Engineering Cobalt Ferrite Nanofilms for Magnetically Assisted Oxygen Evolution: Interplay of Doping, Nanostructure, and Electrode Magnetism
Abstract
1. Introduction
2. Materials and Methods
2.1. Synthesis of Co-TD Nanoparticles by Thermal Decomposition
2.2. Synthesis of Co-SC and CoY-SC Nanoparticles by Self-Combustion
2.3. Nanofilm Fabrication by the Langmuir–Blodgett Technique
2.4. Experimental Techniques
2.5. Electrochemical Measurements
3. Results and Discussion
3.1. Nanoparticle Characterization
3.2. Pressure–Area Isotherms
3.3. Nanofilm Characterization
3.4. Different Effects on the Oxygen Evolution Reaction (OER)
3.4.1. Effect of the Material
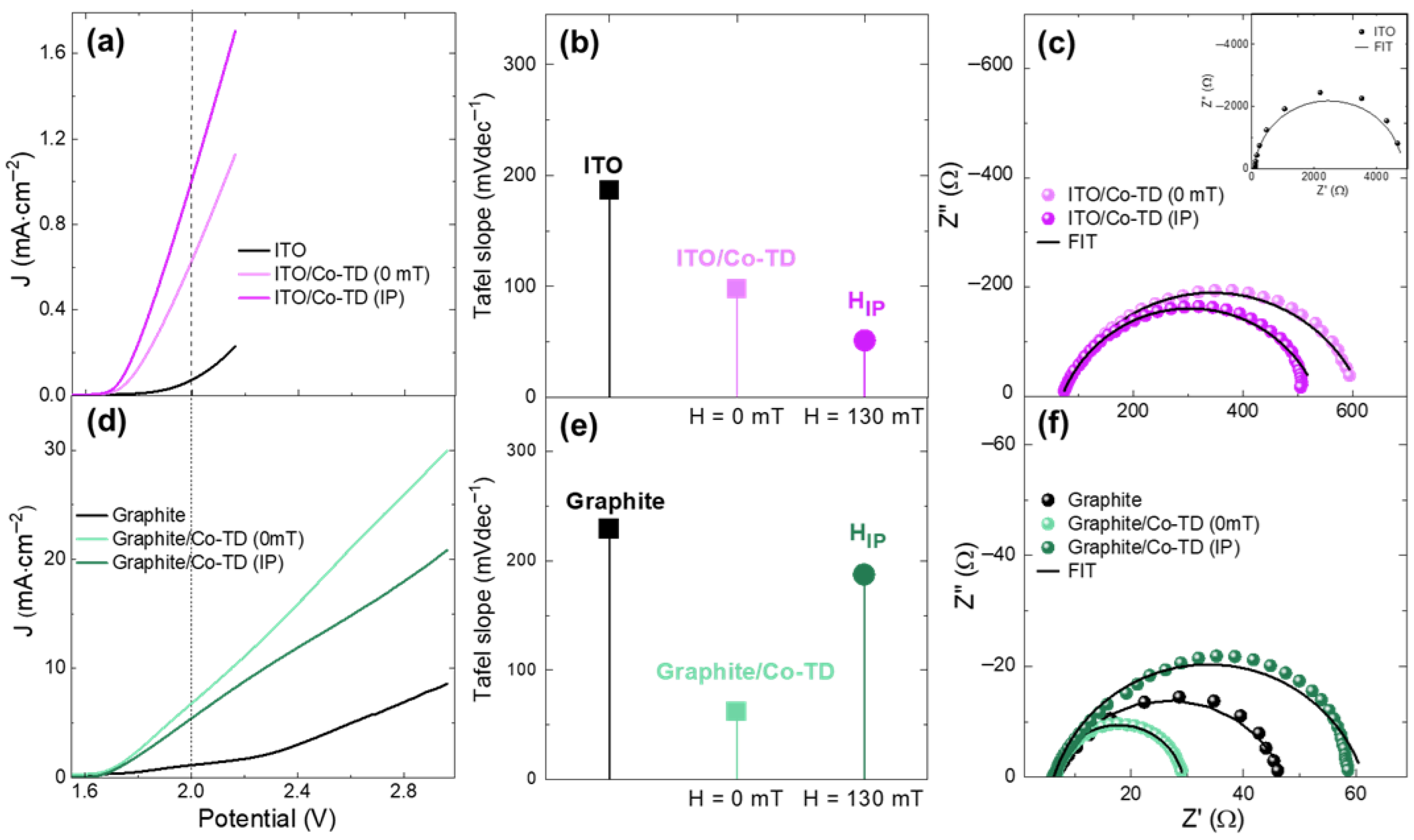
3.4.2. Effect of External Magnetic Fields
3.4.3. Effect of UV-Vis Light Irradiation
3.4.4. Effect of the Substrate
4. Conclusions
Supplementary Materials
Author Contributions
Funding
Institutional Review Board Statement
Informed Consent Statement
Data Availability Statement
Acknowledgments
Conflicts of Interest
Abbreviations
| EIS | Electrochemical Impedance Spectroscopy |
| IP | In Plane |
| ITO | Indium Tin Oxide |
| LB | Langmuir–Blodgett |
| LSV | Linear Sweep Voltammetry |
| MHD | Magnetohydrodynamic |
| OER | Oxygen Evolution Reaction |
| OoP | Out of Plane |
| RHE | Reversible Hydrogen Electrode |
| SEM | Scanning Electron Microscopy |
| TEM | Transmission Electron Microscopy |
| VSM | Vibrating Sample Magnetometer |
| XRD | X-Ray Diffraction |
References
- Gebreslase, G.A.; Martínez-Huerta, M.V.; Sebastián, D.; Lázaro, M.J. Transformation of CoFe2O4 spinel structure into active and robust CoFe alloy/N-doped carbon electrocatalyst for oxygen evolution reaction. J. Colloid Interface Sci. 2022, 625, 70–82. [Google Scholar] [CrossRef]
- Davis, E.M.; Bergmann, A.; Zhan, C.; Kuhlenbeck, H.; Roldan Cuenya, B. Comparative study of Co3O4(111), CoFe2O4(111), and Fe3O4(111) thin-film electrocatalysts for the oxygen evolution reaction. Nat. Commun. 2023, 14, 4791. [Google Scholar] [CrossRef]
- Davis, E.M.; Bergmann, A.; Kuhlenbeck, H.; Roldan Cuenya, B. Facet dependence of the oxygen evolution reaction on Co3O4, CoFe2O4, and Fe3O4 epitaxial film electrocatalysts. J. Am. Chem. Soc. 2024, 146, 13770–13782. [Google Scholar] [CrossRef]
- Sagu, J.S.; Mehta, D.; Upul, K.G. Electrocatalytic activity of CoFe2O4 thin films prepared by AACVD towards the oxygen evolution reaction in alkaline media. Electrochem. Commun. 2018, 87, 1–4. [Google Scholar] [CrossRef]
- Afaq, M.; Shahid, M.; Ahmad, I.; Yousaf, S.; Alazmi, A.; Mahmoud, M.H.H.; El Azab, I.H.; Warsi, M.F. Large-scale sonochemical fabrication of a Co3O4-CoFe2O4@MWCNT bifunctional electrocatalyst for enhanced OER/HER performances. RSC Adv. 2023, 13, 19046–19057. [Google Scholar] [CrossRef]
