Abstract
In order to improve carrot quality and soil nutrition and reduce the environmental pollution caused by intensive carrot production, more comprehensive combined water–fertilizer management strategies are necessary. This study hypothesizes that optimal management of water and fertilizer can improve carrot yield and quality and reduce greenhouse gas emissions and soil nutrient residues. Thus, coordinated water–fertilizer management strategies were tested for carrot production on the North China Plain over two consecutive growing seasons. Four treatments were tested: local standard fertilization and irrigation practices (FNP); optimized irrigation and chemical nitrogen, phosphorus, and potassium fertilizer (OPT); OPT treatment with partial replacement of chemical fertilizer with peanut shell (PS); and OPT treatment with partial replacement of chemical fertilizer with mushroom residue (M). Compared to the FNP treatment, there were statistically significant increases in soluble sugars (12–27%) and free amino acids (14–26%), and decreases in the nitrate content (7–17%) of fleshy root in the OPT, PS, and M treatments. In autumn carrots, the OPT and M treatments decreased yield, whereas PS increased yield; spring carrot yield was significantly decreased in the OPT, PS, and M groups compared to the FNP group. There were no significant effects of the treatment group on carrot growth rates, nutrient accumulation, or nutrient distribution. However, the OPT, PS, and M treatments were associated with significantly increased partial productivity of phosphate fertilizer (233–363%), reduced residual levels of nitrate and available phosphorus in the top 80 cm of soil, and decreased greenhouse gas emissions by 8–18% compared to the FNP treatment. These results highlight the effectiveness of partial organic fertilizer substitution and integrated water–fertilizer management to produce high-quality carrots with minimal environmental damage.
1. Introduction
Carrot (Daucus carota L.), also known as small ginseng, is a plant that produces fleshy roots rich in carotene and vitamins. Both fresh and processed forms of the roots are commonly eaten and are highly valued in food applications. In 2022, China produced 410,242 hectares (19 million tons) of carrots, accounting for 37% and 44% of the world’s total carrot harvest area and output, respectively. Carrot export volume and export value have both increased in China over the past 20 years (by 4 and 19 times, respectively) [1]. However, strategies such as overfertilization and over-irrigation are commonly used to maximize yield, causing unnecessary and damaging greenhouse gas (GHG) emissions and eutrophication of water resources [2,3]. In some systems, rational irrigation and reduced fertilizer application have been shown to decrease agricultural pollution while maintaining or improving plant nutrient content, nutrient use efficiency, and/or yield [4,5,6]. Thus, identification of optimal fertilizer–water management strategies for carrot production is expected to lead to reductions in environmentally harmful fertilizer input while stabilizing or even improving quality and yield.
Some researchers seeking to optimize fertilization methods have tested the use of organic matter as a source of nutrients in crop production. For example, Afrin et al. [7] and Bender et al. [8] found that the use of organic rather than chemical fertilizers improves carrot quality and yield. Organic fertilizers can be used to adjust the proportions of trace minerals and the key elements potassium (K), nitrogen (N), and phosphorus (P) in the base soil, improving plant access to nutrients and in turn improving plant nutritional quality [9,10]. The content of minerals (such as P, Ca, Mg, Fe, and Zn) in organically grown vegetables is higher than that in carrots grown via traditional and conventional production [11]. Peanut shell and mushroom residue are two such organic substances that have been tested as fertilizers in carrot production. Peanut shell is rich in N, carbon, K, and trace elements. It is a particularly favorable soil additive because of its stability, high retention rate, and capacity for supplying nutrients improve soil physicochemical and biological properties, such as the pH and organic matter content. Similarly, mushroom residue has been shown to increase the quality of not only crops but also the soil [12,13].
In addition to fertilizer application, irrigation strategies can also affect both carrot yield and quality of carrot and soil [14,15,16]. For example, Léllis et al. [17] showed “full irrigation” can achieve the best yield and harvest quality per unit of cultivated land area, but regulated deficit irrigation strategies can improve water-related productivity and achieve the highest profitability per unit of irrigated water volume. Other studies have shown that interactions between irrigation and fertilization rates can affect carrot yield. A test of multiple soil moisture contents and N fertilization rates found that carrot yield is highest at 75% moisture content and 150 kg N ha−1 N fertilizer [18]. The biomass and nitrogen, phosphorus and potassium accumulation of potato were all affected by irrigation level, fertilizer application amount, and their interaction [19]. Importantly, Lopes et al. [16] found that the use of sustainable production strategies reduces particulate matter and terrestrial acidification and eutrophication by 15–70% without decreasing carrot yield. These production strategies include soil analysis to estimate required fertilization, decreased sowing to avoid the need for plant thinning, rational irrigation based on water conditions, electricity use management, and avoidance of excessive pesticide application.
Shandong Province is one of the major carrot-producing areas in China; the carrot planting area in Laixi City accounts for a full third of the total carrot planting area in Qingdao [20]. To identify optimal fertilizer–water management strategies to maximize carrot nutrient accumulation, yield, and quality in this region in an environmentally sustainable manner, soil nutrient contents and plant yield, quality, and dry matter/nutrient accumulation in field carrots treated with several water–fertilizer regimens were measured. The characterization of the rules of carrot nutrient accumulation and identifying interactions between major production factors provides a possible solution for promoting optimal management of plant nutrients and soil parameters to maximize carrot production while minimizing negative environmental impacts. Based on the nutrient and water demand pattern of carrot growth, we first hypothesized that the improvement of carrot yield and quality and the reduction of nitrate N leaching, available phosphorus residue and greenhouse gas emission could be achieved by optimizing the fertilizer application amount, fertilizer application period, NPK ratio, irrigation amount, and irrigation period. Based on this, we proposed our second hypothesis based on the soil improvement effect: further improvement of carrot yield, quality and environmental cost could be achieved by using organic materials (peanut shell and mushroom residue) to partially replace inorganic chemical fertilizer (Figure 1).
Figure 1.
Map of scientific hypotheses under fertilizer–water management paths. FNP, conventional fertilization irrigation practice; OFPR, organic fertilizer partially replacing fertilizer under optimal fertilizer–water management, organic fertilizer being peanut shell (PS) or mushroom residue (M); OPT, optimal fertilizer–water management; S1, Step 1, mode transformation from FNP to OPT; S2, Step 2, mode transformation from OPT to OFPR.
2. Materials and Methods
2.1. Experimental Site and Soil Parameters
Field experiments were carried out in two consecutive growing seasons (autumn and spring) on an individual farm (36.65° N, 120.35° E) in Laixi City, Shandong, China, with carrots as the fore-rotating crop (Figure S1). The autumn and spring carrot growing seasons were from 9 August to 3 December 2020 and from 12 January to 21 May 2021, respectively. In the autumn and spring growth periods, the monthly mean ambient temperatures in the region were 13.5 °C and 7.8 °C, respectively (Figure S2). The soil was classified as a Vertisols [21]. At a depth of 0–20 cm, the soil contained 12.3 g kg−1 organic matter, 5.5 mg kg−1 ammonium N, 130.7 mg kg−1 nitrate N, 175.7 mg kg−1 available N, 27.7 mg kg−1 available P, and 117.6 mg kg−1 available K. The pH (using water as a solvent) was 6.8.
2.2. Experimental Design
Field experiments were conducted in a steel pipe greenhouse covered with plastic film, the plastic drip irrigation belt laid for irrigation, and the transparent plastic film irradiated by sunlight to produce a thermal insulation effect in the plastic shed. For the 2020 autumn crop and 2021 spring crop, the carrot varieties we used were Mengdeer 3 and Outehong 2, respectively. Prior to the autumn planting season, the soil was disinfected with 375 kg ha−1 lime N (CaCN2). In both seasons, carrots were planted at a density of 360,000 plants ha−1 in 12 individual 4.9 × 15 m plots, each containing seven ridges 70 cm in width (28 cm upper plane width) and 15 cm in height. Each ridge was planted with two rows of carrots, with 10 cm between rows and 5–6 cm between plants. Seeds were sown at a depth of 1.5–2 cm. Weeding, pest control, and disease control were consistent with local practices.
Four large regions, each 220.5 m2 in size, were set up, each receiving one of the four fertilizer–water treatments and containing three replicates (Figure S1): (1) fertilization and irrigation practices conventional in the Laixi region (FNP); (2) irrigation to the maximum water holding capacity of the soil (40.6% soil moisture) and chemical fertilizer at an optimal NPK ratio (OPT); (3) irrigation to 40.6% soil moisture and chemical fertilizer at an optimal NPK ratio with partial peanut shell replacement (PS); and (4) irrigation to 40.6% soil moisture and chemical fertilizer at an optimal NPK ratio with partial mushroom residue replacement (M).
