The Topological Properties of the Non-Hermitian Su–Schrieffer–Heeger Model Incorporating Long-Range Hopping and Spin–Orbit Coupling
Abstract
1. Introduction
2. Model and Hamiltonian
3. Topological Phases Modulated by Long-Range Hopping and SOC
3.1. Energy Spectra and Topological Phase Transitions
3.2. Non-Hermitian Skin Effect and Localization Properties
4. Regulation and Geometric Reconstruction Effects of Long-Range Couplings on GBZ
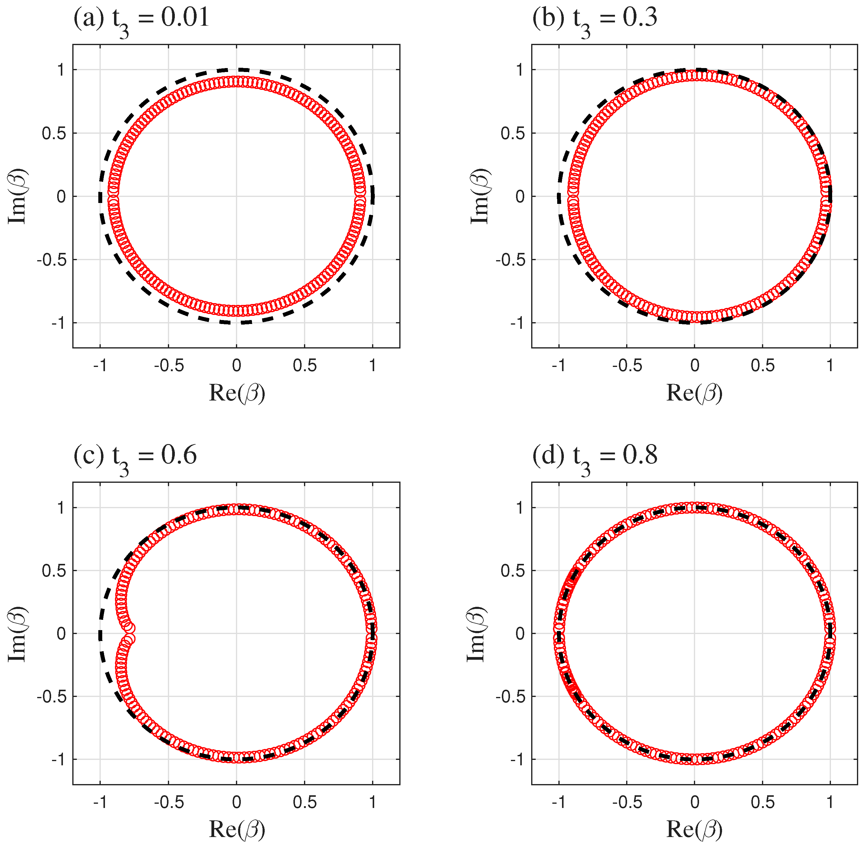
4.1. The Geometric Reconstruction of GBZ by Long-Range Hopping
4.2. GBZ Loop Evolution and Topological Phase Separation
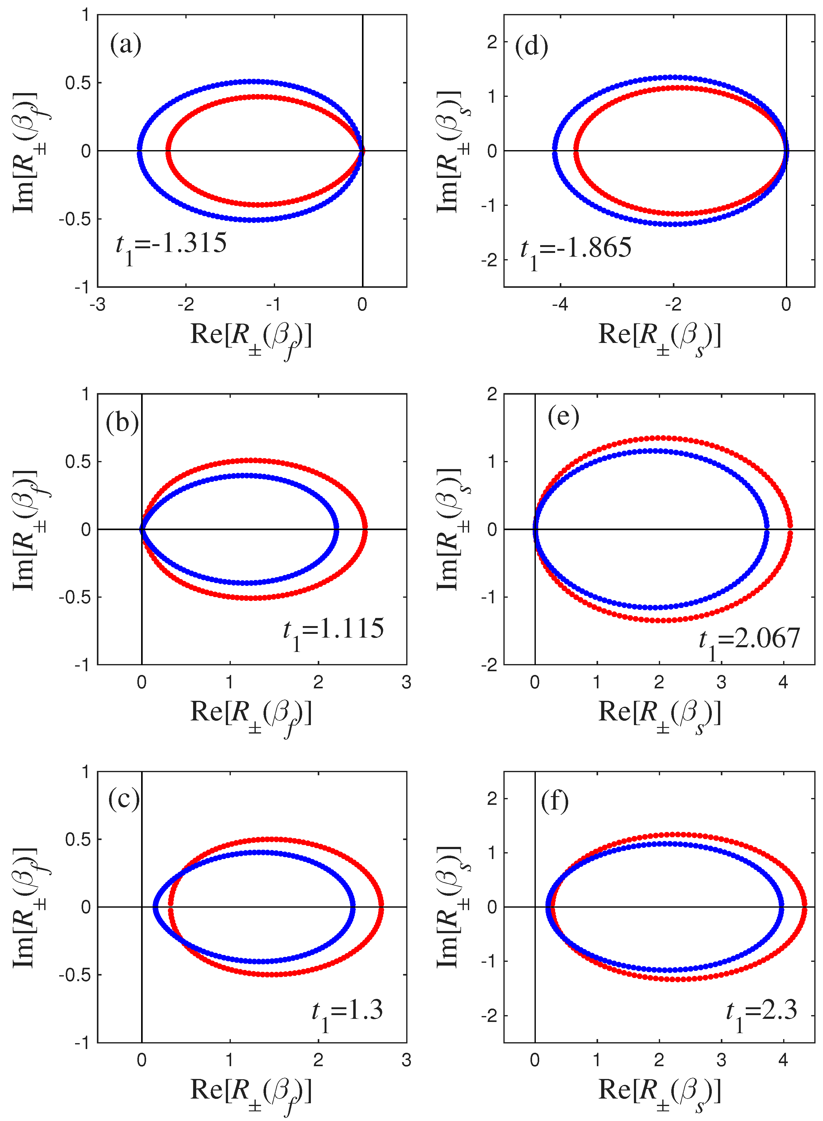
5. Non-Bloch Topological Invariants and Bulk–Boundary Correspondence
6. Summary
Author Contributions
Funding
Data Availability Statement
Conflicts of Interest
References
- Qi, X.L.; Zhang, S.C. Topological insulators and superconductors. Rev. Mod. Phys. 2011, 83, 1057–1110. [Google Scholar] [CrossRef]
- Kane, C.L.; Mele, E.J. Z2 Topological Order and the Quantum Spin Hall Effect. Phys. Rev. Lett. 2005, 95, 146802. [Google Scholar] [CrossRef]
- Fu, L.; Kane, C.L.; Mele, E.J. Topological Insulators in Three Dimensions. Phys. Rev. Lett. 2007, 98, 106803. [Google Scholar] [CrossRef]
- Schnyder, A.P.; Ryu, S.; Furusaki, A.; Ludwig, A.W.W. Classification of topological insulators and superconductors in three spatial dimensions. Phys. Rev. B 2008, 78, 195125. [Google Scholar] [CrossRef]
- Chiu, C.-K.; Teo, J.; Schnyder, A.; Ryu, S. Classification of topological quantum matter with symmetries. Rev. Mod. Phys. 2016, 88, 035005. [Google Scholar] [CrossRef]
- Moore, J.E.; Balents, L. Topological invariants of time-reversal-invariant band structures. Phys. Rev. B 2007, 75, 121306. [Google Scholar] [CrossRef]
- Hasan, M.Z.; Kane, C.L. Colloquium: Topological insulators. Rev. Mod. Phys. 2010, 82, 3045–3067. [Google Scholar] [CrossRef]
- Bansil, A.; Lin, H.; Das, T. Colloquium: Topological band theory. Rev. Mod. Phys. 2016, 88, 021004. [Google Scholar] [CrossRef]
- Armitage, N.P.; Mele, E.J.; Vishwanath, A. Weyl and dirac semimetals in three-dimensional solids. Rev. Mod. Phys. 2018, 90, 015001. [Google Scholar] [CrossRef]
- Diehl, S.; Rico, E.; Baranov, M.A.; Zoller, P. Topology by dissipation in atomic quantum wires. Nat. Phys. 2011, 7, 971–977. [Google Scholar] [CrossRef]
