Sign in to use this feature.

Years

Between: -

Subjects

remove_circle_outline
remove_circle_outline
remove_circle_outline
remove_circle_outline
remove_circle_outline
remove_circle_outline
remove_circle_outline
remove_circle_outline
remove_circle_outline

Journals

remove_circle_outline
remove_circle_outline
remove_circle_outline
remove_circle_outline
remove_circle_outline
remove_circle_outline
remove_circle_outline
remove_circle_outline
remove_circle_outline
remove_circle_outline
remove_circle_outline
remove_circle_outline
remove_circle_outline
remove_circle_outline
remove_circle_outline
remove_circle_outline
remove_circle_outline

Article Types

Countries / Regions

remove_circle_outline
remove_circle_outline
remove_circle_outline
remove_circle_outline
remove_circle_outline
remove_circle_outline

Search Results (743)

Search Parameters:
Keywords = spin levels

Order results
Result details
Results per page
Select all
Export citation of selected articles as:
17 pages, 3195 KB  
Article
Nonequilibrium Magnetothermal Effects in Anisotropic 3d-Metal Complexes with Arbitrary Spins
by Andrew Palii, Valeria Belonovich and Boris Tsukerblat
Magnetochemistry 2026, 12(3), 29; https://doi.org/10.3390/magnetochemistry12030029 - 2 Mar 2026
Abstract
In this article, we extend the recently proposed theoretical framework for nonequilibrium magnetothermal effects induced by a sudden magnetic field quenching to anisotropic 3d-metal complexes with arbitrary spins. The formalism is applicable not only to the case of complete magnetic field switching off, [...] Read more.
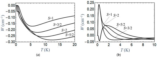
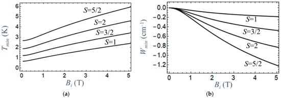
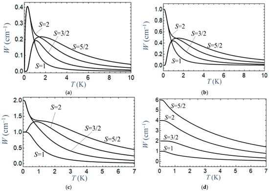
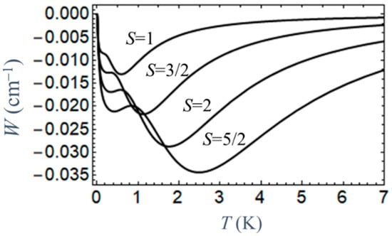
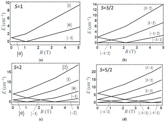
In this article, we extend the recently proposed theoretical framework for nonequilibrium magnetothermal effects induced by a sudden magnetic field quenching to anisotropic 3d-metal complexes with arbitrary spins. The formalism is applicable not only to the case of complete magnetic field switching off, but also to the case of partial field quenching. A simple and universal semiquantitative rule is formulated, which allows for the prediction of the sign of a thermal effect (that means heat absorption or heat release) from the magnetic field dependencies of the spin energy levels. In many specific cases, this rule can be used to predict the sign of the magnetothermal effect prior to calculations, based on an analysis of the field dependencies of the spin levels of the complexes under study. According to this rule, each excited state contributes to cooling or heating depending on whether it becomes destabilized or stabilized as the field decreases. The performed numerical analysis of the specific heat release, as a function of temperature and initial and final magnetic fields for complexes with spins S = 1, 3/2, 2, and 5/2, demonstrates that systems with easy-axis magnetic anisotropy (D < 0) exhibit heat absorption in cases of complete and incomplete field quenching, with the effect being strongly enhanced in the latter case. In contrast, in complexes with easy-plane-type anisotropy (D > 0), the sign of the thermal effect is shown to be dependent on the temperature, the initial and final values of the magnetic field, and also on whether the spin of the complex is integer or half-integer. These results provide clear and practical guidelines for the design of low-temperature molecular magnetic refrigerants operating in fast field-quenching regimes. Full article
(This article belongs to the Special Issue 10th Anniversary of Magnetochemistry: Past, Present and Future)
Show Figures