For all treatment groups, P chemical fertilizer (diammonium phosphate, N 18% and P2O5 46%) was applied to the soil before planting. The N chemical fertilizer utilized was urea (N 46%); K was in the form of 50% K2O. The number of effective viable bacteria (including Trichoderma harzianum.) is greater than or equal to 500 million /g, Wuzhoufeng Agricultural Science and Technology Co., Ltd., Yantai, Shandong, China) containing 4% N was applied to OPT plots at a rate of 1200 kg ha−1.The PS treatment included compressed peanut shell particles (N 1.71%, P2O5 0.20%, and K2O 0.42%, Qingdao Hexing Biomass energy Co., Ltd., Laixi, Shandong, China) at rates of 30 and 22.5 t ha−1 for the autumn and spring seasons, respectively; the M treatment included 22.5 t ha−1 mushroom residue (N 1.88%, P2O5 0.43%, and K2O 2.12%, Qingdao Jiang Zhigang edible fungus professional cooperative, Laixi, Shandong, China). The optimal fertilization rates and NPK ratios for the OPT treatment were 275 kg ha−1 N, 49.5 kg ha−1 P2O5, and 315 kg ha−1 K2O, respectively, for the autumn season and 258 kg ha−1 N, 49.5 kg ha−1 P2O5, and 286 kg ha−1 K2O, respectively, for the spring season. These values were based on data from soil tests, the literature, and expert recommendations. To ensure that the NPK doses and proportions of the PS and M treatments were consistent with those of the OPT treatment, additional fertilizers were added in the PS and M groups (Table S1). In the autumn growing season, the N and P application rates were decreased by 15% and 78%, respectively, in the OPT, PS, and M treatments compared to the FNP group; the K application rate was increased by 11% in all treatments. In the spring growing season, the N and P application rates were decreased by 20% and 78%, respectively, in the OPT, PS, and M groups compared to the FNP group (Table S1).
The irrigation rate for the FNP treatment in each season was based on local farmers’ irrigation practices. The irrigation rates for the OPT, PS, and M groups were calculated as follows:
where the planting area was calculated as the ridge width multiplied by the length, and the soil depth was determined based on carrot root length. Using the ring knife method (China National Standard NY/T 1121.22, 2010), the dry bulk soil density and the maximum volume water holding capacity of the soil were measured as 1.34 g cm−3 and 40.6%, respectively. Based on local practices and calculations from these values, the irrigation rates for the FNP, OPT, PS, and M plots in the autumn season were 1320, 1155, 1140, and 1140 m3 ha−1, respectively; in the spring season, they were 1815, 1650, 1680, and 1695 m3 ha−1, respectively. The true soil volume water content was tracked in real time with RS485 soil temperature and humidity sensors (Weihai Jingxun Unblocked Electronic Technology Co., Ltd., Weihai, Shandong, China).
Irrigation amount = planting area × depth × soil dry bulk density × (maximum volume water holding capacity of soil − actual soil volume water content)
2.3. Plant Sampling and Measurements
The identification of growth stages was based on morphological characteristics and date of growth [22]. Plant samples were collected at the seedling, rosette, early expansion, middle expansion, and harvest stages of each season. These timepoints corresponded to 44, 59, 75, 90, and 116 d, respectively, after planting in autumn and to 48, 72, 91, 106, and 129 d, respectively, after planting in spring. Five representative carrot samples were taken from each replicate, and a total of 15 plants were taken from each large region. At the end of the season, total yield/ha was calculated based on the harvest density. At each timepoint, the plants were divided into two sections: the aboveground tissue and the fleshy root. After the fleshy roots were washed, the following parameters were measured: aboveground plant length; fleshy root length; fleshy root diameter at 5, 10, and 15 cm below ground; aboveground tissue fresh weight; and fleshy root fresh weight. After these measurements were taken, all samples were chopped into pieces, placed in individual paper bags, and dried at 105 °C to a constant weight. The dry weight was then recorded, and the water contents of the fresh samples were calculated.
Dried carrot samples (aboveground tissues and roots) were crushed and digested with concentrated H2O2–H2SO4 prior to measurements of total free amino acids and levels of K, N, and P with the ninhydrin colorimetric, flame photometer, Kjeldahl, and vanadium–molybdenum yellow colorimetric methods, respectively [23,24,25,26]. Levels of nitrate, vitamin C (VC), carotene, soluble protein, and soluble sugar were measured in fresh fleshy root samples with the UV spectrophotometric, 2,6-dichloroindophenol titration, acetone extraction direct colorimetric, Thomas blue, and anthrone colorimetric methods, respectively [27,28,29,30,31].
2.4. Soil Sampling and Measurements
Soil samples were collected at the same timepoints as plant samples. Soil samples were collected from each plot at 0–20, 20–40, 40–60, and 60–80 cm at the timepoints detailed above for carrot collection [32]. For each soil depth in each plot, soil cores were drilled from three separate points and mixed into a single homogenous sample. Specifically, two cores were drilled from the base of the ridge, and one core was drilled from the trench between adjacent ridges to form each final soil sample. The samples were then air-dried, passed through a 1-mm sieve, and stored at room temperature prior to further analysis. The flame photometer and molybdenum blue colorimetric methods were used to measure fast-acting K and effective P, respectively [33,34]. Levels of nitrate and ammonium N were measured with an AA3 continuous flow analyzer (SEAL Analytical, Shanghai, China) after CaCl2 leaching. Alkaline N was measured using the alkali diffusion method, as described by Mulvaney et al. [35]. Soil pH was measured with a PB-30 pH meter (Sartorius AG, Göttingen, Germany).
2.5. Nutrient and Water Use Calculations
The nutrient harvest index, which represents the proportion of nutrient contents out of the total nutrient content in a plant organ of interest, was calculated as follows for N, P, and K [36]:
Harvest index = root nutrient accumulation/whole-plant nutrient accumulation
The physiological utilization efficiency was also calculated for N, P, and K [37]:
Physiological utilization efficiency = root dry matter accumulation/whole-plant nutrient accumulation
Finally, the partial N, P, and K productivity values were calculated as follows [38]:
Partial productivity = yield/amount of N, P, or K applied
The use of drip irrigation and growth in a greenhouse placed on flat terrain for these experiments meant that only the water provided via irrigation needed to be considered in calculating evapotranspiration [39,40]. Thus, yield water use efficiency and biomass water use efficiency could be calculated as follows:
Yield water use efficiency = yield/irrigation amount
Biomass water use efficiency = dry matter/irrigation amount
2.6. GHG Emissions
For each season, GHG emissions were classified as follows [41]: (1) emissions from all activities associated with organic N fertilizer (namely production, transportation, and application) (ON-N fertilizer); (2) emissions from all activities associated with inorganic N fertilizer (IN-N fertilizer); and (3) all other emissions, including electricity, pesticides, polyethylene, diesel, steel, and P and K fertilizers (other). The CO2, CH4, and N2O emission equivalent coefficients for global warming potential (CO2-eq unit−1) were 1, 28, and 265, respectively [42].
GHG emissions were calculated as the total GHG emissions to the environment per ha of product [43,44]:
where represents CO2 emissions from the production and transportation of various agricultural materials (such as N, P, and K fertilizers; electricity; pesticides; polyethylene; diesel; and steel). This value represents the amount of each input multiplied by the corresponding GHG emission coefficient for the appropriate stage (Tables S2 and S3) [45,46,47,48,49,50,51,52,53,54]. Total N2O represents total N2O emissions from nitrogen fertilizer application during farming in kg of N2O-N ha−1. The molecular weight ratio of N2O to N2O-N was 44/28. N2O emissions direct represents direct N2O emissions from nitrogen fertilizer application during farming. N2O-N corresponded to 1% NH3 volatilization and 2.5% N leaching [55].
Total N2Oapp = N2O emissions direct + 1% × NH3 volatilization + 2.5% × N leaching
N2O emissions direct, N leaching, and NH3 volatilization from inorganic and organic N fertilizer following application were calculated by multiplying the total application rate from inorganic and organic N fertilizer (Table S3) by the corresponding emission or leaching factor. The N2O emission factors for inorganic and organic N fertilizer were 1.25% and 0.63%, respectively [56,57]. The emission factor for NH3 volatilization was 0.81% [58], and the N leaching fractions for inorganic and organic N fertilizer were 19.7% and 11.1% [59,60], respectively.
