Abstract
This study examines the effects of artificial and mechanical production on the physicochemical properties, enzyme activities, flavor components, and microbial diversity of medium-high temperature Daqu, a crucial starter culture for Chinese Baijiu. The research aims to elucidate how these production methods influence the quality of Daqu and to provide technical insights for optimizing industrial production processes. Results demonstrate that artificial Daqu exhibits 0.24% higher reducing sugar content (p < 0.05), 8.3% greater water retention (p < 0.01), and a 0.10-unit increase in acidity (p < 0.05) compared to mechanically produced Daqu. In contrast, mechanically produced Daqu displays a greater liquefaction capability but reduced fermentation capacity. An analysis of volatile flavor compounds reveals that artificially produced Daqu contains a broader spectrum of aroma compounds, particularly esters and alcohols, which are critical for the flavor profile of Baijiu. Microbial analysis demonstrates that artificially produced Daqu possesses a richer diversity of bacterial and fungal communities, with dominant genera such as Aspergillus, Saccharomyces, and Lactobacillus playing a pivotal role in flavor development. These findings offer valuable insights for optimizing Daqu production methods, balancing traditional craftsmanship with modern industrial demands to ensure consistent quality and flavor in Baijiu production.
1. Introduction
Chinese Baijiu, a traditional distilled spirit, relies on Daqu and fermented grains as essential agents for saccharification and fermentation [1,2]. Its flavor profile is primarily characterized by esters, and its production involves a series of steps utilizing sugar-based raw materials [3,4]. Daqu, functioning as both a saccharifying and fermenting agent, imparts unique flavors to Baijiu [5]. Traditional artificial Daqu production, dependent on manual trampling, faces challenges such as a low efficiency, high labor intensity, significant phenotypic variability in Qu blocks, and inconsistent quality [6]. With the rapid growth of Baijiu production, mechanical Daqu manufacturing has gradually replaced manual methods due to its superior efficiency and uniformity in block formation [7].
Existing studies reveal critical differences between mechanical and artificial Daqu: mechanically produced Daqu exhibits a stronger saccharification/liquefaction capacity and higher abundance of dominant microbial taxa (e.g., Bacillus, Aspergillus) [8,9], whereas manually produced Daqu demonstrates greater fungal diversity [10], higher protease activity [11], and richer microbial metabolites [12]. However, systematic comparative studies on medium-high temperature Daqu (MHTD) remain scarce, particularly regarding how mechanical production directly impacts its physicochemical properties, flavor components, and microbial communities [13,14].
We hypothesize that mechanical Daqu production reduces microenvironmental heterogeneity, supported by prior evidence of decreased porosity in mechanically pressed Daqu blocks [15,16]. This reduction leads to diminished microbial diversity and functional redundancy compared to manual production, resulting in distinct physicochemical and metabolic profiles that compromise flavor complexity in Baijiu. This study compares artificial and mechanical Daqu production methods to evaluate their effects on MHTD’s physicochemical properties (reducing sugars, acidity, water retention), enzyme activities (amylase, protease), volatile flavor compounds, and microbial community structure. The findings aim to elucidate the mechanistic impacts of production methods on Daqu functionality and provide theoretical guidance for optimizing industrial MHTD production.
2. Materials and Methods
2.1. Sample Collection
The finished Daqu samples, comprising both artificially trampled and mechanically produced Daqu, were supplied by a strong-flavor Baijiu production enterprise. The raw materials and production timeline for the Daqu were consistent, with production occurring in September 2022. Sampling and testing were performed in October 2022. Artificially trampled Daqu samples (XR, CR, and NR) were obtained from Xiangjiu, Chuanxing, and Nanxi Brewing Company, respectively. Mechanically produced Daqu samples (JJ, GJ, and NJ) were obtained from Jinjiang, Gongxian, and Nanxi Brewing Company, respectively. Eighteen Daqu blocks were randomly and evenly collected from the Daqu storage warehouse, with three biological replicates assigned per group (n = 3). After crushing and thorough mixing, the samples were divided using the quartering method, transferred into sampling bags, and sealed for preservation. Each Daqu sample was crushed, sieved through a 20-mesh sieve, and thoroughly homogenized. Using the quartering method, each sample was reduced to a final weight of 400 g. Each sample, stored at −20 °C for subsequent analysis, was analyzed in triplicate for physicochemical properties, enzyme activities, volatile compounds, and sequencing. Samples intended for high-throughput sequencing were stored at −80 °C.
2.2. Physicochemical Properties and Enzyme Activity Analysis
The moisture content, acidity, and starch content of Daqu, along with the activities of liquefaction enzymes, saccharification enzymes, fermentation capacity, and esterification capacity, were analyzed in accordance with the General Analytical Methods for Brewing Daqu (QB/T 4257-2011) [17]. The activities of acidic protease and neutral protease were determined following the Operating Procedures for Testing Strong-Flavor Daqu (DB 34/T 3085-2018) [18]. Cellulase activity was measured in accordance with the Determination of Cellulase Activity in Feed Additives—Spectrophotometric Method (NY/T 912-2020) [19]. Hemicellulase activity was assessed following the Determination of Xylanase Activity in Feed Additives—Spectrophotometric Method (GB/T 23874-2009) [20]. The reducing sugar content in Daqu was quantified using the National Food Safety Standard—Determination of Reducing Sugar in Foods (GB 5009.7-2016, Method 2) [21], with results expressed as glucose equivalents.
2.3. Volatile Flavor Compound Analysis
Volatile compounds in the Daqu samples were analyzed by headspace solid-phase microextraction coupled with gas chromatography–mass spectrometry (HS-SPME-GC-MS) [22]. Briefly, 1 g of Daqu was accurately weighed and transferred into a headspace vial. An amount of 5 μL of 2-octanol internal standard solution (0.822 g/L) and 5 mL of saturated sodium chloride solution was added. A 50/30 μm DVB/CAR/PDMS fiber (Supelco, Bellefonte, PA, USA) was employed for the extraction of volatile compounds at a temperature of 60 °C for a duration of 45 min. The analysis of these volatiles was conducted using a GC-MS system (Shimadzu QP2020, Shimadzu, Japan), which was fitted with an HP-INNOWax column (60 m × 0.25 mm internal diameter, 0.25 μm film thickness; J&W Scientific, Folsom, CA, USA). A magnetic stirrer was inserted into the vial, sealed, and equilibrated at 60 °C on a heated magnetic stirrer for a specified duration. After equilibration, the headspace solid-phase microextraction device was inserted, the fiber extended, and extraction was allowed for 50 min. The method file was opened to log the sample and the system was set to standby. Once the GC and MS was ready, the extraction needle was inserted, the fiber extended, and it was retained for 5 min. Subsequently, the fiber was retracted and the extraction needle removed. The injection port temperature was maintained at 250 °C, with helium as the carrier gas at a flow rate of 40 mL/min. An electron impact ion source was used, with an electron energy of 70 eV and an ion source temperature of 230 °C. The temperature was maintained at 40 °C for 1 min, increased to 160 °C at a rate of 3 °C/min, and then further raised to 230 °C at a rate of 6 °C/min. Compounds were identified by comparison with the NIST-14.0 mass spectral database. The semi-quantitative analysis of volatile compounds was performed utilizing 2-octanol as an internal reference. The relative concentrations were calculated using the following equation: C2 = 20 × C1 × A2/A1. In this formula, C2 represents the relative concentration of the volatile compound (mg/g Qu), C1 denotes the concentration of the internal standard (0.82 mg/mL), A2 corresponds to the relative peak area of the volatile compound, and A1 signifies the peak area of the internal standard.