- Lee, T.E. Anomalous edge state in a non-Hermitian lattice. Phys. Rev. Lett. 2016, 116, 133903. [Google Scholar] [CrossRef] [PubMed]
- Xu, Y.; Wang, S.-T.; Duan, L.-M. Weyl Exceptional Rings in a Three-Dimensional Dissipative Cold Atomic Gas. Phys. Rev. Lett. 2017, 118, 045701. [Google Scholar] [CrossRef] [PubMed]
- Zhu, B.; Lü, R.; Chen, S. PT symmetry in the non-Hermitian Su-Schrieffer-Heeger model with complex boundary potentials. Phys. Rev. A 2014, 89, 062102. [Google Scholar] [CrossRef]
- Zhen, B.; Hsu, C.W.; Igarashi, Y.; Lu, L.; Kaminer, I.; Pick, A.; Chua, S.L.; Joannopoulos, J.D.; Soljačić, M. Spawning rings of exceptional points out of Dirac cones. Nature 2015, 525, 354–358. [Google Scholar] [CrossRef]
- Choi, Y.; Kang, S.; Lim, S.; Kim, W.; Kim, J.-R.; Lee, J.-H.; An, K. Quasieigenstate Coalescence in an Atom-Cavity Quantum Composite. Phys. Rev. Lett. 2010, 104, 153601. [Google Scholar] [CrossRef]
- Gong, Z.; Ashida, Y.; Kawabata, K.; Takasan, K.; Higashikawa, S.; Ueda, M. Topological Phases of Non-Hermitian Systems. Phys. Rev. X 2018, 8, 031079. [Google Scholar] [CrossRef]
- Cao, H.; Wiersig, J. Dielectric microcavities: Model systems for wave chaos and non-Hermitian physics. Rev. Mod. Phys. 2015, 87, 61–111. [Google Scholar] [CrossRef]
- Malzard, S.; Poli, C.; Schomerus, H. Topologically Protected Defect States in Open Photonic Systems with Non-Hermitian Charge-Conjugation and Parity-Time Symmetry. Phys. Rev. Lett. 2015, 115, 200402. [Google Scholar] [CrossRef]
- Bender, C.M.; Boettcher, S. Real Spectra in Non-Hermitian Hamiltonians Having PT Symmetry. Phys. Rev. Lett. 1998, 80, 5243–5246. [Google Scholar] [CrossRef]
- Cerjan, A.; Xiao, M.; Yuan, L.; Fan, S. Effects of non-Hermitian perturbations on Weyl Hamiltonians with arbitrary topological charges. Phys. Rev. B 2018, 97, 075128. [Google Scholar] [CrossRef]
- Lee, C.H.; Li, L.; Thomale, R.; Gong, J. Unraveling non-Hermitian pumping: Emergent spectral singularities and anomalous responses. Phys. Rev. B 2020, 102, 085151. [Google Scholar] [CrossRef]
- Qin, Y.; Li, L. Occupation-Dependent Particle Separation in One-Dimensional Non-Hermitian Lattices. Phys. Rev. Lett. 2024, 132, 096501. [Google Scholar] [CrossRef] [PubMed]