Graphical abstract

24 pages, 7868 KB  
Article
Optical Sensing Properties of New Innovative Materials: Interaction of Photoactive Copolymers with Fluorescent Nanoparticles to Create Light-Sensitive Hydrogel Films
by Oscar G. Marambio, Tomás Valdés, Héctor Díaz, Rudy Martin-Trasancos, Julio Sánchez and Guadalupe del C. Pizarro
Gels 2026, 12(3), 202; https://doi.org/10.3390/gels12030202 - 28 Feb 2026
Viewed by 124
Abstract
This work investigates the use of two photoactive polymers, functionalized with quantum dots (QDs) (ZnS and CdTe/ZnS), to develop optical sensing hydrogel films through their interactions. It examines their responses to light stimulation for potential biological applications. The optical and morphological properties of [...] Read more.
This work investigates the use of two photoactive polymers, functionalized with quantum dots (QDs) (ZnS and CdTe/ZnS), to develop optical sensing hydrogel films through their interactions. It examines their responses to light stimulation for potential biological applications. The optical and morphological properties of the films were studied, revealing photoactive surfaces. The photoactive copolymers were synthesized based on poly(maleic anhydride-alt-2-methyl-2-butene), P(MAn-alt-2MB), and poly(maleic anhydride-alt-1-octadecene), P(MAn-alt-OD), by attaching the photochromic agent, 1-(2-hydroxyethyl)-3,3-dimethylindoline-6-nitrobenzo pyran (SP). Subsequently, QD nanoparticles (ZnS or CdTe/ZnS NPs) were incorporated into the polymer solutions in the presence of a crosslinker agent, and were then spin-coated onto glass substrates under suitable conditions to produce porous-patterned films. These films were created using a one-step bio-inspired process called the breath figure (BF) method. SEM images of QD-containing samples show a photoactive porous surface resulting from a synergistic interaction between the components. The reversibility of these macroscopic properties results from photoinduced transformations at the molecular level. The light-emitting properties of the films were characterized by blue and violet fluorescence under UV light. Advances in film-forming techniques enable the creation of functional structures with important applications, such as microstructured hydrogel films for biological uses. Full article
Show Figures

Graphical abstract

13 pages, 1459 KB  
Article
Exploring the Physical Properties of Cr2ZrP Full Heusler Alloy: A First Principles Study
by Wei Zheng, Chunmei Li, Yan Gao, Wenjiang Feng and Chuang Wu
Materials 2026, 19(5), 882; https://doi.org/10.3390/ma19050882 - 27 Feb 2026
Viewed by 56
Abstract
As a new full Heusler compound, the Cr2ZrP alloy has attracted significant attention due to its potential applications in spintronics. In this paper, the electronic, magnetic, and mechanical properties of the Cr2ZrP alloy were systematically studied using first-principles calculations. [...] Read more.
As a new full Heusler compound, the Cr2ZrP alloy has attracted significant attention due to its potential applications in spintronics. In this paper, the electronic, magnetic, and mechanical properties of the Cr2ZrP alloy were systematically studied using first-principles calculations. The results show that the alloy is a half-metallic ferromagnet with high stability: it exhibits majority-spin-channel semiconductor behavior and minority-spin-channel metallic behavior at the Fermi level, with 100% spin polarization. The total magnetic moment is 3.00 μB, which is consistent with the Slater-Pauling behavior of half-metallic ferromagnets. When the lattice parameter changes by ±5%, the total magnetic moment and 100% spin polarization remain robust, demonstrating excellent mechanical magnetic coupling stability. The mechanical property analysis further revealed that Cr2ZrP meets the mechanical stability criterion of the cubic system and has a high bulk modulus (~172.8 GPa) and a high Debye temperature (~377 K). At the same time, its Pugh ratio (B/G ≈ 2.96) and Poisson ratio (ν ≈ 0.35) showed that the material had good ductility. The three-dimensional surface plot of Young’s modulus confirmed the obvious anisotropy of mechanical properties. This study theoretically confirmed that the Cr2ZrP alloy exhibits ideal half-metallic properties, robust magnetic order, good mechanical stability, and ductility, making it a promising candidate for future spintronic devices. Full article
Show Figures