2.7. Statistical Analyses
Statistical differences between treatment groups were analyzed with one-way analysis of variance (ANOVA) in DPS 7.05 (Ruifeng Information Technology Co., Ltd., Hangzhou, China) and least significant difference (LSD) test. Differences were considered statistically significant at p < 0.05. Redundancy analysis (RDA) was performed using Canoco 4.5 (ter Braak & Smilauer, 2002) to analyze relationships between fleshy root quality, plant and soil nutrient contents, and treatment groups. Figures were all depicted with SimaPlot 14.0 (Systat Software Inc., SAN Jose, CA, USA) and Excel (Microsoft, Redmond, WA, USA).
3. Results
3.1. Yield and Growth Parameters
We first assessed carrot yield and growth in response to differences in water and fertilizer regimens. There were no significant differences in yield per plot between the treatment groups in the autumn, although the yield was significantly higher in the FNP group compared to the OPT, PS, and M groups in the spring (Table 1). Specifically, yield per plot was decreased in the OPT and M groups by 5.5% and 4.3% (p > 0.05), respectively, in the autumn, and by 15.0% and 24.3% (p < 0.05), respectively, in the spring (Table 1). There were significant differences in fleshy root weight per plant between treatment groups in both seasons (Table 1). The fleshy root weight was significantly higher among those in the OPT and PS treatments compared to the M group in autumn, whereas per-plant root weight was significantly higher in the FNP group compared to all other groups in spring. There were no significant differences in the plant emergence rate between treatments in either season (Table 1). The aboveground tissue height and root length were consistent between treatment groups; both parameters increased over the first several timepoints, then stabilized toward the end of the season (Figure S3). Notably, although carrot fleshy root diameter was not significantly altered by the OPT, PS, or M treatments in the autumn, the diameter at 5 cm belowground was significantly reduced in the OPT, PS, and M groups compared to FNP and the diameters at 10 and 15 cm were significantly reduced in the PS and M groups in the spring (Figure S4). This suggests that differences in carrot yield were due to smaller carrot diameter and root weight in the PS and M groups.
Table 1.
Effects of optimized fertilizer–water management on carrot fleshy root yield and its components in autumn of 2020 and spring of 2021.
3.2. Biochemical Parameters, Dry Matter Accumulation, and Nutrient Accumulation
We next assessed the biochemical features of the carrots in each treatment group. Compared with the FNP group, those in the OPT and M groups had significantly higher levels of soluble sugars and free amino acids in their fleshy root; PS had no effect on these parameters (Table 2). There were no significant differences between treatment groups in carotene, VC, or soluble protein contents. The only significant difference in nitrate was a reduction in the M group compared to the other three groups (Table 2).
Table 2.
Effects of optimized fertilizer–water management on carrot fleshy root quality parameters at harvest.
We next sought to establish the rules of dry matter and key nutrient accumulation in the aboveground tissue, the fleshy root, and the whole plant in each treatment group. Dry matter accumulation did not differ significantly between treatments (Figure 2). In the autumn growing season, whole-plant dry matter accumulation followed a sigmoid pattern; the speed of accumulation was slow at the seedling stage, accelerated toward the middle of the season, then decreased at the harvest stage. The maximum dry matter accumulation ranged from 8468 to 10,256 kg ha−1 in each treatment group. Whole-plant dry matter accumulation was similar to accumulation in the aboveground tissue and the fleshy root (Figure 2A,C,E). The trends in dry matter accumulation were consistent in the spring growing season, reaching 8334–10,568 kg ha−1 at harvest (Figure 2B,D,F).
Figure 2.
Effects of optimized fertilizer–water management on dry matter accumulation of carrots in 2020 and 2021. Aboveground (A), fleshy root (C), and whole plant (E) in autumn of 2020 and aboveground (B); fleshy root (D), and whole plant (F) in spring of 2021. FNP, conventional fertilization irrigation practice; OPT, optimal fertilizer–water management; PS, peanut shell partially replacing fertilizer under optimal fertilizer–water management; M, mushroom residue partially replacing fertilizer under optimal fertilizer–water management.
Analysis of the key nutrients N, P, and K in the whole plant, the aboveground tissue, and the roots revealed no significant effects of treatment on N, P, or K accumulation (Figure 3, Figure 4 and Figure 5). However, there were notable trends in key nutrient accumulation. In autumn and spring carrots, N rapidly accumulated in the whole plant starting at the rosette stage, peaking at 159–183 and 113–150 kg ha−1, respectively, at harvest. The fleshy root showed a similar pattern, whereas N accumulation stabilized in the aboveground tissue around the middle expansion stage (Figure 3). This corresponded to a gradual increase in the proportion of root N accumulation to whole-plant N accumulation, which reached maxima of 53–60% and 58–64% at the harvest stage in autumn and spring carrots, respectively (Figure 3).
Figure 3.
Effects of optimized fertilizer–water management on nitrogen accumulation amount of carrots in 2020 and 2021. Aboveground (A), fleshy root (C), and whole plant (E) in autumn of 2020; and aboveground (B), fleshy root (D), and whole plant (F) in spring of 2021. FNP, conventional fertilization irrigation practice; OPT, optimal fertilizer–water management; PS, peanut shell partially replacing fertilizer under optimal fertilizer–water management; M, mushroom residue partially replacing fertilizer under optimal fertilizer–water management.
Figure 4.
Effects of optimized fertilizer–water management on phosphorus accumulation amount of carrots in 2020 and 2021. Aboveground (A), fleshy root (C), and whole plant (E) in autumn of 2020; and aboveground (B), fleshy root (D), and whole plant (F) in spring of 2021. FNP, conventional fertilization irrigation practice; OPT, optimal fertilizer–water management; PS, peanut shell partially replacing fertilizer under optimal fertilizer–water management; M, mushroom residue partially replacing fertilizer under optimal fertilizer–water management.
Figure 5.
Effects of optimized fertilizer–water management on potassium accumulation amount of carrots in 2020 and 2021. Aboveground (A), fleshy root (C), and whole plant (E) in autumn of 2020; and aboveground (B), fleshy root (D), and whole plant (F) in spring of 2021. FNP, conventional fertilization irrigation practice; OPT, optimal fertilizer–water management; PS, peanut shell partially replacing fertilizer under optimal fertilizer–water management; M, mushroom residue partially replacing fertilizer under optimal fertilizer–water management.
Whole-plant P accumulation in autumn carrots continuously increased over time, reaching 25–30 kg ha−1 at harvest. P accumulation rates were similar in the fleshy root, but decreased in the aboveground tissue from the early expansion stage to harvest (Figure 4A,C,E). These trends were consistent in spring carrots, although the proportions of root P accumulation to whole-plant P accumulation were higher than in autumn carrots at each timepoint (Figure 4B,D,F). As with the other key nutrients, whole-plant K accumulation increased throughout the autumn growing season, reaching a maximum of 125–191 kg ha−1 at harvest; K accumulation also increased in the fleshy root but stabilized or even decreased slightly in the aboveground tissue from the early expansion stage (Figure 5A,C,E). The results in spring carrots were comparable (Figure 5B,D,F). Overall, these results demonstrated a continuous increase in key nutrient accumulation in the fleshy roots over time, although there were no significant differences between treatment groups.
