Pure and Co-Fermentation of Quinoa Seeds by Limosilactobacillus fermentum and Lacticaseibacillus rhamnosus: Bioactive Content, Antidiabetic and Antioxidant Activities
Abstract
1. Introduction
2. Materials and Methods
2.1. Preparation of the Strain
2.2. Fermentation Process
2.3. Microbial Cells Enumeration
2.4. pH Determination
2.5. Preparation of the Extracts
2.6. Total Phenolic Content
2.7. HPLC Analysis of the Tocopherols
2.8. HPLC Analysis of Vitamin C
2.9. DPPH Radical Scavenging Activity
2.10. α-Amylase Inhibition
2.11. α-Glucosidase Inhibition
2.12. Statistical Analysis
3. Results and Discussion
3.1. Microbial Growth Analysis and pH
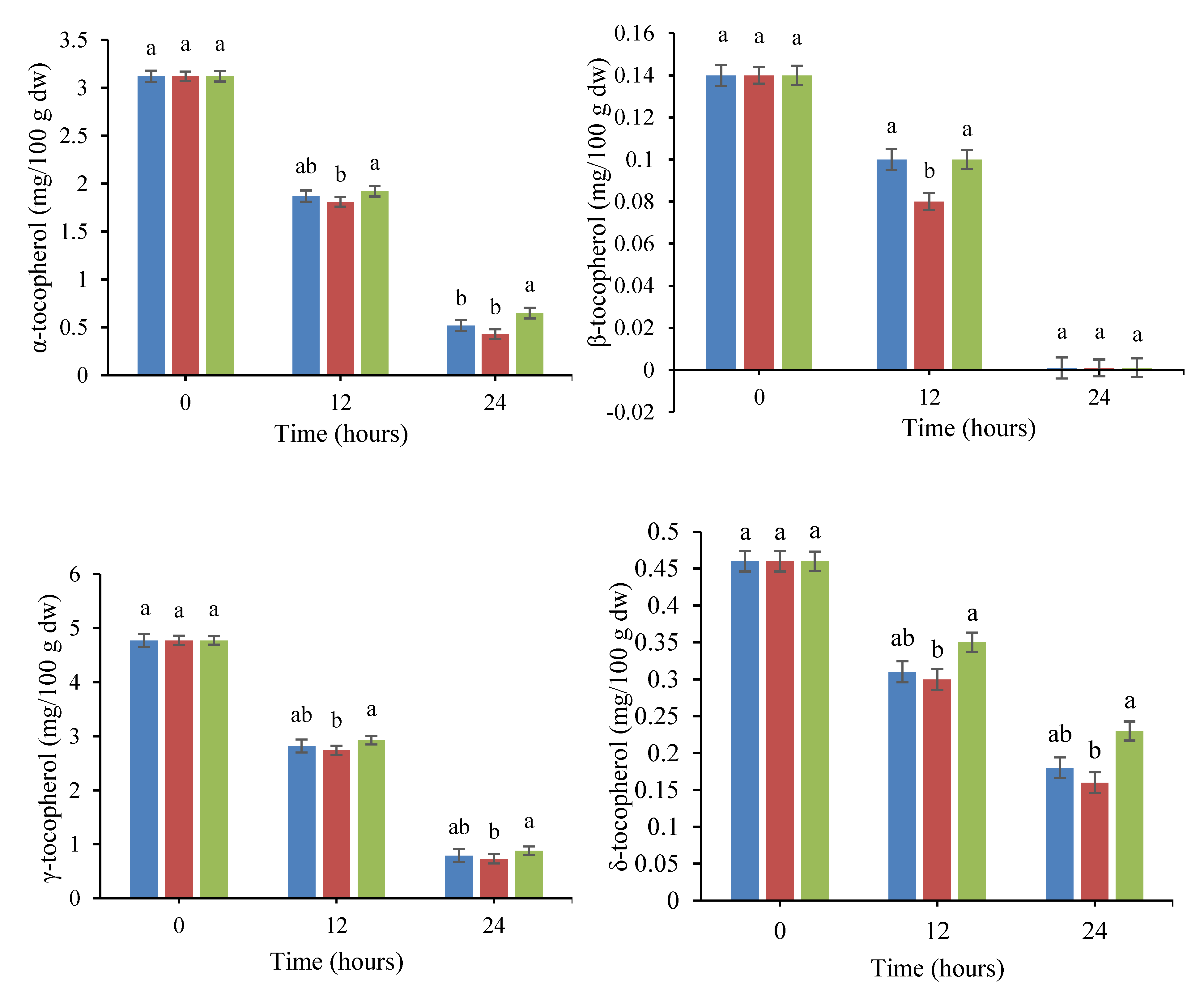
3.2. Bioactive Compounds
3.3. DPPH Free Radical Scavenging Activity
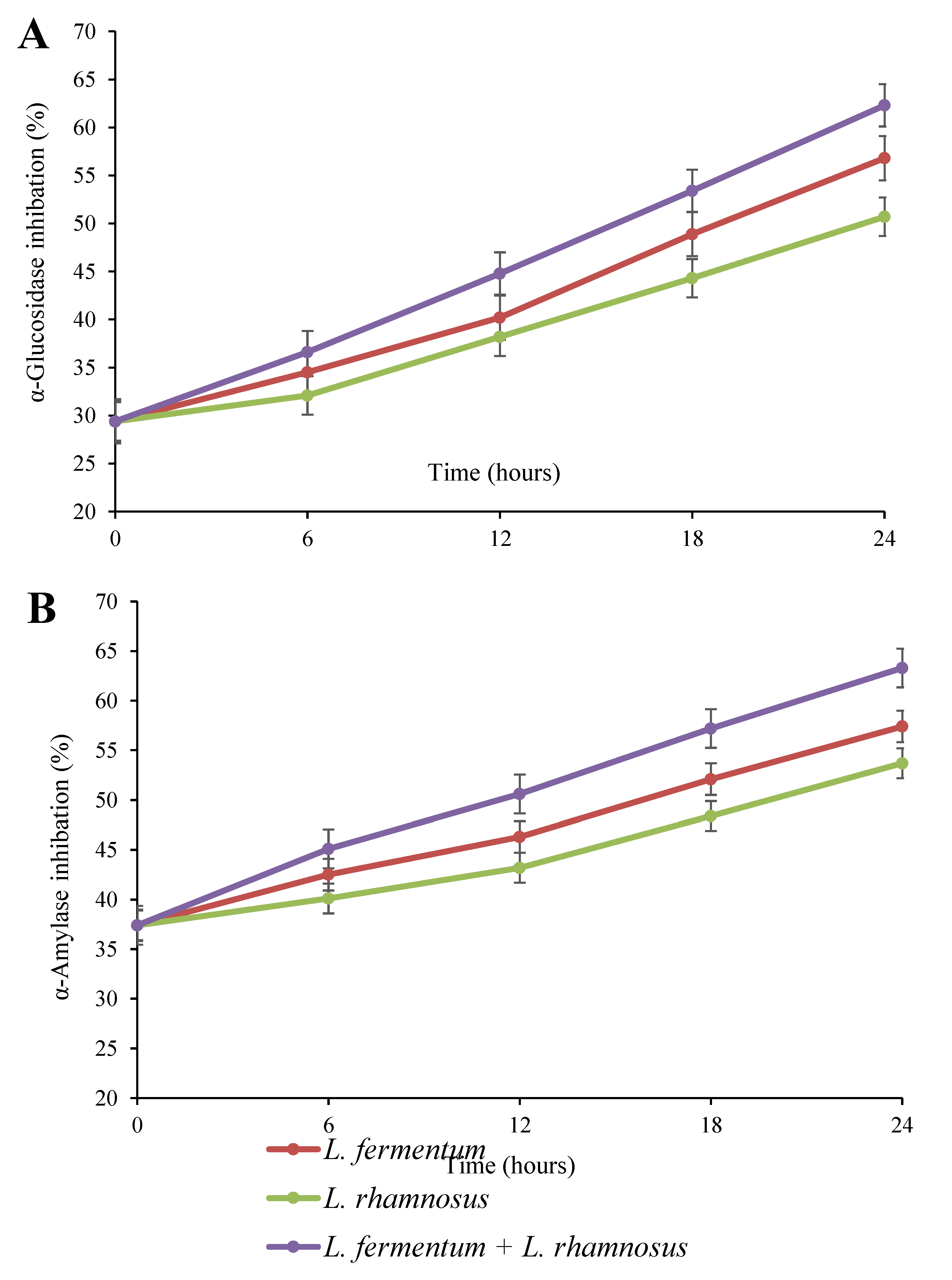
3.4. Enzyme Inhibition Ability
4. Conclusions
Author Contributions
Funding
Institutional Review Board Statement
Informed Consent Statement
Data Availability Statement
Conflicts of Interest
References
- Saadi, S.; Saari, N.; Anwar, F.; Hamid, A.A.; Ghazali, H.M. Recent Advances in Food Biopeptides: Production, Biological Functionalities and Therapeutic Applications. Biotechnol. Adv. 2015, 33, 80–116. [Google Scholar] [PubMed]
- Rathore, S.; Salmerón, I.; Pandiella, S.S. Production of Potentially Probiotic Beverages Using Single and Mixed Cereal Substrates Fermented with Lactic Acid Bacteria Cultures. Food Microbiol. 2012, 30, 239–244. [Google Scholar] [CrossRef] [PubMed]
- Ng, C.Y.; Wang, M. The Functional Ingredients of Quinoa (Chenopodium quinoa) and Physiological Effects of Consuming Quinoa: A Review. Food Front. 2021, 2, 329–356. [Google Scholar] [CrossRef]
- Starzyńska-Janiszewska, A.; Duliński, R.; Stodolak, B.; Mickowska, B.; Wikiera, A. Prolonged Tempe-Type Fermentation in Order to Improve Bioactive Potential and Nutritional Parameters of Quinoa Seeds. J. Cereal Sci. 2016, 71, 116–121. [Google Scholar] [CrossRef]
- Filho, A.M.M.; Pirozi, M.R.; Borges, J.T.D.S.; Pinheiro Sant’Ana, H.M.; Chaves, J.B.P.; Coimbra, J.S.D.R. Quinoa: Nutritional, Functional, and Antinutritional Aspects. Crit. Rev. Food Sci. Nutr. 2017, 57, 1618–1630. [Google Scholar] [CrossRef]
