arterioscope.sim: Enabling Simulations of Blood Flow and Its Impact on Bioimpedance Signals
Abstract
1. Introduction
2. Materials and Methods
2.1. Governing Equations
2.1.1. Blood Flow
2.1.2. Electric Field and Potential
2.2. Numerical Methods and Simulation
2.2.1. Computational Fluid Dynamics Simulation
2.2.2. Computational Electroquasistatics Simulation
2.2.3. Data Interpolation
2.3. Patient-Specific Simulation
2.4. Arteriosclerosis
2.5. Atherosclerosis
3. Discussion
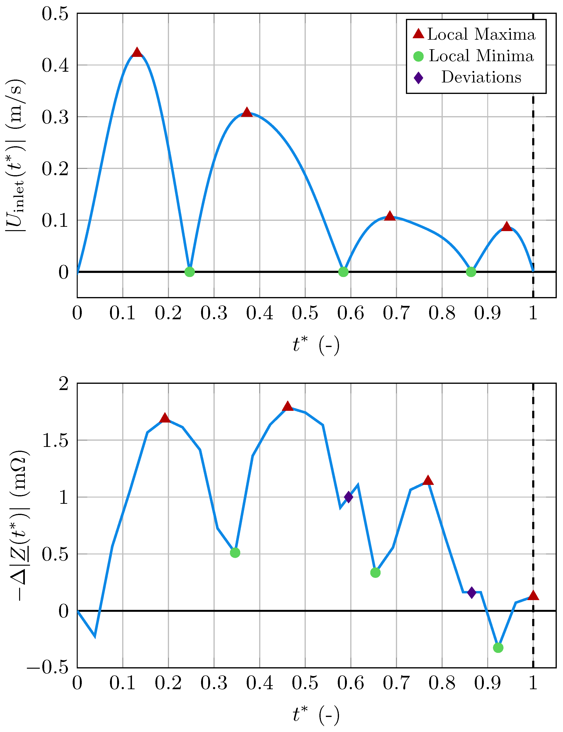
3.1. Patient-Specific Simulation
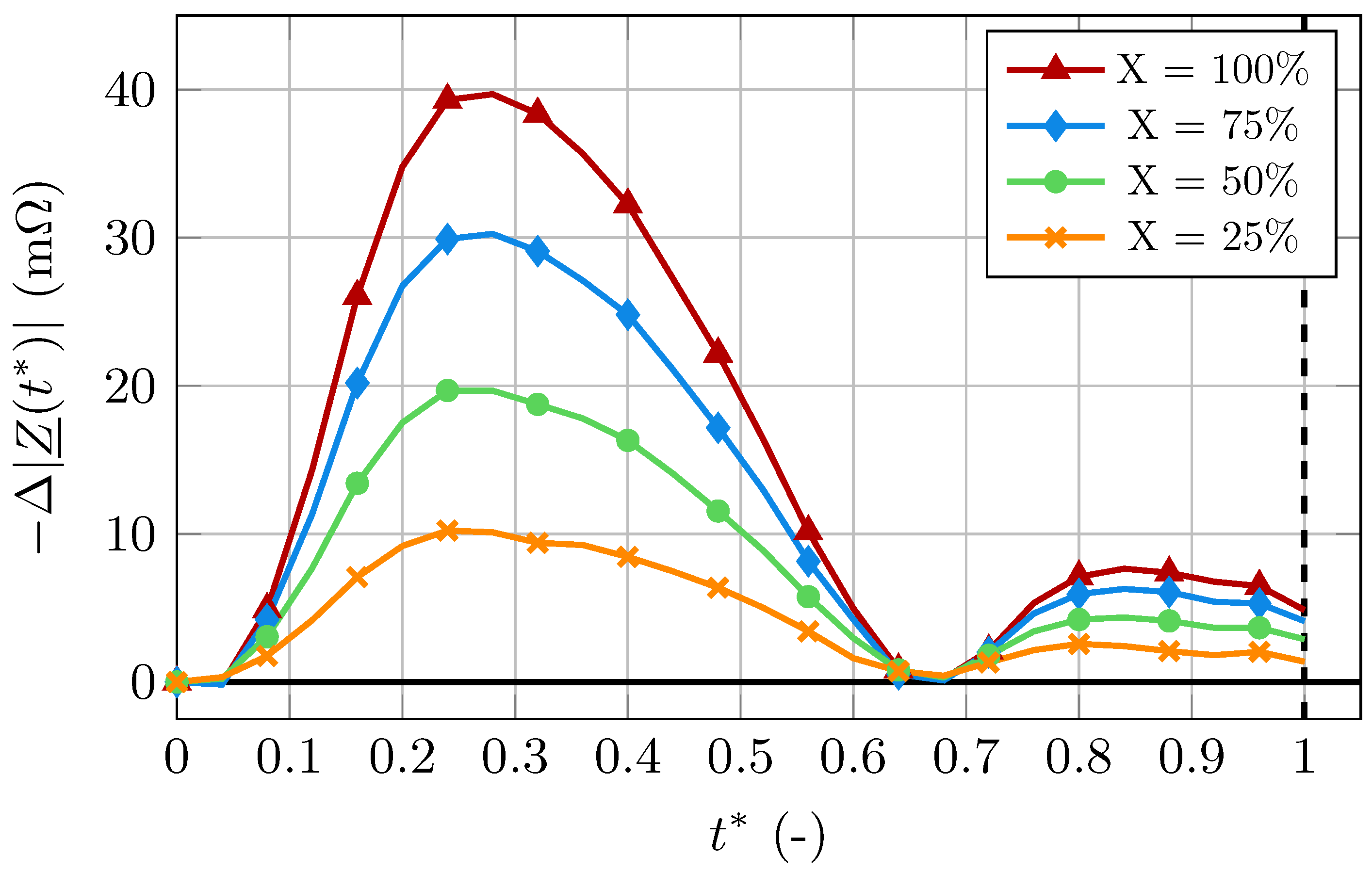
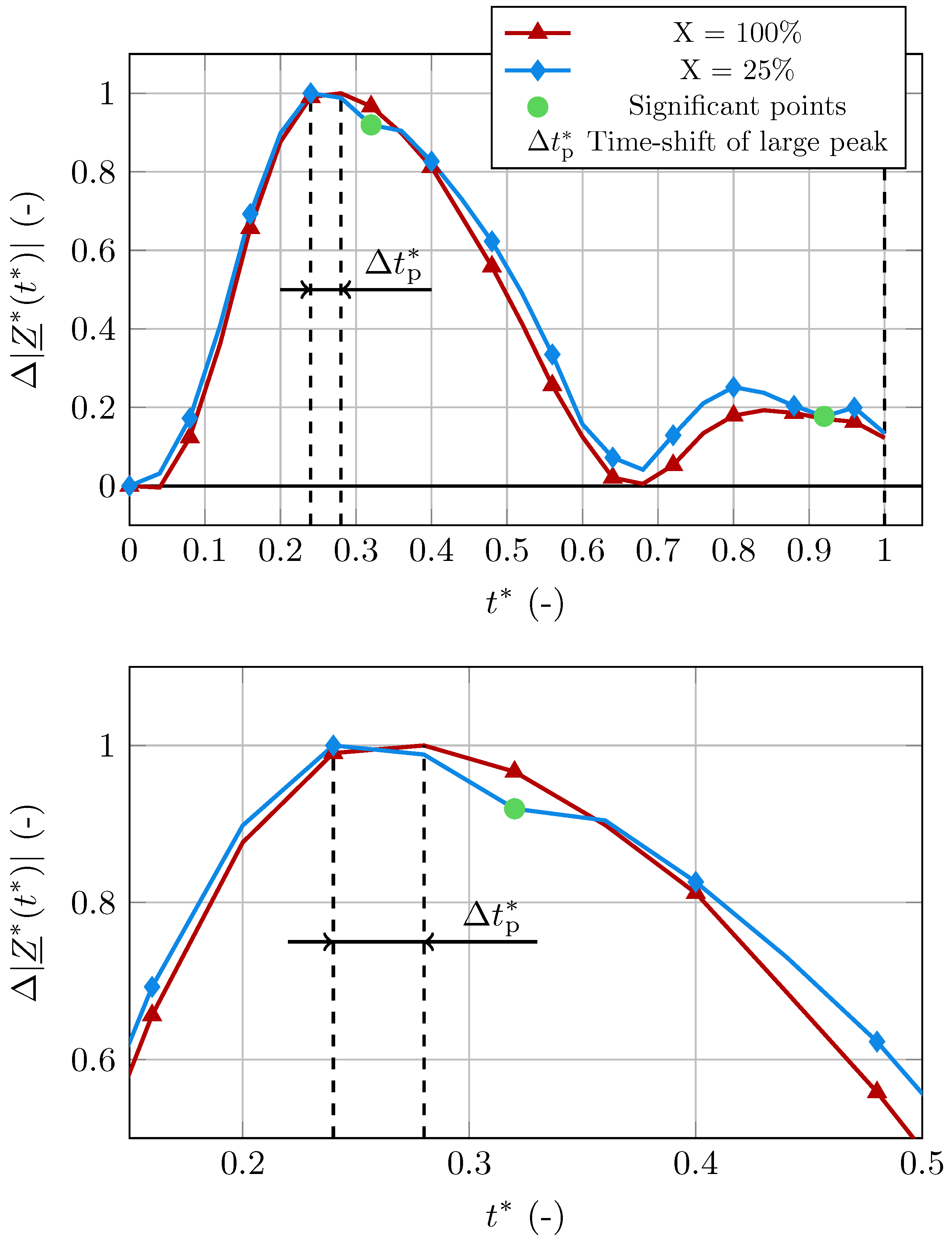
3.2. Arteriosclerosis
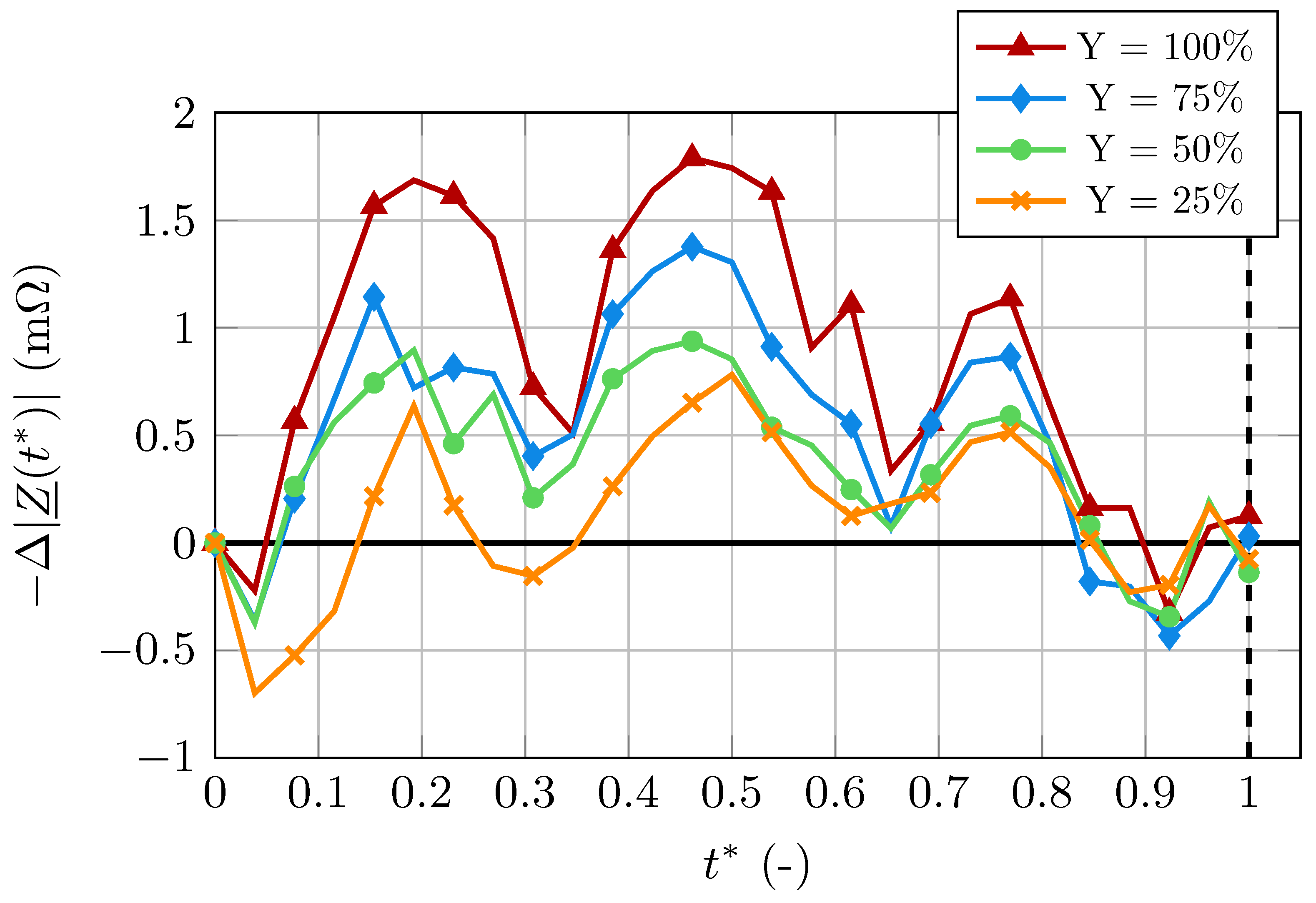
3.3. Atherosclerosis
4. Conclusions and Future Work
Author Contributions
Funding
Institutional Review Board Statement
Informed Consent Statement
Data Availability Statement
Acknowledgments
Conflicts of Interest
Abbreviations
| IPG | Impedance plethysmography |
| RBC | Red blood cell |
| CFD | Finite Element |
| CEQS | Computational Electroquasistatics |
| FVM | Finite Volume Method |
| EV | Eigenvector |
References
- Roth, G.A.; Mensah, G.A.; Fuster, V. The Global Burden of Cardiovascular Diseases and Risks. J. Am. Coll. Cardiol. 2020, 76, 2980–2981. [Google Scholar] [CrossRef]
- Tölle, M.; Reshetnik, A.; Schuchardt, M.; Höhne, M.; Van Der Giet, M. Arteriosclerosis and vascular calcification: Causes, clinical assessment and therapy. Eur. J. Clin. Investig. 2015, 45, 976–985. [Google Scholar] [CrossRef] [PubMed]