Figure 1

22 pages, 875 KB  
Article
Hamiltonian Dynamics of Classical Spins
by Slobodan Radošević, Sonja Gombar, Milica Rutonjski, Petar Mali, Milan Pantić and Milica Pavkov-Hrvojević
Physics 2026, 8(1), 23; https://doi.org/10.3390/physics8010023 - 25 Feb 2026
Viewed by 96
Abstract
We discuss the geometry behind the classical Heisenberg model at the level suitable for third- or fourth-year students who did not have the opportunity to take a course on differential geometry. The arguments presented here rely solely on elementary algebraic concepts such as [...] Read more.
We discuss the geometry behind the classical Heisenberg model at the level suitable for third- or fourth-year students who did not have the opportunity to take a course on differential geometry. The arguments presented here rely solely on elementary algebraic concepts such as vectors, dual vectors and tensors, as well as Hamiltonian equations and Poisson brackets in their simplest form. We derive Poisson brackets for classical spins, along with the corresponding equations of motion for the classical Heisenberg model, starting from the two-sphere geometry, thereby demonstrating the relevance of standard canonical procedures in the case of the Heisenberg model. Full article
(This article belongs to the Section Physics Education)
Show Figures

Figure 1

22 pages, 4427 KB  
Article
Chemical Characterization of Alkali Lignins Isolated from Rapeseed Stalks
by Bogdan-Marian Tofanica, Elena Ungureanu, Emanuela Callone, Adrian-Catalin Puitel, Costel Samuil, Ovidiu C. Ungureanu, Maria E. Fortuna and Valentin I. Popa
Polymers 2026, 18(4), 494; https://doi.org/10.3390/polym18040494 - 16 Feb 2026
Viewed by 351
Abstract
Rapeseed stalks (Brassica napus), an abundant agricultural residue, represent a promising non-woody raw material for the pulp and paper industry. This study focuses on the chemical and structural characterization of alkali lignins isolated from black liquors generated by two common delignification [...] Read more.
Rapeseed stalks (Brassica napus), an abundant agricultural residue, represent a promising non-woody raw material for the pulp and paper industry. This study focuses on the chemical and structural characterization of alkali lignins isolated from black liquors generated by two common delignification methods: Kraft and Soda-Anthraquinone Pulping of rapeseed stalks. The objective is to understand how the chemical environment of each process influences the final structure, fragmentation degree, and reactivity of the isolated lignin. In practice, lignin samples are recovered from black liquors produced under varying conditions (alkali charge, time, and temperature) to achieve defined levels of delignification. Detailed characterization was performed using advanced analytical techniques, including Gel Permeation Chromatography, Solid-State Cross-Polarization/Magic-Angle-Spinning Nuclear Magnetic Resonance, and FT-IR and UV-Vis Spectroscopy. The findings provide essential data on the structural differences, confirming the suitability of the resulting materials for potential high-value applications. Furthermore, the structural similarities and performance indicators suggest that the Soda-AQ process enables successful delignification of rapeseed stalks without the sulfur emission issues associated with the Kraft method, thus validating the former as an environmentally cleaner alternative for non-wood biomass utilization supporting the complete valorization of rapeseed agricultural waste. Full article
(This article belongs to the Special Issue Advances in Lignocellulose: Cellulose, Hemicellulose and Lignin)
Show Figures

Figure 1

61 pages, 893 KB  
Article
Position Operators in Terms of Converging Finite-Dimensional Matrices and Their Intertwining with Geometry, Transport, and Gauge
by Boqun Song, Jonathan D. H. Smith and Jigang Wang
Quantum Rep. 2026, 8(1), 14; https://doi.org/10.3390/quantum8010014 - 12 Feb 2026
Viewed by 155
Abstract
The position operator r^ appears as ip in wave mechanics, while its matrix form (e.g., under a Bloch basis) is well known diverging in diagonals, causing difficulties in basis transformation, observable yielding, etc. We aim to find a convergent r [...] Read more.
The position operator r^ appears as ip in wave mechanics, while its matrix form (e.g., under a Bloch basis) is well known diverging in diagonals, causing difficulties in basis transformation, observable yielding, etc. We aim to find a convergent r-matrix (CRM) to improve the existing divergent r-matrix (DRM), and investigate its influence at both the conceptual and the application levels. A key modification is increasing the familiar substitution of r^ by ip to ijkj, namely the N-th Weyl algebra. Resolving the divergence makes r-matrix rigorously defined, and we are able to show r-matrix is distinct from a spin matrix in terms of its defining principles, transformation behavior, and the observable it yields. Conceptually, the CRM fills the logical gap between the r-matrix and the Berry connection (this unremarked vagueness has caused the diagonal divergence). In application, we focus on transport, and discover that the Hermitian matrix is not identical with the associative Hermitian operator, i.e., rm,n=rn,m*r^=r^, which subtly affects the celebrated Berry curvature formula for adiabatic current. We also discuss how such a non-representation CRM can contribute to building a unified transport theory. Full article
(This article belongs to the Special Issue Exclusive Feature Papers of Quantum Reports in 2024–2025)
Show Figures