- Graf, B.L.; Rojas-Silva, P.; Rojo, L.E.; Delatorre-Herrera, J.; Baldeón, M.E.; Raskin, I. Innovations in Health Value and Functional Food Development of Quinoa (Chenopodium quinoa Willd.). Compr. Rev. Food Sci. Food Saf. 2015, 14, 431–445. [Google Scholar] [CrossRef]
- Vilcacundo, R.; Hernández-Ledesma, B. Nutritional and Biological Value of Quinoa (Chenopodium quinoa Willd.). Curr. Opin. Food Sci. 2017, 14, 1–6. [Google Scholar] [CrossRef]
- Hashemi, S.M.B.; Jafarpour, D.; Jouki, M. Improving Bioactive Properties of Peach Juice Using Lactobacillus Strains Fermentation: Antagonistic and Anti-Adhesion Effects, Anti-Inflammatory and Antioxidant Properties, and Maillard Reaction Inhibition. Food Chem. 2021, 365, 130501. [Google Scholar] [CrossRef]
- Magala, M.; Kohajdova, Z.; Karovičová, J.; Greifova, M.; Hojerova, J. Application of Lactic Acid Bacteria for Production of Fermented Beverages Based on Rice Flour. Czech J. Food Sci. 2015, 33, 458–463. [Google Scholar] [CrossRef]
- Hashemi, S.M.B.; Jafarpour, D. Fermentation of Bergamot Juice with Lactobacillus plantarum Strains in Pure and Mixed Fermentations: Chemical Composition, Antioxidant Activity and Sensorial Properties. LWT 2020, 131, 109803. [Google Scholar] [CrossRef]
- Hebert, E.M.; Raya, R.R.; De Giori, G.S. Nutritional Requirements and Nitrogen-Dependent Regulation of Proteinase Activity of Lactobacillus helveticus CRL 1062. Appl. Environ. Microbiol. 2000, 66, 5316–5321. [Google Scholar] [CrossRef] [PubMed]
- Petrova, P.; Petrov, K. Lactic Acid Fermentation of Cereals and Pseudocereals: Ancient Nutritional Biotechnologies with Modern Applications. Nutrients 2020, 12, 1118. [Google Scholar] [CrossRef] [PubMed]
- Ayyash, M.; Johnson, S.K.; Liu, S.-Q.; Al-Mheiri, A.; Abushelaibi, A. Cytotoxicity, Antihypertensive, Antidiabetic and Antioxidant Activities of Solid-State Fermented Lupin, Quinoa and Wheat by Bifidobacterium Species: In-Vitro Investigations. LWT 2018, 95, 295–302. [Google Scholar] [CrossRef]