2.4. Sample DNA Extraction and Microbial Community Structure Analysis
The medium-high temperature artificial Qu and mechanical Qu were packaged and sent to Chengdu Qingke Biotechnology Co., Ltd. for Illumina MiSeq high-throughput sequencing. The universal primers targeting the bacterial 16S rRNA gene V3-V4 region were 338F (5′-ACTCCTACGGGAGGCAGCAG-3′) and 806R (5′-GGACTACHVGGGTWTCTAAT-3′). The universal primers targeting the fungal ITS rRNA gene ITS1-ITS2 region were ITS1F (5′-CTTGGTCATTTAGAGGAAGTAA-3′) and ITS2R (5′-GCTGCGTTCTTCATCGATGC-3′).
2.5. Bioinformatics Analysis
The sequencing data were demultiplexed to separate each sample based on barcode sequences and PCR amplification primer sequences. FLASH software was used to assemble sample reads and filter them to obtain high-quality Tags data [23]. The QIIME Tags quality control process was followed, including comparison with the species annotation database and removal of low-quality chimeric sequences, to obtain effective sequences [24]. For Amplicon Sequence Variant (ASV) analysis, the DADA2 method [25] in QIIME2 (version 2020.06) was applied to de-noise sequences and generate ASVs.
2.6. Alpha Diversity Analysis
Alpha diversity indices (Chao1, Shannon, Simpson) were selected to comprehensively evaluate microbial community characteristics. Chao1 estimates species richness, while Shannon and Simpson indices reflect both richness and evenness, critical for assessing fermentation stability and functional redundancy in Daqu ecosystems. Higher Shannon values and lower Simpson values indicate greater diversity, signifying a more balanced species distribution. All analyses were conducted using the QIIME2 platform.
2.7. Statistical Analysis
Data were analyzed using SPSS 26.0 (IBM Corp., Armonk, NY, USA). Differences between groups were assessed by one-way ANOVA followed by Tukey’s HSD post hoc test. Significance was set at p < 0.05.
3. Results and Discussion
3.1. The Impact of Qu-Making Methods on the Physicochemical Factors of Medium-High Temperature Daqu
Starch serves as the fundamental substrate for alcohol fermentation, undergoing saccharification to produce reducing sugars and other organic compounds. These reducing sugars are metabolized by yeast to produce alcohol, and their concentrations directly correlate with fermentation efficiency [26]. As illustrated in Figure 1A (Supplementary Table S1), the reducing sugar content in artificial Daqu (XR, CR, NR) was significantly higher than that in mechanical Daqu (JJ, GJ, NJ). Among the samples, NJ exhibited the highest starch and total sugar content, whereas JJ displayed the lowest. This indicates that mechanical Daqu may exhibit limitations in starch conversion efficiency, potentially attributable to variations in microbial activity or environmental conditions during fermentation.
Figure 1.
Changes in physicochemical indexes in different medium-high temperature Daqu. (A) Starch, reducing sugar. (B) Acidity, moisture. Data are presented as mean ± SD (n = 3). Bars with different letters indicate significant difference (p < 0.05).
The elevated reducing sugar content in artificial Daqu, compared to mechanical Daqu, is consistent with the findings of Wang et al. [27], who demonstrated that traditional fermentation processes yield significantly higher saccharifying power than mechanized methods. This phenomenon is likely attributable to the more efficient microbial activity in artificial Daqu, which facilitates the breakdown of starch into fermentable sugars. The elevated starch and total sugar content in NJ further substantiates the hypothesis that mechanical Daqu may exhibit limitations in starch conversion efficiency, potentially attributable to variations in microbial activity or environmental conditions during fermentation.
The analysis of moisture content in Daqu is a critical parameter for liquor quality assessment and process monitoring in brewing enterprises. Optimizing the physicochemical properties of Daqu can improve liquor yield [28]. As depicted in Figure 1B, the moisture content of NR (artificial Daqu) was higher than that of NJ (mechanical Daqu), consistent with the findings of Liu et al. [29]. This difference may be ascribed to the superior slurry extraction capability of artificial Daqu, which ensures better water retention during storage. The moisture content of medium-high temperature Daqu exhibited significant variation among samples, with XR displaying the lowest moisture content (8.54%) and JJ the highest (10.76%). These variations are closely associated with the slurry extraction efficiency, moisture loss rate during early fermentation, and water retention capacity in later stages. The elevated moisture content in artificial Daqu (NR), compared to mechanical Daqu (NJ), is consistent with the findings of Liu et al. [29] and corroborated by Du et al. [30], who identified moisture as a critical environmental factor influencing microbial activity in Daqu. The superior water retention capacity of artificial Daqu may enhance fermentation outcomes, as moisture content is closely linked to the slurry extraction efficiency and water retention capacity during storage. This observation is consistent with the findings of Xiang et al. [31], who demonstrated that moisture content significantly influences the physicochemical properties and microbial activity of Daqu.
Acidity is a critical factor in promoting starch gelatinization, saccharification, and esterification, thereby facilitating fermentation [32]. As illustrated in Figure 1B, the acidity of artificial Daqu was marginally higher than that of mechanical Daqu, consistent with the findings of Jian et al. [6]. This elevated acidity in artificial Daqu may be attributed to the presence of a higher abundance of acid-producing microorganisms, which metabolize organic acids to generate acidity. Strategies such as low-temperature cellar entry, slow fermentation, and controlled Daqu usage can be implemented to regulate acid production and ensure optimal fermentation. The marginally higher acidity in artificial Daqu, compared to mechanical Daqu, can be attributed to the presence of a higher abundance of acid-producing microorganisms. This finding is consistent with the research of Jian et al. [6] and is further corroborated by Du et al. [30], who emphasized the role of microbial communities in determining Daqu functionality. The elevated acidity in artificial Daqu may facilitate starch gelatinization, saccharification, and esterification, thereby improving fermentation efficiency. This observation aligns with the results of Xiang et al. [31], who demonstrated that superior-grade Daqu exhibited higher total acid content and esterification power, which are crucial for flavor development in Baijiu.