Figure 1

16 pages, 3606 KB  
Article
Synergistic Effect of Fe Doping and Oxygen Vacancies on the Optical Properties and CO2 Reduction Mechanism of Bi4O5Br2
by Gaihui Liu, Xie Huang, Shuaishuai Liu, Xiangzhou Yan, Nan Dong, Huihui Shi, Fuchun Zhang and Suqin Xue
Magnetochemistry 2026, 12(2), 26; https://doi.org/10.3390/magnetochemistry12020026 - 11 Feb 2026
Viewed by 181
Abstract
In this study, the synergistic effects of Fe doping and oxygen vacancies on the structural, electronic, and optical properties of Bi4O5Br2, as well as their influence on the photocatalytic CO2 reduction mechanism, were systematically explored through [...] Read more.
In this study, the synergistic effects of Fe doping and oxygen vacancies on the structural, electronic, and optical properties of Bi4O5Br2, as well as their influence on the photocatalytic CO2 reduction mechanism, were systematically explored through first-principles calculations. The results reveal that Fe-doped, oxygen-defective, and Fe–Vo co-modified Bi4O5Br2 systems exhibit excellent thermodynamic and dynamic stability. Oxygen vacancies introduce defect states near the Fermi level, narrowing the band gap and enhancing charge localization and CO2 adsorption, while Fe doping induces strong spin polarization and introduces Fe 3d impurity levels that effectively couple with O 2p orbitals, promoting charge transfer and visible-light absorption. The coexistence of Fe dopants and oxygen vacancies produces a significant synergistic effect, forming a continuous energy-level bridge that enhances charge separation and broadens the light absorption range. Gibbs free energy analyses further demonstrate that the Fe–Vo–BOB system exhibits the lowest energy barriers and the most favorable thermodynamics for CO2-to-CO conversion. This study provides deep insight into the defect–dopant synergy in Bi4O5Br2 and offers valuable theoretical guidance for engineering highly efficient visible-light-driven photocatalysts in solar energy conversion and environmental remediation. Full article
Show Figures

Figure 1

18 pages, 1997 KB  
Article
Optimization of SnCl2:NH4F-Derived Sols for Preparation of Thin Transparent Conductive Crystallized SnO2 Films
by Anastasiya S. Kovalenko, Anastasiya I. Kushakova, Anton M. Nikolaev, Nadezhda N. Gubanova, Vasilii A. Matveev, Ekaterina A. Bondar, Sergei V. Myakin, Oleg A. Zagrebelnyy, Alexandra G. Ivanova and Olga A. Shilova
Coatings 2026, 16(2), 210; https://doi.org/10.3390/coatings16020210 - 6 Feb 2026
Viewed by 273
Abstract
Transparent conductive SnO2 films, promising for application in electronic engineering, were obtained by sol–gel synthesis via mixing SnCl2∙2H2O and NH4F solutions, followed by deposition onto glass substrates by centrifugation and heat treatment at 450 °C. The [...] Read more.
Transparent conductive SnO2 films, promising for application in electronic engineering, were obtained by sol–gel synthesis via mixing SnCl2∙2H2O and NH4F solutions, followed by deposition onto glass substrates by centrifugation and heat treatment at 450 °C. The physicochemical processes of SnO2 crystallization in water–alcohol solutions of SnCl2 were analyzed depending on the concentration of the crystallization initiator NH4F and the alcohols used. The sol–gel processing of the thin films was investigated using a Latin square approach. Three factors affecting the film formation conditions were varied at three levels to determine the best combination of film properties involving the maximum transparency and lowest specific electrical resistance. The effect of solvent type (ethanol, 1-butanol and isopropanol), the amount of introduced fluorine (5, 10, and 15 at. %) and the number of deposited layers (10, 15, and 20) on the composition, morphology, crystallization features, transparency and specific surface resistance of the synthesized thin films was studied. The obtained films of ~200–340 nm thickness exhibited ~78%–95% transparency in the visible spectrum range and specific surface resistance (ρs) from ~109 to >1012 Ω/sq. The optimal combination of thin (~250 μm) SnO2<Sn> film target performances including transparency 84% and specific surface resistance ~109 Ω/sq. was achieved in the case of their preparation in isopropanol with an average concentration of NH4F (10 at. % F) and spin-on deposition of 20 layers. Full article
Show Figures