- Dallagnol, A.M.; Pescuma, M.; De Valdez, G.F.; Rollán, G. Fermentation of Quinoa and Wheat Slurries by Lactobacillus plantarum CRL 778: Proteolytic Activity. Appl. Microbiol. Biotechnol. 2013, 97, 3129–3140. [Google Scholar] [CrossRef] [PubMed]
- Rizzello, C.G.; Lorusso, A.; Montemurro, M.; Gobbetti, M. Use of Sourdough Made with Quinoa (Chenopodium quinoa) Flour and Autochthonous Selected Lactic Acid Bacteria for Enhancing the Nutritional, Textural and Sensory Features of White Bread. Food Microbiol. 2016, 56, 1–13. [Google Scholar] [CrossRef] [PubMed]
- Li, Z.; Teng, J.; Lyu, Y.; Hu, X.; Zhao, Y.; Wang, M. Enhanced Antioxidant Activity for Apple Juice Fermented with Lactobacillus plantarum ATCC14917. Molecules 2018, 24, 51. [Google Scholar] [CrossRef]
- Hashemi, S.M.B.; Michiels, J.; Yousefabad, S.H.A.; Hosseini, M. Kolkhoung (Pistacia khinjuk) Kernel Oil Quality Is Affected by Different Parameters in Pulsed Ultrasound-Assisted Solvent Extraction. Ind. Crops Prod. 2015, 70, 28–33. [Google Scholar] [CrossRef]
- Hashemi, S.M.B.; Roohi, R.; Mahmoudi, M.R.; Granato, D. Modeling Inactivation of Listeria monocytogenes, Shigella sonnei, Byssochlamysfulva and Saccharomyces cerevisiae and Ascorbic Acid and β-Carotene Degradation Kinetics in Tangerine Juice by Pulsed-Thermosonication. LWT 2019, 111, 612–621. [Google Scholar] [CrossRef]
- Das, D.; Goyal, A. Antioxidant Activity and γ-Aminobutyric Acid (GABA) Producing Ability of Probiotic Lactobacillus plantarum DM5 Isolated from Marcha of Sikkim. LWT-Food Sci. Technol. 2015, 61, 263–268. [Google Scholar] [CrossRef]
- Zhang, Y.; Liu, W.; Wei, Z.; Yin, B.; Man, C.; Jiang, Y. Enhancement of Functional Characteristics of Blueberry Juice Fermented by Lactobacillus plantarum. LWT 2021, 139, 110590. [Google Scholar] [CrossRef]
- Dang, F.; Jiang, Y.; Pan, R.; Zhou, Y.; Wu, S.; Wang, R.; Zhuang, K.; Zhang, W.; Li, T.; Man, C. Administration of Lactobacillus paracasei ameliorates Type 2 Diabetes in Mice. Food Funct. 2018, 9, 3630–3639. [Google Scholar] [CrossRef] [PubMed]
- Kedia, G.; Wang, R.; Patel, H.; Pandiella, S.S. Use of Mixed Cultures for the Fermentation of Cereal-Based Substrates with Potential Probiotic Properties. Process Biochem. 2007, 42, 65–70. [Google Scholar] [CrossRef]
