Development of a Wearable Electromyographic Sensor with Aerosol Jet Printing Technology
Abstract
1. Introduction
2. Methods
2.1. EMG System
2.2. Design and Realization of EMG Sensor with AJP
3. Results
3.1. AJP Characteristics
3.2. Lab Testing Setup
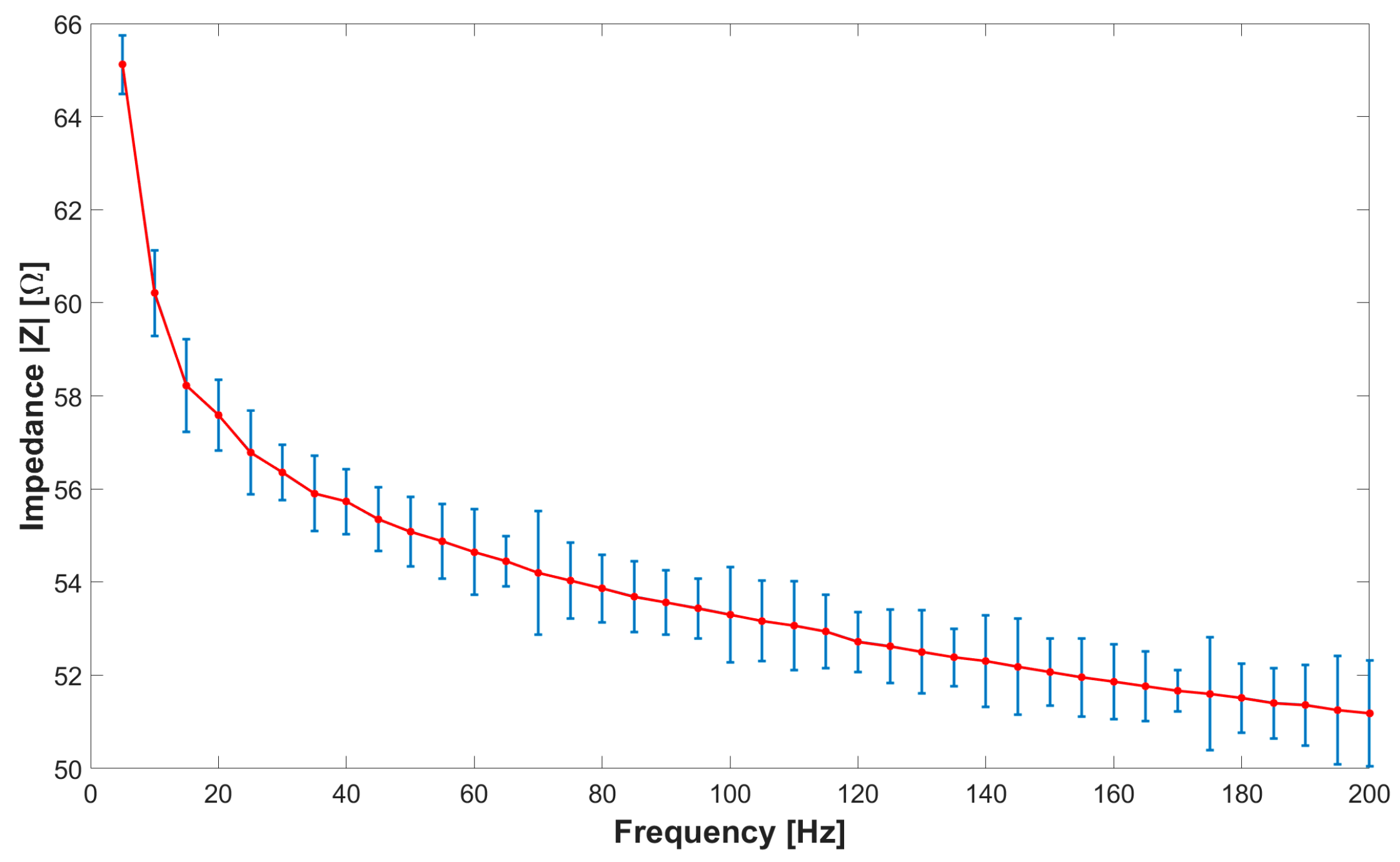
3.3. Impedance Analysis
3.4. Physiological Measures
4. Discussion
4.1. Technological Advancements
4.2. Study Limitations
5. Conclusions
Author Contributions
Funding
Institutional Review Board Statement
Informed Consent Statement
Data Availability Statement
Conflicts of Interest
References
- Olmo, M.D.; Domingo, R. EMG Characterization and Processing in Production Engineering. Materials 2020, 13, 5815. [Google Scholar] [CrossRef] [PubMed]
- Adrian, E.D.; Bronk, D.W. The discharge of impulses in motor nerve fibers: Part II. The frequency of discharge in reflex and voluntary contractions. J. Physiol. 1929, 67, i3. [Google Scholar] [CrossRef]
- Ödman, S.; Öberg, P.Å. Movement-induced potentials in surface electrodes. Med. Biol. Eng. Comput. 1982, 20, 159–166. [Google Scholar] [CrossRef] [PubMed]
- Tam, H.; Webster, J.G. Minimizing electrode motion artifact by skin abrasion. IEEE Trans. Biomed. Eng. 1977, 24, 134–139. [Google Scholar] [CrossRef]
- Medrano, G.; Ubl, A.; Zimmermann, N.; Gries, T.; Leonhardt, S. Skin electrode impedence of textile electrodes for bioimpedence spectroscopy. In Proceedings of the 13th International Conference on Electrical Bioimpedence and the 8th Conference on Electrical Impedence Tomography, Graz, Austria, 29 August–2 September 2007; Volume 17, pp. 260–263, (IFMBE Proceedings). [Google Scholar]
- Rojas-Martínez, M.; Mananas, M.A.; Alonso, J.F. High-density surface EMG maps from upper-arm and forearm muscles. J. Neuroeng. Rehabil. 2012, 9, 85. [Google Scholar] [CrossRef] [PubMed]
- Kleine, B.-U.; Schumann, N.-P.; Stegeman, D.F.; Scholle, H.-C. Surface EMG mapping of the human trapezius muscle: The topography of monopolar and bipolar surface EMG amplitude and spectrum parameters at varied forces and in fatigue. Clin. Neurophysiol. 2000, 111, 686–693. [Google Scholar] [CrossRef] [PubMed]
- Schumann, N.P.; Scholle, H.C.; Anders, C.; Mey, E. A topo graphical analysis of spectral electromyographic data of the human masseter muscle under different functional conditions in healthy sub jects. Arch. Oral Biol. 1994, 39, 369–377. [Google Scholar] [CrossRef] [PubMed]
- Geng, W.; Du, Y.; Jin, W.; Wei, W.; Hu, Y.; Li, J. Gesture recognition by instantaneous surface EMG images. Sci. Rep. 2016, 6, 36571. [Google Scholar] [CrossRef]