3.3. Soil N Content, Residual P Levels, and GHG Emissions
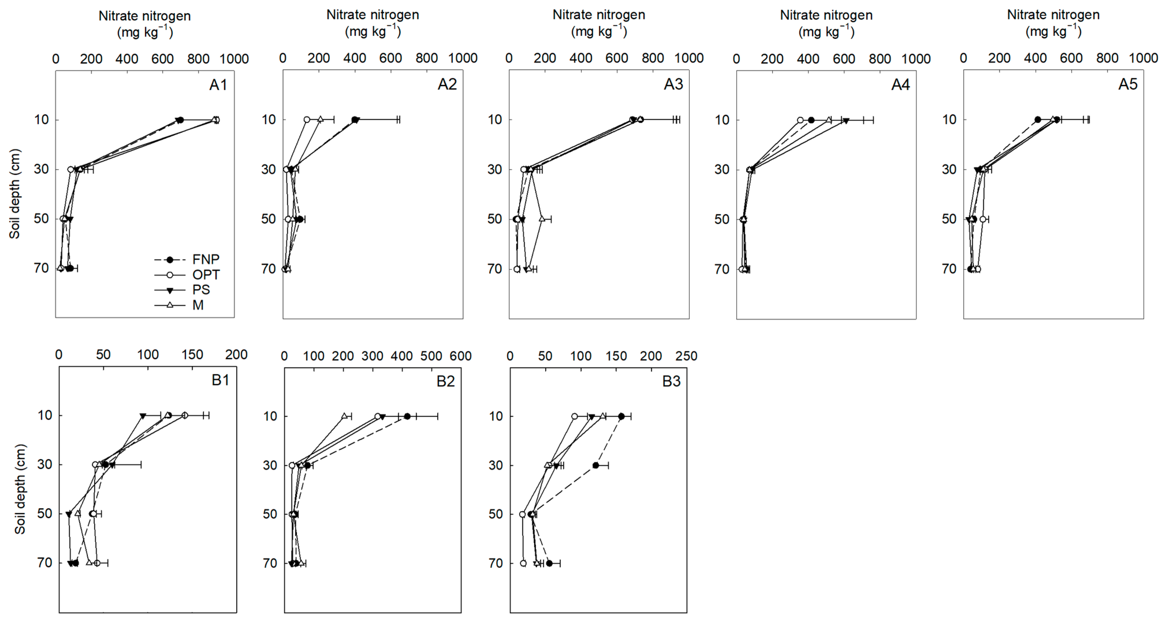
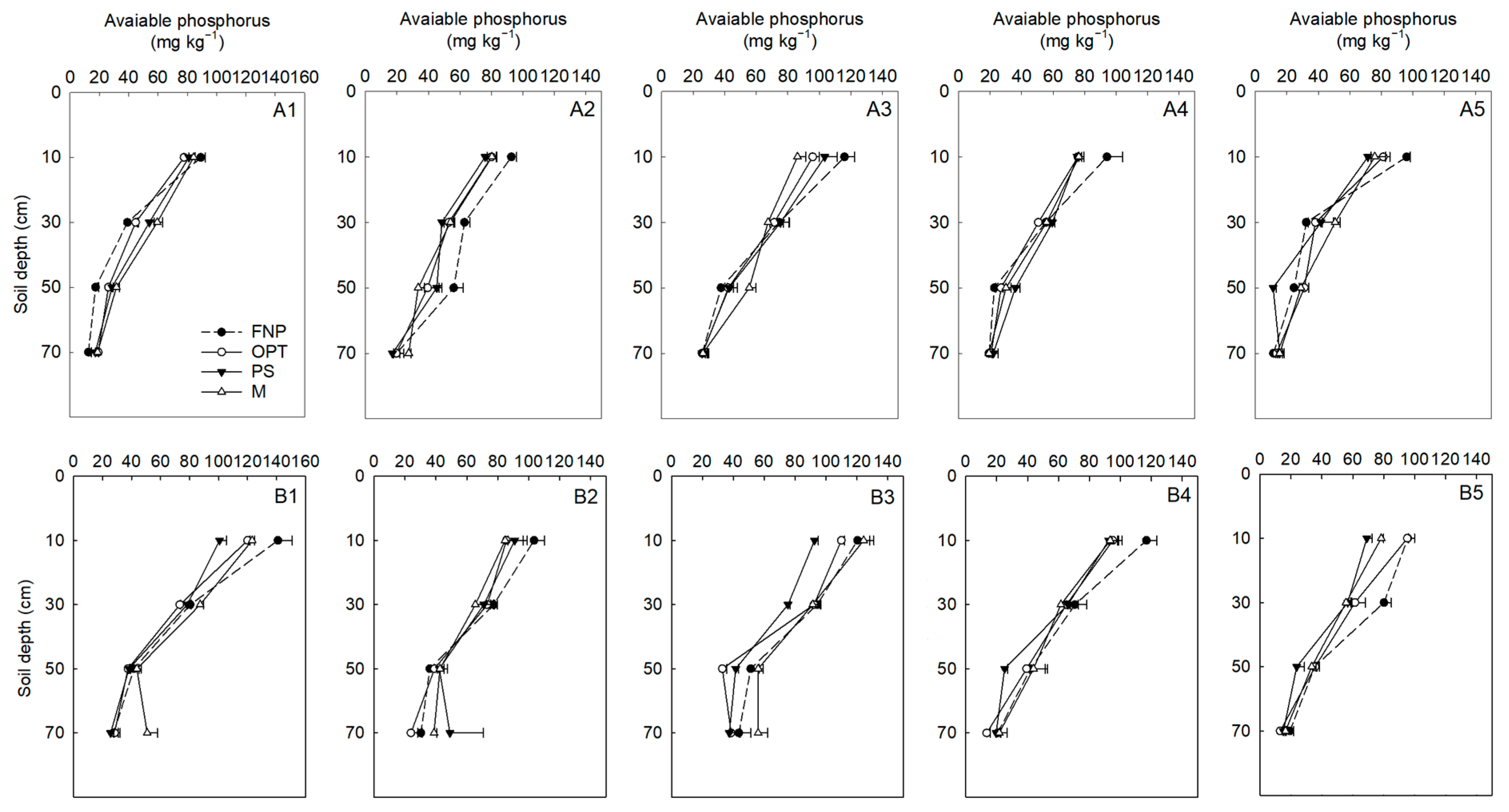
Compared to the FNP treatment, the interannual cumulative effects of nitrate N content in the soil from 0–80 cm were reduced in the OPT, PS, and M treatments (Figure 6B1–B3). Overall, soil nitrate N contents decreased along with soil depth. The nitrate N content of the surface soil (0–20 cm) varied greatly at each timepoint; at the seedling, rosette, early expansion, middle expansion, and harvest stages, nitrate levels were in the ranges of 687–901, 132–409, 686–731, 355–610, and 412–518 mg kg−1, respectively, in autumn carrots. In spring carrots, nitrate levels ranged from 94–142, 203–417, and 91–157 mg kg−1 at the seedling, rosette, and early expansion stages, respectively (Figure 6). Available P in the surface soil was also lower in the OPT, PS, and M groups compared to the FNP treatment at almost all timepoints, indicating reduced soil P residue. Furthermore, available P decreased along with soil depth (Figure 7). In the FNP, OPT, PS, and M treatments, total GHG emissions were 7209, 6333, 5793, and 5787 CO2-eq ha−1, respectively, in autumn carrots and 7228, 6351, 5642, and 5807 kg CO2-eq ha−1, respectively, in spring carrots. Averaged across the two seasons, this corresponded to reductions in total GHG emissions of 8.2%, 17.2%, and 16.1% in the OPT, PS, and M treatments, respectively, compared to FNP (Figure 8). Thus, the organic fertilizer treatments were associated with larger reductions in GHG emissions than the chemical fertilizer treatment.
Figure 6.
Effects of optimized fertilizer–water management on soil nitrate nitrogen of carrots in 2020 and 2021. Seeding period (A1), rosette period (A2), early expansion period (A3), middle expansion period (A4), and mature period (A5) in autumn of 2020 and seeding period (B1), rosette period (B2), early expansion period (B3) in spring of 2021. FNP, conventional fertilization irrigation practice; OPT, optimal fertilizer–water management; PS, peanut shell partially replacing fertilizer under optimal fertilizer–water management; M, mushroom residue partially replacing fertilizer under optimal fertilizer–water management.
Figure 7.
Effects of optimized fertilizer–water management on available soil phosphorus of carrots in 2020 and 2021. Seeding period (A1), rosette period (A2), early expansion period (A3), middle expansion period (A4) and mature period (A5) in autumn of 2020 and seeding period (B1), rosette period (B2), early expansion period (B3), middle expansion period (B4) and mature period (B5) in spring of 2021. FNP, conventional fertilization irrigation practice; OPT, optimal fertilizer–water management; PS, peanut shell partially replacing fertilizer under optimal fertilizer–water management; M, mushroom residue partially replacing fertilizer under optimal fertilizer–water management.
Figure 8.
Effects of optimized fertilizer–water management on greenhouse gas (GHG) emissions of carrots. IN-N fertilizer is the GHG emission of production, transportation, and application of inorganic N fertilizer; ON-N fertilizer is the GHG emission of production, transportation, and application of organic N fertilizer; Others is the GHG emission from production, transportation, and use of other inputs (including steel, plastic, diesel, pesticide, electricity, and P and K fertilizers). FNP, conventional fertilization irrigation practice; OPT, optimal fertilizer–water management; PS, peanut shell partially replacing fertilizer under optimal fertilizer–water management; M, mushroom residue partially replacing fertilizer under optimal fertilizer–water management.