- Tamime, A.Y.; Marshall, V.M.E. Microbiology and Technology of Fermented Milks. In Microbiology and Biochemistry of Cheese and Fermented Milk; Springer: Berlin/Heidelberg, Germany, 1997; pp. 57–152. [Google Scholar]
- Wei, J.; Zhang, Y.; Wang, Y.; Ju, H.; Niu, C.; Song, Z.; Yuan, Y.; Yue, T. Assessment of Chemical Composition and Sensorial Properties of Ciders Fermented with Different Non-Saccharomyces Yeasts in Pure and Mixed Fermentations. Int. J. Food Microbiol. 2020, 318, 108471. [Google Scholar] [CrossRef] [PubMed]
- Akpinar-Bayizit, A.; Yilmaz-Ersan, L.; Ozcan, T. Determination of Boza’s Organic Acid Composition as It Is Affected by Raw Material and Fermentation. Int. J. Food Prop. 2010, 13, 648–656. [Google Scholar] [CrossRef]
- Melini, F.; Melini, V. Impact of Fermentation on Phenolic Compounds and Antioxidant Capacity of Quinoa. Fermentation 2021, 7, 20. [Google Scholar] [CrossRef]
- Masisi, K.; Beta, T.; Moghadasian, M.H. Antioxidant Properties of Diverse Cereal Grains: A Review on in Vitro and in Vivo Studies. Food Chem. 2016, 196, 90–97. [Google Scholar] [CrossRef]
- Dey, T.B.; Chakraborty, S.; Jain, K.K.; Sharma, A.; Kuhad, R.C. Antioxidant Phenolics and Their Microbial Production by Submerged and Solid State Fermentation Process: A Review. Trends Food Sci. Technol. 2016, 53, 60–74. [Google Scholar]
- Charalampopoulos, D.; Wang, R.; Pandiella, S.S.; Webb, C. Application of Cereals and Cereal Components in Functional Foods: A Review. Int. J. Food Microbiol. 2002, 79, 131–141. [Google Scholar] [CrossRef]
- Đorđević, T.M.; Šiler-Marinković, S.S.; Dimitrijević-Branković, S.I. Effect of Fermentation on Antioxidant Properties of Some Cereals and Pseudo Cereals. Food Chem. 2010, 119, 957–963. [Google Scholar] [CrossRef]
- Hubert, J.; Berger, M.; Nepveu, F.; Paul, F.; Daydé, J. Effects of Fermentation on the Phytochemical Composition and Antioxidant Properties of Soy Germ. Food Chem. 2008, 109, 709–721. [Google Scholar] [CrossRef]