- He, J.; Jiang, N. Biometric from surface electromyogram (sEMG): Feasibility of user verification and identification based on gesture recognition. Front. Bioeng. Biotechnol. 2020, 8, 58. [Google Scholar] [CrossRef]
- Pradhan, A.; He, J.; Jiang, N. Open access dataset for elec tromyography based multi-code biometric authentication. arXiv 2022, arXiv:2201.01051. [Google Scholar]
- Castellini, C.; Fiorilla, A.E.; Sandini, G. Multi subject/daily-life activity EMG-based control of mechanical hands. J. Neuroeng. Rehabil. 2009, 6, 41. [Google Scholar] [CrossRef]
- BTS Bioengineering. FREEMG EMG Systems; BTS Bioengineering: Garbagnate Milanese, Italy, 2019. [Google Scholar]
- Wege, A.; Zimmermann, A. Electromyography sensor-based control for a hand exoskeleton. In Proceedings of the 2007 IEEE International Conference on Robotics and Biomimetics, Sanya, China, 15–18 December 2007; pp. 1470–1475. [Google Scholar]
- Visconti, P.; Gaetani, F.; Zappatore, G.A.; Primiceri, P. Technical features and functionalities of myo armband: An overview on related literature and advanced applications of myoelectric armbands mainly focused on arm prostheses. Int. J. Smart Sens. Intell. Syst. 2018, 11, 1–25. [Google Scholar] [CrossRef]
- Tang, X.; Liu, Y.; Lv, C.; Sun, D. Hand motion classification using a multi-channel surface electromyography sensor. Sensors 2012, 12, 1130–1147. [Google Scholar] [CrossRef] [PubMed]
- Saponas, T.S.; Tan, D.S.; Morris, D.; Turner, J.; Landay, J.A. Making muscle-computer interfaces more practical. In Proceedings of the SIGCHI Conference on Human Factors in Computing Systems, Online, 17 March 2010; p. 851. [Google Scholar] [CrossRef]
- Simmons, L.P.; Welsh, J.S. Compact human-machine inter face using surface electromyography. In Proceedings of the 2013 IEEE/ASME International Conference on Advanced Intelligent Mechatronics, Wollongong, Australia, 9–12 July 2013; pp. 206–211. [Google Scholar] [CrossRef]
- Yang, Q.; Zou, Y.; Zhao, M.; Lin, J.; Wu, K. ArmIn: Explore the feasibility of designing a text-entry application using EMG signals. In Proceedings of the 15th EAI International Conference on Mobile and Ubiquitous Systems: Computing, Networking and Services, Online, 5–7 November 2018; pp. 117–126. [Google Scholar] [CrossRef]
- Guo, W.; Sheng, X.; Liu, J.; Hua, L.; Zhang, D.; Zhu, X. Towards zero training for myoelectric control based on a wearable wireless sEMG armband. In Proceedings of the 2015 IEEE International Conference on Advanced Intelligent Mechatronics, Busan, Republic of Korea, 7–11 July 2015; pp. 196–201. [Google Scholar] [CrossRef]