- Daboin, V.B.; Riva, J.S.; Bercoff, P.G. Magnetic behavior of nanofilms prepared by assembling different Co ferrite nanoparticles. Mater. Res. Bull. 2025, 184, 113229. [Google Scholar]
- Jain, P.; Biswas, R.; Saikia, L.; Dutta, A.; Thakur, O.P.; Shankar, S. Production of cost-effective green energy using Mn/Gd co-substituted cobalt ferrites hydroelectric cells and their oxygen evolution reaction. J. Alloys Compd. 2025, 1010, 177419. [Google Scholar] [CrossRef]
- Daboin, V.B.; Riva, J.S.; Bercoff, P.G. Magnetic nanofilms prepared by Langmuir-Blodgett nanoarchitectonics using Co and Co-Y ferrite nanoparticles. Mater. Res. Bull. 2025, 189, 113449. [Google Scholar]
- Sun, Y.; Lv, H.; Yao, H.; Gao, Y.; Zhang, C. Magnetic field-assisted electrocatalysis: Mechanisms and design strategies. Carbon Energy 2024, 6, e575. [Google Scholar] [CrossRef]
- Ren, X.; Wu, T.; Sun, Y.; Li, Y.; Xian, G.; Liu, X.; Shen, C.; Gracia, J.; Gao, H.J.; Yang, H.; et al. Spin-polarized oxygen evolution reaction under magnetic field. Nat. Commun. 2021, 12, 2608. [Google Scholar] [CrossRef]
- Daboin, V.B.; Moya Betancourt, S.N.; Farías, E.D.; Riva, J.S.; Bercoff, P.G. Enhancement of the electrochemical oxygen evolution reaction by light and external magnetic fields using hybrid electrodes made by Langmuir-Blodgett. Electrochim. Acta 2024, 480, 143910. [Google Scholar] [CrossRef]
- Liju, E.; Chitharanjan Hegde, A. Effect of Magnetic Field on HER of Water Electrolysis on Ni-W Alloy. Electrocatalysis 2017, 8, 375–382. [Google Scholar]
- Zhang, Y.; Guo, J.; Ji, Z.; Hou, J. Synthesis and photocatalytic application of magnetic CoFe2O4/conjugated poly(vinyl chloride) derivative nanocomposite. Langmuir 2024, 40, 16642–16652. [Google Scholar] [CrossRef] [PubMed]
- Briceño, S.; Silva, P.; Bramer-escamilla, W.; Zabala, J. Magnetic water-soluble rhamnose-coated Mn1-xCoxFe2O4 nanoparticles as potential heating agents for hyperthermia. Biointerface Res. Appl. Chem. 2015, 5, 910–915. [Google Scholar]
- Daboin, V.; Briceño, S.; Suárez, J.; González, G. Effect of the dispersing agent on the structural and magnetic properties of CoFe2O4/SiO2 nanocomposites. J. Magn. Magn. Mater. 2018, 451, 502–506. [Google Scholar] [CrossRef]
- Daboin, V.; Briceño, S.; Suárez, J.; Carrizales-Silva, L.; Alcalá, O.; Silva, P.; González, G. Magnetic SiO2-Mn1-xCoxFe2O4 nanocomposites decorated with Au@Fe3O4 nanoparticles for hyperthermia. J. Magn. Magn. Mater. 2019, 479, 91–98. [Google Scholar] [CrossRef]
- Haïk Dunn, I.; Jacobo, S.E.; Bercoff, P.G. Structural and magnetic influence of yttrium-for-iron substitution in cobalt ferrite. J. Alloys Compd. 2021, 691, 130–137. [Google Scholar] [CrossRef]