- Carciochi, R.A.; Galván-D’Alessandro, L.; Vandendriessche, P.; Chollet, S. Effect of Germination and Fermentation Process on the Antioxidant Compounds of Quinoa Seeds. Plant Foods Hum. Nutr. 2016, 71, 361–367. [Google Scholar] [CrossRef] [PubMed]
- Fernandez-Orozco, R.; Frias, J.; Zielinski, H.; Muñoz, R.; Piskula, M.K.; Kozlowska, H.; Vidal-Valverde, C. Evaluation of Bioprocesses to Improve the Antioxidant Properties of Chickpeas. LWT-Food Sci. Technol. 2009, 42, 885–892. [Google Scholar] [CrossRef]
- Frias, J.; Miranda, M.L.; Doblado, R.; Vidal-Valverde, C. Effect of Germination and Fermentation on the Antioxidant Vitamin Content and Antioxidant Capacity of Lupinus albus L. Var. Multolupa. Food Chem. 2005, 92, 211–220. [Google Scholar] [CrossRef]
- Lee, S.K.; Kader, A.A. Preharvest and Postharvest Factors Influencing Vitamin C Content of Horticultural Crops. Postharvest Biol. Technol. 2000, 20, 207–220. [Google Scholar] [CrossRef]
- Grzelakowska, A.; Cieślewicz, J.; Łudzińska, M. The Dynamics of Vitamin C Content in Fresh and Processed Cucumber (Cucumis sativus L.). Chem. -Didact. -Ecol. -Metrol. 2013, 18, 97–102. [Google Scholar]
- Adetuyi, F.O.; Osagie, A.U.; Adekunle, A.T. Antioxidant Degradation in Six Indigenous Okra Abelmoschus esculentus (L) Moench Varieties during Storage in Nigeria. J. Food Technol. 2008, 6, 227–230. [Google Scholar]
- Herbig, A.-L.; Renard, C.M.G.C. Factors That Impact the Stability of Vitamin C at Intermediate Temperatures in a Food Matrix. Food Chem. 2017, 220, 444–451. [Google Scholar] [CrossRef]
- Urbienė, S.-A.; Mitkutė, D. Changes of Vitamin C during Milk Fermentation. Milchwissenschaft 2007, 62, 130–132. [Google Scholar]
- Sangija, F.; Martin, H.; Matemu, A. Effect of Lactic Acid Fermentation on the Nutritional Quality and Consumer Acceptability of African Nightshade. Food Sci. Nutr. 2022, 10, 3128–3142. [Google Scholar] [CrossRef]
- Torres, A.; Frías, J.; Granito, M.; Vidal-Valverde, C. Fermented Pigeon Pea (Cajanus cajan) Ingredients in Pasta Products. J. Agric. Food Chem. 2006, 54, 6685–6691. [Google Scholar] [CrossRef]
- Doblado, R.; Frias, J.; Muñoz, R.; Vidal-Valverde, C. Fermentation of Vigna sinensis Var. Carilla Flours by Natural Microflora and Lactobacillus Species. J. Food Prot. 2003, 66, 2313–2320. [Google Scholar] [CrossRef] [PubMed]