- Maneski, L.P.; Topalović, I.; Jovičić, N.; Dedijer, S.; Konstantinović, L.; Popović, D.B. Stimulation map for control of functional grasp based on multi-channel EMG recordings. Med. Eng. Phys. 2016, 38, 1251–1259. [Google Scholar] [CrossRef] [PubMed]
- Wong, A.M.H.; Furukawa, M.; Maeda, T. Robustness of rhythmic based dynamic hand gesture with surface electromyography (sEMG) for authentication. Electronics 2020, 9, 2143. [Google Scholar] [CrossRef]
- Becker, V.; Oldrati, P.; Barrios, L.; Sörös, G. TouchSense: Classify ing and measuring the force of finger touches with an electromyography armband. In Proceedings of the 9th Augmented Human International Conference, Seoul, Republic of Korea, 7–9 February 2018; pp. 1–3. [Google Scholar] [CrossRef]
- Donovan, I.; Valenzuela, K.; Ortiz, A.; Dusheyko, S.; Jiang, H.; Okada, K.; Zhang, X. MyoHMI: A low-cost and flexible platform for developing real-time human machine interface for myoelectric controlled applications. In Proceedings of the 2016 IEEE International Conference on Systems, Man, and Cybernetics, Budapest, Hungary, 9–12 October 2016; pp. 4495–4500. [Google Scholar] [CrossRef]
- Chen, L.; Fu, J.; Wu, Y.; Li, H.; Zheng, B. Hand gesture recognition using compact CNN via surface electromyography signals. Sensors 2020, 20, 672. [Google Scholar] [CrossRef]
- Zhang, X.; Yang, Z.; Chen, T.; Chen, D.; Huang, M.-C. Cooperative sensing and wearable computing for sequential hand gesture recognition. IEEE Sens. J. 2019, 19, 5775–5783. [Google Scholar] [CrossRef]
- Pinzon-Arenas, J.O.; Jimenez-Moreno, R.; Herrera-Benavides, J.E. Convolutional neural network for hand gesture recognition using 8 different EMG signals. In Proceedings of the 2019 XXII Symposium on Image, Signal Processing and Artificial Vision, Bucaramanga, Colombia, 4–26 April 2019; pp. 1–5. [Google Scholar] [CrossRef]
- Lee, S.; Kim, M.O.; Kang, T.; Park, J.; Choi, Y. Knit band sensor for myoelectric control of surface EMG-based prosthetic hand. IEEE Sens. J. 2018, 18, 8578–8586. [Google Scholar] [CrossRef]
- Jiang, Y.; Sakoda, S.; Togane, M.; Morishita, S.; Lu, B.; Yokoi, H. A highly usable and customizable sEMG sensor for prosthetic limb control using polypyrrole-coated nonwoven fabric sheet. In Proceedings of the 2015 IEEE Sensors, Busan, Republic of Korea, 1–4 November 2015; pp. 1–4. [Google Scholar] [CrossRef]