3.4. Nutrient and Water Utilization Efficiency
We next measured nutrient and water use efficiency among carrots in each treatment group. Differences in water–fertilizer management did not alter the harvest index for N, P, or K (Table 3). However, the N utilization efficiency (NUtE) was significantly lower in the OPT than in the FNP treatment (autumn carrots) or the M treatment (autumn and spring carrots). P physiological utilization efficiency (PUtE) was significantly higher in the OPT, PS, and M treatments than in the FNP treatment in spring carrots. There were no significant differences in the K physiological utilization efficiency (KUtE) in the OPT, PS, or M treatments compared to the FNP treatment in either season (Table 3). Partial productivity of N fertilizer (PFPN) was significantly higher for the PS treatment than the FNP treatment in autumn carrots (Table 3). Partial productivity of P fertilizer (PFPP) was significantly higher for the OPT, PS, and M treatments than for the FNP treatment in both seasons, whereas partial productivity of K fertilizer (PFPK) was significantly lower for the OPT and M treatments in spring and autumn carrots and for the PS treatment in spring carrots compared to the FNP treatment (Table 3). The yield water use efficiency was significantly higher in the PS and M treatments than in the FNP treatment in autumn carrots, although it was significantly higher in the FNP and OPT treatments than in the PS and M treatments in spring carrots (Table 4). There were no significant differences in the carrot biomass water use efficiency between treatment groups in either season (Table 4).
Table 3.
Effects of optimized fertilizer–water management on N, P, K harvest index, physiological utilization efficiency, and fertilizer production efficiency.
Table 4.
Effects of optimized fertilizer–water management on yield water use efficiency and biomass water use efficiency.
3.5. RDA for Root Quality and Nutrient Contents
We last investigated relationships between growth indexes, plant and soil nutrient contents, yield, and water–fertilizer management regimens using RDA. The FNP group was most positively associated with plant and soil nutrients (especially available soil P), but negatively associated with nutrient physiological utilization efficiency and partial nutrient productivity (Figure 9A,B). RDA also showed that the FNP treatment was strongly associated with carotene and nitrate levels, and that the OPT treatment was strongly associated with VC. The M treatment was associated with soluble sugar, free amino acids, and soluble proteins (Figure 9C). These results clearly demonstrated that the varying water–fertilizer treatments had significant impacts on carrot root quality.
Figure 9.
Independent and interactive actions of nutrient of plant and soil in 2020 (A) and 2021 (B), fleshy root quality (C) on various properties shown in ordination diagrams obtained from redundancy analysis (RDA). The coordinate of the first ordination axes explained 39.4%, 85.9%, and 31.6% of variance, and that of second ordination axes explained 25.1%, 9.6%, and 48.4% of variance in Figure 9A,B and C, respectively. E—early expansion period; KUtE—potassium physiological utilization efficiency; M—mature period; ME—middle expansion period; NUtE—nitrogen physiological utilization efficiency; PFPK—partial productivity of potassium fertilizer; PFPN—partial productivity of nitrogen fertilizer; PFPP—Partial productivity of phosphorus fertilizer; PUtE—phosphorus physiological utilization efficiency; R—rosette period; S—seeding period. FNP, conventional fertilization irrigation practice; OPT, optimal fertilizer–water management; PS, peanut shell partially replacing fertilizer under optimal fertilizer–water management; M, mushroom residue partially replacing fertilizer under optimal fertilizer–water management.
4. Discussion
The yield and quality of crop plants, including carrots, are strongly dependent on access to nutrients and water. Prior studies have indicated that a combined organic/inorganic fertilizer regimen contributes to high-quality carrot production [8,61]. However, reported outcomes resulting from various water–fertilizer regimens have varied. For example, one study found a 14% reduction in nitrate in carrots treated with organic rather than conventional fertilizer [8]. The addition of organic fertilizer reportedly improves the parameters of tomato quality, such as soluble sugar content [61,62]. However, in greenhouse-grown tomatoes, fruit quality is negatively impacted by over-irrigation and overfertilization [40].
The effects of conventional irrigation and fertilization approaches compared to optimal irrigation and chemical fertilizer application or optimal irrigation with chemical fertilizer and partial organic fertilizer replacement on yield, nutrient accumulation, and nutrient use efficiency of carrots were analyzed. Numerous parameters of carrot plants must be carefully coordinated, including photosynthate production in the aboveground tissue and water and nutrient absorption by the root, to produce high-quality, high-yield fleshy roots [63,64]. We found significant differences in quality and yield between different treatments. For example, conventional irrigation and fertilization practices led to the highest spring carrot yield and individual fleshy root weight (Table 1), possibly because a lower accumulated temperature (Figure S2) affected the release of nutrients from organic matter (peanut shell and mushroom residue).
The nitrate contents of carrot fleshy roots were reduced by 7%, 11%, and 18% with the OPT, PS, and M treatments, respectively, compared to the FNP treatment (Table 2; Figure 9C and Figure 10). Furthermore, soluble sugar and free amino acid levels were higher with optimal water–fertilizer treatments (the OPT, PS, and M treatments) than under standard management practices (FNP) (Table 2; Figure 9C). These results demonstrate that the optimized fertilization treatment resulted in relatively high-quality carrot roots. Results from prior studies suggest that the observed increases in amino acids and the decreases in nitrate levels among carrots treated with optimized fertilizer rates could be attributed to increases in the activity of nitrate reductase caused by high N availability [65]. Furthermore, the relatively high soluble sugar levels in treated carrots may have been due to alterations in sugar sink capacity [66].
Figure 10.
Conceptual framework of the optimal fertilizer–water management approach to sustainably intensify carrot production. GHG, greenhouse gas; PFPP, partial productivity of phosphorus fertilizer.
To understand the rules governing carrot growth under optimal fertilizer–water conditions compared to standard management practices, we measured dry matter, N, P, and K accumulation in the whole plant, the fleshy root, and the aboveground tissue throughout the growth period. We found no differences in any of these parameters between four treatments (Figure 2, Figure 3, Figure 4 and Figure 5; Tables S4 and S5). In all three plant portions and both seasons, dry matter was accumulated in a sigmoid curve pattern, consistent with previous studies [67,68] (Figure 2). We hypothesize that differences in accumulation between the autumn and spring growing seasons resulted from the lower temperatures and decreased light availability in the spring season, which would inhibit photosynthate production and plant growth [69] (Figures S2–S4). Across treatment groups and seasons, several nutrients accumulated at higher proportions in the fleshy root than in the aboveground tissue as the season progressed. At harvest time, the proportions of N, P, and K in the fleshy root compared to the whole plant were 53–64%, 74–87%, and 61–78%, respectively; these findings were consistent with a previous study showing values of 60.5%, 86.1%, and 58%, respectively, for the same parameters [68].
Due to high nutrient uptake by crop plants, crop growth without nutrient supplementation generally decreases soil nutrient status [70]. Previous studies have shown that fertilization efficiency is maximized by rational fertilizer application (rather than overfertilization) and the use of slow-release fertilizers, which promote nutrient availability directly to plants and thus prevent runoff [71] (Table 3). Combined chemical and organic fertilizers tend to release nutrients slowly [72], and organic fertilizers can increase soil N retention [73] (Figure 6). Furthermore, organic matter enhances soil water retention. Here, partial chemical fertilizer replacement with organic material increased the yield water use efficiency of autumn carrots but decreased the yield water use efficiency of spring carrots (Table 4). This may have been due to the fact that the optimal yield level of spring carrots was not reached (Table 1; Figure 2, Figures S2 and S3). With respect to nutrient utilization, PUtE and PFPP tended to be higher in the OPT, PS, and M treatments than in the FNP treatment (Table 3). This demonstrated high P utilization efficiency as a result of water–fertilizer management (Figure 9 and Figure 10). The relatively suitable P content in the surface soil (60–90 mg kg−1) throughout each season provided the carrots with a consistent P supply and minimized P release into the environment [74] (Figure 7). There were large differences in the soil nitrate content between seasons, but no significant differences between different treatments (Figure 6). From the perspective of interannual cumulative effects, the nitrate in each soil layer was reduced among plots treated with optimized water–fertilizer application [4] (Figure 6 and Figure 9) because the nitrogen leaching is reduced by reasonable nitrogen application and irrigation amount [75] (Tables S1 and S6).
A previous study in a greenhouse system showed a 25% decrease in GHG emissions resulting from an integrated rational water–fertilizer management approach compared to standard plant treatment methods [41]. Similarly, we found 8–16% and 8–18% decreases in GHG emissions from autumn and spring carrots, respectively, in the optimized water–fertilizer management groups (Figure 10). Importantly, GHG emissions were reduced by twice as much in treatment groups using combined chemical and organic fertilizers compared to chemical fertilizer alone (Figure 8).