- Park, J.B.; Avolio, A. Arteriosclerosis and Atherosclerosis Assessment in Clinical Practice: Methods and Significance. Pulse 2023, 11, 1–8. [Google Scholar] [CrossRef] [PubMed]
- Muñoz, P.; Blanco, J.R.; Rodríguez-Creixéms, M.; García, E.; Delcan, J.L.; Bouza, E. Bloodstream Infections After Invasive Nonsurgical Cardiologic Procedures. Arch. Intern. Med. 2001, 161, 2110–2115. [Google Scholar] [CrossRef] [PubMed]
- Richardson, L.G. Radiation exposure and diagnostic imaging. J. Am. Acad. Nurse Pract. 2010, 22, 178–185. [Google Scholar] [CrossRef] [PubMed]
- Webber, G.W.; Jang, J.; Gustavson, S.; Olin, J.W. Contemporary Management of Postcatheterization Pseudoaneurysms. Circulation 2007, 115, 2666–2674. [Google Scholar] [CrossRef]
- Mugeb, A.h.; Belsheva, M.; Smirnova, A. Influence of Arterial Blood Flow on Impedance Plethysmography. In Proceedings of the 2022 Ural-Siberian Conference on Computational Technologies in Cognitive Science, Genomics and Biomedicine (CSGB), Novosibirsk, Russia, 4–8 July 2022; IEEE: Piscataway, NJ, USA, 2022; pp. 140–145. [Google Scholar] [CrossRef]
- Haapala, M.; Lyytikäinen, L.P.; Peltokangas, M.; Koivistoinen, T.; Hutri-Kähönen, N.; Laurila, M.M.; Mäntysalo, M.; Raitakari, O.T.; Kähönen, M.; Lehtimäki, T.; et al. Impedance plethysmography-based method in the assessment of subclinical atherosclerosis. Atherosclerosis 2021, 319, 101–107. [Google Scholar] [CrossRef] [PubMed]