- Lapatki, B.G.; van Dijk, J.P.; Jonas, I.E.; Zwarts, M.J.; Stegeman, D.F. A thin, flexible multielectrode grid for high-density surface EMG. J. Appl. Physiol. 2004, 96, 327–336. [Google Scholar] [CrossRef] [PubMed]
- Kim, N.; Lim, T.; Song, K.; Yang, S.; Lee, J. Stretchable multichannel electromyography sensor array covering large area for controlling home electronics with distinguishable signals from multiple muscles. ACS Appl. Mater. Interfaces 2016, 8, 21070–21076. [Google Scholar] [CrossRef] [PubMed]
- Zhou, Y.; Wang, Y.; Liu, R.; Xiao, L.; Zhang, Q.; Huang, Y. Multichannel noninvasive human–machine interface via stretchable µm thick sEMG patches for robot manipulation. J. Micromech. Microeng. 2018, 28, 014005. [Google Scholar] [CrossRef]
- Moin, A.; Zhou, A.; Rahimi, A.; Menon, A.; Benatti, S.; Alexandrov, G.; Tamakloe, S.; Ting, J.; Yamamoto, N.; Khan, Y.; et al. A wearable biosensing system with in-sensor adaptive machine learning for hand gesture recognition. Nat. Electron. 2021, 4, 54–63. [Google Scholar] [CrossRef]
- Cömert, A.; Hyttinen, J. Investigating the possible effect of electrode support structure on motion artifact in wearable bioelectric signal monitoring. BioMed. Eng. OnLine 2015, 14, 44. [Google Scholar] [CrossRef] [PubMed]
- Neuman, M.R. Biopotential electrodes. In Medical Instrumentation: Application and Design, 3rd ed.; Webster, J.G., Ed.; Wiley: New York, NY, USA, 1997; pp. 183–232. [Google Scholar]
- Lim, K.; Seo, H.; Chung, W.G.; Song, H.; Oh, M.; Ryu, S.Y.; Kim, Y.; Park, J.U. Material and structural considerations for high-performance electrodes for wearable skin devices. Commun. Mater. 2024, 5, 49. [Google Scholar] [CrossRef]
- Birlea, S.I.; Breen, P.P.; Corley, G.J.; Birlea, N.M.; Quondamatteo, F.; Laighin, G.Ò. Changes in the electrical properties of the electrode-skin-underlying tissue composite during a week-long programme of neuromuscular electrical stimulation. Physiol. Meas. 2014, 35, 231–252. [Google Scholar] [CrossRef]
- Li, C.; Zhang, Y.; Said, Z. Enhanced manufacture technology based on emission reduction and carbon reduction in cutting and grinding. Int. J. Adv. Manuf. Technol. 2024, 131, 1963–1974. [Google Scholar] [CrossRef]
- Wilkinson, N.J.; Smith, M.A.A.; Kay, R.W.; Harris, R.A. A review of aerosol jet printing—A non-traditional hybrid process for micro-manufacturing. Int. J. Adv. Manuf. Technol. 2019, 105, 4599–4619. [Google Scholar] [CrossRef]
- Available online: https://callibri.com (accessed on 10 April 2024).