3.2. The Impact of Qu-Making Methods on the Biochemical Factors of Medium-High Temperature Daqu
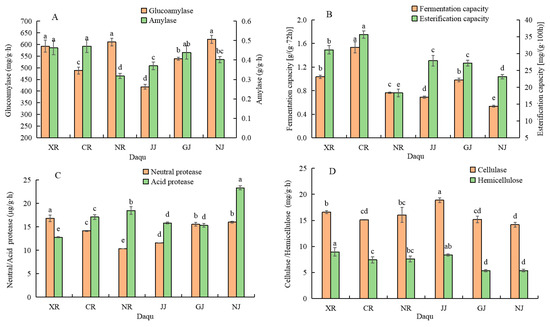
As depicted in Figure 2A (Supplementary Table S2), minimal differences were observed in saccharification enzyme activity between NR (artificial Daqu) and NJ (mechanical Daqu); however, JJ (mechanical Daqu) exhibited the weakest saccharification power, whereas NJ (mechanical Daqu) displayed the strongest. The enhanced liquefaction capacity of mechanical Daqu (e.g., NJ), as observed in this study and supported by Liu et al. [29], aligns with trends in industrial fermentation systems like Japanese Koji. Mechanical processes, such as temperature-controlled cultivation of Aspergillus oryzae [33], prioritize high α-amylase activity (up to 800 U/g) for efficient starch breakdown. However, this focus on enzymatic efficiency often comes at the cost of microbial diversity and functional complexity. While mechanical Daqu excels in targeted enzyme performance (e.g., 12% higher liquefaction than artificial Daqu NR), its simplified microbial composition limits metabolic synergy—such as lactic acid bacteria–yeast interactions critical for flavor ester synthesis—leading to “flavor dilution” akin to industrial sake. In contrast, artificial Daqu retains competitive saccharification efficiency [30], likely due to its richer microbial network supporting multi-enzyme systems (e.g., proteases, esterases) and flavor complexity. These findings highlight a trade-off: mechanized systems optimize process control and starch conversion, whereas traditional methods preserve ecological interactions essential for nuanced fermentation outcomes.
Figure 2.
Changes in enzyme activity in different medium-high temperature Daqu. (A) Glucoamylase, α-amylase. (B) Fermentation capacity, esterification capacity. (C) Neutral protease activity, acid protease. (D) Cellulase, hemicellulase. Data are presented as mean ± SD (n = 3). Bars with different letters indicate significant difference (p < 0.05).
The esterification power, quantified by the content of ethyl caproate, exhibited no significant differences among the medium-high temperature Daqu samples (Figure 2B, Supplementary Table S2). However, NR (artificial Daqu) displayed marginally lower esterification power compared to its mechanical counterpart (NJ), whereas CR (artificial Daqu) exhibited marginally higher esterification power. This variation may be ascribed to differences in microbial communities resulting from variations in the Daqu-making environment and process. CR (artificial Daqu) likely harbors a higher abundance of yeast, mold, and other esterase-producing microorganisms, which facilitate esterification. This finding is corroborated by Xiang et al. [31], who demonstrated that microbial composition significantly influences esterification power in Daqu. The results indicate that artificial Daqu, particularly CR, may possess a more favorable microbial environment for ester production, contributing to its marginally higher esterification power.
The fermentation power of Daqu reflects the capacity of yeast to metabolize fermentable sugars into alcohol, which directly influences alcohol yield [34]. The fermentation power of artificial Daqu (XR, CR, NR) exceeds that of mechanical Daqu (JJ, GJ, NJ), with CR (artificial Daqu) exhibiting the highest fermentation power and NJ (mechanical Daqu) the lowest (Figure 2B). This observation is consistent with the findings of Wang et al. [27], who reported that traditional fermentation processes typically yield higher fermentation power due to superior microbial activity and favorable environmental conditions. The reduced fermentation power of mechanical Daqu may be attributed to elevated Daqu-making temperatures and prolonged storage durations, which can suppress yeast activity and diminish alcohol yield, as reported by Hu et al. [35]. These findings underscore the importance of optimizing fermentation conditions, such as temperature and storage duration, to sustain high fermentation power and enhance alcohol yield.
Protease activity, particularly acidic protease, is a critical factor in Baijiu production [36]. The results demonstrate that JJ (mechanical Daqu) exhibits the lowest neutral protease activity, whereas XR (artificial Daqu) displays the highest (Figure 2C, Supplementary Table S2). Conversely, XR (artificial Daqu) displays the lowest acidic protease activity, while NJ (mechanical Daqu) exhibits the highest. These variations may be attributed to the influence of pH on enzyme activity and the intricate interactions among different enzymes. As highlighted by Chen et al. [37], enzymatic reactions in Daqu are interdependent and influenced by a network of biochemical interactions, which can result in variations in protease activity. These findings indicate that both artificial and mechanical Daqu possess distinct enzymatic profiles, which may impact their overall fermentation performance.
Cellulase activity is markedly higher than hemicellulase activity in all medium-high temperature Daqu samples (Figure 2D, Supplementary Table S2). Artificial Daqu (XR, CR, NR) demonstrates higher hemicellulase activity compared to mechanical Daqu (JJ, GJ, NJ), with GJ (mechanical Daqu) exhibiting the lowest cellulase activity. This observation is consistent with the findings of Li et al. [38], who demonstrated that cellulase plays a pivotal role in releasing starch from cell walls, thereby enhancing raw material utilization and saccharification efficiency. The elevated hemicellulase activity in artificial Daqu may contribute to its superior fermentation performance, as it facilitates the breakdown of complex carbohydrates into fermentable sugars. These findings underscore the significance of cellulase and hemicellulase activities in optimizing Daqu functionality.
3.3. The Impact of Qu-Making Methods on the Flavor Components of Medium-High Temperature Daqu
The aroma compounds in Daqu exert both direct and indirect influences on the flavor characteristics and quality of Baijiu [5]. Utilizing headspace solid-phase microextraction (HS-SPME) coupled with gas chromatography–mass spectrometry (GC-MS), a total of 92, 63, 87, 54, 64, and 84 volatile compounds (Table 1, Supplementary Table S3) were identified in artificial Daqu (XR, CR, NR) and mechanical Daqu (JJ, GJ, NJ), respectively.
Table 1.
Volatile compound composition and content in medium-high temperature Daqu under different Qu-making methods.