5. Conclusions
Field experiments in two successive seasons here showed that optimizing water and fertilizer treatments to improve soil and crop nutrients did not affect the accumulation or distribution of dry matter, N, P, or K in carrots. However, compared to conventional fertilization and irrigation practices, appropriate water–fertilizer management increased levels of soluble sugars by 12–27% and free amino acids by 14–26% in the fleshy roots; reduced nitrate content by 7–17%; improved the partial productivity of P fertilizer by 233–363%; and reduced nitrate leaching, soil P residue, and GHG emissions by 8–18%. These results indicated that soil nutrient and plant quality were generally improved by rational water and fertilizer use. Yield was not stable, with significant reductions among plots treated with optimized water–fertilizer compared to those treated with standard practices. Although further study will be required to identify methods of maximizing yield, these findings suggest that coordinated water–fertilizer management, including the use of organic fertilizer, allows production of high-quality carrots with decreased environmental impacts compared to standard fertilization and irrigation practices.
Supplementary Materials
The following supporting information can be downloaded at: https://www.mdpi.com/article/10.3390/horticulturae10020151/s1, Table S1: Nutrient application rates and application periods for four fertilizer–water treatments of the experiments in 2020 and 2021; Table S2: Greenhouse gas (GHG) emission factors for production and transportation of various agricultural inputs in the greenhouse vegetable production system; Table S3: Inventory analysis of carrot production system in different treatments during 2020–2021; Table S4: Nutrient concentration in five periods in 2020; Table S5: Nutrient concentration in five periods in 2021; Table S6: Irrigation according to four fertilizer–water management treatments of the experiments in 2020 and 2021; Figure S1: The location and graphic representation of the experiment during the growth period of carrots in 2020 and 2021; Figure S2: Dynamic changes in precipitation and temperature at experimental site during the growth period of carrots in 2020 and 2021; Figure S3: Effects of optimized fertilizer–water on aboveground height and fleshy root length of carrots in autumn of 2020 (A,C) and spring of 2021 (B,D); Figure S4: Effects of optimized fertilizer–water on fleshy root diameter of carrots in autumn of 2020 and spring of 2021.
Author Contributions
Conceptualization, Y.C.; methodology, Y.C., W.T. and Y.L.; software, W.T.; validation, W.T., C.Z., P.Z., Y.Z. and M.G.; formal analysis, W.T.; investigation, W.T., C.Z., P.Z., Y.Z. and M.G.; resources, Y.C.; data curation, W.T.; writing—original draft preparation, W.T.; writing—review and editing, Y.C. and W.T.; visualization, W.T.; supervision, Y.C., Y.L. and R.C.; project administration, Y.C., Y.L. and R.C.; funding acquisition, Y.C. All authors have read and agreed to the published version of the manuscript.
Funding
This research was funded by the central government guides local special plans for science and technology development “Integration and demonstration of key technologies of carrots continuous cropping system”, grant number 22-1-3-7-zyyd-nsh.
Data Availability Statement
The original contributions presented in the study are included in the article and supplementary material, further inquiries can be directed to the corresponding author.
Conflicts of Interest
The authors declare no conflicts of interest.
References
- FAOSTAT. Available online: https://www.fao.org/faostat/en/#data/QCL (accessed on 27 January 2024).
- Li, T.F.; Zhou, P.Y.; Ding, Y.C.; Zhou, S.S.; Liu, Y. Distribution characteristics and source analysis of nitrogen and phosphorus in different rivers in two water period: A case study of Pi river and shiting river in the upper reaches of tuo river in China. Int. J. Environ. Res. Public Health 2022, 19, 12433. [Google Scholar] [CrossRef]
- Sikora, J.; Niemiec, M.; Szeląg-Sikora, A.; Gródek-Szostak, Z.; Kuboń, M.; Komorowska, M. The impact of a controlled-release fertilizer on greenhouse gas emissions and the efficiency of the production of chinese cabbage. Energies 2020, 13, 2063. [Google Scholar] [CrossRef]
- Wang, X.Z.; Dou, Z.X.; Shi, X.J.; Zou, C.Q.; Liu, D.Y.; Wang, Z.Y.; Guan, X.L.; Sun, Y.X.; Wu, G.; Zhang, B.G.; et al. Innovative management programme reduces environmental impacts in chinese vegetable production. Nat. Food 2021, 2, 47–53. [Google Scholar] [CrossRef]
- Colombari, L.F.; Lanna, N.B.; Guimarães, L.R.; Cardoso, A.I.I. Production and quality of carrot in function of split application of nitrogen doses in top dressing. Hortic. Bras. 2018, 36, 306–312. [Google Scholar] [CrossRef]
- Sikora, J.; Niemiec, M.; Tabak, M.; Gródek-Szostak, Z.; Szeląg-Sikora, A.; Kuboń, M.; Komorowska, M. Assessment of the efficiency of nitrogen slow-release fertilizers in integrated production of carrot depending on fertilization strategy. Sustainability 2020, 12, 1982. [Google Scholar] [CrossRef]
- Afrin, A.; Islam, M.A.; Hossain, M.M.; Hafiz, M.M.H. Growth and yield of carrot influenced by organic and inorganic fertilizers with irrigation interva: Fertilizer and irrigation affect yield of carrot. J. Bangladesh. Agril. Univ. 2019, 17, 338–343. [Google Scholar] [CrossRef]
- Bender, I.; Edesi, L.; Hiiesalu, I.; Ingver, A.; Kaart, T.; Kaldmäe, H.; Talve, T.; Tamm, I.; Luik, A. organic carrot (Daucus carota L.) production has an advantage over conventional in quantity as well as in quality. Agronomy 2020, 10, 1420. [Google Scholar] [CrossRef]
- Diallo, F.; Legros, S.; Diarra, K.; Feder, F. Varying effects of organic waste products on yields of market garden crops in a 4-year field experiment under tropical conditions. Agronomy 2022, 12, 32. [Google Scholar] [CrossRef]
- Kiran, M.; Jilani, M.S.; Waseem, K.; Haq, F.; Khan, M.S.; Nadim, M.A.; Rahman, K.; Hussain, K. Growth and yield enhancement of carrot through integration of NPK and organic manures. J. Hortic. Sci. 2022, 17, 341–346. [Google Scholar] [CrossRef]
- Çakmakçı, S.; Çakmakçı, R. Quality and Nutritional Parameters of Food in Agri-Food Production Systems. Foods 2023, 12, 351. [Google Scholar] [CrossRef]
- Li, J.J.; Li, C.Z.; Gao, L.J.; Liu, D.S.; Zou, G.Y.; Xu, J.X.; Li, S.M.; Sun, Q.P. Impact of different organic fertilizers on soil humus, microbiomass and quality of cabbage. Adv. Mater. 2014, 955–959, 628–632. [Google Scholar] [CrossRef]
- Li, F.L.; Kong, Q.B.; Zhang, Q.; Wang, H.P.; Wang, L.M.; Luo, T. Spent mushroom substrates affect soil humus composition, microbial biomass and functional diversity in paddy fields. Appl. Soil Ecol. 2020, 149, 103489. [Google Scholar] [CrossRef]