- Maiwald, M.; Werner, C.; Zoellmer, V.; Busse, M. INKtelligent printed strain gauges. Sens. Actuators A Phys. 2010, 162, 198–201. [Google Scholar] [CrossRef]
- Perz, D.A.; Valgora, M.E. Experimental Evaluation of Volt-Ampere Loading and Output Distortion for a Turboalternator with Multiple Load Phase-Controlled Parasitic Speed Controller. National Aeronautics and Space Administration, 1958. Available online: https://ntrs.nasa.gov/api/citations/19700004194/downloads/19700004194.pdf (accessed on 10 April 2024).








| Parameter | Value |
|---|---|
| Current stimulus amplitude | 1–100 mA |
| Stimulus frequency | 1–200 Hz, step 1 Hz |
| Stimulating pulse duration | 60, 100, 200 μs |
| Parameter | Value |
|---|---|
| Sheat Gas | 50 SCCM |
| Atomizer Gas | 35 SCCM |
| Divert | 70 SCCM |
| Boost | 70 SCCM |
| UA_Heat | 25 °C |
| BUB_Heat | 25 °C |
| PLATEN_Heat | 25 °C |
| Relative humidity | 45% |
| Parameter | Value |
|---|---|
| Nozzle | 300 µm |
| Speed of deposition | 1.5 mm/s |
| Lenght of electroconductive trace | CAD information |
| Width of electroconductive trace maximize sensor | 1 mm |
| Width of electroconductive trace miniaturize sensor | 85 µm |
| Thickness of electroconductive trace (medium) | 15 µm |
| Dimension of electroconductive pads | 15 mm × 15 mm |
| Curing temperature | 400.15 K |
| Curing time | 30 min |
Disclaimer/Publisher’s Note: The statements, opinions and data contained in all publications are solely those of the individual author(s) and contributor(s) and not of MDPI and/or the editor(s). MDPI and/or the editor(s) disclaim responsibility for any injury to people or property resulting from any ideas, methods, instructions or products referred to in the content. |
© 2024 by the authors. Licensee MDPI, Basel, Switzerland. This article is an open access article distributed under the terms and conditions of the Creative Commons Attribution (CC BY) license (https://creativecommons.org/licenses/by/4.0/).
Share and Cite
Perilli, S.; Di Pietro, M.; Mantini, E.; Regazzetti, M.; Kiper, P.; Galliani, F.; Panella, M.; Mantini, D. Development of a Wearable Electromyographic Sensor with Aerosol Jet Printing Technology. Bioengineering 2024, 11, 1283. https://doi.org/10.3390/bioengineering11121283
Perilli S, Di Pietro M, Mantini E, Regazzetti M, Kiper P, Galliani F, Panella M, Mantini D. Development of a Wearable Electromyographic Sensor with Aerosol Jet Printing Technology. Bioengineering. 2024; 11(12):1283. https://doi.org/10.3390/bioengineering11121283
Chicago/Turabian StylePerilli, Stefano, Massimo Di Pietro, Emanuele Mantini, Martina Regazzetti, Pawel Kiper, Francesco Galliani, Massimo Panella, and Dante Mantini. 2024. "Development of a Wearable Electromyographic Sensor with Aerosol Jet Printing Technology" Bioengineering 11, no. 12: 1283. https://doi.org/10.3390/bioengineering11121283
APA StylePerilli, S., Di Pietro, M., Mantini, E., Regazzetti, M., Kiper, P., Galliani, F., Panella, M., & Mantini, D. (2024). Development of a Wearable Electromyographic Sensor with Aerosol Jet Printing Technology. Bioengineering, 11(12), 1283. https://doi.org/10.3390/bioengineering11121283