- Lee, T.E.; Chan, C.-K. Heralded Magnetism in Non-Hermitian Atomic Systems. Phys. Rev. X 2014, 4, 041001. [Google Scholar] [CrossRef]
- Ou, Z.; Liang, H.-Q.; Xu, G.-H.; Li, L. Anisotropic scaling localization in higher-dimensional non-Hermitian systems. Phys. Rev. B 2025, 112, L161109. [Google Scholar] [CrossRef]
- Guo, S.; Yin, S.; Zhang, S.-X.; Li, Z.-X. Skin effect induced anomalous dynamics from charge-fluctuating initial states. Phys. Rev. B 2025, 112, 155419. [Google Scholar] [CrossRef]
- Song, F.; Yao, S.Y.; Wang, Z. Non-Hermitian skin effect and chiral damping in open quantum systems. Phys. Rev. Lett. 2019, 123, 170401. [Google Scholar] [CrossRef]
- Zhang, K.; Yang, Z.S.; Fang, C. Correspondence between winding numbers and skin modes in non-Hermitian systems. Phys. Rev. Lett. 2020, 125, 126402. [Google Scholar] [CrossRef] [PubMed]
- Yao, Y.S.; Wang, Z. Edge states and topological invariants of non-Hermitian systems. Phys. Rev. Lett. 2018, 121, 086803. [Google Scholar] [CrossRef]
- Yao, S.Y.; Song, F.; Wang, Z. Non-Hermitian chern bands. Phys. Rev. Lett. 2018, 121, 136802. [Google Scholar] [CrossRef]
- Song, F.; Yao, S.Y.; Wang, Z. Non-Hermitian topological invariants in real space. Phys. Rev. Lett. 2019, 123, 246801. [Google Scholar] [CrossRef]
- Kazuki, Y.; Shuichi, M. Non-Bloch band theory of non-Hermitian systems. Phys. Rev. Lett. 2019, 123, 066404. [Google Scholar]
- Yang, Z.S.; Zhang, K.; Fang, C.; Hu, J. Non-hermitian bulk-boundary correspondence and auxiliary generalized brillouin zone theory. Phys. Rev. Lett. 2020, 125, 226402. [Google Scholar] [CrossRef]
- Xiao, L.; Deng, T.; Wang, K.; Zhu, G.; Wang, Z.; Yi, W.; Xue, P. Non-Hermitian bulk–boundary correspondence in quantum dynamics. Nat. Phys. 2020, 16, 761–766. [Google Scholar] [CrossRef]
- Xu, X.-T.; Yi, C.-R.; Wang, B.-Z.; Sun, W.; Deng, Y.-J.; Liu, X.-J.; Chen, S.; Pan, J.-W. Precision mapping the topological bands of 2D spin-orbit coupling with microwave spin-injection spectroscopy. Sci. Bull. 2018, 63, 1464–1469. [Google Scholar] [CrossRef]
- Wu, Z.; Zhang, L.; Sun, W.; Xu, X.-T.; Wang, B.-Z.; Ji, S.-C.; Deng, Y.; Chen, S.; Liu, X.-J.; Pan, J.-W. Realization of two-dimensional spin-orbit coupling for Bose-Einstein condensates. Science 2016, 354, 83–88. [Google Scholar] [CrossRef]