- Pascual-Seva, N.; San Bautista, A.; López-Galarza, S.; Maroto, J.V.; Pascual, B. Influence of different drip irrigation strategies on irrigation water use efficiency on chufa (Cyperus esculentus L. var. Sativus Boeck.) crop. Agric. Water Manag. 2018, 208, 406–413. [Google Scholar] [CrossRef]
- Yavuz, D.; Seymen, M.; Yavuz, N.; Türkmen, Ö. Effects of irrigation interval and quantity on the yield and quality of confectionary pumpkin grown under field conditions. Agric. Water Manag. 2015, 159, 290–298. [Google Scholar] [CrossRef]
- Lopes, J.; Medeiros, D.L.; Kiperstok, A. Combining cleaner production and life cycle assessment for reducing the environmental impacts of irrigated carrot production in brazilian semi-arid region. J. Clean. Prod. 2018, 170, 924–939. [Google Scholar] [CrossRef]
- Léllis, B.C.; Carvalho, D.F.; Martínez-Romero, A.; Tarjuelo, J.M.; Domínguez, A. Effective management of irrigation water for carrot under constant and optimized regulated deficit irrigation in Brazil. Agric. Water Manag. 2017, 192, 294–305. [Google Scholar] [CrossRef]
- Gutezeit, B. Yield and quality of carrots as affected by soil moisture and N-fertilization. J. Hortic. Sci. Biotechnol. 2001, 76, 732–738. [Google Scholar] [CrossRef]
- Cheng, M.H.; Wang, H.D.; Zhang, F.C.; Wang, X.K.; Liao, Z.Q.; Zhang, S.H.; Yang, Q.L.; Fan, J.L. Effects of irrigation and fertilization regimes on tuber yield, water-nutrient uptake and productivity of potato under drip fertigation in sandy regions of northern China. Agric. Water Manag. 2023, 287, 108459. [Google Scholar] [CrossRef]
- Liu, Q.M.; Ding, Y.Q.; Chi, R.P.; Dong, P.Y. Safe and High-efficient cultivation technology for facility carrot industrialization. Asian Agric. Res. 2018, 10, 65–67. [Google Scholar]
- IUSS Working Group WRB. World Reference Base for Soil Resources. In International Soil Classification System for Naming Soils and Creating Legends for Soil Maps, 4th ed.; International Union of Soil Sciences (IUSS): Vienna, Austria, 2022. [Google Scholar]
- Wang, G.L.; Huang, W.; Li, M.Y.; Xu, Z.S.; Wang, F.; Xiong, A.S. Expression profiles of genes involved in jasmonic acid biosynthesis and signaling during growth and development of carrot. Acta Biochim. Biophys. Sin. 2016, 48, 795–803. [Google Scholar] [CrossRef] [PubMed]
- Moore, S. Amino acid analysis: Aqueous dimethyl sulfoxide as solvent for the ninhydrin reaction. J. Biol. Chem. 1968, 243, 6281–6283. [Google Scholar] [CrossRef] [PubMed]
- Barnes, R.B.; Richardson, D.; Berry, J.W.; Hood, R.L. Flame photometry a rapid analytical procedure. Ind. Eng. Chem. Anal. Ed. 1945, 17, 605–611. [Google Scholar] [CrossRef]
- Bremner, J.M. Methods of soil analysis. Agronomy 1965, 9, 1195–1198. [Google Scholar]
- Cavell, A.J. The colorimetric determination of phosphorous in plant materials. J. Sci. Food Agric. 1955, 6, 479–481. [Google Scholar] [CrossRef]
- Cataldo, D.A.; Maroon, M.; Schrader, L.E.; Youngs, V.L. Rapid Colorimetric Determination of nitrate in plant tissue by nitration of salicylic acid. Commun. Soil Sci. Plant Anal. 1975, 6, 71–80. [Google Scholar] [CrossRef]
- Hernández, Y.; Lobo, M.G.; González, M. Determination of vitamin c in tropical fruits: A comparative evaluation of methods. Food Chem. 2006, 96, 654–664. [Google Scholar] [CrossRef]
- Sreenivasan, A.; Vaidya, R.M. Determination of carotene in plant materials. Anal. Chem. 1948, 20, 720–722. [Google Scholar] [CrossRef]
- Ramagli, L.S.; Rodriguez, L.V. Quantitation of microgram amounts of protein in two-dimensional polyacrylamide gel electrophoresis sample buffer. Electrophoresis 1985, 6, 559–563. [Google Scholar] [CrossRef]
- Ebell, L.F. Variation in total soluble sugars of conifer tissues with method of analysis. Phytochemistry 1969, 8, 227–233. [Google Scholar] [CrossRef]
- Mussa, S.A.B.; Elferjani, H.S.; Haroun, F.A.; Abdelnabi, F.F. Determination of available nitrate, phosphate and sulfate in soil samples. Int. J. PharmTech Res. 2009, 1, 598–604. [Google Scholar]
- Yang, F.; Zhai, W.; Li, Z.; Huang, Y.; Manzoor, M.; Yang, B.; Hou, Y.; Lei, L.; Tang, X. Immobilization of lead and cadmium in agricultural soil by bioelectrochemical reduction of sulfate in underground water. Chem. Eng. J. 2021, 422, 130010. [Google Scholar] [CrossRef]
- Huang, J.; Wang, C.; Qi, L.; Zhang, X.; Tang, G.; Li, L.; Guo, J.; Jia, Y.; Dou, X.; Lu, M. Phosphorus is more effective than nitrogen in restoring plant communities of heavy metals polluted soils. Environ. Pollut. 2020, 266, 115259. [Google Scholar] [CrossRef]
- Mulvaney, R.L.; Khan, S.A.; Stevens, W.B.; Mulvaney, C.S. Improved diffusion methods for determination of inorganic nitrogen in soil extracts and water. Biol. Fertil. Soils 1997, 24, 413–420. [Google Scholar] [CrossRef]
- Chen, X.C.; Chen, F.J.; Chen, Y.L.; Gao, Q.; Yang, X.L.; Yuan, L.X.; Zhang, F.S.; Mi, G.H. Modern maize hybrids in Northeast China exhibit increased yield potential and resource use efficiency despite adverse climate change. Glob. Chang. Biol. 2013, 19, 923–936. [Google Scholar] [CrossRef]
- Lombardo, S.; Pandino, G.; Mauromicale, G. Optimizing Nitrogen Fertilization to Improve Qualitative Performances and Physiological and Yield Responses of Potato (Solanum tuberosum L.). Agronomy 2020, 10, 352. [Google Scholar] [CrossRef]
- Luo, H.H.; Wang, Q.; Zhang, J.K.; Wang, L.S.; Li, Y.B.; Yang, G.Z. Minimum fertilization at the appearance of the first flower benefits cotton nutrient utilization of nitrogen, phosphorus and potassium. Sci. Rep. 2020, 10, 6815. [Google Scholar] [CrossRef] [PubMed]
- Yuan, B.Z.; Nishiyama, S.; Kang, Y. Effects of different irrigation regimes on the growth and yield of drip-irrigated potato. Agric. Water Manag. 2003, 63, 153–167. [Google Scholar] [CrossRef]
- Li, H.H.; Liu, H.; Gong, X.W.; Li, S.; Pang, J.; Chen, Z.F.; Sun, J.S. Optimizing irrigation and nitrogen management strategy to trade off yield, crop water productivity, nitrogen use efficiency and fruit quality of greenhouse grown tomato. Agric. Water Manag. 2021, 245, 106570. [Google Scholar] [CrossRef]
- Wang, X.Z.; Liu, B.; Wu, G.; Sun, Y.X.; Guo, X.S.; Jin, G.Q.; Jin, Z.H.; Zou, C.Q.; Chadwick, D.; Chen, X.P. Cutting carbon footprints of vegetable production with integrated soil—Crop system management: A case study of greenhouse pepper production. J. Clean. Prod. 2020, 254, 120158. [Google Scholar] [CrossRef]
- IPCC (Intergovernmental Panel on Climate Change). Climate change 2014: Impacts, Adaptation and Vulnerability: Regional Aspects; Cambridge University Press: Cambridge, UK, 2014. [Google Scholar]
- ISO 14040: 2006; Environmental Management Life Cycle Assessment Principles and Framework. ISO (International Organization for Standardization): London, UK, 2006. Available online: https://www.iso.org/standard/37456.html (accessed on 27 January 2024).
- ISO 14044: 2006; Environmental Management Life Cycle Assessment Requirements and Guidelines. ISO (International Organization for Standardization): London, UK, 2006. Available online: https://www.iso.org/standard/38498.html (accessed on 27 January 2024).