These compounds encompass alcohols, aldehydes, ketones, esters, acids, alkanes, and pyrazines, which collectively contribute to the intricate flavor profile of Baijiu. As depicted in Table 1, the artificially produced Daqu (XR) exhibited a significantly higher concentration of flavor compounds compared to other medium-high temperature Daqu samples. This elevated concentration of volatile compounds in XR Daqu contributes to a more intricate and nuanced flavor profile, a hallmark of Xiangjiufang’s artificially produced Daqu. The elevated levels of flavor compounds in XR Daqu indicate that traditional manual production methods may enhance the complexity and richness of the final Baijiu product. Table 1 further demonstrates that alcohols and esters are the predominant compounds in all medium-high-temperature Daqu samples. Notably, compounds such as phenethyl alcohol, methyl hexadecanoate, and tetramethylpyrazine (ligustrazine) were detected in high concentrations across all samples. Alcohols, which are key contributors to the mellow aroma and function as aroma enhancers in Baijiu, also serve as precursors to other aroma compounds. The presence of aldehydes, particularly in strong-flavor Baijiu, was observed to enhance the flavor profile when added in appropriate amounts. Esters, which are the primary constituents of Baijiu, play a pivotal role in shaping the typical characteristics of various Baijiu types [6]. Additionally, pyrazines, known for their nutty and roasted aromas, were recognized as significant contributors to the overall quality of Baijiu [39].
The experimental results demonstrate that artificially produced Daqu (XR) exhibits a distinct advantage in the diversity of flavor compounds. These findings align with the research by Nie et al. [40], which emphasizes a significant correlation between microbial diversity and volatile flavor compounds (VOCs) during the production of medium-high temperature Daqu. The moderate firmness and breathability of artificially produced Daqu may create a more favorable environment for microbial growth, thereby facilitating the generation of a greater variety of flavor compounds. Regarding specific compounds, alcohols and esters were detected in high concentrations across all medium-high temperature Daqu samples (Table 1). Notably, compounds such as phenethyl alcohol, methyl hexadecanoate, and tetramethylpyrazine (ligustrazine) were particularly abundant in artificially produced Daqu (XR) (Table 1). According to Yang et al. [41], esters are the primary constituents of Baijiu and play a pivotal role in shaping the typical characteristics of various types of Baijiu. A parallel mechanism is observed in the Indian traditional starter “Marcha”, where the symbiotic interaction between Rhizopus and Saccharomycopsis enhances ester synthesis, contrasting sharply with industrialized monoculture systems that diminish flavor complexity [42]. The significantly higher ester content in manually produced Daqu (XR) observed in this study further corroborates this perspective.
Alcohols are the primary constituents of the mellow aroma and aroma enhancers in Baijiu, as well as precursors to aroma compounds. The experimental results demonstrate that the alcohol content in artificially produced Daqu (XR) is significantly higher than that in mechanically produced Daqu, which may be attributed to its more robust microbial metabolic activity. As reported by Liu et al. [29], fungi such as Rhizopus and Thermomyces in medium-high temperature Daqu exhibit a strong positive correlation with pyrazine compounds, which contribute nutty and roasted aromas and play a significant role in the quality of Baijiu. The elevated content of tetramethylpyrazine (ligustrazine) in manually produced Daqu (XR) in this study further substantiates its contribution to flavor complexity. The role of aldehydes in strong-flavor Baijiu is significant and should not be overlooked. According to Yang et al. [41], the addition of an appropriate amount of aldehydes can enhance the flavor profile of Baijiu. In this study, the elevated content of aldehydes in artificially produced Daqu (XR) may be ascribed to its more complex microbial community structure. Additionally, the elevated content of pyrazine compounds in artificially produced Daqu (XR) further underscores their importance in the flavor profile of Baijiu.
3.4. The Impact of Qu-Making Methods on the α-Diversity of Microbial Communities in Medium-High Temperature Daqu
The results of this study reveal significant variations in microbial community richness and diversity across different types of Daqu, as evidenced by the Shannon index, Chao1 index, and Simpson index. The Chao1 index, which reflects microbial community richness, demonstrated that the artificial Daqu XR exhibited the highest bacterial and fungal richness, indicating the most diverse bacterial and fungal communities among the samples (Figure 3 and Figure 4). In contrast, the bacterial community of artificial Daqu NR and the fungal community of mechanical Daqu NJ displayed the lowest Chao1 index, suggesting fewer species in their respective communities. These findings are consistent with previous studies that have emphasized the influence of Daqu-making processes on microbial diversity [27,29].
Figure 3.
The impact of Qu-making methods on the α-diversity of bacterial communities in medium-high temperature Daqu. Bars with different letters a indicate significant difference (p < 0.05).
Figure 4.
The impact of Qu-making methods on the α-diversity of fungal communities in medium-high temperature Daqu. Bars with different letters indicate a significant difference (p < 0.05).
The Shannon index, which measures species diversity and abundance, further corroborates the superior microbial diversity in XR compared to other medium-high temperature Daqu samples. The higher Shannon index values for XR indicate that it encompasses a broader range of microbial species, which may contribute to its enhanced functionality in liquor production. This observation aligns with the findings of Liu et al. [43], who demonstrated that medium-high-temperature Daqu generally exhibits higher fungal diversity compared to bacterial diversity. The Chao1 index, which estimates species richness, also confirmed that XR possesses a more diverse microbial community, potentially enriching microbes favorable for liquor production.
Interestingly, the Simpson index for the fungal community in mechanical Daqu JJ was markedly lower than that of other medium-high temperature Daqu samples (Figure 4), indicating higher fungal species diversity. This finding contrasts with the lower ASV count for JJ, suggesting that while JJ may harbor fewer species, the evenness of species distribution is higher. This observation is corroborated by Kang et al. [44], who highlighted that microbial diversity in Daqu is influenced by both species richness and evenness, which can vary markedly across different types of Daqu.
The fungal community in medium-high temperature Daqu was observed to be more diverse and richer than the bacterial community, as indicated by the higher Shannon and Chao1 indices (Figure 3 and Figure 4). This observation aligns with the findings of Liu et al. [29], who demonstrated that medium-temperature Daqu is dominated by fungal genera such as Rhizopus and Thermomyces, which play pivotal roles in flavor formation during fermentation. Du et al. [30] reported lower fungal diversity in mechanical Daqu, whereas our data showed the opposite trend. This discrepancy may stem from regional sampling differences (e.g., climatic variations) or the collection of different parts of mechanical Daqu (surface layer, middle layer, and core). Our study further clarifies that moisture retention and acid-producing microbiota are key mediators of artificial Daqu’s superiority.