- Zuluaga, J.D.; Sánchez, S.; Ramos, L.F.; Beltrán, F.I.; da-Silva, L.; Ramírez, E.; Vázquez, S.; Flores, S.; Méndez, J.; Valera, M.; et al. A novel method for the modification of magnetite nanoparticles for the enhancement of its dispersibility in hydrophobic media. J. Magn. Magn. Mater. 2020, 514, 167–169. [Google Scholar] [CrossRef]
- Mourdikoudis, S.; Pallares, R.M.; Thanh, N.T.K. Characterization techniques for nanoparticles: Comparison and complementarity upon studying nanoparticle properties. Nanoscale 2018, 10, 12871–12934. [Google Scholar] [CrossRef]
- Abd El-Sadek, M.S.; Wasly, H.S.; Batoo, K.M. X-ray peak profile analysis and optical properties of CdS nanoparticles synthesized via the hydrothermal method. Appl. Phys. A 2019, 125, 283. [Google Scholar] [CrossRef]
- Nam, P.H.; Lu, L.T.; Linh, P.H.; Manh, D.H.; Thanh Tam, L.T.; Phuc, N.X.; Phong, P.T.; Lee, I.J. Polymer-coated cobalt ferrite nanoparticles: Synthesis, characterization, and toxicity for hyperthermia applications. New J. Chem. 2018, 42, 14530–14541. [Google Scholar] [CrossRef]
- Li, L.; Yang, Y.; Ding, J.; Xue, J. Synthesis of magnetite nanooctahedra and their magnetic field-induced two-/three-dimensional superstructure. Chem. Mater. 2010, 22, 3183–3191. [Google Scholar]
- Gandha, K.; Elkins, K.; Poudyal, N.; Liu, J.P. Synthesis and characterization of CoFe2O4 nanoparticles with high coercivity. J. Appl. Phys. 2015, 117, 17A736. [Google Scholar]
- Majumdar, H.S.; Majumdar, S.; Tobjörk, D.; Österbacka, R. Ferromagnetism in indium tin-oxide (ITO) electrodes at room temperature. Synth. Met. 2010, 160, 303–306. [Google Scholar] [CrossRef]
- McClure, J.W. Diamagnetism of Graphite. Phys. Rev. 1956, 104, 666. [Google Scholar]
- Garcés-Pineda, F.A.; Blasco-Ahicart, M.; Nieto-Castro, D.; López, N.; Galán-Mascarós, J.R. Direct magnetic enhancement of electrocatalytic water oxidation in alkaline media. Nat. Energy 2019, 4, 519–525. [Google Scholar] [CrossRef]
- Ma, Y.; Zhou, Y.; Wang, C.; Gao, B.; Li, J.; Zhu, M.; Wu, H.; Zhang, C.; Qin, Y. Photothermal-Magnetic Synergistic Effects in an Electrocatalyst for Efficient Water Splitting under Optical-Magnetic Fields. Adv. Mater. 2023, 35, 2303741. [Google Scholar] [CrossRef] [PubMed]
- Darwish, M.S.A.; Kim, H.; Lee, H.; Ryu, C.; Lee, J.Y.; Yoon, J. Synthesis of Magnetic Ferrite Nanoparticles with High Hyperthermia Performance via a Controlled Co-Precipitation Method. Nanomaterials 2019, 9, 1176. [Google Scholar] [CrossRef]
- Ullah, F.; Ahmad, I.; Zaib, S.; Abrar, M.; Khalil, M.M.H.; Ebdah, M.A.; Ramay, S.M.; Saleem, M. A comprehensive study on Ni-Doped cobalt ferrites for optical response and anti-bacterial activity. Dig. J. Nanomater. Biostruct. 2023, 18, 975–984. [Google Scholar] [CrossRef]
- Chandekara, K.V.; Shkirb, M.; AlFaify, S. Tuning the optical band gap and magnetization of oleic acid coated CoFe2O4 NPs synthesized by facile hydrothermal route. Mater. Sci. Eng. B 2020, 259, 114603. [Google Scholar] [CrossRef]