- Gabriel, C.; Peyman, A.; Grant, E.H. Electrical conductivity of tissue at frequencies below 1 MHz. Phys. Med. Biol. 2009, 54, 4863. [Google Scholar] [CrossRef]
- Wiegerinck, A.I.P.; Thomsen, A.; Hisdal, J.; Kalvøy, H.; Tronstad, C. Electrical impedance plethysmography versus tonometry to measure the pulse wave velocity in peripheral arteries in young healthy volunteers: A pilot study. J. Electr. Bioimpedance 2021, 12, 169–177. [Google Scholar] [CrossRef] [PubMed]
- Jafarinia, A.; Badeli, V.; Krispel, T.; Melito, G.M.; Brenn, G.; Reinbacher-Köstinger, A.; Kaltenbacher, M.; Hochrainer, T. Modeling Anisotropic Electrical Conductivity of Blood: Translating Microscale Effects of Red Blood Cell Motion into a Macroscale Property of Blood. Bioengineering 2024, 11, 147. [Google Scholar] [CrossRef] [PubMed]
- Spindelböck, T.; Ranftl, S.; von der Linden, W. Cross-Entropy Learning for Aortic Pathology Classification of Artificial Multi-Sensor Impedance Cardiography Signals. Entropy 2021, 23, 1661. [Google Scholar] [CrossRef] [PubMed]
- Chien, A.; Dinh, H.; Szeder, V.; Vinuela, F. Abstract P531: Cerebral Blood Flow Analysis Using Flow Wire Measurements and CFD Analysis. Stroke 2021, 52, AP531. [Google Scholar] [CrossRef]