- Sun, W.; Wang, B.-Z.; Xu, X.-T.; Yi, C.-R.; Zhang, L.; Wu, Z.; Deng, Y.; Liu, X.-J.; Chen, S.; Pan, J.-W. Highly Controllable and Robust 2D Spin-Orbit Coupling for Quantum Gases. Phys. Rev. Lett. 2018, 121, 150401. [Google Scholar] [CrossRef]
- Wang, B.-Z.; Lu, Y.-H.; Sun, W.; Chen, S.; Deng, Y.; Liu, X.-J. Dirac-, Rashba-, and Weyl-type spin-orbit couplings: Toward experimental realization in ultracold atoms. Phys. Rev. A 2018, 97, 011605. [Google Scholar] [CrossRef]
- Zheng, M.; Qiao, Y.; Wang, Y.; Cao, J.; Chen, S. Exact Solution of the Bose-Hubbard Model with Unidirectional Hopping. Phys. Rev. Lett. 2024, 132, 086502. [Google Scholar] [CrossRef] [PubMed]
- Mu, S.; Lee, C.H.; Li, L.; Gong, J. Emergent Fermi surface in a many-body non-Hermitian fermionic chain. Phys. Rev. B 2020, 102, 081115. [Google Scholar] [CrossRef]
- Guo, G.-F.; Bao, X.-X.; Tan, L. Non-hermitian bulk-boundary correspondence and singular behaviors of generalized brillouin zone. New J. Phys. 2021, 23, 123007. [Google Scholar] [CrossRef]
- Parto, M.; Wittek, S.; Hodaei, H.; Harari, G.; Bandres, M.A.; Ren, J.; Rechtsman, M.C.; Segev, M.; Christodoulides, D.N. Edge-Mode Lasing in 1D Topological Active Arrays. Phys. Rev. Lett. 2018, 120, 113901. [Google Scholar] [CrossRef] [PubMed]
- Zhao, E.; Wang, Z.; He, C.; Poon, T.F.J.; Pak, K.K.; Liu, Y.-J.; Ren, P.; Liu, X.-J.; Jo, G.-B. Two-dimensional non-Hermitian skin effect in an ultracold Fermi gas. Nature 2025, 637, 565–573. [Google Scholar] [CrossRef]
- Liu, T.; Zhang, Y.-R.; Ai, Q.; Gong, Z.; Kawabata, K.; Ueda, M.; Nori, F. Second-Order Topological Phases in Non-Hermitian Systems. Phys. Rev. Lett. 2019, 122, 076801. [Google Scholar] [CrossRef]
- Liu, Y.; Han, Y.Z.; Liu, C.S. Topological phases of non-Hermitian SSH model with spin-orbit coupling. Optik 2022, 255, 168727. [Google Scholar] [CrossRef]
- Han, Y.Z.; Jiang, H.; Chen, S.; Liu, C.S. The nontrivial topological phases of a one-dimensional non-Hermitian dimerized lattice with spin-orbit coupling and Zeeman field. Phys. E Low-Dimens. Syst. Nanostruct. 2019, 110, 68–73. [Google Scholar] [CrossRef]
- Lee, C.H.; Ronny, T. Anatomy of skin modes and topology in non-Hermitian systems. Phys. Rev. B 2019, 99, 201103. [Google Scholar] [CrossRef]