- Benlembarek, M.; Salhi, N.; Benrabaa, R.; Djaballah, A.M.; Boulahouache, A.; Trari, M. Synthesis, physical and electrochemical properties of the spinel CoFe2O4: Application to the photocatalytic hydrogen production. Int. J. Hydrogen Energy 2022, 47, 9239–9247. [Google Scholar] [CrossRef]
- Haoxuan, M.; Chunli, L. A mini-review of ferrites-based photocatalyst on application of hydrogen production. Front. Energy 2021, 15, 621–630. [Google Scholar]









| Sample | MS [emu g−1] | MR [emu g−1] | HC [mT] |
|---|---|---|---|
| Co-TD | (33 ± 3) | (8 ± 1) | (65 ± 1) |
| Co-SC | (84 ± 3) | (45 ± 1) | (105 ± 1) |
| CoY-SC | (58 ± 3) | (23 ± 1) | (124 ± 1) |
| Sample | MS [±3 emu g−1] | MR [±1 emu g−1] | M (130 mT) [±1 emu g−1] | Hc [±1 mT] | |||
|---|---|---|---|---|---|---|---|
| IP | OoP | HIP | HOoP | IP | OoP | ||
| ITO/Co-TD | 33 | 13 | 2 | 27 | 17 | 30 | 15 |
| ITO/Co-SC | 84 | 43 | 22 | 56 | 46 | 123 | 57 |
| ITO/CoY-SC | 58 | 25 | 8 | 38 | 33 | 150 | 30 |
| Graphite/Co-TD | 33 | 9 | 2 | 25 | 16 | 24 | 13 |
Disclaimer/Publisher’s Note: The statements, opinions and data contained in all publications are solely those of the individual author(s) and contributor(s) and not of MDPI and/or the editor(s). MDPI and/or the editor(s) disclaim responsibility for any injury to people or property resulting from any ideas, methods, instructions or products referred to in the content. |
© 2026 by the authors. Licensee MDPI, Basel, Switzerland. This article is an open access article distributed under the terms and conditions of the Creative Commons Attribution (CC BY) license.
Share and Cite
Daboin, V.B.; Riva, J.S.; Bercoff, P.G. Engineering Cobalt Ferrite Nanofilms for Magnetically Assisted Oxygen Evolution: Interplay of Doping, Nanostructure, and Electrode Magnetism. Magnetochemistry 2026, 12, 30. https://doi.org/10.3390/magnetochemistry12030030
Daboin VB, Riva JS, Bercoff PG. Engineering Cobalt Ferrite Nanofilms for Magnetically Assisted Oxygen Evolution: Interplay of Doping, Nanostructure, and Electrode Magnetism. Magnetochemistry. 2026; 12(3):30. https://doi.org/10.3390/magnetochemistry12030030
Chicago/Turabian StyleDaboin, Viviana B., Julieta S. Riva, and Paula G. Bercoff. 2026. "Engineering Cobalt Ferrite Nanofilms for Magnetically Assisted Oxygen Evolution: Interplay of Doping, Nanostructure, and Electrode Magnetism" Magnetochemistry 12, no. 3: 30. https://doi.org/10.3390/magnetochemistry12030030
APA StyleDaboin, V. B., Riva, J. S., & Bercoff, P. G. (2026). Engineering Cobalt Ferrite Nanofilms for Magnetically Assisted Oxygen Evolution: Interplay of Doping, Nanostructure, and Electrode Magnetism. Magnetochemistry, 12(3), 30. https://doi.org/10.3390/magnetochemistry12030030