- Jafarinia, A. Thrombus Formation and Growth in Type B Aortic Dissection. Ph.D. Thesis, Graz University of Technology, Graz, Austria, 2022. [Google Scholar]
- Ranftl, S.; Müller, T.; Windberger, U.; Brenn, G.; von der Linden, W. A Bayesian Approach to Blood Rheological Uncertainties in Aortic Hemodynamics. Int. J. Numer. Methods Biomed. Eng. 2022, 39, e3576. [Google Scholar] [CrossRef]
- Melito, G.M.; Müller, T.S.; Badeli, V.; Ellermann, K.; Brenn, G.; Reinbacher-Köstinger, A. Sensitivity analysis study on the effect of the fluid mechanics assumptions for the computation of electrical conductivity of flowing human blood. Reliab. Eng. Syst. Saf. 2021, 213, 107663. [Google Scholar] [CrossRef]
- Mueller, T.S. Modelling of Haemodynamics in Aortic Dissection with Thrombosis. Ph.D. Thesis, Graz University of Technology, Graz, Austria, 2022. [Google Scholar]
- Jafarinia, A.; Müller, T.; Windberger, U.; Brenn, G.; Hochrainer, T. Blood Rheology Influence on False Lumen Thrombosis in Type B Aortic Dissection. J. Biomed. Eng. Biosci. 2020, 7, 13–14. [Google Scholar] [CrossRef]
- Larsson, J. Electromagnetics from a quasistatic perspective. Am. J. Phys. 2007, 75, 230–239. [Google Scholar] [CrossRef]
- Kaltebacher, M.; Badeli, V.; Reinbacher-Köstinger, A. Nonconforming finite element formulation for the simulation of impedance cardiography. Int. J. Numer. Model. Electron. Netw. Devices Fields 2022, 36, e3063. [Google Scholar] [CrossRef]