Figure 1

23 pages, 3517 KB  
Article
Finite-Size Thermodynamics of the Two-Dimensional Dipolar Q-Clock Model
by Michel Aguilera, Francisco J. Peña, Eugenio E. Vogel and Patricio Vargas
Entropy 2026, 28(2), 181; https://doi.org/10.3390/e28020181 - 5 Feb 2026
Viewed by 231
Abstract
We present a fully controlled thermodynamic study of the two-dimensional dipolar Q-state clock model on small square lattices with free boundaries, combining exhaustive state enumeration with noise-free evaluation of canonical observables. We resolve the complete energy spectra and degeneracies [...] Read more.
We present a fully controlled thermodynamic study of the two-dimensional dipolar Q-state clock model on small square lattices with free boundaries, combining exhaustive state enumeration with noise-free evaluation of canonical observables. We resolve the complete energy spectra and degeneracies {En,cn} for the Ising case (Q=2) on lattices of size L=3,4,5, and for clock symmetries Q=4,6,8 on a 3×3 lattice, tracking how the competition between exchange and long-range dipolar interactions reorganizes the low-energy manifold as the ratio α=D/J is varied. Beyond a finite-size characterization, we identify several qualitatively new thermodynamic signatures induced solely by dipolar anisotropy. First, we demonstrate that ground-state level crossings generated by long-range interactions appear as exact zeros of the specific heat in the limit C(T0,α), establishing an unambiguous correspondence between microscopic spectral rearrangements and macroscopic caloric response. Second, we show that the shape of the associated Schottky-like anomalies encodes detailed information about the degeneracy structure of the competing low-energy states: odd lattices (L=3,5) display strongly asymmetric peaks due to unbalanced multiplicities, whereas the even lattice (L=4) exhibits three critical values of α accompanied by nearly symmetric anomalies, reflecting paired degeneracies and revealing lattice parity as a key organizing principle. Third, we uncover a symmetry-driven crossover with increasing Q: while the Q=2 and Q=4 models retain sharp dipolar-induced critical points and pronounced low-temperature structure, for Q6, the energy landscape becomes sufficiently smooth to suppress ground-state crossings altogether, yielding purely thermal specific-heat maxima. Altogether, our results provide a unified, size- and symmetry-resolved picture of how long-range anisotropy, lattice parity, and discrete rotational symmetry shape the thermodynamics of mesoscopic magnetic systems. We show that dipolar interactions alone are sufficient to generate nontrivial critical-like caloric behavior in clusters as small as 3×3, establishing exact finite-size benchmarks directly relevant for van der Waals nanomagnets, artificial spin-ice arrays, and dipolar-coupled nanomagnetic structures. Full article
(This article belongs to the Section Thermodynamics)
Show Figures