- Martinez Alvarez, V.M.; Barrios Vargas, J.E.; Foa Torres, L.E.F. Non-Hermitian robust edge states in one dimension: Anomalous localization and eigenspace condensation at exceptional points. Phys. Rev. B 2018, 97, 121401. [Google Scholar] [CrossRef]
- Evers, F.; Mirlins, A.D. Anderson transitions. Rev. Mod. Phys. 2008, 80, 1355. [Google Scholar] [CrossRef]
- Balents, L.; Fisher, M.P.A. Delocalization transition via supersymmetry in one dimension. Phys. Rev. B 1997, 56, 12970. [Google Scholar] [CrossRef]







Disclaimer/Publisher’s Note: The statements, opinions and data contained in all publications are solely those of the individual author(s) and contributor(s) and not of MDPI and/or the editor(s). MDPI and/or the editor(s) disclaim responsibility for any injury to people or property resulting from any ideas, methods, instructions or products referred to in the content. |
© 2026 by the authors. Licensee MDPI, Basel, Switzerland. This article is an open access article distributed under the terms and conditions of the Creative Commons Attribution (CC BY) license.
Share and Cite
Han, Y.; Chong, S.; Du, J.; Liu, X.; Guo, H.; Wang, R.; Hui, M. The Topological Properties of the Non-Hermitian Su–Schrieffer–Heeger Model Incorporating Long-Range Hopping and Spin–Orbit Coupling. Magnetochemistry 2026, 12, 28. https://doi.org/10.3390/magnetochemistry12030028
Han Y, Chong S, Du J, Liu X, Guo H, Wang R, Hui M. The Topological Properties of the Non-Hermitian Su–Schrieffer–Heeger Model Incorporating Long-Range Hopping and Spin–Orbit Coupling. Magnetochemistry. 2026; 12(3):28. https://doi.org/10.3390/magnetochemistry12030028
Chicago/Turabian StyleHan, Yanzhen, Shiyao Chong, Jingjing Du, Xiaolan Liu, Haili Guo, Ruikai Wang, and Mingyue Hui. 2026. "The Topological Properties of the Non-Hermitian Su–Schrieffer–Heeger Model Incorporating Long-Range Hopping and Spin–Orbit Coupling" Magnetochemistry 12, no. 3: 28. https://doi.org/10.3390/magnetochemistry12030028
APA StyleHan, Y., Chong, S., Du, J., Liu, X., Guo, H., Wang, R., & Hui, M. (2026). The Topological Properties of the Non-Hermitian Su–Schrieffer–Heeger Model Incorporating Long-Range Hopping and Spin–Orbit Coupling. Magnetochemistry, 12(3), 28. https://doi.org/10.3390/magnetochemistry12030028