- Kusznierewicz, B.; Śmiechowska, A.; Bartoszek, A.; Namieśnik, J. The Effect of Heating and Fermenting on Antioxidant Properties of White Cabbage. Food Chem. 2008, 108, 853–861. [Google Scholar] [CrossRef] [PubMed]
- Oboh, G.; Ademiluyi, A.O.; Akindahunsi, A.A. Changes in Polyphenols Distribution and Antioxidant Activity during Fermentation of Some Underutilized Legumes. Food Sci. Technol. Int. 2009, 15, 41–46. [Google Scholar] [CrossRef]
- Wang, Y.-C.; Yu, R.-C.; Chou, C.-C. Antioxidative Activities of Soymilk Fermented with Lactic Acid Bacteria and Bifidobacteria. Food Microbiol. 2006, 23, 128–135. [Google Scholar] [CrossRef] [PubMed]
- Watanabe, N.; Fujimoto, K.; Aoki, H. Antioxidant Activities of the Water-Soluble Fraction in Tempeh-like Fermented Soybean (GABA-Tempeh). Int. J. Food Sci. Nutr. 2007, 58, 577–587. [Google Scholar] [CrossRef] [PubMed]
- Shobharani, P.; Nanishankar, V.H.; Halami, P.M.; Sachindra, N.M. Antioxidant and Anticoagulant Activity of Polyphenol and Polysaccharides from Fermented Sargassum Sp. Int. J. Biol. Macromol. 2014, 65, 542–548. [Google Scholar] [CrossRef]
- Hur, S.J.; Lee, S.Y.; Kim, Y.-C.; Choi, I.; Kim, G.-B. Effect of Fermentation on the Antioxidant Activity in Plant-Based Foods. Food Chem. 2014, 160, 346–356. [Google Scholar] [CrossRef]
- Oboh, G.; Ademiluyi, A.O.; Akinyemi, A.J.; Henle, T.; Saliu, J.A.; Schwarzenbolz, U. Inhibitory Effect of Polyphenol-Rich Extracts of Jute Leaf (Corchorus olitorius) on Key Enzyme Linked to Type 2 Diabetes (α-Amylase and α-Glucosidase) and Hypertension (Angiotensin I Converting) in Vitro. J. Funct. Foods 2012, 4, 450–458. [Google Scholar] [CrossRef]
- Hashemi, S.M.B.; Jafarpour, D.; Soto, E.R.; Barba, F.J. Ultrasound-Assisted Lactic Acid Fermentation of Bakraei (Citrus reticulata Cv. Bakraei) Juice: Physicochemical and Bioactive Properties. Fermentation 2023, 9, 37. [Google Scholar] [CrossRef]
- Nayak, B.S.; Marshall, J.R.; Isitor, G.; Adogwa, A. Hypoglycemic and Hepatoprotective Activity of Fermented Fruit Juice of Morinda citrifolia (Noni) in Diabetic Rats. Evid. Based Complement. Altern. Med. 2010, 2011, 875293. [Google Scholar]