The differences in microbial composition and diversity between medium-temperature and high-temperature Daqu were further elucidated by Liu et al. [43], who demonstrated that high-temperature Daqu exhibits higher bacterial diversity, whereas medium-temperature Daqu possesses higher fungal diversity. This observation aligns with our results, which indicate that XR, a medium-high-temperature Daqu, exhibits a more diverse fungal community. Additionally, the study by Kang et al. [44] revealed that phage communities in Daqu also play a significant role in regulating microbial populations and flavor quality, further highlighting the complexity of Daqu ecosystems.
3.5. The Impact of Qu-Making Methods on the Structure of Microbial Communities in Medium-High Temperature Daqu
The microbial community composition and diversity of medium-high temperature Daqu were investigated in this study, revealing distinct bacterial and fungal genera across different types of Daqu. A total of 542 bacterial genera (Figure 5) and 632 fungal genera (Figure 6) were identified in artificial Daqu (XR, CR, NR) and mechanical Daqu (JJ, GJ, NJ). The dominant bacterial communities exhibited significant variation among the samples. In CR, GJ, and NJ, the high-abundance bacterial genera were primarily Sphingomonas, unclassified Bacillaceae, Delftia, and Pseudogracilibacillus, whereas in JJ and XR, Cetobacterium, Escherichia, and Shigella were predominant. In NR, Thermoactinomyces and Virgibacillus were the dominant bacterial genera. Similarly, the fungal communities exhibited distinct patterns, with Aspergillus, Cladosporium, Saccharomyces, Fusarium, and Mortierella being the predominant genera in CR, GJ, NJ, and XR, whereas Aspergillus was the dominant fungal genus in JJ and NR. These findings are consistent with previous studies that have emphasized the role of specific microbial communities in the fermentation process of Daqu, particularly in the production of ethanol, organic acids, and esters [40,43].
Figure 5.
The impact of Qu-making methods on the bacterial community structure in medium-high temperature Daqu.
Figure 6.
The impact of Qu-making methods on the fungal community structure in medium-high temperature Daqu.
A notable parallel exists between these findings and studies on Korean nuruk, a traditional fermentation starter. In nuruk, bacterial communities shifted dynamically over 30-day fermentations: traditional samples showed temperature-dependent dominance of Cyanobacteria and Actinobacteria, while commercial variants were dominated by Firmicutes (e.g., Lactobacillaceae) [45]. This temporal succession contrasts with the microbial stability observed in mechanical Daqu (e.g., JJ, NJ), likely due to standardized production methods limiting natural ecological shifts. Both systems highlight how starter type (traditional/mechanized), environmental factors (temperature, raw materials), and process design (dynamic/static control) jointly shape microbial communities. For instance, Bacillaceae’s late-stage dominance in nuruk aligns with their heat tolerance, whereas Aspergillus’s prevalence in Daqu reflects its starch-degrading capacity via amyA gene expression.
Dynamic changes in microbial communities during Daqu fermentation significantly impact the production of volatile organic compounds (VOCs) and enzyme activities. For instance, Liu et al. [43] demonstrated that Daqu maturation reduces moisture, starch content, and enzyme activities (e.g., liquefying and saccharifying), while increasing acidity and esterifying activity, associated with shifts in microbial orders such as decreased Mucorales and Eurotiales and increased Saccharomycetales, Lactobacillales, and Bacillales. These changes influence genes responsible for aromatic alcohols, esters, and pyrazines, which are critical for Baijiu flavor [43]. Similarly, Nie et al. [40] identified Weissella, Staphylococcus, Thermoactinomyces, and Lactobacillus as dominant bacteria, and Aspergillus, Alternaria, and Saccharomyces as dominant fungi, correlated with VOCs such as 3-methyl-2-butenal, underscoring the role of microbial diversity in flavor development. Spatial heterogeneity also plays a pivotal role, as Wen et al. [46] observed stronger microbial interactions in the middle and core layers of Daqu, with deterministic processes governing community assembly, driven primarily by temperature, consistent with Ding et al. [47], who identified temperature, moisture, and starch content as key factors influencing microbial composition in core and surface layers. These spatial variations highlight the necessity for precise environmental control during production. Furthermore, metagenomic analyses by Yang et al. [14] revealed that Lactobacillales, Mucorales, and Eurotiales are key contributors to lytic enzymes and flavor precursors, with Weissella, Lactobacillus, and Staphylococcus involved in butane-2,3-diol and butanoate metabolism, and Aspergillus and Byssochlamys contributing to guaiacol and 4-vinylguaiacol biosynthesis. These insights into metabolic networks facilitate the rational regulation of microbial communities to enhance Daqu quality.
Artificial Daqu relies on natural microbial inoculation from environmental sources (e.g., air, tools, and workers), forming a highly diverse microbial community dominated by Aspergillus, Saccharomyces, and Lactobacillus. These genera exhibit synergistic metabolic interactions: Aspergillus secretes α-amylases and proteases to break down starch and proteins into fermentable sugars (e.g., glucose) and flavor precursors (e.g., amino acids) [48]; Saccharomyces drives alcoholic fermentation by converting sugars to ethanol, while Lactobacillus produces lactic acid to inhibit spoilage microbes and stabilize reducing sugars, collectively promoting the synthesis of flavor compounds such as esters and higher alcohols [49]. In contrast, mechanical Daqu, shaped by homogenized inoculation and high-temperature selection during industrial processing, harbors a simplified community dominated by thermotolerant Bacillus and Thermoascus. While Bacillus efficiently liquefies starch via heat-stable α-amylases, its dominance suppresses saccharification efficiency and yeast activity, leading to insufficient ethanol and ester production [50]. Thermoascus degrades cellulose but generates fewer flavor precursors due to the absence of Aspergillus’s versatile metabolic network [51]. The stochastic microbial assembly in artificial Daqu supports functional redundancy (e.g., cross-genus collaboration in saccharification and flavor synthesis), whereas the homogenized microbiota in mechanical Daqu creates metabolic bottlenecks (e.g., excessive starch hydrolysis with limited flavor complexity), highlighting the critical role of microbial diversity in shaping flavor profiles during traditional fermentation.
The observed variations in microbial community structures between artificial and mechanical Daqu samples can be ascribed to several factors. Manual trampling introduces a broader range of microorganisms from the environment and workers, resulting in a heterogeneous microbial community, whereas mechanical pressing, being more controlled, yields a uniform microbial composition due to reduced external contamination [43]. Additionally, the physical pressure and temperature conditions during mechanical pressing selectively favor thermophilic genera such as Thermoactinomyces and Virgibacillus, as well as heat-resistant fungi like Aspergillus, which thrive under these conditions [14,40]. Furthermore, metabolic interactions between bacterial and fungal communities, such as ethanol production by Saccharomyces, can inhibit certain bacteria while promoting others such as Lactobacillus and Acetobacter, fostering a dynamic ecosystem that shapes the flavor and aroma of the final product [44,52].