- Zhang, W.F.; Dou, Z.X.; He, P.; Ju, X.T.; Powlson, D.; Chadwick, D.; Norse, D.; Lu, Y.L.; Zhang, Y.; Wu, L.; et al. New technologies reduce greenhouse gas emissions from nitrogenous fertilizer in China. Proc. Natl. Acad. Sci. USA 2013, 110, 8375–8380. [Google Scholar] [CrossRef] [PubMed]
- Yue, S.C. Optimum Nitrogen Management for High-Yielding Wheat and Maize Cropping System; China Agricultural University Press: Beijing, China, 2013; p. 80. [Google Scholar]
- Ji, C.L.; Ding, M.; Wang, B.X.; Wang, C.M.; Zhao, Y.W. Comparative evaluation of chemical and organic fertilizer on the base of life cycle analysis methods. Chin. J. Soil Sci. 2012, 43, 412–417, (In Chinese with English abstract). [Google Scholar]
- Clark, S.; Khoshnevisan, B.; Sefeedpari, P. Energy efficiency and greenhouse gas emissions during transition to organic and reduced-input practices: Student farm case study. Ecol. Eng. 2016, 88, 186–194. [Google Scholar] [CrossRef]
- Cui, Z.L.; Yue, S.C.; Wang, G.L.; Meng, Q.F.; Wu, L.; Yang, Z.P.; Zhang, Q.; Li, S.Q.; Zhang, F.S.; Chen, X.P. In-season root-zone N management for mitigating greenhouse gas emission and reactive N losses in intensive wheat production. Environ. Sci. Technol. 2013, 47, 6015–6022. [Google Scholar] [CrossRef] [PubMed]
- Pishgar-Komleh, S.H.; Omid, M.; Heidari, M.D. On the study of energy use and GHG (greenhouse gas) emissions in greenhouse cucumber production in Yazd province. Energy 2013, 59, 63–71. [Google Scholar] [CrossRef]
- Liang, L.; Ridoutt, B.G.; Lal, R.; Wang, D.; Wu, W.L.; Peng, P.; Hang, S.; Wang, L.Y.; Zhao, G.S. Nitrogen footprint and nitrogen use efficiency of greenhouse tomato production in North China. J. Clean. Prod. 2019, 208, 285–296. [Google Scholar] [CrossRef]
- Chen, W.; Yin, X.; Ma, D. A bottom-up analysis of China’s iron and steel industrial energy consumption and CO2 emissions. Appl. Energ. 2014, 136, 1174–1183. [Google Scholar] [CrossRef]
- Tian, Y.; Zhu, Q.; Geng, Y. An analysis of energy-related greenhouse gas emissions in the Chinese iron and steel industry. Energ. Policy 2013, 56, 352–361. [Google Scholar] [CrossRef]
- Wang, L.F.; Zhang, L.S. Life cycle assessment of environmental impacts for the whole steel production process. China Popul. Resour. Environ. 2012, 22, 239–244, (In Chinese with English abstract). [Google Scholar]
- Perrin, A.; Basset-Mens, C.; Gabrielle, B. Life cycle assessment of vegetable products: A review focusing on cropping systems diversity and the estimation of field emissions. Int. J. Life Cycle Assess 2014, 19, 1247–1263. [Google Scholar] [CrossRef]
- Guo, Y.J. Study on Regulation Rules of a Nitrification Inhibitor, Dicyandiamide (DCD) on Fertilizer Nitrogen Losses from a Greenhouse Vegetable Soil. Ph.D. Thesis, Agricultural University of Hebei, Baoding, China, 2012. [Google Scholar]
- Wang, X.Z.; Zou, C.Q.; Gao, X.P.; Guan, X.L.; Zhang, W.; Zhang, Y.Q.; Shi, X.J.; Chen, X.P. Nitrous oxide emissions in Chinese vegetable systems: A meta-analysis. Environ. Pollut. 2018, 239, 375–383. [Google Scholar] [CrossRef] [PubMed]
- Ti, C.P.; Luo, Y.X.; Yan, X.Y. Characteristics of nitrogen balance in open-air and greenhouse vegetable cropping systems of China. Environ. Sci. Pollut. Res. 2015, 22, 18508–18518. [Google Scholar] [CrossRef]
- Lu, K.P. Optimized Management of Nitrogen Fertilizer and Strategies for Reducing Nitrogen Leaching Loss in Greenhouse Vegetable Field in Taihu Region. Ph.D. Thesis, Nanjing Agricultural University, Nanjing, China, 2012. [Google Scholar]
- Min, J.; Zhang, H.; Shi, W. Optimizing nitrogen input to reduce nitrate leaching loss in greenhouse vegetable production. Agric. Water Manag. 2012, 111, 53–59. [Google Scholar] [CrossRef]
- Yu, F.B.; Luo, X.P.; Song, C.F.; Zhang, M.X.; Shan, S.D. Concentrated biogas slurry enhanced soil fertility and tomato quality. Acta Agric. Scand. Sect. B Soil Plant Sci. 2010, 60, 262–268. [Google Scholar] [CrossRef]
- Zheng, J.; Qi, X.Y.; Shi, C.; Yang, S.H.; Wu, Y. Tomato comprehensive quality evaluation and irrigation mode optimization with biogas slurry based on the combined evaluation model. Agronomy 2022, 12, 1391. [Google Scholar] [CrossRef]
- Carvalho, A.D.; Silva, G.O.; Resende, F.V. Adaptabilidade e estabilidade de populações de cenoura pelo método REML/BLUP. Hortic. Bras. 2017, 35, 69–74. [Google Scholar] [CrossRef][Green Version]
- Liu, B.; Wang, X.; Ma, L.; Chadwick, D.; Chen, X. Combined applications of organic and synthetic nitrogen fertilizers for improving crop yield and reducing reactive nitrogen losses from China’s vegetable systems: A meta-analysis. Environ. Pollut. 2021, 269, 116143. [Google Scholar] [CrossRef] [PubMed]
- Shakeel, A.; Khan, A.A.; Alharby, H.F.; Bamagoos, A.A.; Alabdallah, N.M.; Hakeem, K.R. Optimizing Nitrogen Application in Root Vegetables from Their Growth, Biochemical and Antioxidant Response to Urea Fertilizer. Agriculture 2021, 11, 704. [Google Scholar] [CrossRef]
- Mokgehle, S.N.; Tesfay, S.Z.; Araya, H.T.; Plooy, C.P.D. Antioxidant activity and soluble sugars of African ginger (Siphonochilus aethiopicus) in response to irrigation regimen and nitrogen levels. Acta Agric. Scand. Sect. B—Soil Plant Sci. 2017, 67, 425–434. [Google Scholar] [CrossRef]
- Hole, C.C.; Barnes, A.; Thomas, T.H.; Scott, P.A.; Rankin, W.E.F. Dry matter distribution between the shoot and storage root of carrot (Daucus carota L.): I. Comparison of Varieties. Ann. Bot. 1983, 51, 175–187. [Google Scholar] [CrossRef]
- Filho, A.; Peixoto, F. Accumulation and exportation of nutrient by carrot ‘Forto’. Rev. Caatinga 2013, 26, 64–70. [Google Scholar]
- Selijasen, R.; Kristensen, K.L.; Lauridsen, C.; Wyss, G.S.; Kretzscmar, U.; Brilouez-Aragone, I.; Kahl, J. Quality of carrot as affected by pre- and postharvest factors and processing. J. Sci. Food Agric. 2013, 93, 2611–2626. [Google Scholar] [CrossRef]
- Aquino, R.F.B.A.; Assunção, N.S.; Aquino, L.A.; Aquino, P.M.D.; Oliveira, G.A.D.; Carvalho, A.M.X.D. Nutrient demand by carrot crop is influenced by the cultivar. Rev. Bras. Ciência Solo 2015, 39, 541–552. [Google Scholar] [CrossRef][Green Version]
- Niemiec, M.; Cupiał, M.; Szeląg-Sikora, A. Evaluation of the efficiency of celeriac fertilization with the use of slow-acting fertilizers. Agric. Agric. Sci. Procedia 2015, 7, 177–183. [Google Scholar] [CrossRef]
- Maucieri, C.; Zhang, Y.; McDaniel, M.D.; Borin, M.; Adams, M.A. Short-term effects of biochar and salinity on soil greenhouse gas emissions from a semi-arid australian soil after re-wetting. Geoderma 2017, 307, 267–276. [Google Scholar] [CrossRef]
- Malcolm, B.J.; Cameron, K.C.; Curtin, D.; Di, H.J.; Beare, M.H.; Johnstone, P.R.; Edwards, G.R. Organic matter amendments to soil can reduce nitrate leaching losses from livestock urine under simulated fodder beet grazing. Agric. Ecosyst. Environ. 2019, 272, 10–18. [Google Scholar] [CrossRef]
- Fan, Y.N.; Zhang, Y.X.; Hess, F.; Huang, B.; Chen, Z.K. Nutrient balance and soil changes in plastic greenhouse vegetable production. Nutr. Cycl. Agroecosyst. 2020, 117, 77–92. [Google Scholar] [CrossRef]
- Hussain, T.; Gollany, H.T.; Mulla, D.J.; Ben, Z.; Tahir, M.; Ata-Ul-Karim, S.T.; Liu, K.; Maqbool, S.; Hussain, N.; Duangpan, S. Assessment and Application of EPIC in Simulating Upland Rice Productivity, Soil Water, and Nitrogen Dynamics under Different Nitrogen Applications and Planting Windows. Agronomy 2023, 13, 9. [Google Scholar] [CrossRef]
Disclaimer/Publisher’s Note: The statements, opinions and data contained in all publications are solely those of the individual author(s) and contributor(s) and not of MDPI and/or the editor(s). MDPI and/or the editor(s) disclaim responsibility for any injury to people or property resulting from any ideas, methods, instructions or products referred to in the content. |
© 2024 by the authors. Licensee MDPI, Basel, Switzerland. This article is an open access article distributed under the terms and conditions of the Creative Commons Attribution (CC BY) license (https://creativecommons.org/licenses/by/4.0/).