- Mazlan, F.A.; Annuar, M.S.M.; Sharifuddin, Y. Biotransformation of Momordica charantia Fresh Juice by Lactobacillus plantarum BET003 and Its Putative Anti-Diabetic Potential. PeerJ 2015, 3, e1376. [Google Scholar] [CrossRef] [PubMed]







Disclaimer/Publisher’s Note: The statements, opinions and data contained in all publications are solely those of the individual author(s) and contributor(s) and not of MDPI and/or the editor(s). MDPI and/or the editor(s) disclaim responsibility for any injury to people or property resulting from any ideas, methods, instructions or products referred to in the content. |
© 2023 by the authors. Licensee MDPI, Basel, Switzerland. This article is an open access article distributed under the terms and conditions of the Creative Commons Attribution (CC BY) license (https://creativecommons.org/licenses/by/4.0/).
Share and Cite
Jafarpour, D.; Hashemi, S.M.B. Pure and Co-Fermentation of Quinoa Seeds by Limosilactobacillus fermentum and Lacticaseibacillus rhamnosus: Bioactive Content, Antidiabetic and Antioxidant Activities. Fermentation 2023, 9, 80. https://doi.org/10.3390/fermentation9020080
Jafarpour D, Hashemi SMB. Pure and Co-Fermentation of Quinoa Seeds by Limosilactobacillus fermentum and Lacticaseibacillus rhamnosus: Bioactive Content, Antidiabetic and Antioxidant Activities. Fermentation. 2023; 9(2):80. https://doi.org/10.3390/fermentation9020080
Chicago/Turabian StyleJafarpour, Dornoush, and Seyed Mohammad Bagher Hashemi. 2023. "Pure and Co-Fermentation of Quinoa Seeds by Limosilactobacillus fermentum and Lacticaseibacillus rhamnosus: Bioactive Content, Antidiabetic and Antioxidant Activities" Fermentation 9, no. 2: 80. https://doi.org/10.3390/fermentation9020080
APA StyleJafarpour, D., & Hashemi, S. M. B. (2023). Pure and Co-Fermentation of Quinoa Seeds by Limosilactobacillus fermentum and Lacticaseibacillus rhamnosus: Bioactive Content, Antidiabetic and Antioxidant Activities. Fermentation, 9(2), 80. https://doi.org/10.3390/fermentation9020080