Figure 1

17 pages, 674 KB  
Article
Parallel Dynamic Programming for the Exact Computation of Density of State for 2D Spin-Crossover Nanomaterials
by Thomas Dufaud, Jorge Linares and Devan Sohier
Algorithms 2026, 19(2), 111; https://doi.org/10.3390/a19020111 - 1 Feb 2026
Viewed by 290
Abstract
We discuss the design, the analysis and the parallel implementation of a dynamic programming approach for the computation of the density of state in the simulation of spin-crossover nanoparticles. The motivation is the computation of a Hamiltonian, which is usually approximated using Monte [...] Read more.
We discuss the design, the analysis and the parallel implementation of a dynamic programming approach for the computation of the density of state in the simulation of spin-crossover nanoparticles. The motivation is the computation of a Hamiltonian, which is usually approximated using Monte Carlo techniques. However, physicists need better control of the accuracy of this approximation. An exact counting algorithm allows this error to be controlled, and also measures the impact on accuracy for the entire simulation. We propose an exact parallel counting algorithm and its two-level parallel implementation to tackle nanoscale problems on HPC architecture. We discuss its scalability and feasibility for 2D grids of n molecules. The new algorithm enables the exact computation for a three-variable density of state at nanoscale, which is seen as intractable. A comparison between the expectation of the model and implementation is proposed. The parallel complexity achieved is O(n522n) and the results allow the prediction of never-before-seen phenomena. Full article
(This article belongs to the Special Issue Numerical Optimization and Algorithms: 4th Edition)
Show Figures

Figure 1

13 pages, 945 KB  
Article
Fusion Between Control Mesoangioblasts and mtDNA-Mutant Myotubes Preserves Myotube Morphology and Mitochondrial Network Organization
by Somaieh Ahmadian, Patrick J. Lindsey, Monique Ummelen, Anton Hopman, Marc A. M. J. van Zandvoort, Hubert J. M. Smeets and Florence H. J. van Tienen
Int. J. Mol. Sci. 2026, 27(3), 1357; https://doi.org/10.3390/ijms27031357 - 29 Jan 2026
Viewed by 236
Abstract
Mitochondria are the energy factories of a cell and mitochondrial morphology, quantity, membrane potential, and DNA copy number can change depending on metabolic requirements and/or genetic defects. Different mutations in mitochondrial DNA might affect mitochondrial morphology and membrane potential differently. In this study [...] Read more.
Mitochondria are the energy factories of a cell and mitochondrial morphology, quantity, membrane potential, and DNA copy number can change depending on metabolic requirements and/or genetic defects. Different mutations in mitochondrial DNA might affect mitochondrial morphology and membrane potential differently. In this study we investigated mitochondrial morphology and membrane potential in vitro in mesoangioblast-derived human myotubes harboring a pathogenic mtDNA mutation and analyzed mitochondrial behavior following fusion with healthy mesoangioblasts. Myotubes were differentiated in vitro from mesoangioblasts obtained from two mitochondrial myopathy patients, M02 (96% m.3271T>C) and M11 (73% m.3291T>C), and from a functionally healthy male control, M06 (3% m.3243A>G). On day 5 of differentiation, healthy male mesoangioblasts (mM06) were added to mutant myotube cultures to allow cell fusion. On day 11, mitochondrial morphology and membrane potential were assessed by three-dimensional live-cell imaging using spinning disk confocal microscopy with tetramethylrhodamine methyl ester (TMRM). Following live imaging, cells were fixed and subjected to Y-chromosome fluorescence in situ hybridization (FISH), enabling identification and retrospective analysis of hybrid (i.e., fused with male control mesoangioblasts) and non-hybrid (i.e., not fused with these control mesoangioblasts) myotubes within the same imaging fields. Quantitative image analysis at the level of individual myotubes revealed that, when normalized to sarcoplasmic volume, mitochondrial volume, object number, and membrane potential did not differ between mutant and control myotubes despite heteroplasmy levels exceeding 70%. Fusion of healthy mM06 mesoangioblasts did not impair myotube formation and resulted in redistribution of mitochondrial content without an increase in mitochondrial object number, consistent with integration of donor mitochondria into the existing mitochondrial network. Across conditions, mitochondrial parameters were strongly influenced by myotube size, underscoring the importance of accounting for biological variation when quantifying mitochondrial features. Together, these findings demonstrate that high mtDNA mutation loads do not necessarily alter mitochondrial morphology or membrane potential under standard in vitro differentiation conditions and provide mechanistic insight into mitochondrial behavior following mesoangioblast fusion in human myotubes. Fusion of healthy mesoangioblasts supports integration of donor mitochondria into the existing network without compromising myogenesis, consistent with mitochondrial mixing rather than replacement. Full article
(This article belongs to the Special Issue Mitochondrial Function in Health and Diseases)
Show Figures

