in Adiabatically Confined Anisotropic Transition Metal Complexes Induced by Sudden Magnetic Field Quenching. Magnetochemistry 2025, 11, 69. [Google Scholar] [CrossRef]
- Raza, A.; Perfetti, M. Electronic structure and magnetic anisotropy design of functional metal complexes. Coord. Chem. Rev. 2023, 490, 215213. [Google Scholar] [CrossRef]
- Al’tshuler, S.A.; Kozyrev, B.M. Electron Paramagnetic Resonance; Academic Press: Amsterdam, The Netherlands, 2013. [Google Scholar]
- Abragam, A.; Bleaney, B. Electron Paramagnetic Resonance of Transition Ions; OUP Oxford: Oxford, UK, 2012. [Google Scholar]
- Bencini, A.; Gatteschi, D. EPR of Exchange Coupled Systems; Dover: Downers Grove, IL, USA, 2012. [Google Scholar]
- Gatteschi, D.; Sessoli, R.; Villain, J. Molecular Nanomagnets; Oxford University Press: Oxford, UK, 2006. [Google Scholar]
- Benelli, C.; Gattechi, D. Introduction to Molecular Magnetism; Wiley-VCH: Weinheim, Germany, 2015. [Google Scholar]
- Christou, G.; Stamatatos, T.C.; Foguet-Albiol, D. Single-molecule magnets: A molecular approach to nanoscale magnetic materials. Coord. Chem. Rev. 2008, 252, 1857–1877. [Google Scholar]
Disclaimer/Publisher’s Note: The statements, opinions and data contained in all publications are solely those of the individual author(s) and contributor(s) and not of MDPI and/or the editor(s). MDPI and/or the editor(s) disclaim responsibility for any injury to people or property resulting from any ideas, methods, instructions or products referred to in the content. |
© 2026 by the authors. Licensee MDPI, Basel, Switzerland. This article is an open access article distributed under the terms and conditions of the Creative Commons Attribution (CC BY) license.