While this study advances understanding of artificial and mechanical Daqu, two limitations require attention. First, the restricted sampling of production batches and regions may obscure distinctions between artificial Daqu and mechanical Daqu, as geographical variations in raw materials, climate, and craftsmanship could influence outcomes. Second, static microbial analyses overlooked critical temporal shifts—such as temperature-mediated microbial succession—that shape enzymatic activity and flavor formation. To address these gaps, future work should expand to multi-regional longitudinal studies monitoring microbial and physicochemical evolution across full fermentation cycles. Simultaneously, integrating metagenomics (microbial gene profiles), metatranscriptomics (enzyme expression patterns like Aspergillus’s amyA-driven α-amylase), and metabolomics (flavor metabolites) could unravel dynamic cause–effect links between microbial behavior and fermentation traits, refining both fundamental knowledge and production strategies.
4. Conclusions
This study systematically compared artificial trampling and mechanical pressing methods for medium-high temperature Daqu, revealing distinct functional impacts on physicochemical properties, enzyme activities, volatile flavors, and microbial communities. Artificially produced Daqu exhibited higher reducing sugars, moisture retention, and acidity, correlating with enhanced fermentation capacity and fungal diversity dominated by Aspergillus and Saccharomyces. These microbial traits drove a broader spectrum of volatile compounds, particularly esters and alcohols, directly contributing to flavor complexity. In contrast, mechanically pressed Daqu demonstrated superior liquefaction enzyme activity and block uniformity but reduced fermentation and esterification capabilities, attributed to lower microbial diversity and bacterial dominance (e.g., Bacillus). The findings emphasize that traditional methods prioritize flavor-associated microbial and biochemical attributes, while mechanical approaches favor process efficiency and standardization, offering actionable strategies to harmonize microbial richness with industrial-scale precision in medium-high temperature Daqu production.
Supplementary Materials
The following supporting information can be downloaded at https://www.mdpi.com/article/10.3390/fermentation11030135/s1, Table S1: Changes in physicochemical indexes (starch, reducing sugar, acidity, moisture) in different medium-high temperature Daqu. Table S2: Changes in enzyme activity (glucoamylase, α-amylase, fermentation capacity, esterification capacity, neutral protease activity, acid protease, cellulase, hemicellulase) in different medium-high temperature Daqu. Table S3: Volatile compound composition and content in medium-high temperature Daqu under different Qu-making methods.
Author Contributions
Conceptualization, H.Y.; investigation, Q.L.; formal analysis, L.D. and L.L.; funding acquisition, H.Y.; investigation, Q.J.; methodology, funding acquisition, Z.Z.; project administration, K.L.; resources, funding acquisition, J.H.; software, data curation, S.W.; visualization, G.N.; writing—original draft, H.Y.; writing—review and editing, K.L. All authors have read and agreed to the published version of the manuscript.
Funding
This research was funded by the National Engineering Technology Research Center of Solid-state Brewing (2024-49), Solid-state Fermentation Resource Utilization Key Laboratory of Sichuan Province (2024GTJJ02), Sichuan Higher Education Engineering Research Center for Agri-food Standardization and Inspection (24NSYJZX07), Panxi Crops Research and Utilization Key Laboratory of Sichuan Province (SZKF202409), and the National College Students’ Innovation and Entrepreneurship Training Program (202410641029, 202410641066X). The APC was funded by 2024-49.
Institutional Review Board Statement
Not applicable.
Informed Consent Statement
Not applicable.
Data Availability Statement
The data that support the findings of this study are available from the corresponding author upon reasonable request.
Acknowledgments
The authors acknowledge the use of generative AI tools for language editing and refinement during the preparation of this manuscript. The scientific content and conclusions remain the sole responsibility of the authors.
Conflicts of Interest
The involvement of Luzhou Laojiao Co., Ltd. was limited to provided sup-port in the form of salaries for the author Songtao Wang, and they had no influence on the research outcomes. There are no patents, products in development, or marketed products associated with this research to declare. The funders had no role in the design of the study; in the collection, analyses, or interpretation of data; in the writing of the manuscript; or in the decision to publish the results. The authors declare no conflicts of interest.
References
- Tu, X.; Cao, Y.; Cheng, J.; Li, Y.; Zhang, W.; Wu, Q.; Xiang, W.; Shen, C.; Li, Q. Chinese Baijiu: The Perfect Works of Microorganisms. Front. Microbiol. 2022, 13, 919044. [Google Scholar] [CrossRef] [PubMed]
- Zhang, S.; Xu, D. Complete Techniques of Luzhou-Style Liquor Production; China Light Industry Press: Beijing, China, 2011. [Google Scholar]
- Liu, M.; Zhao, J.; Bian, M. Research Progress on Microorganisms in High-Temperature Daqu. Brewing 2021, 48, 8–11. [Google Scholar]
- Cui, X.; Lyu, Z.; Zhang, M.; Liu, Y.; Qin, B.; Zhao, Q.; Li, X.; Li, P. Establishment of an Evaluation Model for Aroma Substances in Medium-High Temperature Daqu Based on Principal Component Analysis. J. Food Saf. Qual. Insp. 2023, 14, 279–287. [Google Scholar]
- Li, P.; Li, S.; Liu, X.; Luo, L.X.; Lin, W.T. Dynamic Changes of Volatile Components during Daqu Fermentation Studied by HS-SPME-GC-MS. Mod. Food Sci. Technol. 2016, 32, 271–276. [Google Scholar]
- Jian, X.; Shi, Y.; Wang, T. Comparative Analysis of Biological and Physicochemical Indicators between Mechanically Produced Daqu and Manually Produced Daqu. Liquor-Mak. Sci. Technol. 2014, 1, 55–58. [Google Scholar]
- Fu, J.; Wang, Y.; Luo, G. A New Type of Qu-Block Press for Distilleries. Packag. Food Mach. 2006, 4, 46–47. [Google Scholar]
- Wang, X.; Ning, M.; Cui, H. Analysis and Research on the Mechanical Production Process of Medium-High Temperature Baobao Qu in Northern China. Liquor Mak. 2012, 39, 36–38. [Google Scholar]
- Cui, H. Discussion on the Production Process of Mechanized Medium-High Temperature Baobao Qu. Liquor-Mak. Sci. Technol. 2013, 2, 3. [Google Scholar]
- Wang, X.; Qiu, S.; Li, P. Analysis of Microbial Community Structure in Traditional and Automated Moutai-Flavor Daqu. J. Am. Soc. Brew. Chem. 2019, 77, 140–146. [Google Scholar] [CrossRef]
- Jiang, S.; Qiu, S.; Zou, J.; Chen, L.; Luo, X.; Wang, X. Preliminary Study on Yeast in Traditional Maotai-Flavor Daqu and Mechanized Maotai-Flavor Daqu. China Brew. 2017, 36, 59–65. [Google Scholar]
- Lin, P.; Zhao, M.; Wu, S. Analysis of Differences in Daqu Cultivation between Manual Trampling and Mechanical Production. Liquor-Mak. Sci. Technol. 2012, 4, 70–71. [Google Scholar]
- Lyu, Y.; Sha, J. Study on the Influence of Different Cultivation Periods on the Physicochemical Indicators of Medium-High Temperature Daqu. Brewing 2017, 44, 67–69. [Google Scholar]
- Yang, Y.; Wang, S.-T.; Lu, Z.-M.; Zhang, X.-J.; Chai, L.-J.; Shen, C.-H.; Shi, J.-S.; Xu, Z.-H. Metagenomics Unveils Microbial Roles Involved in Metabolic Network of Flavor Development in Medium-Temperature Daqu Starter. Food Res. Int. 2021, 140, 110037. [Google Scholar] [CrossRef]
- Wang, Y.; Li, Z.; Su, Z. Effect of Preparation Methods on the Physicochemical Properties and Bacterial Community of Chixiangxing Baijiu Qu. Food Sci. 2023, 44, 211–217. [Google Scholar] [CrossRef]
- Huang, P.; Jin, Y.; Liu, M.; Peng, L.; Yang, G.; Luo, Z.; Jiang, D.; Zhao, J.; Zhou, R.; Wu, C. Exploring the Successions in Microbial Community and Flavor of Daqu during Fermentation Produced by Different Pressing Patterns. Foods 2023, 12, 2603. [Google Scholar] [CrossRef]
- QB/T 4257-2011; General Analysis Methods for Brewing Daqu. Standardization Administration of China: Beijing, China, 2011.