Figure 1

16 pages, 12349 KB  
Article
Pb-Apatite Framework as a Generator of Novel Flat-Band CuO-Based Physics
by Rafał Kurleto, Stephan Lany, Dimitar Pashov, Swagata Acharya, Mark van Schilfgaarde and Daniel S. Dessau
Crystals 2026, 16(1), 74; https://doi.org/10.3390/cryst16010074 - 22 Jan 2026
Viewed by 252
Abstract
Based upon density functional theory (DFT) calculations, we present the basic electronic structure of CuPb9(PO4)6O (Cu-doped lead apatite, aka LK-99), in two scenarios: (1) where the structure is constrained to the P3 symmetry and (2) where no [...] Read more.
Based upon density functional theory (DFT) calculations, we present the basic electronic structure of CuPb9(PO4)6O (Cu-doped lead apatite, aka LK-99), in two scenarios: (1) where the structure is constrained to the P3 symmetry and (2) where no symmetry is imposed. At the DFT level, the former is predicted to be metallic while the latter is found to be a charge-transfer insulator. In both cases the filling of these states is nominally d9, consistent with the standard Cu2+ valence state, and Cu with a local magnetic moment of order 0.7 μB. In the metallic case we find these states to be unusually flat (∼0.2 eV dispersion), giving a very high density of electronic states (DOS) at the Fermi level that we argue can be a host for novel electronic physics. The flatness of the bands is the likely origin of symmetry-lowering gapping possibilities that would remove the spectral weight from EF. Motivated by some initial experimental observations of metallic or semiconducting behavior, we propose that disorder (likely structural) is responsible for closing the gap. Here, we consider a variety of possibilities that could possibly close the charge-transfer gap but limit consideration to kinds of disorder that preserve electron count. Of the possible kinds we considered (spin disorder, O populating vacancy sites, and Cu on less energetically favorable Pb sites), the local Cu moment, and consequently the charge-transfer gap, remains robust. We conclude that disorder responsible for metallic behavior entails some kind of doping where the electron count changes. Further, we claim that the emergence of the flat bands should be due to weak wave function overlap between the orbitals on Cu and O sites, owing to the directional character of the constituent orbitals. Therefore, finding an appropriate host structure for minimizing hybridization between Cu and O while allowing them to still weakly interact should be a promising route for generating flat bands at EF which can lead to interesting electronic phenomena, regardless of whether LK-99 is a superconductor. Full article
(This article belongs to the Section Inorganic Crystalline Materials)
Show Figures

Figure 1

14 pages, 3259 KB  
Article
Design of Circularly Polarized VCSEL Based on Cascaded Chiral GaAs Metasurface
by Xiaoming Wang, Bo Cheng, Yuxiao Zou, Guofeng Song, Kunpeng Zhai and Fuchun Sun
Photonics 2026, 13(1), 87; https://doi.org/10.3390/photonics13010087 - 19 Jan 2026
Viewed by 272
Abstract
Vertical cavity surface emitting lasers (VCSELs) have shown great potential in high-speed communication, quantum information processing, and 3D sensing due to their excellent beam quality and low power consumption. However, generating high-purity and controllable circularly polarized light usually requires external optical components such [...] Read more.
Vertical cavity surface emitting lasers (VCSELs) have shown great potential in high-speed communication, quantum information processing, and 3D sensing due to their excellent beam quality and low power consumption. However, generating high-purity and controllable circularly polarized light usually requires external optical components such as quarter-wave plates, which undoubtedly increases system complexity and volume, hindering chip-level integration. To address this issue, we propose a monolithic integration scheme that directly integrates a custom-designed double-layer asymmetric metasurface onto the upper distributed Bragg reflector of a chiral VCSEL. This metasurface consists of a rotated GaAs elliptical nanocolumn array and an anisotropic grating above it. By precisely controlling the relative orientation between the two, the in-plane symmetry of the structure is effectively broken, introducing a significant optical chirality response at a wavelength of 1550 nm. Numerical simulations show that this structure can achieve a near 100% high reflectivity for the left circularly polarized light (LCP), while suppressing the reflectivity of the right circularly polarized light (RCP) to approximately 33%, thereby obtaining an efficient in-cavity circular polarization selection function. Based on this, the proposed VCSEL can directly emit high-purity RCP without any external polarization control components. This compact circularly polarized laser source provides a key solution for achieving the next generation of highly integrated photonic chips and will have a profound impact on frontier fields such as spin optics, secure communication, and chip-level quantum light sources. Full article
Show Figures