- Weller, H.G.; Tabor, G.; Jasak, H.; Fureby, C. A tensorial approach to computational continuum mechanics using object-oriented techniques. Comput. Phys. 1998, 12, 620–631. [Google Scholar] [CrossRef]
- Jasak, H. Error Analysis and Estimation for the Finite Volume Method with Applications to Fluid Flows. Ph.D. Thesis, University of London, London, UK, 1996. [Google Scholar]
- Holzmann, T. Mathematics, Numerics, Derivations and OpenFOAM; Release 7.0.; Holzmann CFD: London, UK, 2019. [Google Scholar] [CrossRef]
- Kaltenbacher, M.; Roppert, K.; Schoder, S.; Freidhager, C.; Mayrhofer, D.; Toth, F.; Junger, C.; Floss, S. opencfs.org; Graz University of Technology: Graz, Austria, 2020. [Google Scholar]
- Coreform Cubit (Version 17.1.0) [Computer Software]. Orem, UT: Coreform LLC. Available online: http://coreform.com (accessed on 10 December 2024).
- Badeli, V.; Jafarinia, A.; Melito, G.; Müller, T.; Reinbacher-Köstinger, A.; Hochrainer, T.; Brenn, G.; Ellermann, K.; Biro, O.; Kaltenbacher, M. Monitoring of false lumen thrombosis in type B aortic dissection by impedance cardiography—A multiphysics simulation study. Int. J. Numer. Methods Biomed. Eng. 2022, 39, e3669. [Google Scholar] [CrossRef] [PubMed]
- Schoder, S.; Roppert, K. openCFS-Data: Data Pre-Post-Processing Tool for openCFS—Aeroacoustics Source Filters. arXiv 2023, arXiv:2302.03637. [Google Scholar]
- Cardiovascular Suite®, Carotid Studio; QUIPU Srl: Pisa, Italy, 2023.