- DB 34/T 3085-2018; Operating Procedures for Testing Strong-Flavor Daqu. Anhui Provincial Bureau of Quality and Technical Supervision: Hefei, China, 2018.
- NY/T 912-2020; Determination of Cellulase Activity in Feed Additives—Spectrophotometric Method. Ministry of Agriculture and Rural Affairs of the People’s Republic of China: Beijing, China, 2020.
- GB/T 23874-2009; Determination of Xylanase Activity in Feed Additives—Spectrophotometric Method. Standardization Administration of China: Beijing, China, 2009.
- GB 5009.7-2016; National Food Safety Standard—Determination of Reducing Sugars in Foods. National Health Commission of the People’s Republic of China: Beijing, China, 2016.
- Tang, H.; Liang, H.; Song, J.; Lin, W.; Luo, L. Comparison of Microbial Community and Metabolites in Spontaneous Fermentation of Two Types Daqu Starter for Traditional Chinese Vinegar Production. J. Biosci. Bioeng. 2019, 128, 307–315. [Google Scholar] [CrossRef]
- Wang, X.Y.; Zhu, X.G.; Bi, Y.L. Dynamics of Microbial Community and Changes of Metabolites during Production of Type Ι Sourdough Steamed Bread Made by Retarded Sponge-Dough Method. Food Chem. 2020, 330, 127316. [Google Scholar] [CrossRef] [PubMed]
- Magoč, T.; Salzberg, S.L. FLASH: Fast Length Adjustment of Short Reads to Improve Genome Assemblies. Bioinformatics 2011, 27, 2957–2963. [Google Scholar] [CrossRef]
- Callahan, B.; McMurdie, P.; Rosen, M.; Han, A.W.; Johnson, A.J.; Holmes, S.P. DADA2: High-Resolution Sample Inference from Illumina Amplicon Data. Nat. Methods 2016, 13, 581–583. [Google Scholar] [CrossRef]
- Huang, Z.G.; Hou, H.B.; Luo, H.B. Study on the Changes of Starch and Reducing Sugar during the Fermentation of Strong-Flavor Baijiu Fermented Grains. China Brew. 2012, 31, 107–110. [Google Scholar]
- Wang, Y.; Gai, J.; Hou, Q.; Zhao, H.; Shan, C.; Guo, Z. Ultra-High-Depth Macrogenomic Sequencing Revealed Differences in Microbial Composition and Function between High Temperature and Medium-High Temperature Daqu. World J. Microbiol. Biotechnol. 2023, 39, 337. [Google Scholar] [CrossRef] [PubMed]
- Zhang, Y.; Yang, S.; Sun, Z. Discussion and Analysis of Existing Methods for Determining Moisture Content in Pure Grain Solid-State Daqu. Brewing 2020, 47, 72–75. [Google Scholar]
- Liu, C.; He, P.; Luo, M.Y. Comparative Study on Main Biological and Physicochemical Indicators of Medium-High Temperature Mechanically Produced and Manually Produced Daqu. Liquor-Mak. Sci. Technol. 2022, 7, 52–59. [Google Scholar]
- Du, X.J.; Ming, H.M.; Ma, H.; Jiang, D.C.; Zhu, H.Q.; Chen, Y.; Xu, J. Microbial Community Structure Differences and Key Influencing Factors among Different Parts of Mechanical and Artificial Daqu. Food Ferment. Ind. 2023, 49, 83–91. [Google Scholar]
- Xiang, G.X.; Chen, Y.Q.; Shen, Y.; Wang, X.; Zhang, Y.D.; Luo, H.B.; Huang, D. Comparative Analysis of Microbial Community Structure and Physicochemical Properties of Different Grades of Nongxiangxing Daqu. Food Sci. 2022, 43, 184–191. [Google Scholar]
- Ren, F.; Zhu, W.Y.; Cheng, W.H. Effects of Acidity on the Fermentation of Strong-Flavor Daqu Liquor and Its Control Measures. China Brew. 2021, 40, 14–17. [Google Scholar]
- Kitamoto, K. Molecular Biology of the Koji Molds. Adv. Appl. Microbiol. 2002, 51, 129–153. [Google Scholar] [CrossRef]
- Han, P.-J.; Luo, L.-J.; Han, Y.; Song, L.; Zhen, P.; Han, D.-Y.; Wei, Y.-H.; Zhou, X.; Wen, Z.; Qiu, J.-Z.; et al. Microbial Community Affects Daqu Quality and the Production of Ethanol and Flavor Compounds in Baijiu Fermentation. Foods 2023, 12, 2936. [Google Scholar] [CrossRef]
- Hu, P.P.; Wang, J.; Ali, U.; Aziz, T.; Sameeh, M.Y.; Feng, C.P. Comparative Study on Physicochemical Properties, Microbial Composition, and the Volatile Component of Different Light Flavor Daqu. Food Sci. Nutr. 2023, 11, 5174–5187. [Google Scholar] [CrossRef]
- Yuan, X.; Huang, D.; Peng, J. Isolation of Dominant Protease-Producing Bacteria in Strong-Flavor Daqu and Study on Enzyme Production Conditions. Liquor-Mak. Sci. Technol. 2012, 8, 54–57. [Google Scholar]
- Chen, Y.; Li, K.; Liu, T.; Li, R.; Fu, G.; Wan, Y.; Zheng, F. Analysis of Difference in Microbial Community and Physicochemical Indices between Surface and Central Parts of Chinese Special-Flavor Baijiu Daqu. Front. Microbiol. 2021, 12, 592421. [Google Scholar] [CrossRef] [PubMed]
- Li, Y.Y.; Luo, B.X.; Zhang, L.L.; Yao, Y.L.; Guo, Y.; Huang, Z.G.; Ren, Z.Q. Research on Physicochemical Properties and Microbial Community Structure of Daqu Made from Different Grains. Food Ferment. Ind. 2020, 46, 74–79. [Google Scholar]