Figure 1

22 pages, 405 KB  
Article
A Cointegrated Ising Spin Model for Asynchronously Traded Futures Contracts: Spread Trading with Crude Oil Futures
by Kostas Giannopoulos
J. Risk Financial Manag. 2026, 19(1), 79; https://doi.org/10.3390/jrfm19010079 - 19 Jan 2026
Viewed by 372
Abstract
Pairs trading via futures calendar spreads offers a robust market-neutral approach to exploiting transient mispricings, yet real-time implementation is hindered by asynchronous trading. This paper introduces a Cointegrated Ising Spin Model, CISM, for real-time signal generation in high-frequency spread trading. The model [...] Read more.
Pairs trading via futures calendar spreads offers a robust market-neutral approach to exploiting transient mispricings, yet real-time implementation is hindered by asynchronous trading. This paper introduces a Cointegrated Ising Spin Model, CISM, for real-time signal generation in high-frequency spread trading. The model links the macro-level equilibrium of cointegration with micro-level agent interactions, representing prices as magnetizations in an agent-based system. A novel Δ-weighted arbitrage force dynamically adjusts agents’ corrective behavior to account for information staleness. Calibrated on tick-by-tick Brent crude oil futures, the model produces a time-varying probability of spread reversion, enabling probabilistic trading decisions. Backtesting demonstrates a 74.65% success rate, confirming the CISM’s ability to generate stable, data-driven arbitrage signals in asynchronous environments. The model bridges macro-level cointegration with micro-level agent interactions, representing prices as magnetizations within an agent-based Ising system. A novel feature is a Δ-weighted arbitrage force, where the corrective pressure applied by agents in response to the standard Error Correction Term is dynamically amplified based on information staleness. The model is calibrated on historical tick data and designed to operate in real time, continuously updating its probability-based trading signals as new quotes arrive. The model is framed within the context of Discrete Choice Theory, treating agent transitions as utility-maximizing decisions within a Vector Logistic Autoregressive (VLAR) framework. Full article
(This article belongs to the Special Issue Financial Innovations and Derivatives)
Show Figures

Figure 1

10 pages, 1833 KB  
Article
Observation of Complete Orbital Two-Channel Kondo Effect in van der Waals Ferromagnet Fe3GaTe2
by Chunhao Bao, Zhiyue Li, Xiaolong Yin, Jifeng Shao, Longxiang Li, Xiaoming Ma, Shu Guo and Tingyong Chen
Nanomaterials 2026, 16(2), 123; https://doi.org/10.3390/nano16020123 - 16 Jan 2026
Cited by 1 | Viewed by 307
Abstract
The orbital two-channel Kondo (2CK) effect is one of the crucial systems with non-Fermi liquid (NFL) behavior. But the full three-regime transport evidence has never been observed in one sample. Here, all three resistive regimes for the orbital 2CK effect induced by two-level [...] Read more.
The orbital two-channel Kondo (2CK) effect is one of the crucial systems with non-Fermi liquid (NFL) behavior. But the full three-regime transport evidence has never been observed in one sample. Here, all three resistive regimes for the orbital 2CK effect induced by two-level systems (TLSs) have been observed in the van der Waals ferromagnet Fe3GaTe2. Electron behavior undergoes a continuous transition from electron scattering to NFL behavior, and subsequently to Fermi liquid behavior. The magnetic field does not affect any regimes, indicating the nonmagnetic origin of the TLSs in Fe3GaTe2. In addition, instead of topological Hall, the slope of a linear negative magnetoresistance is related to spin-magnon scattering and could be utilized to infer the emergence of spin textures. Our findings indicate that Fe3GaTe2 may be an ideal platform to study electron correlation and topological phenomena. Full article
(This article belongs to the Section Physical Chemistry at Nanoscale)
Show Figures

Figure 1

Back to TopTop