- Martinsen, O.G.; Heiskanen, A. Bioimpedance and Bioelectricity Basics, 4th ed.; Elsevier: London, UK, 2023. [Google Scholar] [CrossRef]
- Gaw, R.L.; Cornish, B.H.; Thomas, B.J. The electrical impedance of pulsatile blood flowing through rigid tubes: A theoretical investigation. IEEE Trans. Biomed. Eng. 2008, 55, 721–727. [Google Scholar] [CrossRef]











| Parameter | Symbol | Value | Unit |
|---|---|---|---|
| Blood density | 1060 | kg/m3 | |
| Hematocrit | H | [-] | |
| Membrane shear modulus | kg/s2 | ||
| Short RBC semiaxis | a | m | |
| Long RBC semiaxis | b | m | |
| Undeformed RBC aspect ratio | [-] | ||
| Length | L | 0.15 | m |
| Artery radius (CFD) | 0.0022025 | m |
| Parameter | Symbol | Value | Unit |
|---|---|---|---|
| Depth | d | 0.03 | m |
| Length | L | 0.15 | m |
| Radius of surrounding tissue | 0.06 | m | |
| Electrode distance | 0.038 | m | |
| Electrode radius | 0.0095 | m | |
| Injection current density | 15 | A/m2 | |
| Injection current frequency | 50 | kHz | |
| Electrical conductivity of surrounding tissue | S/m | ||
| Permittivity of surrounding tissue | As/Vm | ||
| Permittivity of blood | As/Vm |
| Compliance | |
|---|---|
| 100 (healthy) | 0 |
| 75 | |
| 50 | |
| 25 |
Disclaimer/Publisher’s Note: The statements, opinions and data contained in all publications are solely those of the individual author(s) and contributor(s) and not of MDPI and/or the editor(s). MDPI and/or the editor(s) disclaim responsibility for any injury to people or property resulting from any ideas, methods, instructions or products referred to in the content. |
© 2024 by the authors. Licensee MDPI, Basel, Switzerland. This article is an open access article distributed under the terms and conditions of the Creative Commons Attribution (CC BY) license (https://creativecommons.org/licenses/by/4.0/).
Share and Cite
Krispel, T.; Badeli, V.; Jafarinia, A.; Reinbacher-Köstinger, A.; Tronstad, C.; Ranftl, S.; Martinsen, Ø.G.; Kalvoy, H.; Hisdal, J.; Kaltenbacher, M.; et al. arterioscope.sim: Enabling Simulations of Blood Flow and Its Impact on Bioimpedance Signals. Bioengineering 2024, 11, 1273. https://doi.org/10.3390/bioengineering11121273
Krispel T, Badeli V, Jafarinia A, Reinbacher-Köstinger A, Tronstad C, Ranftl S, Martinsen ØG, Kalvoy H, Hisdal J, Kaltenbacher M, et al. arterioscope.sim: Enabling Simulations of Blood Flow and Its Impact on Bioimpedance Signals. Bioengineering. 2024; 11(12):1273. https://doi.org/10.3390/bioengineering11121273
Chicago/Turabian StyleKrispel, Thomas, Vahid Badeli, Alireza Jafarinia, Alice Reinbacher-Köstinger, Christian Tronstad, Sascha Ranftl, Ørjan Grottem Martinsen, Håvard Kalvoy, Jonny Hisdal, Manfred Kaltenbacher, and et al. 2024. "arterioscope.sim: Enabling Simulations of Blood Flow and Its Impact on Bioimpedance Signals" Bioengineering 11, no. 12: 1273. https://doi.org/10.3390/bioengineering11121273
APA StyleKrispel, T., Badeli, V., Jafarinia, A., Reinbacher-Köstinger, A., Tronstad, C., Ranftl, S., Martinsen, Ø. G., Kalvoy, H., Hisdal, J., Kaltenbacher, M., & Hochrainer, T. (2024). arterioscope.sim: Enabling Simulations of Blood Flow and Its Impact on Bioimpedance Signals. Bioengineering, 11(12), 1273. https://doi.org/10.3390/bioengineering11121273