- Feng, J.T.; Lu, Z.M.; Shi, W. Effects of Different Cultivation Temperatures on Microbial Community Structure, Enzyme Activity, and Volatile Compounds in Daqu. J. Appl. Environ. Biol. 2021, 27, 760–767. [Google Scholar]
- Nie, X.; Jia, X.; Zhu, K.; Ling, Z.; Chen, H.; Xie, J.; Ao, Z.; Song, C.; Shen, C.; Zhu, C.; et al. Dynamic Changes and Potential Correlations between Microbial Diversity and Volatile Flavor Compounds in Chinese Medium-Temperature Daqu during Manufacturing. Molecules 2024, 29, 4851. [Google Scholar] [CrossRef]
- Yang, S.B.; Fu, J.J.; He, J.H.; Zhang, X.J.; Chai, L.J.; Shi, J.S.; Wang, S.T.; Zhang, S.Y.; Shen, C.H.; Lu, Z.M.; et al. Decoding the Qu-Aroma of Medium-Temperature Daqu Starter by Volatilomics, Aroma Recombination, Omission Studies, and Sensory Analysis. Food Chem. 2024, 457, 140186. [Google Scholar] [CrossRef]
- Thapa, N.; Pal, J.; Tamang, J.P. Microbial Diversity in Ngari, Hentaak and Tungtap, Fermented Fish Products of Northeast India. World J. Microbiol. Biotechnol. 2007, 23, 1775–1780. [Google Scholar] [CrossRef]
- Liu, W.; Liu, G.; Zhang, R.; Zheng, L.; Lu, Z.; Zhang, X.; Wang, S.; Shen, C.; Shi, J.; Xu, Z.; et al. Metagenomics Unveils the Differences in the Functions of Microbial Community of Medium-Temperature Daqu before and after Maturation. Chin. J. Biotechnol. 2024, 40, 877–894. [Google Scholar]
- Kang, J.; Chen, X.; Han, B.-Z.; Xue, Y. Insights into the Bacterial, Fungal, and Phage Communities and Volatile Profiles in Different Types of Daqu. Food Res. Int. 2022, 158, 111488. [Google Scholar] [CrossRef]
- Bal, J.; Yun, S.H.; Yeo, S.H.; Kim, J.M.; Kim, D.H. Metagenomic Analysis of Fungal Diversity in Korean Traditional Wheat-Based Fermentation Starter Nuruk. Food Microbiol. 2016, 60, 73–83. [Google Scholar] [CrossRef]
- Wen, Z.; Han, P.J.; Han, D.Y.; Song, L.; Wei, Y.H.; Zhu, H.Y.; Chen, J.; Guo, Z.X.; Bai, F.Y. Microbial Community Assembly Patterns at the Species Level in Different Parts of the Medium Temperature Daqu during Fermentation. Curr. Res. Food Sci. 2024, 9, 100883. [Google Scholar] [CrossRef]
- Ding, L.; Zhao, M.M.; Zhao, X.F.; Chen, G.Y.; Jiang, Q.T.; Liu, M.; Xiong, Y.; Zhang, X.; Wang, X.J.; Wei, Y.M.; et al. Evaluation of the Spatial Distribution and Dynamic Succession of Microbial Community and Quality Properties during Fermentation in Chinese Medium-Temperature Daqu. J. Food Process. Preserv. 2022, 46, e17272. [Google Scholar] [CrossRef]
- Deng, L.; Mao, X.; Liu, D.; Ning, X.Q.; Shen, Y.; Chen, B.; Nie, H.F.; Huang, D.; Luo, H.B. Comparative Analysis of Physicochemical Properties and Microbial Composition in High-Temperature Daqu With Different Colors. Front. Microbiol. 2020, 11, 588117. [Google Scholar] [CrossRef]
- Li, P.; Aflakpui, F.W.K.; Yu, H.; Luo, L.; Lin, W.T. Characterization of Activity and Microbial Diversity of Typical Types of Daqu for Traditional Chinese Vinegar. Ann. Microbiol. 2015, 65, 2019–2027. [Google Scholar] [CrossRef]
- Wang, L.; Cheng, Y.; Hu, X.; Huang, Y. Analysis of Bacterial Diversity and Functional Differences of Jiang-Flavored Daqu Produced in Different Seasons. Front. Nutr. 2023, 9, 1078132. [Google Scholar] [CrossRef] [PubMed]
- Li, Z.; Yan, X.; Zou, S.; Ji, C.; Dong, L.; Zhang, S.; Liang, H.; Lin, X. Analysis of Fungal Diversity, Physicochemical Properties and Volatile Organic Compounds of Strong-Flavor Daqu from Seven Different Areas. Foods 2024, 13, 1263. [Google Scholar] [CrossRef]
- Zhao, H.; Wang, Y.; Qu, D.; Zhao, H.; Tian, L.; Zhou, J.; Guo, Z. Microbial Communities, Functional, and Flavor Differences among Three Different-Colored High-Temperature Daqu: A Comprehensive Metagenomic, Physicochemical, and Electronic Sensory Analysis. Food Res. Int. 2024, 184, 114257. [Google Scholar]
Disclaimer/Publisher’s Note: The statements, opinions and data contained in all publications are solely those of the individual author(s) and contributor(s) and not of MDPI and/or the editor(s). MDPI and/or the editor(s) disclaim responsibility for any injury to people or property resulting from any ideas, methods, instructions or products referred to in the content. |
© 2025 by the authors. Licensee MDPI, Basel, Switzerland. This article is an open access article distributed under the terms and conditions of the Creative Commons Attribution (CC BY) license (https://creativecommons.org/licenses/by/4.0/).





